You are currently viewing a new version of our website. To view the old version click .
Applied Sciences
  • Article
  • Open Access

6 October 2025

Effects of High-Intensity Interval Training on Functional Fitness in Older Adults

,
,
,
,
,
and
1
Department of Sport Sciences and Physical Education, Polytechnic Institute of Bragança, 5300-253 Bragança, Portugal
2
Department of Physical Education, Federal University of Viçosa, Viçosa 36570-900, MG, Brazil
3
Department of Sports Sciences, Polytechnic of Guarda, 6300-559 Guarda, Portugal
4
Department of Sports Sciences, Polytechnic of Cávado and Ave, 4750-810 Barcelos, Portugal
This article belongs to the Special Issue Sports, Exercise and Healthcare

Abstract

(1) Background: The global increase in life expectancy has generated growing interest in strategies that support functional independence and quality of life among older adults. Functional fitness—including strength, mobility, flexibility, and aerobic endurance—is essential for preserving autonomy during aging. In this context, physical exercise, particularly High-Intensity Interval Training (HIIT), has gained attention for its time efficiency and physiological benefits. This randomized controlled trial aimed to evaluate the effects of a group-based HIIT program on functional fitness in older adults; (2) Methods: Functional outcomes were assessed before, during, and after a 65-week intervention using standardized field tests, including measures of upper and lower body strength, flexibility, aerobic endurance, and agility. This study was prospectively registered at ClinicalTrials.gov (NCT07170579); (3) Results: Significant improvements were observed in the HIIT group across multiple domains of functional fitness compared to the control group, notably in upper body strength, lower limb flexibility, cardiorespiratory endurance, and mobility; (4) Conclusions: These results suggest that HIIT is an effective and adaptable strategy for improving functional fitness in older adults, with the potential to enhance performance in daily activities and support healthy aging in community settings.

1. Introduction

The global population of older adults has grown substantially in recent decades. By 2050, the number of individuals aged 60 and above is projected to nearly double, comprising approximately 21% of the world’s population—around 2.1 billion people [1]. This demographic shift is occurring at an unprecedented pace, driven by advances in medical science, improved living conditions, and declining birth rates [2].
While regions such as Europe and North America are expected to experience the highest proportions of aging populations, developing countries—particularly in Asia and Latin America—are undergoing even faster relative growth in this age group [3]. Although life expectancy has increased significantly, this rapid demographic transition presents major challenges for public policy, economic systems, healthcare, social support services, and family structures worldwide. Coordinated strategies are needed to ensure the quality of life, sustainability of services, and social inclusion of older adults [4].
Moreover, the increasing prevalence of chronic diseases—closely linked to aging—exacerbates the demands on healthcare systems [5]. This situation is further compounded by falling birth rates in high- and middle-income countries, alongside the continued rise in life expectancy observed since the 20th century [6]. In this context of demographic and epidemiological transformation, the implementation of effective public health policies and care strategies that promote health, autonomy, and well-being among older adults is both urgent and essential [7,8].
In this context, physical exercise stands out as a fundamental non-pharmacological strategy in the pursuit of healthy aging, playing a key role in both the prevention and management of various chronic conditions and contributing significantly to the improvement of quality of life [9,10].
High-Intensity Interval Training (HIIT) has gained increasing recognition in recent years as a safe and effective exercise modality, even for older adults when appropriately adapted and supervised [11,12,13]. Characterized by short bursts of vigorous activity interspersed with periods of active recovery or rest, HIIT can be implemented using functional movements, calisthenics, or aerobic exercises across various settings [14]. A growing body of evidence suggests that HIIT can significantly improve cardiorespiratory fitness, muscular strength, and body composition in older populations. Additionally, it may reduce inflammatory markers, enhance insulin sensitivity, and support blood pressure regulation [11,12,13,15].
Despite its promising benefits, the literature still presents gaps concerning the specific effects of HIIT on functional fitness among older adults—particularly in domains directly related to autonomy in daily living, such as upper and lower limb strength, mobility, flexibility, and aerobic endurance. Functional fitness is widely acknowledged as a critical determinant of independence and quality of life in aging populations [16]. Its progressive decline can impair mobility, balance, and overall physical performance [17]. In this context, standardized functional assessments provide reliable tools for monitoring age-related changes and guiding targeted interventions [18].
Muscle strength, in particular, plays a central role in maintaining health and functional independence. It is closely associated with physical performance, prevention of disability, and reduced risk of morbidity and mortality in older adults [19]. Among the various assessment tools, handgrip strength has emerged as a widely used indicator due to its simplicity, reliability, and strong predictive value for adverse health outcomes in aging populations [20].
Therefore, the present study aimed to evaluate the effects of a 65-week high-intensity interval training (HIIT) program on multiple components of functional fitness in community-dwelling older adults. By integrating long-term follow-up, field-based functional assessments, nonparametric statistical modeling, and a training protocol grounded in functional movements without the use of resistance machines, this randomized controlled trial offers a novel and practical contribution to the literature on the feasibility, effectiveness, and sustainability of HIIT in real-world aging contexts.
We hypothesized that participants in the HIIT group would exhibit significantly greater improvements in functional fitness components—including muscular strength, flexibility, aerobic endurance, and mobility—compared to those in the control group.

2. Materials and Methods

2.1. Study Design and Ethical Considerations

This single-blind, parallel-group randomized controlled trial (RCT) was conducted over a 65-week period. Ethical approval was obtained from the Ethics Committee of the Polytechnic Institute of Bragança (IPB) under protocol ID 2067313.
The study protocol was developed in accordance with the SPIRIT (Standard Protocol Items: Recommendations for Interventional Trials) guidelines [21], and all procedures complied with the ethical principles outlined in the Declaration of Helsinki. The trial was reported following the CONSORT (Consolidated Standards of Reporting Trials) guidelines for non-pharmacologic treatments [22].
The trial was prospectively registered on ClinicalTrials.gov (NCT06843486) prior to participant enrollment, in accordance with the International Committee of Medical Journal Editors (ICMJE) recommendations.
The intervention and all data collection procedures were conducted between February 2022 and June 2023.

2.2. Sample Description

The final sample included 79 community-dwelling older adults, with a mean age of 68.96 years and a mean body mass index (BMI) of 28.15 kg/m². The cohort consisted of 40 women and 39 men, who were randomly assigned to either the high-intensity interval training (HIIT) group (n = 39) or the control group (n = 40).
All participants were residents of Bragança, Portugal, and were recruited through outreach initiatives connected to local community programs and physical activity projects promoted by the Polytechnic Institute of Bragança (IPB).
A detailed flowchart illustrating participant progression throughout the trial is provided in the Results section.

2.3. Eligibility Criteria

Individuals were eligible to participate if they were aged 65 years or older, lived independently in the community, and had no physical or psychological conditions that could compromise their ability to safely engage in training sessions or assessments. Participants also needed to have adequate auditory and visual function and be able to perform daily activities without the use of mobility aids. These criteria were adapted from previous HIIT studies involving older adults [11,12,13].
Exclusion criteria included: being younger than 65 years of age; having diagnosed medical or cognitive conditions that could interfere with participation; severe hearing or visual impairments; and requiring assistive devices for walking or performing daily activities.

2.4. Recruitment and Randomization

A convenience sampling strategy was employed. Participants were recruited through community centers, senior associations, health promotion events, printed flyers, and social media platforms. Random assignment to the HIIT or control group was performed using a computer-generated simple randomization sequence in RStudio [23,24].
The randomization process was overseen by an independent researcher who was not involved in participant recruitment or outcome assessments, thereby ensuring allocation concealment and minimizing selection bias.
Written informed consent was obtained from all participants prior to their enrollment in the study.

2.5. Sample Size Calculation

The sample size was determined based on the primary outcome: the number of steps completed in the 2-Minute Step Test (2MST). Drawing on data from previous studies [11], a minimum clinically important difference of 15 steps and a standard deviation of 18 steps were assumed.
For a repeated-measures ANOVA design (two groups, three time points), with a significance level of α = 0.05 and a statistical power of 1 − β = 0.80, the minimum required sample size was calculated to be 66 participants (33 per group).
To account for potential dropouts over the 65-week intervention period, the final sample was increased to 79 participants. The calculation was performed using G*Power software (version 3.1).

2.6. Procedures

2.6.1. Anthropometry

Body weight was measured to the nearest 0.1 kg using a calibrated digital scale (SECA®, Hamburg, Germany), with participants wearing light clothing and no footwear. Height was assessed using the stadiometer integrated into the scale, measuring the vertical distance from the vertex of the head to the floor with a precision of 0.1 cm.
Body Mass Index (BMI) was then calculated using the standard formula: weight (kg) divided by height squared (m2) [25,26]. BMI classification followed the World Health Organization (WHO) guidelines (2010), defining normal weight as 18.50–24.99 kg/m2, pre-obesity as 25.00–29.99 kg/m2, obesity class I as 30.00–34.99 kg/m2, and obesity class II as 35.00–39.99 kg/m2 [27].

2.6.2. Assessment of Functional Fitness

Functional fitness was assessed using the Senior Fitness Test battery developed by Rikli and Jones [28], a widely recognized tool specifically designed for older adults. This battery evaluates key components of physical fitness, including muscular strength, flexibility, agility, balance, and cardiorespiratory endurance. The testing protocol comprised the following six components:
  • Lower limb strength: Assessed using the 30 s Chair Stand Test, where participants were instructed to stand up and sit down from a standard chair as many times as possible within 30 s, with arms crossed over the chest. Only one trial was performed, and the number of correct repetitions was recorded.
  • Upper limb strength: Evaluated using the Arm Curl Test, in which participants lifted a dumbbell (2.3 kg for females, 3.6 kg for males) with the dominant arm while seated. The number of complete repetitions performed in 30 s was recorded. One trial was conducted.
  • Lower limb flexibility: Measured using the Chair Sit-and-Reach Test. Participants extended one leg forward and reached toward the toes, holding the final position. The best result from two attempts was recorded.
  • Upper limb flexibility: Assessed using the Back Scratch Test, recording the distance between the middle fingers of both hands placed behind the back. The best of two trials was noted.
  • Agility and dynamic balance: Evaluated with the Timed Up and Go (TUG) test. Participants stood up from a chair, walked three meters, turned around, returned, and sat down. The fastest time of two trials was recorded in seconds.
  • Cardiorespiratory endurance: Assessed using the 2-Minute Step Test (2MST). Participants marched in place for two minutes, raising their knees to a height midway between the patella and iliac crest. Only the number of times the right knee reached the required height was counted. One trial was performed.
This battery has been consistently applied in prior research involving older adults to assess functional capacity across various physical domains [29,30].

2.6.3. Handgrip Strength

In addition to the components of the Senior Fitness Test battery, handgrip strength was assessed as a key indicator of overall muscular strength and functional status in older adults. This measurement was performed using a calibrated digital dynamometer (JAMAR® , Bolingbrook, IL, USA), following standardized procedures outlined in international guidelines.
Participants completed the test in a seated position, with the elbow flexed at 90 degrees and the forearm in a neutral position. They were instructed to squeeze the device with maximum effort using their dominant hand, performing three attempts. The highest value, expressed in kilograms, was used for analysis.
Handgrip strength is widely recognized as a simple, reliable, and predictive measure of physical function and has been strongly associated with disability, fall risk, morbidity, and mortality in older populations [31].

2.6.4. High Intensity Interval Training Program

The high-intensity interval training (HIIT) protocol was designed in accordance with international guidelines for physical activity in older adults [32], with appropriate modifications to ensure safety and feasibility for this population. The intervention spanned 65 weeks, during which participants attended three 60 Min group-based sessions per week. Each session followed a structured format, integrating intense cardiovascular efforts, active recovery, and functional aerobic movements, as described below:
  • Warm-up (10 min): Included joint mobility drills, dynamic stretching, and low-intensity aerobic movements to gradually increase heart rate and prepare the body for exercise.
  • HIIT Core (30 min): Comprised repeated cycles of high-intensity functional movements (30–60 s)—such as stationary marching, high knees, jumping jacks, butt kicks, and modified burpees—interspersed with active recovery periods (60–90 s) using light movements or slow-paced marching. Each session included 6 to 10 work-recovery intervals, with progressive increases in volume and intensity throughout the program.
  • Aerobic Functional Segment (10 min): Focused on reinforcing cardiovascular endurance through moderate-paced rhythmic movements and coordination tasks aimed at improving agility and motor control. Exercises included step taps, lateral steps, and multi-directional walking patterns.
  • Cool-down (10 min): Consisted of static stretching for major muscle groups and guided breathing exercises to support recovery and return to baseline.
All sessions were conducted by certified physiotherapists and exercise professionals, with individualized modifications based on each participant’s functional capacity and clinical status. The Borg Rating of Perceived Exertion (RPE 6–20 scale) was applied weekly to monitor training load, targeting values between 13 And 17 during high-intensity bouts and 9–11 during recovery periods [33].
The intervention was delivered in a shared community facility used for other physical activity programs, with up to 50 participants per session. Despite the group setting, participants received individualized guidance and supervision. Exercises were adapted as needed based on mobility limitations, perceived exertion, and functional ability—through modifications in range of motion, movement speed, balance support (e.g., chairs), and complexity. Although heart rate was not directly monitored, the RPE scale was used in real-time during all sessions to adjust intensity and ensure safety, in line with prior HIIT studies in older adults.
Participants in the control group were instructed to maintain their usual daily activities and avoid starting any new structured exercise routines during the study period. They did not receive any exercise supervision or counseling. To monitor compliance, monthly check-in calls were made to document health status, protocol adherence, and any changes in activity behavior. Control group participants remained in the final analysis unless they engaged in other structured training programs during the intervention.
Adherence to the HIIT protocol was tracked through individual attendance logs maintained by the instructors. A minimum participation rate of 70% of sessions was required for inclusion in the final analysis. Participants who did not meet this criterion were excluded to ensure that outcome measures reflected consistent exposure to the intervention.

2.6.5. Timeline of Assessments

The intervention and evaluation process was structured around three assessment time points:
  • M1 (PRE): Conducted prior to the initiation of the high-intensity interval training program.
  • M2 (MID): Conducted at the midpoint of the 65-week intervention.
  • M3 (POST): Conducted upon completion of the training program.
All assessments were administered at the same time of day as the baseline (M1) evaluations, typically between 8:00 and 11:00 a.m., in order to ensure measurement consistency and minimize the influence of circadian variation on physical performance.

2.7. Statistical Analyses

All statistical analyses were performed using RStudio (version 2024.09.0+375 [23,24]. Descriptive statistics, normality tests (Shapiro–Wilk and Levene’s) [34,35], and comparative procedures were applied to evaluate differences across time and between groups. A significance level of p < 0.05 was adopted for all statistical tests [36].
Given that most variables violated the assumptions of normality, a nonparametric approach was applied to the entire dataset—including variables that initially exhibited normal distribution—following best practices for nonparametric inference [37]. The Brunner–Langer nonparametric ANOVA was selected, as it is well-suited for repeated-measures data with non-normal distributions and heterogeneous variances, conditions commonly observed in older populations [38]. His model enables the analysis of main effects (group and time) and their interaction (group × time) without relying on parametric assumptions. Analyses were conducted using the nparLD package in R, which provides both ANOVA-Type Statistics (ATS) and Wald-Type Statistics (WTS).
To complement p-values, the Relative Treatment Effect (RTE) was calculated as a nonparametric effect size measure. RTE reflects the probability that a randomly selected observation from a given group will have a higher value than a randomly selected observation from the overall sample [39]. Values above 0.5 indicate a favorable effect relative to the global distribution, thus enhancing the interpretability of treatment effects in a distribution-free context.
When the Brunner–Langer model indicated a significant main effect or interaction, post hoc pairwise comparisons were conducted to identify specific time points at which differences occurred. These comparisons were implemented using the nparcomp and multcomp packages in R, with appropriate corrections for multiple comparisons to ensure statistical rigor and control for Type I error [40,41].
This statistical strategy was chosen due to the longitudinal, nonparametric nature of the dataset. The Brunner–Langer model is particularly appropriate for repeated-measures designs in which normality assumptions are violated and where variance heterogeneity and moderate sample sizes are present—scenarios frequently encountered in geriatric exercise research. By allowing for robust inference without strict distributional assumptions, this approach enhances both the validity and replicability of the findings and provides more accurate estimates of intervention effects in heterogeneous older adult populations.

3. Results

Figure 1 presents the CONSORT flow diagram outlining participant enrollment, allocation, follow-up, and analysis. A total of 79 individuals were enrolled and randomly assigned to either the HIIT group (n = 39) or the control group (n = 40). All participants completed the baseline assessments, and retention was monitored throughout the 65-week intervention.
Figure 1. CONSORT diagram of the study.
Table 1 shows the main characteristics and composition of the sample between the experimental group and the control group.
Table 1. Descriptive statistics for group composition, age, and BMI.
Throughout the 65-week intervention, perceived exercise intensity was monitored weekly using the Borg Rating of Perceived Exertion (RPE) scale. Participants in the HIIT group consistently reported values between 13 and 16 (mean: 14.2 ± 1.1) during high-intensity intervals, and between 9 and 11 (mean: 10.0 ± 0.9) during active recovery phases. These values confirm that the sessions were conducted within the intended intensity range, ensuring the fidelity and safety of the HIIT protocol.
Table 2 presents the descriptive statistics (mean, median, SD, 95% CI, and RTE) of functional fitness outcomes for both groups. RTEs reflect the probability that a randomly selected participant from one group scores higher than a randomly selected participant from the other group. Values above 0.50 indicate better performance in the HIIT group, while values below 0.50 favor the control group. For most variables, the RTEs favored the HIIT group, notably in lower-limb flexibility (RTE = 0.628), handgrip strength (RTE = 0.549), and aerobic endurance (RTE = 0.570).
Table 2. Descriptive statistics of functional fitness variables in the HIIT and Control groups.
In addition to the descriptive differences between groups, inferential analyses were conducted using the Brunner-Langer nonparametric model to assess the main effects of group and time, as well as interaction effects for each functional variable.
Handgrip strength showed a significant group-by-time interaction (ATS = 10.50; p < 0.001), although no main effects were detected. Post hoc comparisons did not confirm specific between-group differences, but a positive trend was observed in the HIIT group, particularly at the post-intervention stage (M3).
Upper-limb flexibility (Back Scratch) also presented a significant group-by-time interaction (ATS = 21.89; p < 0.001). Despite the absence of significant post hoc contrasts, the overall interaction suggests that the HIIT group experienced favorable changes over time compared to the control group.
Aerobic endurance, measured by the 2-Minute Step Test, revealed significant group (ATS = 5.20; p = 0.023) and interaction effects (ATS = 4.64; p = 0.019). RTE values confirmed this trend, increasing in the HIIT group from 0.53 (M1) to 0.61 (M3), while declining in the control group (0.46 to 0.41). At M3, the HIIT group outperformed the control group (p = 0.025).
Lower-limb flexibility (Chair Sit and Reach) improved significantly in the HIIT group, with main effects for group (ATS = 6.96; p = 0.008), time (ATS = 5.12; p = 0.006), and interaction (ATS = 10.91; p < 0.001). Post hoc tests confirmed superior flexibility in the HIIT group at M3 compared to the control group at M1, M2, and M3 (all p < 0.05), indicating progressive improvements attributable to the intervention.
Upper-limb strength (Arm Curl) demonstrated robust improvements, with significant main effects for group (ATS = 22.01; p < 0.001), time (ATS = 15.93; p < 0.001), and interaction (ATS = 46.01; p < 0.001). Multiple contrasts confirmed progressive increases in the HIIT group across all timepoints, with significantly higher values than the control group from mid-intervention onward.
Lower-limb strength (Chair Stand) showed a significant group-by-time interaction (p = 0.012), though post hoc comparisons did not reveal meaningful pairwise differences. This interaction likely reflects minor fluctuations rather than clinically relevant changes.
Finally, functional mobility (TUG) improved significantly in the HIIT group, with strong effects for group (ATS < 0.001) and interaction (ATS < 0.001). RTE values decreased from 0.45 at M1 to 0.34 at M3, reflecting faster execution times, while the control group worsened over time (0.56 to 0.64). Post hoc analyses confirmed significant differences between groups at M3 and within the HIIT group between baseline and post-intervention, supporting the positive impact of the program on mobility.
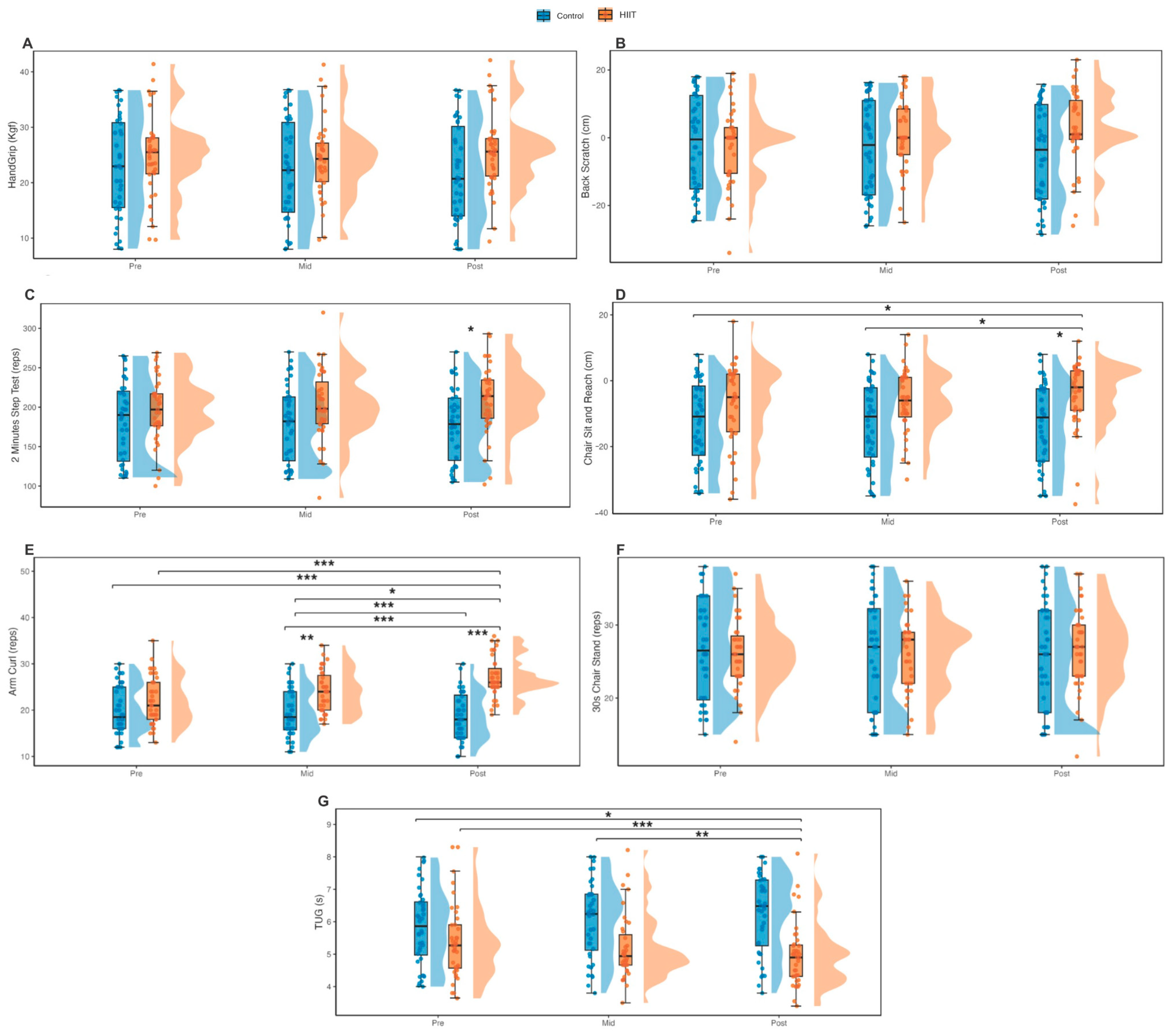
Figure 2 presents the distribution and evolution of all functional fitness outcomes using violin plots overlaid with boxplots and individual data points for both groups (HIIT and Control) at baseline (Pre), mid-point (Mid), and post-intervention (Post). The violin shapes illustrate the distribution density of the data, while the boxplots indicate the median and interquartile range (IQR). Individual dots represent raw participant scores, allowing for visual inspection of intra-group variability. Statistical differences identified in the nonparametric post hoc analyses are marked with asterisks (* p < 0.05; ** p < 0.01; *** p < 0.001), highlighting significant changes over time within or between groups.
Figure 2. Panels represent the following variables: (A) Handgrip strength, (B) Upper-limb flexibility (Back Scratch), (C) Aerobic endurance (2-Minute Step Test), (D) Lower-limb flexibility (Chair Sit and Reach), (E) Upper-limb strength (Arm Curl), (F) Lower-limb strength (30 s Chair Stand), and (G) Functional mobility (TUG). Boxplots show median values and individual distributions per group (HIIT vs. Control). * p < 0.05; ** p < 0.01; *** p < 0.001.

4. Discussion

The objective of this study was to investigate the medium- to long-term effects of a 65-week high-intensity interval training (HIIT) intervention on multiple domains of functional fitness in community-dwelling older adults. Using a pragmatic, field-based approach, the study sought to evaluate the feasibility and real-world applicability of HIIT performed without machines or specialized equipment.
The findings demonstrate that HIIT led to significant and clinically meaningful improvements in several physical fitness components, including upper- and lower-limb strength, flexibility, aerobic endurance, and mobility. These effects were consistently supported by nonparametric longitudinal analyses (Brunner–Langer model) and Relative Treatment Effect (RTE) values, reinforcing the robustness of the results and their relevance for functional autonomy in aging populations.
To our knowledge, this is one of the longest randomized controlled trials using HIIT in older adults, offering novel insights into the sustainability and effectiveness of this training modality over time.
For handgrip strength, a significant group-by-time interaction was identified (F = 3.66; p = 0.05; η2 = 0.031), along with a significant main effect of time (F = 4.32; p = 0.036; η2 = 0.036). Although post hoc comparisons did not yield statistically significant pairwise differences, a progressive trend toward improved strength was observed in the HIIT group, particularly at post-intervention (M3), with a mean increase of 4.43 kg in the dominant hand. These findings are in line with prior evidence indicating the potential of HIIT to enhance upper-limb muscle strength in older populations [42]. Notably, the present results contrast with those of Ballesta-García et al. [43], who reported a modest and non-significant increase (Δ = +0.6 kg; p = 0.397; d = 0.15) in handgrip strength using a similar protocol. This discrepancy may be due to methodological differences, including the longer intervention duration and the inclusion of up-per-limb dynamic movements in the present study (e.g., jumping jacks, modified burpees), which likely provided neuromuscular stimulation even in the absence of resistance-specific exercises.
Regarding upper-limb flexibility, measured using the Back Scratch test, participants in the HIIT group showed an average increase of 2.27 cm from M1 to M3, accompanied by a significant interaction between group and time (ATS = 10.91; p < 0.001), as well as main effects for group (p = 0.008) and time (p = 0.006). These findings support the hypothesis that dynamic multicomponent HIIT can enhance joint range of motion, even in the absence of isolated stretching protocols. Similar results were reported by Santos Villafaina et al. [44] (d = –0.768) and Duan et al. [45], who found large effect sizes favoring HIIT in scapular mobility. The present findings reinforce the notion that integrated, full-body functional movements can yield relevant flexibility gains.
In terms of aerobic capacity, as measured by the 2 Min step test, the HIIT group improved by an average of 20.5 steps (from 83.1 ± 17.8 to 103.6 ± 9.6), with significant main effects for time (p = 0.018) and group (p = 0.020), although the interaction term was not statistically significant (p = 0.59). These results align with those of Schneider Et Al. [46], who observed similar gains using a multicomponent training approach, as well as with Ballesta-García et al. [43], who reported a significant increase of 36 m in the 6 min walk test in their HIICT (High-Intensity Interval Circuit Training) group. Despite methodological differences between tests, the collective findings highlight the potential of HIIT to improve cardiovascular fitness in older adults.
Lower-limb flexibility, assessed via the Chair Sit and Reach test, also improved significantly in the HIIT group (mean increase of 9.91 cm; p = 0.008; d = –0.884). This result is particularly notable given the baseline limitations observed in this domain. These findings are in agreement with studies that implemented structured flexibility routines [47], although the present study achieved comparable outcomes through dynamic and functional exercises. The integration of rhythmic, large-amplitude movements may have facilitated gains in muscle extensibility and joint mobility, supporting the use of multimodal approaches over isolated stretching.
Regarding upper-limb strength, the Brunner-Langer analysis revealed strong effects for group (ATS = 22.01; p < 0.001), time (ATS = 15.93; p < 0.001), and interaction (ATS = 46.01; p < 0.001), indicating robust and progressive improvements in the HIIT group from M1 to M3. These results corroborate previous findings by Bottaro et al. [48], who demonstrated significant strength increases in older men using high-velocity resistance training. While the present protocol did not involve traditional resistance exercises, the intensity and repetition inherent in the HIIT structure appear to have elicited functional strength adaptations.
Conversely, the 30 s chair stand test for lower-limb strength showed a significant interaction effect (p = 0.012), but post hoc tests did not identify specific time points with statistically significant changes (all p > 0.95). This suggests that although the overall pattern differed between groups, individual contrasts lacked sufficient magnitude to be clinically meaningful. These findings diverge from those of Duan et al. [45], who observed clearer improvements in lower-body strength, potentially due to differing emphasis on lower-limb targeting within protocols.
Finally, the Timed Up and Go (TUG) test revealed significant improvements in the HIIT group, evidenced by a strong group-by-time interaction (p < 0.001) and group effect (p < 0.001), with no time effect alone (p = 0.79). Progressive reduction in execution time (RTE: 0.45 to 0.34) suggests enhanced mobility and agility, while the control group showed a decline. These trends were confirmed by post hoc analyses and align with the findings of Khushnood et al. [49], who also reported a significant interaction effect for TUG, albeit without within-group significance. Collectively, these results underscore the potential of HIIT to reverse or mitigate functional decline in mobility among older adults.
Despite its methodological rigor, this study has some limitations that warrant consideration. The use of a non-probabilistic sample composed of independently living, physically active older adults may restrict the applicability of the results to more vulnerable or frail populations or to different sociodemographic contexts. Additionally, while randomization and assessor blinding helped minimize bias, the lack of participant blinding may have introduced performance bias, particularly in self-reported outcomes. Furthermore, spontaneous physical activity among control group participants was not fully controlled during the 65-week period, potentially influencing between-group comparisons. Finally, while the sample size was sufficient to detect moderate effects, the study may have lacked the statistical power to identify smaller or domain-specific changes.
Despite these limitations, the study presents several strengths that reinforce the relevance and robustness of its findings. First, the intervention was conducted over a 65-week period, representing one of the longest HIIT protocols implemented in com-munity-dwelling older adults within a randomized controlled trial. Second, the use of a nonparametric longitudinal model (Brunner–Langer) ensured appropriate handling of the data distribution, enhancing the validity of statistical inferences. Third, the inclusion of a well-defined control group and the use of standardized assessments of functional fitness ensured methodological rigor and reproducibility. Finally, exercise intensity was carefully monitored throughout the intervention using the Borg RPE scale, confirming adherence to HIIT intensity targets and ensuring both safety and fidelity of the sessions. These strengths contribute to the practical applicability and scientific value of the present study.
Overall, this trial demonstrates that a long-term, group-based HIIT proto-col—structured around dynamic, full-body movements—can lead to clinically meaningful improvements in multiple aspects of functional fitness in older adults. These benefits were achieved without the need for resistance machines or isolated flexibility training, highlighting the feasibility, adaptability, and efficacy of HIIT in real-world community settings.

5. Conclusions

This randomized controlled trial suggests that high-intensity interval training (HIIT) may be an effective and safe approach to improve specific domains of functional fitness in community-dwelling older adults. Notably, participants in the HIIT group showed significant improvements in upper-limb strength, lower-limb flexibility, and functional mobility compared to the control group. Although trends toward improvement were observed in other outcomes, such as handgrip strength and lower-limb strength, these did not consistently reach statistical significance.
From a practical perspective, the findings support the implementation of HIIT as a feasible and low-cost intervention for promoting physical function in older adults, especially in community settings with limited access to equipment or structured exercise programs. The use of bodyweight and functional movements, along with perceived exertion monitoring, makes this protocol adaptable and scalable.
Future research should investigate the applicability of this protocol in more diverse and frail populations, explore longer-term adherence and health outcomes, and incorporate additional physiological markers to better understand the mechanisms underlying functional improvements.

Author Contributions

Conceptualization, A.S. and A.M.M.; methodology, A.S. and L.B.L.; software, A.S.; validation, A.S., J.T. and P.F.; formal analysis, A.S.; investigation, A.S. and F.S.; resources, A.M.M. and T.M.B.; data curation, A.S. and F.S.; writing—original draft preparation, A.S.; writing—review and editing, L.B.L., P.F., T.M.B. and A.M.M.; visualization, A.S.; supervision, T.M.B. and A.M.M.; project administration, A.M.M. All authors have read and agreed to the published version of the manuscript.

Funding

This research received no external funding.

Institutional Review Board Statement

This study was conducted in accordance with the Declaration of Helsinki and approved by the Ethics Committee of the Polytechnic Institute of Bragança (protocol code P546430-R676082-D2067313 and date 5 March 2024). Original approval was granted for the Strong Bones project, and the protocol was subsequently expanded to investigate the effects of High-Intensity Interval Training (HIIT) on functional fitness in older adults.

Data Availability Statement

The data that support the findings of this study are not publicly available due to ethical and privacy restrictions but are available from the corresponding author upon reasonable request.

Conflicts of Interest

The authors declare no conflicts of interest.

References

  1. Global Report on Ageism. Available online: https://www.who.int/publications/i/item/9789240016866 (accessed on 11 September 2025).
  2. Ismail, Z.; Ahmad, W.I.W.; Hamjah, S.H.; Astina, I.K. The Impact of Population Ageing: A Review. Iran. J. Public Health 2021, 50, 2451–2460. [Google Scholar] [CrossRef] [PubMed]
  3. Guillemot, J.; Zhang, X.; Warner, M. Population Aging and Decline Will Happen Sooner Than We Think. Soc. Sci. 2024, 13, 190. [Google Scholar] [CrossRef]
  4. Liougas, M.P.; Fortino, A.; Brozowski, K.; McMurray, J. Social Inclusion Programming for Older Adults Living in Age-Friendly Cities: A Scoping Review. 2025. Available online: https://bmjopen.bmj.com/content/15/1/e088439.info (accessed on 11 September 2025).
  5. Iuga, I.C.; Nerişanu, R.A.; Iuga, H. The impact of healthcare system quality and economic factors on the older adult population: A health economics perspective. Front. Public Health 2024, 12, 1454699. [Google Scholar] [CrossRef]
  6. Sun, X.; Li, X. (Eds.) Aging and chronic disease: Public health challenge and education reform. Front. Public Health 2023, 11, 1175898. [Google Scholar]
  7. Prince, M.J.; Wu, F.; Guo, Y.; Gutierrez Robledo, L.M.; O’Donnell, M.; Sullivan, R.; Yusuf, S. The burden of disease in older people and implications for health policy and practice. Lancet 2015, 385, 549–562. [Google Scholar] [CrossRef]
  8. Gianfredi, V.; Nucci, D.; Pennisi, F.; Maggi, S.; Veronese, N.; Soysal, P. Aging, longevity, and healthy aging: The public health approach. Aging Clin. Exp. Res. 2025, 37, 125. [Google Scholar] [CrossRef]
  9. Eckstrom, E.; Neukam, S.; Kalin, L.; Wright, J. Physical Activity and Healthy Aging. Clin. Geriatr. Med. 2020, 36, 671–683. [Google Scholar] [CrossRef] [PubMed]
  10. Anderson, E.; Durstine, J.L. Physical activity, exercise, and chronic diseases: A brief review. Sports Med. Health Sci. 2019, 1, 3–10. [Google Scholar] [CrossRef]
  11. Stern, G.; Psycharakis, S.G.; Phillips, S.M. Effect of High-Intensity Interval Training on Functional Movement in Older Adults: A Systematic Review and Meta-analysis. Sports Med.—Open 2023, 9, 5. [Google Scholar] [CrossRef]
  12. Oliveira, A.; Fidalgo, A.; Farinatti, P.; Monteiro, W. Effects of high-intensity interval and continuous moderate aerobic training on fitness and health markers of older adults: A systematic review and meta-analysis. Arch. Gerontol. Geriatr. 2024, 124, 105451. [Google Scholar] [CrossRef]
  13. Sert, H.; Gulbahar Eren, M.; Gurcay, B.; Koc, F. The effectiveness of a high-intensity interval exercise on cardiometabolic health and quality of life in older adults: A systematic review and meta-analysis. BMC Sports Sci. Med. Rehabil. 2025, 17, 128. [Google Scholar] [CrossRef]
  14. Atakan, M.M.; Li, Y.; Koşar, Ş.N.; Turnagöl, H.H.; Yan, X. Evidence-Based Effects of High-Intensity Interval Training on Exercise Capacity and Health: A Review with Historical Perspective. Int. J. Environ. Res. Public Health 2021, 18, 7201. [Google Scholar] [CrossRef]
  15. Mateo-Gallego, R.; Madinaveitia-Nisarre, L.; Giné-Gonzalez, J.; María Bea, A.; Guerra-Torrecilla, L.; Baila-Rueda, L.; Perez-Calahorra, S.; Civeira, F.; Lamiquiz-Moneo, I. The effects of high-intensity interval training on glucose metabolism, cardiorespiratory fitness and weight control in subjects with diabetes: Systematic review a meta-analysis. Diabetes Res. Clin. Pract. 2022, 190, 109979. [Google Scholar] [CrossRef] [PubMed]
  16. Niyazi, A.; Mir, E.; Ghasemi Kahrizsangi, N.; Mohammad Rahimi, N.; Fazolahzade Mousavi, R.; Setayesh, S.; Hoseinpour, A.N.; Rahimi, F.M.; Rahimi, G.R.M. The effect of functional exercise program on physical functioning in older adults aged 60 years or more: A systematic review and meta-analysis of randomized controlled trials. Geriatr. Nurs. 2024, 60, 548–559. [Google Scholar] [CrossRef]
  17. Distefano, G.; Goodpaster, B.H. Effects of Exercise and Aging on Skeletal Muscle. Cold Spring Harb. Perspect. Med. 2018, 8, a029785. [Google Scholar] [CrossRef]
  18. Liu, J.-D.; Quach, B.; Chung, P.-K. Further understanding of the Senior Fitness Test: Evidence from community-dwelling high function older adults in Hong Kong. Arch. Gerontol. Geriatr. 2019, 82, 286–292. [Google Scholar] [CrossRef]
  19. de Lima, T.R.; Silva, D.A.S.; Kovaleski, D.F.; González-Chica, D.A. Associação da força muscular com fatores sociodemográficos e estilo de vida em adultos e idosos jovens no Sul do Brasil. Ciênc. Saúde Coletiva 2018, 23, 3811–3820. [Google Scholar] [CrossRef] [PubMed]
  20. Dodds, R.M.; Syddall, H.E.; Cooper, R.; Benzeval, M.; Deary, I.J.; Dennison, E.M.; Der, G.; Gale, C.R.; Inskip, H.M.; Jagger, C. Grip Strength across the Life Course: Normative Data from Twelve British Studies. PLoS ONE 2014, 9, e113637. [Google Scholar] [CrossRef] [PubMed]
  21. Qureshi, R.; Gough, A.; Loudon, K. The SPIRIT Checklist—Lessons from the experience of SPIRIT protocol editors. Trials 2022, 23, 359. [Google Scholar] [CrossRef]
  22. Boutron, I.; Altman, D.G.; Moher, D.; Schulz, K.F.; Ravaud, P.; CONSORT NPT Group. CONSORT Statement for Randomized Trials of Nonpharmacologic Treatments: A 2017 Update and a CONSORT Extension for Nonpharmacologic Trial Abstracts. Ann. Intern. Med. 2017, 167, 40–47. [Google Scholar] [CrossRef]
  23. Overview of R and RStudio|SpringerLink. Available online: https://link.springer.com/chapter/10.1007/978-3-030-80519-7_2 (accessed on 20 December 2024).
  24. R: The R Project for Statistical Computing. Available online: https://www.r-project.org/ (accessed on 11 September 2025).
  25. Nuttall, F.Q. Body Mass Index: Obesity, BMI, and Health: A Critical Review. Nutr. Today 2015, 50, 117–128. [Google Scholar] [CrossRef] [PubMed]
  26. Zierle-Ghosh, A.; Jan, A. Physiology, Body Mass Index; StatPearls Publishing: Treasure Island, FL, USA, 2025. Available online: http://www.ncbi.nlm.nih.gov/books/NBK535456/ (accessed on 19 July 2025).
  27. Weir, C.B.; Jan, A. BMI Classification Percentile and Cut Off Points; StatPearls Publishing: Treasure Island, FL, USA, 2025. Available online: http://www.ncbi.nlm.nih.gov/books/NBK541070/ (accessed on 19 July 2025).
  28. Langhammer, B.; Stanghelle, J.K. The Senior Fitness Test. J. Physiother. 2015, 61, 163. [Google Scholar] [CrossRef]
  29. Hesseberg, K.; Bentzen, H.; Bergland, A. Reliability of the senior fitness test in community-dwelling older people with cognitive impairment. Physiother. Res. Int. J. Res. Clin. Phys. Ther. 2015, 20, 37–44. [Google Scholar] [CrossRef]
  30. Cossio-Bolaños, M.; Vidal-Espinoza, R.; Villar-Cifuentes, I.; de Campos, L.F.C.C.; de Lázari, M.S.R.; Urra-Albornoz, C.; Sulla-Torres, J.; Gomez-Campos, R. Functional fitness benchmark values for older adults: A systematic review. Front. Public Health 2024, 12, 1335311. [Google Scholar] [CrossRef]
  31. Kemala Sari, N.; Stepvia, S.; Ilyas, M.F.; Setiati, S.; Harimurti, K.; Fitriana, I. Handgrip strength as a potential indicator of aging: Insights from its association with aging-related laboratory parameters. Front. Med. 2025, 12, 1491584. [Google Scholar] [CrossRef]
  32. Marriott, C.F.S.; Petrella, A.F.M.; Marriott, E.C.S.; Boa Sorte Silva, N.C.; Petrella, R.J. High-Intensity Interval Training in Older Adults: A Scoping Review. Sports Med.—Open 2021, 7, 49. [Google Scholar] [CrossRef]
  33. Grummt, M.; Hafermann, L.; Claussen, L.; Herrmann, C.; Wolfarth, B. Rating of Perceived Exertion: A Large Cross-Sectional Study Defining Intensity Levels for Individual Physical Activity Recommendations. Sports Med.—Open 2024, 10, 71. [Google Scholar] [CrossRef] [PubMed]
  34. Zhou, Y.; Zhu, Y.; Wong, W.K. Statistical tests for homogeneity of variance for clinical trials and recommendations. Contemp. Clin. Trials Commun. 2023, 33, 101119. [Google Scholar] [CrossRef]
  35. Ghasemi, A.; Zahediasl, S. Normality Tests for Statistical Analysis: A Guide for Non-Statisticians. Int. J. Endocrinol. Metab. 2012, 10, 486–489. [Google Scholar] [CrossRef] [PubMed]
  36. Di Leo, G.; Sardanelli, F. Statistical significance: P value, 0.05 threshold, and applications to radiomics—Reasons for a conservative approach. Eur. Radiol. Exp. 2020, 4, 18. [Google Scholar] [CrossRef]
  37. Siegel, A.F. Chapter 16—Nonparametrics: Testing with Ordinal Data or Nonnormal Distributions. In Practical Business Statistics—6th Edition; Siegel, A.F., Ed.; Academic Press: Boston, MA, USA, 2012; pp. 491–506. Available online: https://www.sciencedirect.com/science/article/pii/B978012385208300016X (accessed on 19 July 2025).
  38. Brunner, E.; Domhof, S.; Langer, F. Nonparametric Analysis of Longitudinal Data in Factorial Experiments; Wiley: New York, NY, USA, 2002. [Google Scholar]
  39. Glynn, D.; Nikolaidis, G.; Jankovic, D.; Welton, N.J. Constructing Relative Effect Priors for Research Prioritization and Trial Design: A Meta-epidemiological Analysis. Med. Decis. Mak. 2023, 43, 553–563. [Google Scholar] [CrossRef]
  40. Hothorn, T.; Bretz, F.; Westfall, P.; Heiberger, R.M.; Schuetzenmeister, A.; Scheibe, S. multcomp: Simultaneous Inference in General Parametric Models. 2025. Available online: https://cran.r-project.org/web/packages/multcomp/index.html (accessed on 19 July 2025).
  41. Konietschke, F.; Noguchi, K.; Rubarth, K. nparcomp: Multiple Comparisons and Simultaneous Confidence Intervals. 2019. Available online: https://cran.r-project.org/web/packages/nparcomp/index.html (accessed on 19 July 2025).
  42. Lin, S.-C.; Lee, J.-Y.; Yang, Y.; Fang, C.-C.; Fang, H.-L.; Hou, T.-H. Exploring the Design of Upper Limb Strength Training Through High-Intensity Interval Training Combined with Exergaming: Usability Study. JMIR Serious Games 2024, 12, e51730. [Google Scholar] [CrossRef]
  43. Ballesta-García, I.; Martínez-González-Moro, I.; Rubio-Arias, J.; Carrasco-Poyatos, M. High-Intensity Interval Circuit Training Versus Moderate-Intensity Continuous Training on Functional Ability and Body Mass Index in Middle-Aged and Older Women: A Randomized Controlled Trial. Int. J. Environ. Res. Public Health 2019, 16, 4205. [Google Scholar] [CrossRef] [PubMed]
  44. Villafaina, S.; Giménez-Guervós Pérez, M.J.; Fuentes-García, J.P. Comparative Effects of High-Intensity Interval Training vs. Moderate-Intensity Continuous Training in Phase III of a Tennis-Based Cardiac Rehabilitation Program: A Pilot Randomized Controlled Trial. Sustainability 2020, 12, 4134. [Google Scholar] [CrossRef]
  45. Duan, Y.; Wang, Y.; Liang, W.; Wong, H.-S.; Baker, J.S.; Yang, S. Feasibility and effects of high-intensity interval training in older adults with mild to moderate depressive symptoms: A pilot cluster-randomized controlled trial. J. Exerc. Sci. Fit. 2025, 23, 246–251. [Google Scholar] [CrossRef]
  46. Schneider, A.; Leite, L.B.; Teixeira, J.; Forte, P.; Barbosa, T.M.; Monteiro, A.M. Multicomponent Exercise and Functional Fitness: Strategies for Fall Prevention in Aging Women. Sports 2025, 13, 159. [Google Scholar] [CrossRef] [PubMed]
  47. Valentim-Silva, J.R.; Costa, M.L.; de Oliveira, G.L.; de Oliveira, T.A.P.; de Conceição, M.C.S.C.; Dantas, E.H.M. High Intensity Exercise and Flexibility of the Lower Limbs: Dose-Effect Study. Rev. Bras. Med. Esporte 2016, 22, 311–314. [Google Scholar] [CrossRef]
  48. Bottaro, M.; Machado, S.; Nogueira, W.; Scales, R.; Veloso, J. Effect of high versus low-velocity resistance training on muscular fitness and functional performance in older men. Eur. J. Appl. Physiol. 2007, 99, 257–264. [Google Scholar] [CrossRef]
  49. Khushnood, K.; Burki, Y.K.; Ejaz, A.; Sultan, N.; Mehmood, R. Effects of high intensity interval training on mobility and fitness outcomes in stroke. Rehabil. J. 2024, 8, 22–28. [Google Scholar] [CrossRef]
Disclaimer/Publisher’s Note: The statements, opinions and data contained in all publications are solely those of the individual author(s) and contributor(s) and not of MDPI and/or the editor(s). MDPI and/or the editor(s) disclaim responsibility for any injury to people or property resulting from any ideas, methods, instructions or products referred to in the content.

Article Metrics

Citations

Article Access Statistics

Multiple requests from the same IP address are counted as one view.