Characterization of Hydrocolloids Extracted from Fenugreek and Sweet Basil Seeds and Their Effect on Rheological Properties of Wheat Starch Paste
Abstract
1. Introduction
2. Materials and Methods
2.1. Extraction of Non-Starch Polysaccharides from Fenugreek and Sweet Basil Seeds
2.2. Determination of the Chemical Composition of Preparations from Fenugreek and Sweet Basil Seeds
2.2.1. Dry Matter
2.2.2. Determination of the Monosaccharide Composition of NSP Preparations
2.2.3. Determination of the Molecular Properties of the NSPs and Proteins in the Preparations
2.2.4. Determination of the Protein Content in NSP Preparations
2.2.5. Determination of the Antioxidant Properties of NSP Preparations
Extraction of Acidified Methanol Extractable Polyphenols
Determination of Acidified Methanol Extractable Polyphenol Content
Determination of Acidified Methanol Extractable Flavonoids
Determination of the Antioxidant Activity of Acidified Methanol Extractable Polyphenols by the 2,2-Azino-bis-3-ethylbenzothiazoline-6-sulfonic Acid (ABTS) Method
Determination of the 2,2′-Diphenyl-1-picrylhydrazyl (DPPH) Radical Scavenging Power of Acidified Methanol Extractable Polyphenols
Determination of Fe Reduction Forces of Acidified Methanol Extractable Polyphenols by the Ferric Reducing Antioxidant Power (FRAP) Method
2.3. Determination of the Dry Matter of Wheat Starch
2.4. Rheological Properties of Starch Pastes Without and With NSP Preparations
2.4.1. Preparation of Starch Pastes
2.4.2. Determination of the Flow Curves of Pastes
2.4.3. Determination of the Mechanical Spectra of Gels
2.5. Statistical Analysis
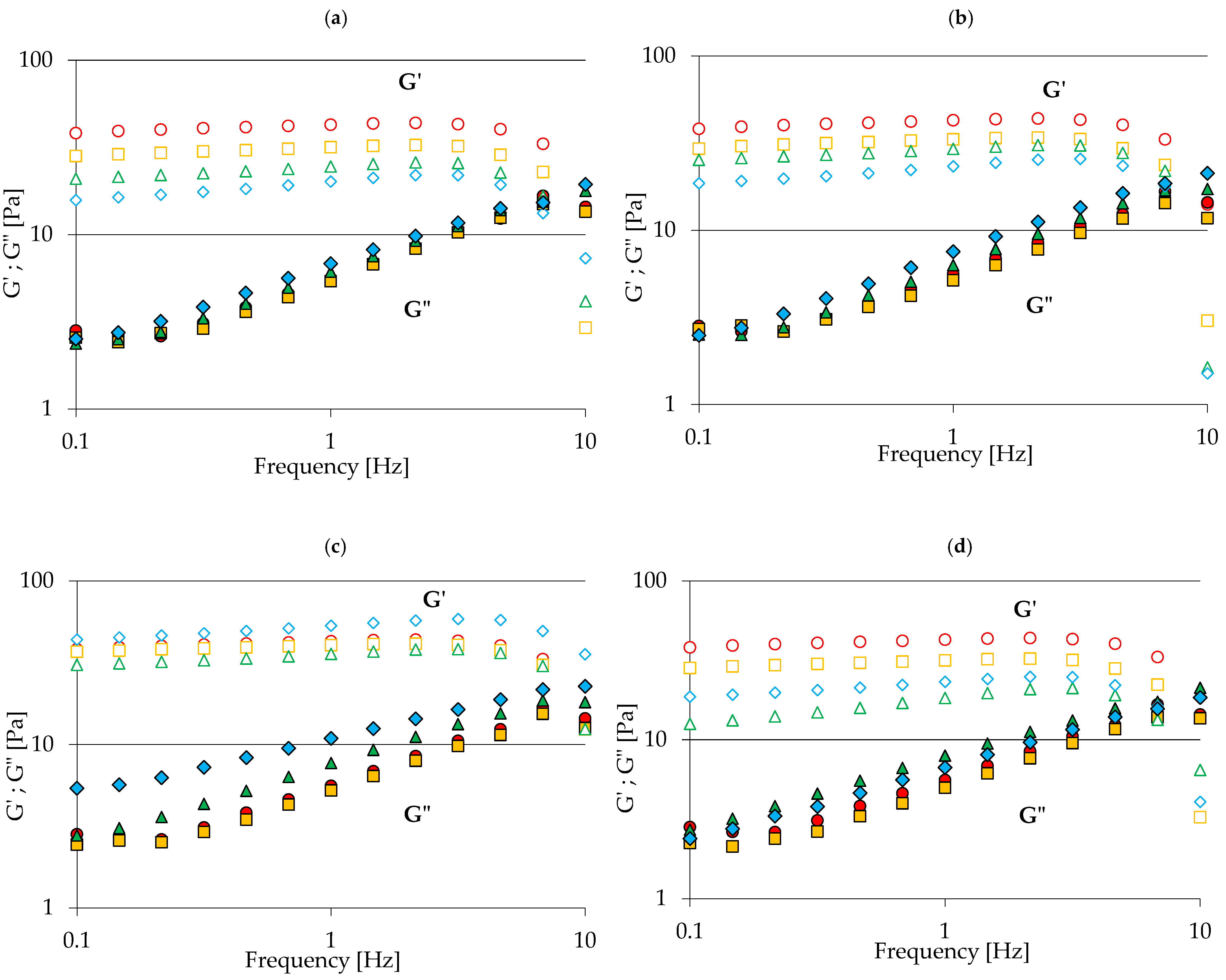
3. Results and Discussion
4. Conclusions
Supplementary Materials
Author Contributions
Funding
Institutional Review Board Statement
Informed Consent Statement
Data Availability Statement
Conflicts of Interest
References
- Petropoulos, G.A. Fenugreek: The genus Trigonella. Medicinal and Aromatic Plants—Industrial Profiles; Taylor & Francis: London, UK; New York, NY, USA, 2002; pp. 1–196. [Google Scholar]
- Sarwar, S.; Hanif, M.A.; Ayub, M.A.; Boakye, Y.D.; Agyare, C. Fenugreek. In Medicinal Plants of South Asia; Hanif, M.A., Nawaz, H., Khan, M.M., Byrne, H.J., Eds.; Elsevier: Amsterdam, The Netherlands, 2020; pp. 257–271. [Google Scholar] [CrossRef]
- Billaud, C.; Adrian, J. Fenugreek: Composition, nutritional value and physiological properties. Sci. Des. Aliment. 2001, 21, 3–26. [Google Scholar] [CrossRef]
- U.S. Department of Health and Human Services 2012. National Institutes of Health. Available online: www.ncbi.nlm.nih.gov/datasets/taxonomy/78534/ (accessed on 10 September 2024).
- Srinivasan, K. Fenugreek (Trigonella foenum-graecum L.) Seeds Used as Functional Food Supplements to Derive Diverse Health Benefits. In Nonvitamin and Nonmineral Nutritional Supplements; Elsevier: Amsterdam, The Netherlands, 2019; pp. 217–221. [Google Scholar] [CrossRef]
- Khorshidian, N.; Yousefi Asli, M.; Arab, M.; Adeli Mirzaie, A.; Mortazavian, A.M. Fenugreek: Potential Applications as a Functional Food and Nutraceutical. Nutr. Food Sci. Res. 2016, 3, 5–16. [Google Scholar] [CrossRef]
- Brummer, Y.; Cui, W.; Wang, Q. Extraction, purification and physicochemical characterization of fenugreek gum. Food Hydrocoll. 2003, 17, 229–236. [Google Scholar] [CrossRef]
- Kia, A.G.; Ganjloo, A.; Bimakr, M. A Short Extraction Time of Polysaccharides from Fenugreek (Trigonella foencem graecum) Seed Using Continuous Ultrasound Acoustic Cavitation: Process Optimization, Characterization and Biological Activities. Food Bioproc. Tech. 2018, 11, 2204–2216. [Google Scholar] [CrossRef]
- Youssef, M.; Wang, Q.; Cui, S.; Barbut, S. Purification and partial physicochemical characteristics of protein free fenugreek gums. Food Hydrocoll. 2009, 23, 2049–2053. [Google Scholar] [CrossRef]
- Mathur, V.; Mathur, N.K. Fenugreek and other lesser known galactomannan-polysaccharides. Scope for developments. JSIR 2005, 64, 475–481. [Google Scholar]
- Jain, M.L.; Jain, S.R. Therapeutic utility of Ocimum basilicum var. album. Planta Medica 1972, 22, 66–70. [Google Scholar] [CrossRef]
- Razavi, S.M.A.; Mortazavi, S.A.; Matia-Merino, L.; Hosseini-Parvar, S.H.; Motamedzadegan, A.; Khanipour, E. Optimisation study of gum extraction from Basil seeds (Ocimum basilicum L.). IJFST 2009, 44, 1755–1762. [Google Scholar] [CrossRef]
- Naji-Tabasi, S.; Razavi, S.M.A.; Mohebbi, M.; Malaekeh-Nikouei, B. New studies on basil (Ocimum bacilicum L.) seed gum: Part I—Fractionation, physicochemical and surface activity characterization. Food Hydrocoll. 2016, 52, 350–358. [Google Scholar] [CrossRef]
- Nazir, S.; Wani, I.A. Physicochemical characterization of basil (Ocimum basilicum L.) seeds. J. Appl. Res. Med. Aromat. Plants 2021, 22, 100295. [Google Scholar] [CrossRef]
- Fekri, N.; Khayami, M.; Heidari, R.; Jamee, R. Chemical analysis of flaxseed, sweet basil, dragon head and quince seed mucilages. Res. J. Biol. Sci. 2008, 3, 166–170. [Google Scholar]
- Salehi, F.; Kashaninejad, M.; Tadayyon, A.; Arabameri, F. Modeling of extraction process of crude polysaccharides from Basil seeds (Ocimum basilicum L.) as affected by process variables. J. Food Sci. Tech. 2014, 52, 5220–5227. [Google Scholar] [CrossRef] [PubMed]
- Lodhi, B.A.; Hussain, M.A.; Sher, M.; Haseeb, M.T.; Ashraf, M.U.; Hussain, S.Z.; Hussain, I.; Bukhari, S.N.A. Polysaccharide-Based Superporous, Superabsorbent, and Stimuli Responsive Hydrogel from Sweet Basil: A Novel Material for Sustained Drug Release. Adv. Polym. Tech. 2019, 3, 1–11. [Google Scholar] [CrossRef]
- Sasaki, T.; Kohyama, K. Influence of non-starch polysaccharides on the in vitro digestibility and viscosity of starch suspensions. Food Chem. 2012, 133, 1420–1426. [Google Scholar] [CrossRef]
- Yousefi, A.R.; Zahedi, Y.; Razavi, S.M.; Ghasemian, N. Influence of sage seed gum on some physicochemical and rheological properties of wheat starch. Starch-Stärke 2017, 69, 1600356. [Google Scholar] [CrossRef]
- Brennan, C.S.; Suter, M.; Matia-Merino, L.; Luethi, T.; Ravindran, G.; Goh, K.; Ovortrup, J. Gel and Pasting Behaviour of Fenugreek-Wheat Starch and Fenugreek—Wheat Flour Combinations. Starch-Stärke 2006, 58, 527–535. [Google Scholar] [CrossRef]
- Shahzad, S.A.; Hussain, S.; Alamri, M.S.; Mohamed, A.A.; Ahmed, A.S.; Ibraheem, M.A.; Abdo Qasem, A.A. Use of Hydrocolloid Gums to Modify the Pasting, Thermal, Rheological, and Textural Properties of Sweet Potato Starch. Int. J. Polym. Sci. 2019, 4, 1–11. [Google Scholar] [CrossRef]
- Matia-Merino, L.; Prieto, M.; Roman, L.; Gómez, M. The impact of basil seed gum on native and pregelatinized corn flour and starch gel properties. Food Hydrocoll. 2018, 89, 122–130. [Google Scholar] [CrossRef]
- AOAC. 2005 Official Methods of Analysis of AOAC International, 18th ed.; Association of Analytical Communities: Gaithersburg, MD, USA, 2005. [Google Scholar]
- Buksa, K.; Ziobro, R.; Nowotna, A.; Praznik, W.; Gambuś, H. Isolation, modification and characterization of soluble arabinoxylan fractions from rye grain. Eur. Food Res. Technol. 2012, 235, 385–395. [Google Scholar] [CrossRef]
- Buksa, K.; Nowotna, A.; Ziobro, R. Application of cross-linked and hydrolyzed arabinoxylans in baking of model rye bread. Food Chem. 2016, 192, 991–996. [Google Scholar] [CrossRef]
- Buksa, K.; Praznik, W.; Loeppert, R.; Nowotna, A. Characterization of water and alkali extractable arabinoxylan from wheat and rye under standardized conditions. J. Food Sci. Technol. 2016, 53, 1389–1398. [Google Scholar] [CrossRef] [PubMed]
- Gao, X.; Bjork, L.; Trajkovski, V.; Uggla, M. Evaluation of antioxidant activities of rosehip ethanol extracts in different test systems. J. Sci. Food Agric. 2000, 80, 2021–2027. [Google Scholar] [CrossRef]
- Kim, D.; Jeong, S.W.; Lee, C.Y. Antioxidant capacity of phenolic phytochemicals from various cultivars of plums. Food Chem. 2003, 81, 321–326. [Google Scholar] [CrossRef]
- Re, R.; Pellegrini, N.; Proteggente, A.; Pannala, A.; Yang, M.; Rice-Evans, C. Antioxidant activity applying an improved ABTS radical cation decolorization assay. Free Radic. Biol. Med. 1999, 26, 1231–1237. [Google Scholar] [CrossRef] [PubMed]
- Yen, G.; Chen, H. Antioxidant activity of various tea extracts in relation to their antimutagenicity. J. Agric. Food Chem. 1995, 43, 27–32. [Google Scholar] [CrossRef]
- Benzie, I.F.F.; Strain, J.J. The ferric reducing ability of plasma (FRAP) as a measure of “antioxidant power”: The FRAP assay. Anal. Biochem. 1996, 239, 70–76. [Google Scholar] [CrossRef]
- Zięba, T.; Juszczak, L.; Gryszkin, A. Properties of retrograded and acetylated starch preparations Part 2. Dynamics of saccharification with amyloglucosidase and rheological properties of resulting pastes and gels. LWT-Food Sci. Technol. 2011, 44, 1321–1327. [Google Scholar] [CrossRef]
- Dziubiński, M.; Kiljański, T.; Sęk, J. Podstawy Teoretyczne i Metody Pomiarowe Reologii; Wydawnictwo Politechniki Łódzkiej: Łódź, Poland, 2014. (In Polish) [Google Scholar]
- Anjaneyalu, Y.V.; Gowda, D.C. Structural studies of an acidic polysaccharide from Ocimum basilicum seeds. Carbohydr. Res. 1979, 75, 251–256. [Google Scholar] [CrossRef]
- Bukhari, S.B.; Bhanger, M.I.; Memon, S. Antioxidative activity of extracts from fenugreek. Pak. J. Anal. Environ. Chem. 2008, 9, 78–83. [Google Scholar]
- Norziah, M.H.; Fezea, F.A.; Bhat, R.; Ahmad, M. Effect of extraction solvents on antioxidant and antimicrobial properties of fenugreek seeds (Trigonella foenum-graecum L.). Int. Food Res. J. 2015, 22, 1261. [Google Scholar]
- Dhull, S.B.; Kaur, M.; Sandhu, K.S. Antioxidant characterization and in vitro DNA damage protection potential of some Indian fenugreek (Trigonella foenum-graecum) cultivars: Effect of solvents. J. Food Sci. Technol. 2020, 57, 3457–3466. [Google Scholar] [CrossRef] [PubMed]
- Aydemir, T.; Becerik, S. Phenolic content and antioxidant activity of different extracts from Ocimum basilicum, Apium graveolens and Lepidium sativum seeds. J. Food Biochem. 2011, 35, 62–79. [Google Scholar] [CrossRef]
- Mezeyová, I.; Hegedűsová, A.; Hegedűs, O.; Vargová, A.; Timoracká, M.; Šlosár, M.; Andrejiová, A.; Juríková, T.; Mezey, J. Basil seeds as a source of antioxidants affected by fortification with selenium. Folia Hortic. 2020, 32, 11–20. [Google Scholar] [CrossRef]
- Rahman, T.; Hosen, I.; Islam, M.M.; Shekhar, H.U. Oxidative stress and human health. Adv. Biosci. Biotech. 2012, 3, 997–1019. [Google Scholar] [CrossRef]
- Sies, H. Oxidative stress: A concept in redox biology and medicine. Redox Biol. 2015, 4, 180–183. [Google Scholar] [CrossRef]
- Koss-Mikołajczyk, I.; Baranowska, M.; Namieśnik, J.; Bartoszek-Pączkowska, A. Methods for determining antioxidant properties of phytochemicals in cell systems using fluorescence/luminescence spectroscopy. Postępy Hig. I Med. Doświadczalnej 2017, 71, 602–616. (In Polish) [Google Scholar]
- Magalhaes, L.M.; Segundo, M.A.; Reis, S.; Lima, J.L.F.C. Methodological aspects about in vitro evaluation of antioxidant properties. Anal. Chim. Acta 2008, 613, 1–19. [Google Scholar] [CrossRef]
- Floegel, A.; Kim, D.O.; Chung, S.J.; Koo, S.I.; Chun, O.K. Comparison of ABTS/DPPH assays to measure antioxidant capacity in popular antioxidant-rich US foods. J. Food Compos. Anal. 2011, 24, 1043–1048. [Google Scholar] [CrossRef]
- Marathe, S.A.; Rajalakshmi, V.; Jamdar, S.N.; Sharma, A. Comparative study on antioxidant activity of different varieties of commonly consumed legumes in India. Food Chem. Toxicol. 2011, 49, 2005–2012. [Google Scholar] [CrossRef]
- Hameed, S.; Imran, A.; Nisa, M.; Arshad, M.S.; Saeed, F.; Arshad, M.U.; Asif Khan, M. Characterization of extracted phenolics from black cumin (Nigella sativa linn), coriander seed (Coriandrum sativum L.), and fenugreek seed (Trigonella foenum-graecum). Int. J. Food Prop. 2019, 22, 714–726. [Google Scholar] [CrossRef]
- Mashkor, I.M. Phenolic content and antioxidant activity of fenugreek seeds extract. Int. J. Pharmacogn. Phytochem. Res. 2014, 6, 841–844. [Google Scholar]
- Juliani, H.R.; Simon, J.E. Antioxidant activity of basil. In Trends in New Crops and New Uses; ASHS Press: Alexandria, VA, USA, 2002; pp. 575–579. [Google Scholar]
- Khursheed, T.; Fatima, T.; Qadri, T.; Rafiq, A.; Malik, A.; Naseer, B.; Hussain, S.Z. Biochemical, nutraceutical and phytochemical characterization of chia and basil seeds: A comparative study. Int. J. Food Prop. 2023, 26, 1–13. [Google Scholar] [CrossRef]
- Steffe, J.F. Rheological Methods in Food Process Engineering; Freeman Press: New York, NY, USA, 1996. [Google Scholar]
- Korus, J.; Juszczak, L.; Witczak, M.; Achremowicz, B. Influence of selected hydrocolloids on triticale starch rheological properties. Int. J. Food Sci. Technol. 2004, 39, 641–652. [Google Scholar] [CrossRef]
- Snowden, M.J.; Phillips, G.O.; Williams, P.A. Functional characteristics of gum arabic. Food Hydrocoll. 1987, 1, 291–300. [Google Scholar] [CrossRef]
- Sikora, M.; Adamczyk, G.; Krystyjan, M. Tiksotropia miarą niestabilności ciekłych produktów żywnościowych. Thixotropy as a measure of liquid food products. Żywność. Nauka. Technol. Jakość. 2011, 18, 5–14. (In Polish) [Google Scholar]
- Sikora, M.; Dobosz, A.; Krystyjan, M.; Adamczyk, G.; Tomasik, P.; Berski, W.; Kutyła-Kupidura, E.M. Thixotropic properties of the normal potato starch—Locust bean gum blends. LWT 2017, 75, 590–598. [Google Scholar] [CrossRef]
- Murata, H. Rheology-Theory and Application to Biomaterials; IntechOpen: Rijeka, Croatia, 2012; pp. 404–426. [Google Scholar]
- Varela, M.S.; Navarro, A.S.; Yamul, D.K. Effect of hydrocolloids on the properties of wheat/potato starch mixtures. Starch-Stärke 2016, 68, 753–761. [Google Scholar] [CrossRef]


| PFRT * | PF70 * | PSBRT * | PSB70 * | |
|---|---|---|---|---|
| Yield [%] | 31.7 ± 1.5 a | 47.3 ± 1.0 c | 40.7 ± 1.2 b | 41.7 ± 1.3 b |
| Glucose [%] | 5.2 ± 1.2 a | 6.2 ± 0.4 ab | 6.9 ± 0.2 b | 8.3 ± 0.4 c |
| Xylose [%] | 2.6 ± 0.4 a | 2.6 ± 0.3 a | 3.3 ± 0.4 a | 4.5 ± 0.5 b |
| Galactose [%] | 17.2 ± 2.8 b | 20.8 ± 1.1 b | 13.2 ± 1.4 a | 14.2 ± 1.8 a |
| Arabinose [%] | 0.5 ± 0.3 a | 0.8 ± 0.1 a | 1.5 ± 0.6 b | 1.8 ± 0.7 b |
| Mannose [%] | 13.3 ± 2.1 b | 16.1 ± 1.2 b | 6.6 ± 0.7 a | 7.7 ± 1.1 a |
| Glucan content [%] | 4.7 ± 1.1 a | 5.5 ± 0.3 a | 6.2 ± 0.1 b | 7.5 ± 0.3 b |
| Arabinoxylan content [%] | 2.7 ± 0.3 a | 3.0 ± 0.2 a | 4.2 ± 0.5 b | 5.5 ± 0.6 c |
| Galactomannan content [%] | 27.5 ± 2.5 b | 33.2 ± 1.2 c | 17.8 ± 1.1 a | 19.7 ± 1.5 a |
| Total sugar content [%] | 38.8 ± 6.8 a | 46.5 ± 3.1 b | 31.5 ± 3.3 a | 36.5 ± 4.5 a |
| Protein [%] | 47.9 ± 6.6 c | 24.5 ± 2.1 a | 44.8 ± 1.4 c | 34.9 ± 0.9 b |
| Molecular properties | ||||
| Weight average molar mass—Mw [g/mol] | 3,233,460 | 1,971,820 | 1,314,980 | 629,170 |
| Number average molar mass—Mn [g/mol] | 8780 | 10,380 | 13,970 | 11,200 |
| Dispersity (Ð = Mw/Mn) | 368.3 | 190.0 | 94.1 | 56.2 |
| PFRT * | PF70 * | PSBRT * | PSB70 * | |
|---|---|---|---|---|
| Total polyphenols [mg GAE/g d.b.] | 11.80 ± 0.10 c | 13.71 ± 0.21 d | 4.01 ± 0.03 a | 6.05 ± 0.13 b |
| Total flavonoids [mg catechins/g d.b.] | 1.11 ± 0.05 b | 1.93 ± 0.11 c | 0.13 ± 0.08 a | 1.81 ± 0.14 c |
| ABTS [µmol TROLOX/g d.b.] | 74.6 ± 0.5 c | 91.8 ± 1.5 d | 27.9 ± 0.7 a | 40.0 ± 0.8 b |
| DPPH [µmol TROLOX/g d.b.] | 9.1 ± 0.1 b | 10.9 ± 0.2 c | 8.7 ± 0.1 a | 10.7 ± 0.1 c |
| FRAP [µmol TROLOX/g d.b.] | 18.6 ± 0.3 b | 23.2 ± 0.3 c | 9.8 ± 0.3 a | 23.9 ± 0.2 d |
| Preparation * | Share [%] | K [Pa s] | n [-] | R2 | Area of Hysteresis Loop [Pa s] |
|---|---|---|---|---|---|
| Wheat starch | 0 | 2.80 ± 0.06 d | 0.46 ± 0.01 cd | 0.986 ± 0.000 | 247.4 ± 4.1 a |
| PFRT | 1 | 2.07 ± 0.01 a | 0.52 ± 0.01 ef | 0.990 ± 0.001 | 197.7 ± 18.7 a |
| PFRT | 3 | 2.43 ± 0.06 bc | 0.51 ± 0.01 ef | 0.994 ± 0.000 | 230.8 ± 0.3 a |
| PFRT | 6 | 4.24 ± 0.05 e | 0.39 ± 0.01 b | 0.984 ± 0.002 | 768.7 ± 77.0 c |
| PF70 | 1 | 2.17 ± 0.06 ab | 0.49 ± 0.02 def | 0.986 ± 0.001 | 194.9 ± 37.5 a |
| PF70 | 3 | 2.24 ± 0.17 ab | 0.52 ± 0.01 ef | 0.988 ± 0.000 | 218.8 ± 18.0 a |
| PF70 | 6 | 2.57 ± 0.03 cd | 0.52 ± 0.01 ef | 0.990 ± 0.000 | 290.7 ± 5.1 a |
| PSBRT | 1 | 2.74 ± 0.01 cd | 0.44 ± 0.01 c | 0.988 ± 0.002 | 225.4 ± 2.5 a |
| PSBRT | 3 | 4.10 ± 0.08 e | 0.42 ± 0.01 bc | 0.970 ± 0.001 | 532.8 ± 21.8 b |
| PSBRT | 6 | 14.36 ± 0.12 f | 0.24 ± 0.03 a | 0.910 ± 0.002 | 2153.5 ± 12.0 d |
| PSB70 | 1 | 2.19 ± 0.11 ab | 0.49 ± 0.01 de | 0.992 ± 0.002 | 272.3 ± 10.1 a |
| PSB70 | 3 | 2.57 ± 0.02 cd | 0.53 ± 0.01 f | 0.992 ± 0.001 | 821.5 ± 4.9 c |
| PSB70 | 6 | 2.61 ± 0.16 cd | 0.50 ± 0.01 ef | 0.988 ± 0.000 | 632.3 ± 28.2 b |
| Preparation * | Share [%] | G′ [Pa] | G″ [Pa] | tan δ [G″/G′] |
|---|---|---|---|---|
| Wheat starch | 0 | 42.71 ± 1.13 g | 5.58 ± 0.59 ab | 0.13 ± 0.02 a |
| PFRT | 1 | 31.71 ± 1.82 de | 5.41 ± 0.10 ab | 0.17 ± 0.01 abc |
| PFRT | 3 | 24.59 ± 0.13 bc | 6.13 ± 0.06 abc | 0.25 ± 0.00 d |
| PFRT | 6 | 20.16 ± 0.08 ab | 6.83 ± 0.21 cd | 0.34 ± 0.01 e |
| PF70 | 1 | 33.19 ± 0.64 de | 5.16 ± 0.69 ab | 0.16 ± 0.02 ab |
| PF70 | 3 | 29.31 ± 1.10 cd | 6.29 ± 0.15 bc | 0.21 ± 0.00 cd |
| PF70 | 6 | 23.23 ± 0.22 abc | 7.53 ± 0.12 d | 0.32 ± 0.00 e |
| PSBRT | 1 | 40.48 ± 0.85 fg | 5.23 ± 0.07 ab | 0.13 ± 0.00 a |
| PSBRT | 3 | 35.77 ± 0.42 ef | 7.69 ± 0.15 d | 0.21 ± 0.01 cd |
| PSBRT | 6 | 53.27 ± 3.66 h | 10.89 ± 0.08 e | 0.20 ± 0.01 bcd |
| PSB70 | 1 | 31.63 ± 3.24 de | 4.99 ± 0.34 a | 0.16 ± 0.01 ab |
| PSB70 | 3 | 18.33 ± 0.31 a | 7.95 ± 0.08 d | 0.43 ± 0.00 f |
| PSB70 | 6 | 21.66 ± 0.86 ab | 6.89 ± 0.38 cd | 0.32 ± 0.03 e |
Disclaimer/Publisher’s Note: The statements, opinions and data contained in all publications are solely those of the individual author(s) and contributor(s) and not of MDPI and/or the editor(s). MDPI and/or the editor(s) disclaim responsibility for any injury to people or property resulting from any ideas, methods, instructions or products referred to in the content. |
© 2024 by the authors. Licensee MDPI, Basel, Switzerland. This article is an open access article distributed under the terms and conditions of the Creative Commons Attribution (CC BY) license (https://creativecommons.org/licenses/by/4.0/).
Share and Cite
Bieniek, A.; Kapelko-Żeberska, M.; Gryszkin, A.; Zięba, T.; Nemś, A.; Buksa, K. Characterization of Hydrocolloids Extracted from Fenugreek and Sweet Basil Seeds and Their Effect on Rheological Properties of Wheat Starch Paste. Appl. Sci. 2024, 14, 10591. https://doi.org/10.3390/app142210591
Bieniek A, Kapelko-Żeberska M, Gryszkin A, Zięba T, Nemś A, Buksa K. Characterization of Hydrocolloids Extracted from Fenugreek and Sweet Basil Seeds and Their Effect on Rheological Properties of Wheat Starch Paste. Applied Sciences. 2024; 14(22):10591. https://doi.org/10.3390/app142210591
Chicago/Turabian StyleBieniek, Angelika, Małgorzata Kapelko-Żeberska, Artur Gryszkin, Tomasz Zięba, Agnieszka Nemś, and Krzysztof Buksa. 2024. "Characterization of Hydrocolloids Extracted from Fenugreek and Sweet Basil Seeds and Their Effect on Rheological Properties of Wheat Starch Paste" Applied Sciences 14, no. 22: 10591. https://doi.org/10.3390/app142210591
APA StyleBieniek, A., Kapelko-Żeberska, M., Gryszkin, A., Zięba, T., Nemś, A., & Buksa, K. (2024). Characterization of Hydrocolloids Extracted from Fenugreek and Sweet Basil Seeds and Their Effect on Rheological Properties of Wheat Starch Paste. Applied Sciences, 14(22), 10591. https://doi.org/10.3390/app142210591

