On the Importance of the Starting Material Choice and Analytical Procedures Adopted When Developing a Strategy for the Nanoencapsulation of Saffron (Crocus sativus L.) Bioactive Antioxidants
Abstract
1. Saffron as a Source of Bioactive Antioxidants
2. Encapsulation of Saffron Bioactive Compounds
3. Choice of the Starting Material and Analytical Procedures Adopted
3.1. Saffron Samples as Starting Material
| Reference | Extraction Procedure | Analytical Methods |
|---|---|---|
| [30] | The saffron sample was a representative mixture of saffron stigmas (harvest 1998), which was kindly donated by the Cooperative of Saffron Producers (Crocos, Kozani, Greece). The sample was air-dried in the dark and kept in a desiccator at 4 °C before use. Stigmas were used for the preparation of aqueous extracts within a month from the production date. Saffron (12 g) was extracted with 500 mL H2O under continuous shaking in an incubator at 25 °C for 16 h. The extract was filtered and freeze-dried and the freeze-dried powders were stored in the dark at −18 °C until use. | Coloring strength degradation expressed as E1% 440 nm, where E = A440n/C(1 g/100 mL) according to ISO 3632-2, 1993 [2]. |
| [35] | Saffron powder (4 g) (Novin Saffron, Iran) was suspended in 50% aqueous ethanol (25 mL) and mixed for 2 min. The mixture was then centrifuged at 4000 rpm (2600× g) for 10 min to eliminate plant residues and the supernatant was separated. Another 25 mL of the 50% aqueous ethanol solution was added to the sediment and the extraction was repeated. This process was repeated six more times. The collected supernatant was then kept in a dark container at 4 °C until further use. | Crocin, safranal and picrocrocin were determined by direct reading the absorbance of 1% aqueous solution of saffron at 440, 330 and 257 nm, respectively, according to ISO 3632-2 [2]. |
| [36] | Authentic Greek saffron (harvest year 2012) was donated by the Saffron Cooperative of Crokos (Kozani, Greece). Saffron stigmas (grade I), were ground in an agate mortar and passed through a 0.4 mm sieve just before further use. Samples were subjected to ultrasonication for various time periods at 0.2 duty cycles (active intervals, s) and 100% amplitude. The immersion depth of the probe was 20 mm. Sample temperature was kept at 15 ± 0.5 °C in a thermostated water bath. Appropriate amount of saffron (0.011–0.11 g) was added into a 50 mL Falcon tube, and then 20 mL of a methanol–water mixture (1:1, v/v) were added, according to [6]. An unblocked full factorial central composite design (CCD) was applied to study the effect of saffron–solvent ratio, w/v, and duration of sonication (min). Optimum conditions: 1:182 (w/v); sonication duration 29 min. Trans-crocetin di (β-D-gentiobiosyl) ester was isolated by semi-preparative RP-HPLC on a Nucleosil 100 C18 (250 × 10 mm i.d.; 7 μm) chromatographic column. The gradient elution system used consisted of water (A) and methanol (B). The gradient was: 0 min, 30% (B); 0–10 min, 45% (B); 10–20 min, 70% (B); 20–30 min, 100% (B); 30–40 min, 100% (B); and 40–50 min, 30% (B), and the flow rate was 3.0 mL/min. Monitoring was at 440 nm. Purity (97%) was checked (a) chromatographically by RP-HPLC-DAD in the range of 200–550 nm and calculated as the percentage of the total peak area at 440 nm and (b) by nuclear magnetic resonance (NMR) spectroscopy, recording the 1H 1D spectra at 300 MHz. Crocetin was precipitated from a saffron extract prepared under the optimum extraction conditions, after the acid hydrolysis of crocetin esters. Saffron powder (0.11 g) was weighted into a Falcοn tube to which 20 mL of a methanol:water mixture (1:1, v/v) were added. The mixture was sonicated for 29 min and finally centrifuged at 4100× g at 4 °C for 15 min. Methanol was evaporated under vacuum (40 °C), and the aqueous supernatant was acidified to pH 0.10 (± 0.03) by the addition of concentrate sulfuric acid solution, heated at 90 °C for 30 min, cooled, and centrifuged again under the same conditions. Hydrolysis of crocetin esters was monitored by TLC (development system, petroleum ether:acetic acid, 1:1, v/v) and HPLC of the hydrolysate. Crocetin was precipitated as a red powder. Residual crocetin esters were removed with repeated washes of the precipitate with deionized water (at least 3 × 100 mL) until the aqueous phase became colorless. Crocetin was then lyophilized. Its identity and purity were confirmed by UV-Vis spectroscopy, RP-HPLC-DAD, FT-IR and NMR spectroscopy. | Crocetin and crocetin esters were determined by HPLC-DAD. Separation was carried out on a LiChroCART Superspher 100 C18 (125 × 4 mm i.d.; 4 μm) column. The elution system used consisted of a mixture of water–acetic acid (1%, v/v) (A) and acetonitrile (B). The linear gradient was 20 to 100% (B) in 20 min. The flow rate was 0.5 mL/min. The analytical sample was prepared after proper dilution and filtration through a 0.45 μm membrane filter. Monitoring was in the range of 200–550 nm, and quantification of crocetin esters was carried out through the integration of the peak areas at 440 nm. Quantification of total crocetin esters content (g/100 g dry stigmas) was accomplished with the aid of a calibration curve of trans-crocetin di (β-D-gentiobiosyl) ester within the range 27.5–475 ng/10 μL injected volume (y = 38683x − 710440; R2 = 0.99; n = 7). Measurement repeatability was checked. During efficiency studies, crocetin quantification was accomplished with the aid of a calibration curve of isolated crocetin within the range 10–197 ng/10 μL injected volume (y = 14326x − 29306; R2 = 0.99; n = 5). |
| [37] | Dried stigmas of saffron were provided directly from the Cooperative of saffron, Crokos Kozanis. Saffron (1 g) was extracted with distilled water (50 mL) under continuous shaking in an ultrasound water bath at T = 25 °C for 60 min and at a fixed frequency of 30 kHz; saffron aqueous extracts were then filtered and kept in the dark at −30 °C until used. | The degradation of natural pigments was expressed as coloring strength (E) and followed by periodic absorbance measurements of the reconstituted powder (0.2 g) in aqueous solution with distilled water (10 mL, stirring for 10 min) and immediate measurement of the absorbance at 440 nm, the maximum absorption wavelength of crocin. The coloring strength was calculated as E1% [2] |
| [39] | Saffron was picked before sunlight from a farm around Torbat- E Heydariyeh (Iran). Stigmas were separated from the other parts of the flowers and processed using different methods: (i) drying at room temperature (25 °C ± 1), (ii) dehydration with electrical oven (60 °C ± 1) and (iii) microwave drying (1000 W). Dried stigmas were crushed and sieved (0.421 mesh). Saffron powder was kept in an air-tight plastic bag within a desiccator at room temperature to prevent moisture absorption until used. Saffron extract was prepared through the extraction of dried powdered stigmas in water: 50% v/v ethanol for 2 h. The ratio of solvent to saffron powder was kept at a weight ratio of 100:1. The extract was filtrated (Whatman filter paper No. 42) and then concentrated in a rotary evaporator for about 30 min until 90% of the solvent was removed and stored at 4–5 °C before further use. | Picrocrocin, safranal and crocin content of saffron extract was determined using a UV-Vis spectrophotometer by measuring the absorbance at 257, 330 and 440 nm, respectively, as described by Orfanou and Tsimidou [58]. |
| [40] | Saffron powder (10 g) was mixed with water (150 mL) in a dark colored bottle and incubated under shaking for 24 h. A rotor–stator homogenizer (10,000 rpm × 10 min) was used for maximum extraction of saffron bioactive compounds; the extract was filtered under vacuum, and kept in the freezer at −18 °C until use. | Spectrophotometry, expression of results for coloring strength (440 nm), bitterness (250 nm) and aroma (330 nm) according to ISO 3632 procedure [2]. |
| [43] | As in [40] | As in [40] |
| [46] | Saffron was purchased as described in [6]. Ultrasound-assisted extraction of crocins and picrocrocin was according to [6]. Other conditions were as described in [36]. The optimum saffron–solvent ratio 1:182 (w/v) and sonication duration was 29 min, as according to [6]. Picrocrocin was laboratory-isolated according to [59]. Purity (99%) was checked as described in [6]. | Crocins and picrocrocin in aqueous saffron extracts and in the obtained nanoencapsulates were determined using RP-HPLC-DAD and were quantified using external calibration curves (trans-crocetin di (β-D-gentiobiosyl) ester picrocrocin). Spectrophotometric monitoring of crocins and picrocrocin in stability studies was carried out in the region 200–600 nm. Quantification of total crocins and picrocrocin was accomplished using the calibration curves reported in [6]. |
| [48] | Saffron was purchased from the Abbaszadeh Co. (Mashhad, Iran), Bioactive compounds of saffron were extracted through the aqueous extraction in [37,40] with some modifications. Briefly, saffron (1 g) was extracted with deionized water (20 mL) in a dark colored bottle and placed in a shaking incubator at ambient temperature for 24 h. The solution was treated by ultrasound with a power of 250 W and frequency of 30 kHz for 8 min at 25 °C. Aqueous saffron extract was filtered under vacuum using filter paper (Whatman No. 42) and frozen at −18 °C. | The released saffron extract based on safranal was determined spectrophotometrically at 330 nm. |
| [49] | Before sunrise, saffron was harvested from a field near Kashmar, Iran and the saffron stigmas were dried according to the method previously described by Rajabi et al. [39]. In brief, after the separation of stigmas from the flower, they were dried using a microwave oven at a power of 1000 W. Then, they were ground and passed through a sieve with a pore size of 0.421 mesh. The resulting saffron powder was poured into a dark bottle and stored inside a desiccator for further experiments. The powdered saffron and ethanol 50% (w/w) were mixed at a ratio of 1:10 and agitated using a magnetic stirrer for 2 h. Then, the extract was filtered with a filter paper (Whatman, No. 42) and concentrated using a rotary evaporator at 40 °C until 90% of the solvent was vaporized. | The content of the bioactive compounds was measured using a UV–vis spectrophotometer at 440 nm. |
| [50] | Powdered saffron stigmas were dissolved in boiled water and passed through a filter paper to obtain the saffron extract. The pH value was set to 7 with a phosphate buffer. | Color coordinates. In efficiency studies, absorbance was read at 240–250 nm to calculate the concentration of bioactive ingredients in nanoencapsulates. |
| [51] | Dried saffron stigmas (5 g) were completely ground with a porcelain mortar. The ground stigmas were extracted using methanol–water (1:1, v/v) by stirring under nitrogen at 250 rpm for 5 h. The obtained extracts were sonicated using a probe sonicator at 40 kHz and 40% of full power for 3 min, filtered, and the solvent was completely removed using rotary evaporator, transferred to Petri dishes and freeze dried for 24 h. | The analysis of the active compounds of saffron extracts was carried out using HPLC and LC-MS-MS for the identification of picrocrocin and crocin. Freeze-dried saffron extract (200 μg/mL) was redissolved in methanol–water (1:1, v/v) and filtered through a 0.2 μm (millipore) filter before analysis. Quantification of crocins was performed using calibration curves. |
| [52] | Saffron (Crocus Sativa L.) was purchased from Kashmir Kesar Pampore, Srinagar, J & K, India. Bioactives of saffron were obtained using ultrasound assisted extraction. To a powdered sample (1 g) in a flask was added 100 mL of methanol–water, 80:20 (v/v), followed by the adjustment of ultrasonicator. The temperature during extraction did not exceed 35 °C as the flask was immersed in ice. Specifically, the frequency was set at 60 Hz and the function of pulses (Pulse mode) adjusted to 5 s on, then 3 s off (Probe sonicator). The total time was 15 min for each extraction. After completing the extraction, filtration was carried out to remove solids and to obtain clear bioactives. The bioactives obtained were concentrated in a rotatory evaporator at 1/10th of the volume at 35 °C. | Total phenol content, reducing power, DPPH radical, scavenging activity. Inhibition of lipid peroxidation. |
| [53] | Saffron was obtained from a Persian supermarket in Montreal, Canada. For the extraction of saffron bioactive compounds, the procedure of Selim et al. [30] was followed with some modifications. Saffron powder (12 g) was mixed with 500 mL water in a dark colored bottle under continuous shaking in an incubator at 25 °C for 24 h. The extract was centrifuged at 2000× g for 15 min followed by filtration under vacuum. The prepared extract was freeze dried at −30 °C for 6 days and then kept in a dark colored bottle (−18 °C) until use. | The absorbance of this solution was read at 440, 330, and 257 nm using a UV-Vis spectrophotometer for crocin, safranal, and picrocrocin or particle, respectively. Absorption measurements were conducted in triplicate for each compound. The results were expressed as E1% λmax according to [40] |
| [54] | as in [51] | as in [51] |
3.2. Commercial ‘Crocin’ Products or Other Saffron Bioactive Compounds as Starting Material
| Reference | Sample Preparation | Analytical Methods |
|---|---|---|
| crocins and crocetin | ||
| [33] | Crocetin reference material (purity up to 96%) was laboratory prepared. | Spectrophotometrically at 421 nm (methanol as solvent) using the extinction value 252.0 for crocetin and appropriate dilution factor for quantification. |
| [38] | ‘Crocin’ was purchased from Sigma-Aldrich Chemical Co. (St. Louis, MO, USA). Crocin (0.06% (w/v)) was placed into alginate solution. | The ‘Crocin’ content was analyzed using a UV–Vis spectrophotometer at 440 nm. |
| [41] | ‘Crocin’ (MW: 976.96 g/mole, Purity ≥ 95%) was purchased from Sigma–Aldrich Co. (St. Louis, MO), ‘Crocin’ (10 wt.% solution in water). | Tristimulus values (L*, a*, b*) of color coordinates. |
| [42] | ‘Crocin’ was purchased from Sigma-Aldrich Co. (St. Louis, MO) 0.2% ‘Crocin’ aqueous solution. | Released ‘Crocin’ was analyzed using a UV–Vis spectrophotometer at 440 nm. |
| [44] | as in [38]. | as in [38]. |
| [45] | Crocetin was extracted from plant Crocus sativus L. based on the method represented in Iran patent no. 84459. | The concentration of crocetin was determined using a UV spectrophotometer at 430 nm and a crocetin standard curve. |
| [47] | ‘Crocin (0.1 g) was solved in 5 mL of water heated to 50 °C before further use. Crocetin (purity ≥ 90%) was obtained using ‘crocin’ hydrolysis according to a patented method [28]. | The amount of crocin and crocetin released was determined as reported elsewhere [44]. Calibration curves for crocetin and ‘crocin’ were performed in the concentration range of 10–100 mg/mL (n = 6). |
| [55] | 1 mL of a 1050 µg/mL ‘crocin’ (Bu Ali Research Institute, Mashhad, Iran) solution was mixed with alginate solution using a magnetic stirrer at 500 rpm for 20 min before further use. | A UV spectrophotometric method at 440 nm was used. Calibration curves were used. |
| safranal | ||
| [34] | Safranal (Fluka, Spain). | Quantitative determination was carried out by RP-HPLC at 308 nm. Safranal and liposomal safranal was dissolved in methanol. External calibration curve was used. |
4. Gaps and Proposals Regarding the Starting-Material Choice and Analysis
Funding
Institutional Review Board Statement
Informed Consent Statement
Data Availability Statement
Conflicts of Interest
References
- ISO 3632-1; Saffron (Crocus sativus Linneaus). Part 1: Specifications. International Organization for Standardization: Geneva, Switzerland, 2011.
- ISO 3632-2; Saffron (Crocus sativus Linneaus). Part 2: Test Methods. International Organization for Standardization: Geneva, Switzerland, 2010.
- Kyriakoudi, A.; Ordoudi, S.A.; Roldán-Medina, M.; Tsimidou, M.Z. Saffron, A functional spice. Austin J. Nutr. Food Sci. 2015, 3, 1059–1063, ISSN 2381-8980. [Google Scholar]
- Jafari, S.M.; Tsimidou, M.Z.; Rahami, H.; Kyriakoudi, A. Bioactive ingredients of saffron: Extraction, analysis, application. In Saffron: Science, Technology and Health; Koocheki, A., Khajed-Hosseini, M., Eds.; WP publ–Elsevier: Duxford, UK, 2020; pp. 261–290. [Google Scholar]
- Chrysanthou, A.; Pouliou, E.; Kyriakoudi, A.; Tsimidou, M.Z. Sensory threshold studies of picrocrocin, the major bitter compound of saffron. J. Food Sci. 2016, 81, S188–S198. [Google Scholar] [CrossRef]
- Kyriakoudi, A.; Chrysanthou, A.; Mantzouridou, F.; Tsimidou, M.Z. Revisiting extraction of bioactive apocarotenoids from Crocus sativus L. dry stigmas (saffron). Anal. Chim. Acta 2012, 755, 77–85. [Google Scholar] [CrossRef]
- Garavand, F.; Rahaee, S.; Vahedikia, N.; Jafari, S.M. Different techniques for extraction and micro/nanoencapsulation of saffron bioactive ingredients. Trends Food Sci. Technol. 2019, 89, 26–44. [Google Scholar] [CrossRef]
- Maggi, L.; Sánchez, A.M.; Carmona, M.; Kanakis, C.D.; Anastasaki, E.; Tarantilis, P.A.; Polissiou, M.G.; Alonso, G.L. Rapid determination of safranal in the quality control of saffron spice (Crocus sativus L.). Food Chem. 2011, 127, 369–373. [Google Scholar] [CrossRef]
- Bononi, M.; Milella, P.; Tateo, F. Gas chromatography of safranal as preferable method for the commercial grading of saffron (Crocus sativus L.). Food Chem. 2015, 176, 17–21. [Google Scholar] [CrossRef]
- Rahaman, A.; Kumari, A.; Farooq, A.M.; Zeng, X.A.; Hassan, S.; Khalifa, I.; Aadil, R.M.; Chughtai, M.F.J.; Adnan Khaliq, A.; Ahmad, N.; et al. Novel Extraction Techniques: An effective way to retrieve the bioactive compounds from saffron (Crocus sativus). Food Rev. Int. 2021, 37, 1–29. [Google Scholar] [CrossRef]
- Comtrade Database. Available online: https://comtrade.un.org (accessed on 12 December 2022).
- Maquet, A.; Lievens, A.; Paracchini, V.; Kaklamanos, G.; De La Calle Guntinas, M.B.; Garlant, L.; Papoci, S.; Pietretti, D.; Ždiniaková, T.; Breidbach, A.; et al. Results of an EU Wide Coordinated Control Plan to Establish the Prevalence of Fraudulent Practices in the Marketing of Herbs and Spices, EUR 30877 EN; Publications Office of the European Union: Luxembourg, 2021; ISBN 978-92-76-42979-1. JRC126785. [Google Scholar] [CrossRef]
- Kyriakoudi, A.; Tsimidou, M.Z. Recent developments in saffron fraud prevention. In Food Safety and Protection; Rai, V.R., Bai, J.A., Eds.; CRC Press: Boca Raton, FL, USA, 2018; pp. 651–677. [Google Scholar]
- Moratalla-López, N.; Bagur, M.J.; Lorenzo, C.; Martínez-Navarro, M.E.; Salinas, M.R.; Alonso, G.L. Bioactivity and bioavailability of the major metabolites of Crocus sativus L. flower. Molecules 2019, 24, 2827. [Google Scholar] [CrossRef]
- Cerdá-Bernad, D.; Valero-Cases, E.; Pastor, J.J.; Frutos, M.J. Saffron bioactives crocin, crocetin and safranal: Effect on oxidative stress and mechanisms of action. Crit. Rev. Food Sci. Nutr. 2022, 62, 3232–3249. [Google Scholar] [CrossRef]
- Raina, B.L.; Agarwal, S.G.; Bhatia, A.K.; Gaur, G.S. Changes in pigments and volatiles of saffron (Crocus sativus L.) during processing and storage. J. Sci. Food Agric. 1996, 71, 27–32. [Google Scholar] [CrossRef]
- Ordoudi, S.A.; Tsimidou, M.Z. Saffron quality: Effect of agricultural practices, processing and storage. In Production Practices and Quality Assessment of Food Crops; Dris, R., Jain, S.M., Eds.; Kluwer Academic Publisher: Dordrecht, The Netherlands, 2004; pp. 209–260. [Google Scholar]
- Carmona, M.; Zalacain, A.; Pardo, J.E.; López, E.; Alvarruiz, A.; Alonso, G.L. Influence of different drying and aging conditions on saffron constituents. J. Agric. Food Chem. 2005, 53, 3974–3979. [Google Scholar] [CrossRef] [PubMed]
- Alonso, G.L.; Varõn, R.; Gõmez, R.; Navarro, F.; Salinas, M.R. Auto-oxidation in saffron at 40 °C and 75% relative humidity. J. Food Sci. 1990, 55, 595–596. [Google Scholar] [CrossRef]
- Tsimidou, M.; Biliaderis, C.G. Kinetic studies of saffron (Crocus sativus L.) quality deterioration. J. Agric. Food Chem. 1997, 45, 2890–2898. [Google Scholar] [CrossRef]
- Tsimidou, M.; Tsatsaroni, E. Stability of saffron pigments in aqueous extracts. J. Food Sci. 1993, 58, 1073–1075. [Google Scholar] [CrossRef]
- Sánchez, A.M.; Carmona, M.; Ordoudi, S.A.; Tsimidou, M.Z.; Alonso, G.L. Kinetics of individual crocetin ester degradation in aqueous extracts of saffron (Crocus sativus L.) upon thermal treatment in the dark. J. Agric. Food Chem. 2008, 56, 1627–1637. [Google Scholar] [CrossRef] [PubMed]
- Suchareau, M.; Bordes, A.; Lemée, L. Improved quantification method of crocins in saffron extract using HPLC-DAD after qualification by HPLC-DAD-MS. Food Chem. 2021, 362, 130199. [Google Scholar] [CrossRef]
- Orfanou, O.; Tsimidou, M. Influence of selected additives on the stability of saffron pigments in aqueous extracts. In Food Flavours: Generation, Analysis and Process Influence; Charalambous, G., Ed.; Elsevier Science Publishers: Amsterdam, The Netherlands, 1995; pp. 881–894. [Google Scholar]
- Maggi, L.; Carmona, M.; Zalacain, A.; Tomé, M.M.; Murcia, M.A.; Alonso, G.L. Parabens as agents for improving crocetin esters’ shelf-life in aqueous saffron extracts. Molecules 2009, 14, 1160–1170. [Google Scholar] [CrossRef]
- Kyriakoudi, A.; Tsimidou, M.Z.; O’Callaghan, Y.C.; Galvin, K.; O’Brien, N.M. Changes in total and individual crocetin esters upon in vitro gastrointestinal digestion of saffron aqueous extracts. J. Agric. Food Chem. 2013, 61, 5318–5327. [Google Scholar] [CrossRef]
- Ordoudi, S.A.; Kyriakoudi, A.; Tsimidou, M.Z. Enhanced bioaccessibility of crocetin sugar esters from saffron in infusions rich in natural phenolic antioxidants. Molecules 2015, 20, 17760–17774. [Google Scholar] [CrossRef]
- Demurtas, O.C.; Frusciante, S.; Ferrante, P.; Diretto, G.; Azad, N.H.; Pietrella, M.; Aprea, G.; Taddei, A.R.; Romano, E.; Mi, J.; et al. Candidate enzymes for saffron crocin biosynthesis are localized in multiple cellular compartments. Plant Physiol. 2018, 177, 990–1006. [Google Scholar] [CrossRef]
- Diretto, G.; Ahrazem, O.; Rubio-Moraga, Á.; Fiore, A.; Sevi, F.; Argandoña, J.; Gómez-Gómez, L. UGT709G1: A novel uridine diphosphate glycosyltransferase involved in the biosynthesis of picrocrocin, the precursor of safranal in saffron (Crocus sativus). New Phytol. 2019, 224, 725–740. [Google Scholar] [CrossRef] [PubMed]
- Selim, K.M.; Tsimidou, M.; Biliaderis, C.G. Kinetic studies of degradation of saffron carotenoids encapsulated in amorphous polymer matrices. Food Chem. 2000, 71, 199–206. [Google Scholar] [CrossRef]
- Weiss, J.; Takhistov, P.; McClements, D.J. Functional materials in food nanotechnology. J. Food Sci. 2006, 71, R107–R116. [Google Scholar] [CrossRef]
- Anesini, C.; Ferraro, G.E.; Filip, R. Total polyphenol content and antioxidant capacity of commercially available tea (Camellia sinensis) in Argentina. J. Agric. Food Chem. 2008, 56, 9225–9229. [Google Scholar] [CrossRef] [PubMed]
- Zhou, H.; Yuan, X.; Zhao, Q.; Zhao, B.; Wang, X. Determination of oxygen transmission barrier of microcapsule wall by crocetin deterioration kinetics. Eur. Food Res. Technol. 2013, 237, 639–646. [Google Scholar] [CrossRef]
- Malaekeh-Nikouei, B.; Mousavi, S.H.; Shahsavand, S.; Mehri, S.; Nassirli, H.; Moallem, S.A. Assessment of cytotoxic properties of safranal and nanoliposomal safranal in various cancer cell lines. Phytother. Res. 2013, 27, 1868–1873. [Google Scholar] [CrossRef]
- Shakoori, P.; Krasaekoopt, W. Microencapsulation of saffron (Crocus sativus L.) extract in copolymer complexes using extrusion method. CMU J. Nat. Sci. 2015, 14, 57–76. [Google Scholar] [CrossRef]
- Kyriakoudi, A.; Tsimidou, M.Z. A food-grade approach to isolate crocetin from saffron (Crocus sativus L.) extract. Food Anal. Methods 2015, 8, 2261–2272. [Google Scholar] [CrossRef]
- Chranioti, C.; Nikoloudaki, A.; Tzia, C. Saffron and beetroot extracts encapsulated in maltodextrin, gum Arabic, modified starch and chitosan: Incorporation in a chewing gum system. Carbohydr. Polym. 2015, 127, 252–263. [Google Scholar] [CrossRef]
- Rahaiee, S.; Shojaosadati, S.A.; Hashemi, M.; Moini, S.; Razavi, S.H. Improvement of crocin stability by biodegradable nanoparticles of chitosan-alginate. Int. J. Biol. Macromol. 2015, 79, 423–432. [Google Scholar] [CrossRef]
- Rajabi, H.; Ghorbani, M.; Jafari, S.M.; Mahoonak, A.S.; Rajabzadeh, G. Retention of saffron bioactive components by spray drying encapsulation using maltodextrin, gum Arabic and gelatin as wall materials. Food Hydrocoll. 2015, 51, 327–337. [Google Scholar] [CrossRef]
- Esfanjani, A.; Jafari, S.; Assadpoor, E.; Mohammadi, A. Nano-encapsulation of saffron extract through double-layered multiple emulsions of pectin and whey protein concentrate. J. Food Eng. 2015, 165, 149–155. [Google Scholar] [CrossRef]
- Mehrnia, M.A.; Jafari, S.M.; Behzad, S.; Makhmal-Zadeh, B.S.; Maghsoudlou, Y. Crocin loaded nano-emulsions: Factors affecting emulsion properties in spontaneous emulsification. Int. J. Biol. Macromol. 2016, 84, 261–267. [Google Scholar] [CrossRef] [PubMed]
- Mehrnia, M.A.; Jafari, S.M.; Makhmal-Zadeh, B.S.; Maghsoudlou, Y. Rheological and release properties of double nano-emulsions containing crocin prepared with Angum gum, Arabic gum and whey protein. Food Hydrocoll. 2017, 66, 259–267. [Google Scholar] [CrossRef]
- Esfanjani, A.E.; Jafari, S.M.; Assadpour, E. Preparation of a multiple emulsion based on pectin-whey protein complex for encapsulation of saffron extract nanodroplets. Food Chem. 2017, 221, 1962–1969. [Google Scholar] [CrossRef]
- Rahaiee, S.; Hashemi, M.; Shojaosadati, S.A.; Moini, S.; Razavi, S.H. Nanoparticles based on crocin loaded chitosan-alginate biopolymers: Antioxidant activities, bioavailability and anticancer properties. Int. J. Biol. Macromol. 2017, 99, 401–408. [Google Scholar] [CrossRef]
- Hafezi Ghahestani, Z.; Alebooye Langroodi, F.; Mokhtarzadeh, A.; Ramezani, M.; Hashemi, M. Evaluation of anti-cancer activity of PLGA nanoparticles containing crocetin. Artif. Cells Nanomed. Biotechnol. 2017, 45, 955–960. [Google Scholar] [CrossRef]
- Kyriakoudi, A.; Tsimidou, M.Z. Properties of encapsulated saffron extracts in maltodextrin using the Büchi B-90 nano spray-dryer. Food Chem. 2018, 266, 458–465. [Google Scholar] [CrossRef]
- Puglia, C.; Santonocito, D.; Musumeci, T.; Cardile, V.; Graziano, A.C.E.; Salerno, L.; Raciti, G.; Crascì, L.; Panico, A.M.; Puglisi, G. Nanotechnological approach to increase the antioxidant and cytotoxic efficacy of crocin and crocetin. Planta Med. 2019, 85, 258–265. [Google Scholar] [CrossRef]
- Dehcheshme, M.A.; Milad Fathi, M. Production of core-shell nanofibers from zein and tragacanth for encapsulation of saffron extract. Int. J. Biol. Macromol. 2019, 122, 272–279. [Google Scholar] [CrossRef]
- Rajabi, H.; Jafari, S.M.; Rajabzadeh, G.; Sarfarazi, M.; Sedaghati, S. Chitosan-gum Arabic complex nanocarriers for encapsulation of saffron bioactive components. Colloids Surf. A 2019, 578, 123644. [Google Scholar] [CrossRef]
- Hadavi, R.; Jafari, S.M.; Katouzian, I. Nanoliposomal encapsulation of saffron bioactive compounds: Characterization and optimization. Int. J. Biol. Macromol. 2020, 164, 4046–4053. [Google Scholar] [CrossRef] [PubMed]
- Najafi, Z.; Kahn, C.J.F.; Bildik, F.; Arab-Tehrany, E.; Şahin-Yeşilçubuk, N. Pullulan films loading saffron extract encapsulated in nanoliposomes; preparation and characterization. Int. J. Biol. Macromol. 2021, 188, 62–71. [Google Scholar] [CrossRef] [PubMed]
- Gani, A.; Jan, R.; Ashwar, B.A.; Asrhraf, Z.; Shah, A.; Gani, A. Encapsulation of saffron and sea buckthorn bioactives: Its utilization for development of low glycemic baked product for growing diabetic population of the world. LWT 2021, 142, 111035. [Google Scholar] [CrossRef]
- Golpira, F.; Neda Maftoonazad, N.; Ramaswamy, H.S. Evaluation of freeze drying and electrospinning techniques for saffron encapsulation and storage stability of encapsulated bioactives. J. Compos. Sci. 2021, 5, 326. [Google Scholar] [CrossRef]
- Najafi, Z.; Cetinkaya, T.; Bildik, F.; Altay, F.; Sahin-Yesilçubuk, N. Nanoencapsulation of saffron (Crocus sativus L.) extract in zein nanofibers and their application for the preservation of sea bass fillets. LWT Food Sci. Technol. 2022, 163, 113588. [Google Scholar] [CrossRef]
- Nasrpour, S.; Yousefi, G.; Niakosari, M.; Aminlari, M. Nanoencapsulation of saffron crocin into chitosan/alginate interpolyelectrolyte complexes for oral delivery: A Taguchi approach to design optimization. J. Food Sci. 2022, 87, 1148–1160. [Google Scholar] [CrossRef]
- Bakshi, R.A.; Sodhi, N.S.; Wani, I.A.; Khan, Z.S.; Dhillon, B.; Gani, A. Bioactive constituents of saffron plant: Extraction, encapsulation and their food and pharmaceutical applications. Appl. Food Res. 2022, 2, 100076. [Google Scholar] [CrossRef]
- Bazana, M.T.; Codevilla, C.F.; de Menezes, C.R. Nanoencapsulation of bioactive compounds: Challenges and perspectives. Curr. Opin. Food Sci. 2019, 26, 47–56. [Google Scholar] [CrossRef]
- Orfanou, O.; Tsimidou, M. Evaluation of the colouriug strength of saffron spice by UV-Vis spectrometry. Food Chem. 1996, 51, 463–469. [Google Scholar] [CrossRef]
- Sánchez, A.M.; Carmona, M.; del Campo, C.P.; Alonso, G.L. Solid phase extraction for picrocrocin determination in the quality control of saffron spice (Crocus sativus L.). Food Chem. 2009, 116, 792–798. [Google Scholar] [CrossRef]
- Esclapez, M.D.; García-Pérez, J.V.; Mulet, A.; Cárcel, J.A. Ultrasound-assisted extraction of natural products. Food Eng. Rev. 2011, 3, 108. [Google Scholar] [CrossRef]
- Cossignani, L.; Urbani, E.; Simonetti, M.S.; Maurizi, A.; Chiesi, C.; Blasi, F. Characterisation of secondary metabolites in saffron from central Italy (Cascia, Umbria). Food Chem. 2014, 143, 446–453. [Google Scholar] [CrossRef]
- Wang, K.; Xu, Z.; Liao, X. Bioactive compounds, health benefits and functional food products of sea buckthorn: A review. Crit. Rev. Food Sci. Nutr. 2022, 62, 6761–6782. [Google Scholar] [CrossRef]
- Dudhani, A.R.; Kosaraju, S.L. Bioadhesive chitosan nanoparticles: Preparation and characterization. Carbohydr. Polym. 2010, 81, 243–251. [Google Scholar] [CrossRef]
- Takahashi, M.; Harada, K. Method for the Purification of Crocetin. WO2004078695, 16 September 2004. [Google Scholar]
- Drosou, C.G.; Krokida, M.K.; Biliaderis, C.G. Encapsulation of bioactive compounds through electrospinning/electrospraying and spray drying: A comparative assessment of food-related applications. Dry. Technol. 2017, 35, 139–162. [Google Scholar] [CrossRef]
- Awuchi, C.G.; Morya, S.; Dendegh, T.A.; Okpala, C.O.R.; Korzeniowska, M. Nanoencapsulation of food bioactive constituents and its associated processes: A revisit. Bioresour. Technol. Rep. 2022, 19, 101088. [Google Scholar] [CrossRef]
- Pateiro, M.; Gómez, B.; Munekata, P.E.S.; Barba, F.J.; Putnik, P.; Kovačević, D.B.; Lorenzo, J.M. Nanoencapsulation of promising bioactive compounds to improve their absorption, stability, functionality and the appearance of the final food products. Molecules 2021, 26, 1547. [Google Scholar] [CrossRef] [PubMed]


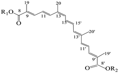
| Crocins (trans- and cis-forms, left and right side, respectively) | |
![]() | ![]() |
![]() A | ![]() B |
![]() C | ![]() D |
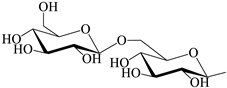
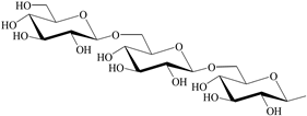
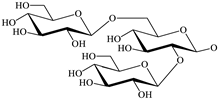
| Group | Chemical compound |
| R1 = R2 = B | trans-crocetin di(β-D-gentiobiosyl) ester |
| R1 = C (or D), R2 = B | trans-crocetin tri(β-D-glucosyl)-(β-D- gentiobiosyl) ester (or trans-crocetin (β-D- gentiobiosyl)-(β-D-neopolitanosyl) ester) |
| R1 = B, R2 = A | trans-crocetin (β-D-gentiobiosyl)-(β-D-glucosyl) ester |
| R1 = R2 = A | trans-crocetin di (β-D-glucosyl) ester, |
| R1 = B, R2 = H | trans-crocetin (β-D- gentiobiosyl) ester, |
| R1 = A, R2 = H | trans-crocetin (β-D-glucosyl) ester, |
| R1 = R2 = H | crocetin |
| R1 = R2 = CH3- | dimethyl ester of crocetin |
| Other major bioactive compounds | |
![]() 4-(β-D-glucopyranosyloxy)-2,6,6-trimethyl-1-cyclohexene-carboxaldehyde) (picrocrocin) | ![]() trimethyl-1,3-cyclohexadiene-1-carboxaldehyde) (safranal) |
| Year | Publications No | Publications No | |||
|---|---|---|---|---|---|
| A * | B ** | Year | A * | B ** | |
| 2022 | 8 | 62 | 2010 | 0 | 5 |
| 2021 | 3 | 49 | 2009 | 0 | 4 |
| 2020 | 6 | 31 | 2008 | 0 | 3 |
| 2019 | 4 | 26 | 2007 | 0 | 2 |
| 2018 | 4 | 29 | 2006 | 0 | 0 |
| 2017 | 8 | 19 | 2005 | 0 | 0 |
| 2016 | 4 | 20 | 2004 | 1 | 3 |
| 2015 | 3 | 13 | 2003 | 0 | 0 |
| 2014 | 0 | 11 | 2002 | 0 | 1 |
| 2013 | 1 | 10 | 2001 | 0 | 1 |
| 2012 | 0 | 7 | 2000 | 1 | 1 |
| 2011 | 2 | 10 | |||
Disclaimer/Publisher’s Note: The statements, opinions and data contained in all publications are solely those of the individual author(s) and contributor(s) and not of MDPI and/or the editor(s). MDPI and/or the editor(s) disclaim responsibility for any injury to people or property resulting from any ideas, methods, instructions or products referred to in the content. |
© 2023 by the author. Licensee MDPI, Basel, Switzerland. This article is an open access article distributed under the terms and conditions of the Creative Commons Attribution (CC BY) license (https://creativecommons.org/licenses/by/4.0/).
Share and Cite
Tsimidou, M.Z. On the Importance of the Starting Material Choice and Analytical Procedures Adopted When Developing a Strategy for the Nanoencapsulation of Saffron (Crocus sativus L.) Bioactive Antioxidants. Antioxidants 2023, 12, 496. https://doi.org/10.3390/antiox12020496
Tsimidou MZ. On the Importance of the Starting Material Choice and Analytical Procedures Adopted When Developing a Strategy for the Nanoencapsulation of Saffron (Crocus sativus L.) Bioactive Antioxidants. Antioxidants. 2023; 12(2):496. https://doi.org/10.3390/antiox12020496
Chicago/Turabian StyleTsimidou, Maria Z. 2023. "On the Importance of the Starting Material Choice and Analytical Procedures Adopted When Developing a Strategy for the Nanoencapsulation of Saffron (Crocus sativus L.) Bioactive Antioxidants" Antioxidants 12, no. 2: 496. https://doi.org/10.3390/antiox12020496
APA StyleTsimidou, M. Z. (2023). On the Importance of the Starting Material Choice and Analytical Procedures Adopted When Developing a Strategy for the Nanoencapsulation of Saffron (Crocus sativus L.) Bioactive Antioxidants. Antioxidants, 12(2), 496. https://doi.org/10.3390/antiox12020496








