Evaluation of Yogurt Quality during Storage by Fluorescence Spectroscopy
Abstract
:Featured Application
Abstract
1. Introduction
2. Materials and Methods
2.1. Yogurt Samples
2.2. Experimental Setup
2.3. pH and Viscosity Measurements
2.4. Statistical Analysis
3. Results and Discussion
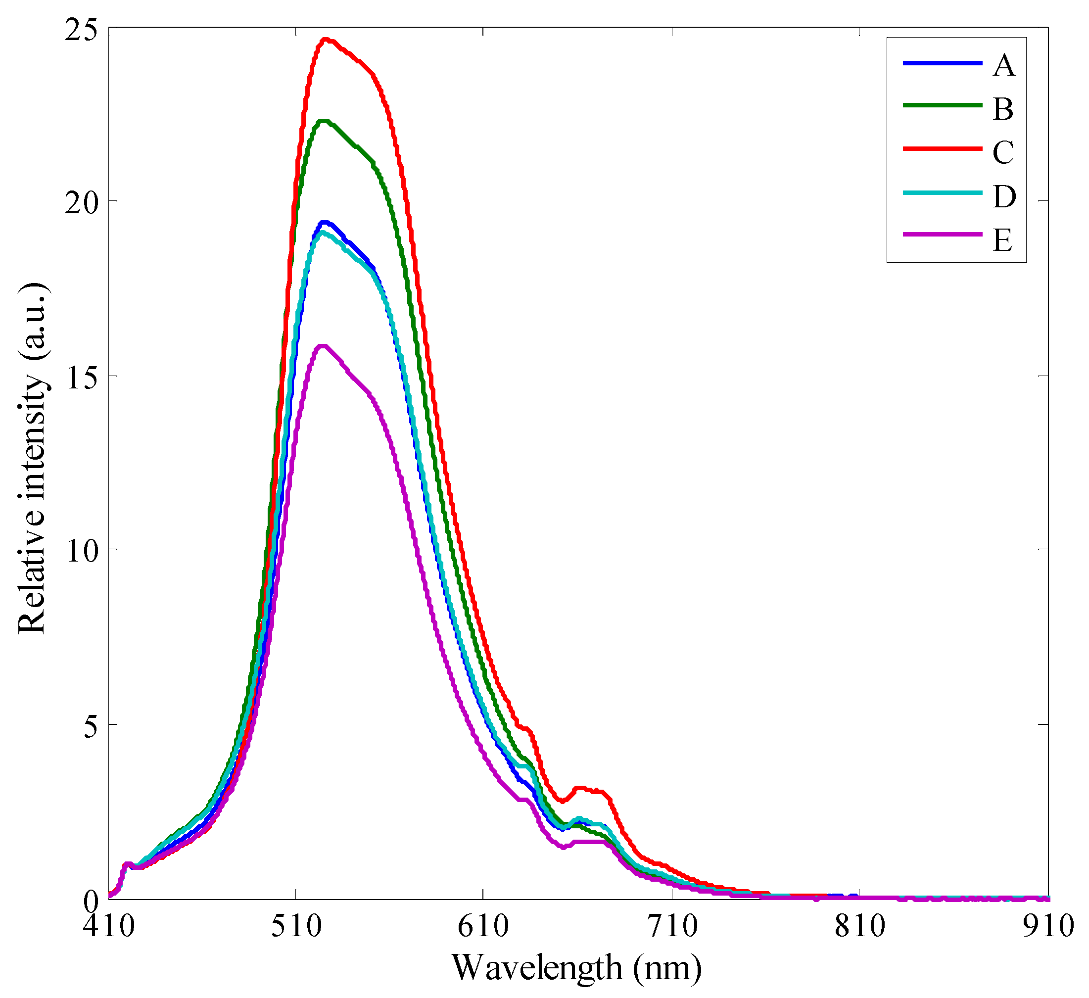
3.1. Spectral Investigation
3.2. Yogurt Classification Based on LDA
3.3. The Quality Evaluation
4. Conclusions
Author Contributions
Funding
Conflicts of Interest
References
- Astrup, A. Yogurt and dairy product consumption to prevent cardiometabolic diseases: Epidemiologic and experimental studies. Am. J. Clin. Nutr. 2004, 99, 1235S–1242S. [Google Scholar] [CrossRef] [PubMed]
- Garcia-Armesto, M.R.; Prieto, M.; García-López, M.L.; Otero, A.; Moreno, B. Modern microbiological methods for foods: Colony count and direct count methods. A review. Microbiologia 1993, 9, 1–13. [Google Scholar] [PubMed]
- Siciliano, R.A.; Rega, B.; Amoresano, A.; Pucci, P. Modern mass spectrometric methodologies in monitoring milk quality. Anal. Chem. 2000, 72, 408–415. [Google Scholar] [CrossRef] [PubMed]
- Delphine, V.; Aaron, E.; Condina, M.R.; Vilnis, E.; Simone, R. Quantitation and identification of intact major milk proteins for high-throughput LC-ESI-Q-TOF MS analyses. PLoS ONE 2016, 11, e0163471. [Google Scholar]
- Kunda, P.B.; Benavente, F.; Cataláclariana, S.; Giménez, E.; Barbosa, J.; Sanznebot, V. Identification of bioactive peptides in a functional yogurt by micro liquid chromatography time-of-flight mass spectrometry assisted by retention time prediction. J. Chromatogr. A 2012, 1229, 121–128. [Google Scholar] [CrossRef] [PubMed]
- Chitra, J.; Ghosh, M.; Mishra, H.N. Rapid quantification of cholesterol in dairy powders using Fourier transform near infrared spectroscopy and chemometrics. Food Control 2017, 78, 342–349. [Google Scholar] [CrossRef]
- Núñez-Sánchez, N.; Martínez-Marín, A.L.; Polvillo, O.; Fernández-Cabanás, V.M.; Carrizosa, J.; Urrutia, B.; Serradilla, J.M. Near infrared spectroscopy (NIRS) for the determination of the milk fat fatty acid profile of goats. Food Chem. 2016, 190, 244–252. [Google Scholar] [CrossRef] [PubMed]
- Mabood, F.; Jabeen, F.; Ahmed, M.; Hussain, J.; Al Mashaykhi, S.A.; Al Rubaiey, Z.M.; Farooq, S.; Boqué, R.; Ali, L.; Hussain, Z.; et al. Development of new NIR-spectroscopy method combined with multivariate analysis for detection of adulteration in camel milk with goat milk. Food Chem. 2017, 221, 746–750. [Google Scholar] [CrossRef] [PubMed]
- Yang, R.; Liu, R.; Dong, G.; Xu, K.; Yang, Y.; Zhang, W. Two-dimensional hetero-spectral mid-infrared and near-infrared correlation spectroscopy for discrimination adulterated milk. Spectrochim. Acta Part A 2016, 157, 50–54. [Google Scholar] [CrossRef] [PubMed]
- Soto-Barajas, M.C.; González-Martín, M.I.; Salvador-Esteban, J.; Hernández-Hierro, J.M.; Moreno-Rodilla, V.; Vivar-Quintana, A.M.; Revilla, I.; Ortega, I.L.; Morón-Sancho, R.; Curto-Diego, B. Prediction of the type of milk and degree of ripening in cheeses by means of artificial neural networks with data concerning fatty acids and near infrared spectroscopy. Talanta 2013, 116, 50–55. [Google Scholar] [CrossRef] [PubMed]
- He, Y.; Feng, S.; Deng, X.; Li, X. Study on lossless discrimination of varieties of yogurt using the visible/NIR-spectroscopy. Food Res. Int. 2006, 39, 645–650. [Google Scholar] [CrossRef]
- Shao, Y.; He, Y.; Feng, S. Measurement of yogurt internal quality through using Vis/NIR spectroscopy. Food Res. Int. 2007, 40, 835–841. [Google Scholar] [CrossRef]
- Aliakbarian, B.; Bagnasco, L.; Perego, P.; Leardi, R.; Casale, M. UV-Vis spectroscopy for monitoring yogurt stability during storage time. Anal. Methods 2016, 8, 5962–5969. [Google Scholar] [CrossRef]
- Abdel-Salam, Z.; Abdel-Salam, S.A.M.; Abdel-Mageed, I.I.; Harith, M.A. Assessment of sheep colostrum via laser induced fluorescence and chemometrics. Small Rumin. Res. 2017, 155, 51–56. [Google Scholar] [CrossRef]
- Ding, W.; Gao, F.; Yan, C. LED-induced fluorescence spectroscopy technique for milk freshness detection. In Proceedings of the International Conference on Optical Communications and Networks, New York, NY, USA, 4–5 June 2017. [Google Scholar]
- Liu, J.; Yu, C.Q.; Li, J.Z.; Yan, J.X. Study on the deteriorating course of fresh milk by laser-induced fluorescence spectra. Spectrosc. Spectr. Anal. 2001, 21, 769–771. [Google Scholar]
- Abildgaard, O.H.; Kamran, F.; Dahl, A.B.; Skytte, J.L.; Nielsen, F.D.; Thomsen, C.L.; Andersen, P.E.; Larsen, R.; Frisvad, J.R. Non-invasive assessment of dairy products using spatially resolved diffuse reflectance spectroscopy. Appl. Spectrosc. 2015, 69, 1096–1105. [Google Scholar] [CrossRef] [PubMed]
- Zhang, H.; Wang, S.; Chang, K.; Sun, H.; Guo, Q.; Ma, L.; Yang, Y.; Zou, C.; Wang, L.; Hu, J. Optical characterization of paper aging based on laser-induced fluorescence (LIF) spectroscopy. Appl. Spectrosc. 2018, 72, 913–920. [Google Scholar] [CrossRef] [PubMed]
- Næs, T.; Isaksson, T.; Fearn, T.; Davies, T. A User-Friendly Guide to Multivariate Calibration and Classification; NIR Publications: Chichester, UK, 2002. [Google Scholar]
- Andersen, C.M.; Mortensen, G. Fluorescence spectroscopy: A rapid tool for analyzing dairy products. J. Agric. Food Chem. 2008, 56, 720–729. [Google Scholar] [CrossRef] [PubMed]
- Wold, J.P.; Jørgensen, K.; Lundby, F. Nondestructive measurement of light-induced oxidation in dairy products by fluorescence spectroscopy and imaging. J. Dairy Sci. 2002, 85, 1693–1704. [Google Scholar] [CrossRef]
- Wold, J.P.; Veberg, A.; Nilsen, A.; Iani, V.; Juzenas, P.; Moan, J. The role of naturally occurring chlorophyll and porphyrins in light-induced oxidation of dairy products. A study based on fluorescence spectroscopy and sensory analysis. Int. Dairy J. 2005, 15, 343–353. [Google Scholar] [CrossRef]
- Shaikh, S.; O’Donnell, C. Applications of fluorescence spectroscopy in dairy processing: A review. Curr. Opin. Food Sci. 2017, 17, 16–24. [Google Scholar] [CrossRef]







© 2019 by the authors. Licensee MDPI, Basel, Switzerland. This article is an open access article distributed under the terms and conditions of the Creative Commons Attribution (CC BY) license (http://creativecommons.org/licenses/by/4.0/).
Share and Cite
Sun, H.; Wang, L.; Zhang, H.; Wu, A.; Zhu, J.; Zhang, W.; Hu, J. Evaluation of Yogurt Quality during Storage by Fluorescence Spectroscopy. Appl. Sci. 2019, 9, 131. https://doi.org/10.3390/app9010131
Sun H, Wang L, Zhang H, Wu A, Zhu J, Zhang W, Hu J. Evaluation of Yogurt Quality during Storage by Fluorescence Spectroscopy. Applied Sciences. 2019; 9(1):131. https://doi.org/10.3390/app9010131
Chicago/Turabian StyleSun, Haifeng, Ling Wang, Hao Zhang, Ang Wu, Juanhua Zhu, Wei Zhang, and Jiandong Hu. 2019. "Evaluation of Yogurt Quality during Storage by Fluorescence Spectroscopy" Applied Sciences 9, no. 1: 131. https://doi.org/10.3390/app9010131
APA StyleSun, H., Wang, L., Zhang, H., Wu, A., Zhu, J., Zhang, W., & Hu, J. (2019). Evaluation of Yogurt Quality during Storage by Fluorescence Spectroscopy. Applied Sciences, 9(1), 131. https://doi.org/10.3390/app9010131

