Accident Probability Prediction and Analysis of Bus Drivers Based on Occupational Characteristics
Abstract
:1. Introduction
2. Literature Review
3. Objectives
- Combining bus drivers’ occupational characteristics to enrich their feature set of accident probability prediction—Based on the existing predictors of bus driver accident probability, this paper adds occupational driving characteristics to fill the gaps in existing research. The occupational driving characteristics considered included the cumulative effects of working hours and driving hours, peak driving hours, and the operating characteristics at each bus stop.
- Making bus driver accident probability predictions to help companies implement accident prevention—This paper attempts to combine the MICEForest multiple interpolation method with the CatBoost method for predicting the probability of bus driver accidents. The MICEForest multiple interpolation method was used to fill in the missing data in the dataset. Several boosted tree models were compared to select a more suitable method for this data. Meanwhile, Bayesian hyperparameter optimization was used to improve the accuracy and applicability of the model. In addition, a dataset using mean interpolation is presented, and the model’s performance was compared with a dataset interpolated using the MICEForest method. In this way, the importance of data integrity and appropriate interpolation methods are demonstrated.
- Visualizing important outcomes that affect the probability of accidents to guide management in practice—Interpretable SHAP methods were used to interpret and analyze black-box predictive models. This can help managers understand the propensity of bus driver accidents. At the same time, the results of this study of important factors and influencing mechanisms can help companies prevent accidents accurately.
4. Data
4.1. Data Extraction
- Determining Accident Risk Labels for Drivers—Bus drivers who had had accidents in June 2022 were assigned a risk label of 1. Furthermore, to ensure sample balance, a simple random sampling method was used to randomly select an equal number from the remaining group who did not have accidents. They were assigned a risk label of 0.
- Basic Information—Four attributes, namely gender, education level, age, and driving experience, were selected.
- Duration Information—The driving and operating duration of bus drivers in the week and month before the accident were selected. Furthermore, feature variables such as the proportion of high-peak operating duration in a week or month and the proportion of operating duration within a week in the previous month were chosen to reflect the impact of traffic congestion. Driving duration represents the cumulative time from when a vehicle starts moving (as recorded by GPS speed) to when it comes to a stop. Operating duration refers to the cumulative time during working hours when a driver has their regular passenger-carrying status.
- Violation Information—The cumulative number of violations in the month, the number of violations in the half-year, and the length of time since the last offense were selected. The minimum violation interval in the six months was also counted.
- Daily Risk Behavior Information—Based on the AI alarm dataset, two types of risk behaviors, namely, fatigue driving and non-standard driving, were extracted. Their cumulative occurrence counts were calculated. Moreover, statistics such as the time since the last occurrence of risk behavior were also included.
- Vehicle Trajectory Information—This included the average speed, average acceleration and deceleration, standard deviation of speed, standard deviation of acceleration, and changes in azimuth. At the same time, the average speed and the standard deviation in and out of the station on the day of the accident also were selected.
- Other Information—Weather conditions and rainfall information on the day of the accident were collected as environmental variables. Among others, accident drivers were characterized by the hourly rainfall at the moment of the accident, and non-accident drivers, by the average daily rainfall on the selected date.
4.2. Data Description
4.3. Data Filling
- For datasets containing missing values, Ori_Datase, randomly select some values within the missing attribute columns to fill the missing values in those columns. This process generates a randomly completed dataset called “Rnd_dataset” and forms the correlation coefficient matrix “X_r.”
- Randomly choose a missing column from “Rnd_dataset”, referred to as an incomplete attribute column A. Use the non-missing values of A to form the training set and the missing values of A as the test set. Construct a random forest model to predict the missing values of A.
- Randomly select another attribute from the incomplete attributes, excluding A. Following the logic of the above filling missing value, iteratively impute the other incomplete attributes. This process creates the first iteration dataset “Dataset_0” and calculates the correlation coefficient matrix “X_0”.
- Use the convergence of correlation to determine whether “X_r” and “X_0” have converged. If they have not converged, return to step 2 and repeat the process, resulting in “Dataset_1” and correlation coefficient matrix “X_1”. Once convergence is reached, the final dataset “Dataset_0” is obtained.
- Repeat until n datasets are reached.
4.4. Correlation Analysis
5. Methods
5.1. Boosted Trees
5.1.1. GBDT
5.1.2. XGBoost
5.1.3. LightGBM
5.1.4. CatBoost
5.1.5. Evaluation
5.2. Bayesian Hyperparametric Optimization
5.3. Interpretable SHAP Methods
6. Results
6.1. Model Comparison
6.2. Bayesian Hyperparameter Optimization
6.3. CatBoost Prediction Results
- I)
- The estimated datasets obtained using the mean imputation method or the MICEForest multiple imputation method have higher ROC and ROC-PR curves after Bayesian hyperparameter tuning. This points to the Bayesian optimization-based tuning process effectively having improved the model’s robustness and predictive ability. This finding verifies the scientific validity and reasonableness of the Bayesian hyperparameter optimization method and provides an intuitive validation of the model’s performance improvement.
- II)
- The ROC and ROC-PR curves of the MICEForest multiple imputation method are remarkably higher than those of the mean imputation method, regardless of whether Bayesian hyperparameters adjusted the MICEForest multiple imputation method. This observation implies that MICEForest multiple imputation minimizes the loss of data information to a greater extent, resulting in more reliable imputed data. Meanwhile, this result implies that for model performance improvement, data integrity and quality are important, and the MICEForest multiple interpolation method has a better effect and reliability in data interpolation.
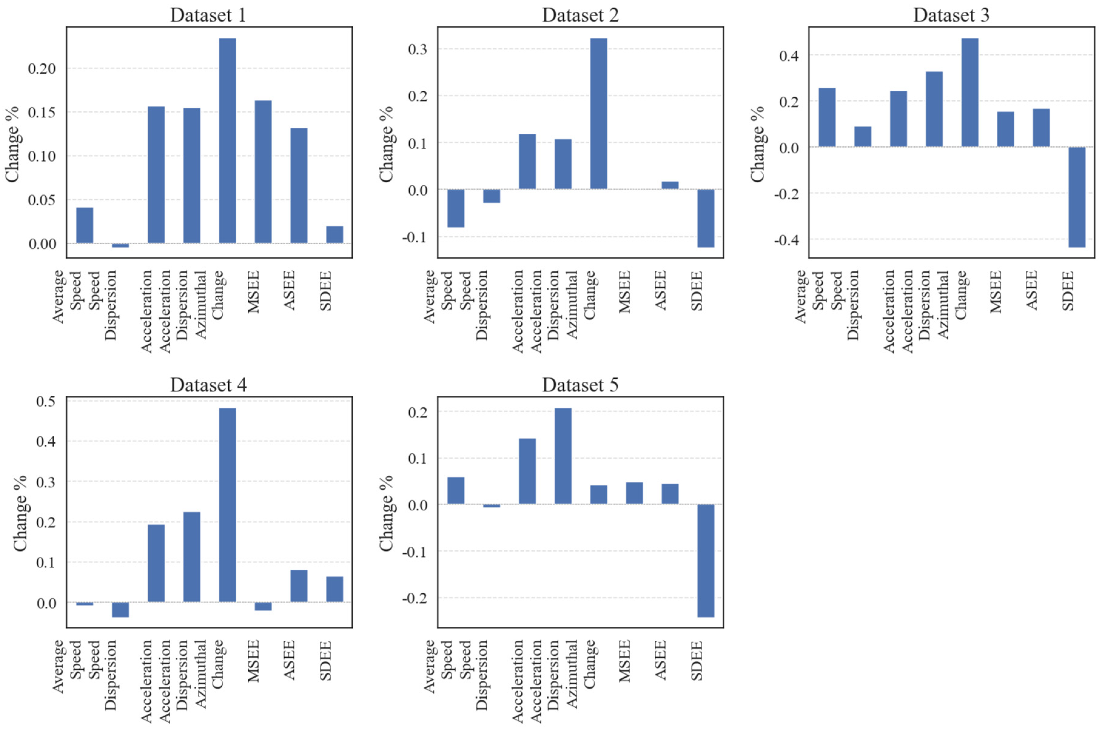
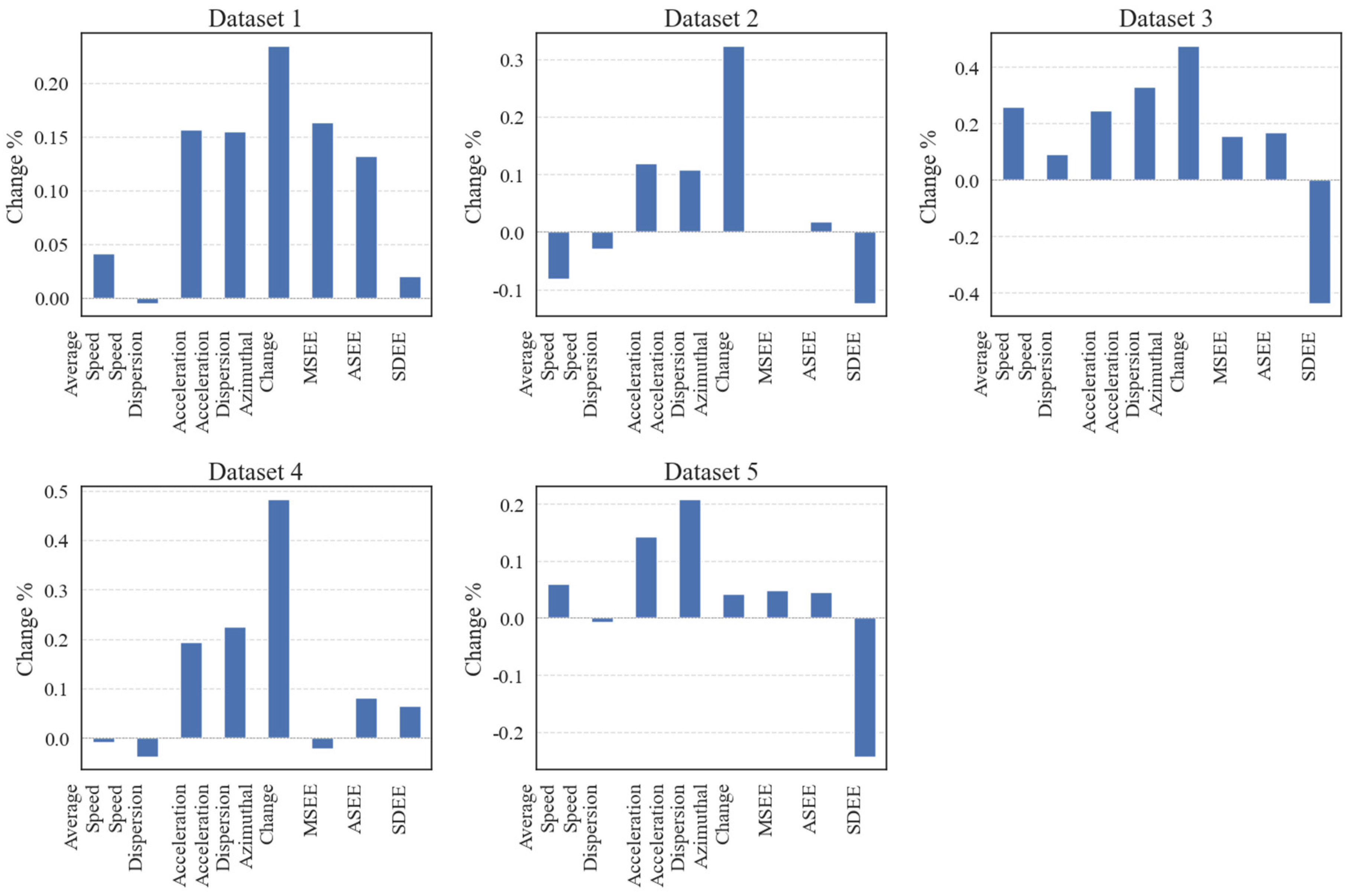
6.4. SHAP Analysis
7. Discussion
8. Conclusions
- The CatBoost method was used for bus driver accident probability prediction. The missing data were filled in based on the MICEForest multiple interpolation method. The CatBoost model was adjusted by the Bayesian hyperparameter optimization method with AUC-PR as the optimization objective. After optimization, the prediction model reached an AUC of 0.834, an AUC-PR of 0.788, and a Cohen’s kappa (k) of 0.68 for the test set. They were 1.83%, 1.68%, and 6.79% higher than LightGBM, respectively, 5.84%, 6.92%, and 18.06% higher than XGBoost, respectively, and 7.89%, 9.00%, and 9.00% higher than GBDT, respectively. Meanwhile, the MICEForest interpolated dataset had a significant advantage over the single mean computation method, as evidenced by the ROC and PR curves.
- The predictive model was explained by the SHAP interpretable method. The most important features were age and daily rainfall. Next, came driving experience, azimuthal change, etc. In addition, this study innovatively found that the peak driving duration, the degree of dispersion of entry and exit speeds, the duration of the last violation, and the weekday driving duration of a bus driver are related to their accident risk. These results were also discussed and visualized with the help of SHAP, regarding group and individual accident probability mechanisms, interaction effects between the features, and accidental and non-accidental group accident tendencies.
Author Contributions
Funding
Institutional Review Board Statement
Informed Consent Statement
Data Availability Statement
Conflicts of Interest
References
- Alkaabi, K. Identification of hotspot areas for traffic accidents and analyzing drivers’ behaviors and road accidents. Transp. Res. Interdiscip. Perspect. 2023, 22, 100929. [Google Scholar] [CrossRef]
- Liou, J.J.H.; Liu, P.C.Y.; Luo, S.-S.; Lo, H.-W.; Wu, Y.-Z. A hybrid model integrating FMEA and HFACS to assess the risk of inter-city bus accidents. Complex Intell. Syst. 2022, 8, 2451–2470. [Google Scholar] [CrossRef]
- Bhandari, R.; Raman, B.; Padmanabhan, V.N. FullStop: A Camera-Assisted System for Characterizing Unsafe Bus Stopping. IEEE Trans. Mob. Comput. 2020, 19, 2116–2128. [Google Scholar] [CrossRef]
- Wang, Q.; Zhang, W.; Yang, R.; Huang, Y.; Zhang, L.; Ning, P.; Cheng, X.; Schwebel, D.C.; Hu, G.; Yao, H. Common Traffic Violations of Bus Drivers in Urban China: An Observational Study. PLoS ONE 2015, 10, e0137954. [Google Scholar] [CrossRef] [PubMed]
- Hanumegowda, P.K.; Gnanasekaran, S. Prediction of Work-Related Risk Factors among Bus Drivers Using Machine Learning. Int. J. Environ. Res. Public Health 2022, 19, 15179. [Google Scholar] [CrossRef] [PubMed]
- Maghsoudipour, M.; Moradi, R.; Moghimi, S.; Ancoli-Israel, S.; DeYoung, P.N.; Malhotra, A. Time of day, time of sleep, and time on task effects on sleepiness and cognitive performance of bus drivers. Sleep Breath. 2022, 26, 1759–1769. [Google Scholar] [CrossRef]
- Jakobsen, M.D.; Glies Vincents Seeberg, K.; Møller, M.; Kines, P.; Jørgensen, P.; Malchow-Møller, L.; Andersen, A.B.; Andersen, L.L. Influence of occupational risk factors for road traffic crashes among professional drivers: Systematic review. Transp. Rev. 2023, 43, 533–563. [Google Scholar] [CrossRef]
- Alver, Y.; Demirel, M.C.; Mutlu, M.M. Interaction between socio-demographic characteristics: Traffic rule violations and traffic crash history for young drivers. Accid. Anal. Prev. 2014, 72, 95–104. [Google Scholar] [CrossRef]
- Tavakoli Kashani, A.; Besharati, M.M. An investigation of the relationship between demographic variables, driving behaviour and crash involvement risk of bus drivers: A case study from Iran. Int. J. Occup. Saf. Ergon. 2021, 27, 535–543. [Google Scholar] [CrossRef]
- Goh, K.; Currie, G.; Sarvi, M.; Logan, D. Factors affecting the probability of bus drivers being at-fault in bus-involved accidents. Accid. Anal. Prev. 2014, 66, 20–26. [Google Scholar] [CrossRef]
- Anund, A.; Ihlström, J.; Fors, C.; Kecklund, G.; Filtness, A. Factors associated with self-reported driver sleepiness and incidents in city bus drivers. Ind. Health 2016, 54, 337–346. [Google Scholar] [CrossRef] [PubMed]
- Useche, S.A.; Ortiz, V.G.; Cendales, B.E. Stress-related psychosocial factors at work, fatigue, and risky driving behavior in bus rapid transport (BRT) drivers. Accid. Anal. Prev. 2017, 104, 106–114. [Google Scholar] [CrossRef] [PubMed]
- Elvik, R. Driver mileage and accident involvement: A synthesis of evidence. Accid. Anal. Prev. 2023, 179, 106899. [Google Scholar] [CrossRef]
- Blower, D.; Green, P.E. Type of Motor Carrier and Driver History in Fatal Bus Crashes. Transp. Res. Rec. 2010, 2194, 37–43. [Google Scholar] [CrossRef]
- Feng, S.; Li, Z.; Ci, Y.; Zhang, G. Risk factors affecting fatal bus accident severity: Their impact on different types of bus drivers. Accid. Anal. Prev. 2016, 86, 29–39. [Google Scholar] [CrossRef]
- Huting, J.; Reid, J.; Nwoke, U.; Bacarella, E.; Ky, K.E. Identifying Factors That Increase Bus Accident Risk by Using Random Forests and Trip-Level Data. Transp. Res. Rec. 2016, 2539, 149–158. [Google Scholar] [CrossRef]
- Samerei, S.A.; Aghabayk, K.; Mohammadi, A.; Shiwakoti, N. Data mining approach to model bus crash severity in Australia. J. Saf. Res. 2021, 76, 73–82. [Google Scholar] [CrossRef]
- Zhu, T.; Qin, D.; Wei, W.; Ren, J.; Feng, Y. Research on accident risk identification and influencing factors of bus drivers based on machine learning. Chin. J. Saf. Sci. 2023, 33, 23–30. (In Chinese) [Google Scholar]
- Gehlert, T.; Hagemeister, C.; Özkan, T. Traffic safety climate attitudes of road users in Germany. Transp. Res. Part F Traffic Psychol. Behav. 2014, 26, 326–336. [Google Scholar] [CrossRef]
- Chu, W.; Wu, C.; Atombo, C.; Zhang, H.; Özkan, T. Traffic climate, driver behaviour, and accidents involvement in China. Accid. Anal. Prev. 2019, 122, 119–126. [Google Scholar] [CrossRef]
- Deng, S.; Yu, H.; Lu, C. Research on operation characteristics and safety risk forecast of bus driven by multisource forewarning data. J. Adv. Transp. 2020, 2020, 6623739. [Google Scholar] [CrossRef]
- Fu, X.; Xu, C.; Liu, Y.; Chen, C.-H.; Hwang, F.; Wang, J. Spatial heterogeneity and migration characteristics of traffic congestion—A quantitative identification method based on taxi trajectory data. Phys. A Stat. Mech. Its Appl. 2022, 588, 126482. [Google Scholar] [CrossRef]
- Bhandari, R.; Raman, B.; Padmanabhan, V.N. FullStop: Tracking unsafe stopping behaviour of buses. In Proceedings of the 2018 10th International Conference on Communication Systems & Networks (COMSNETS), Bengaluru, India, 3–7 January 2018; pp. 65–72. [Google Scholar]
- Jeong, H.; Kim, I.; Han, K.; Kim, J. Comprehensive Analysis of Traffic Accidents in Seoul: Major Factors and Types Affecting Injury Severity. Appl. Sci. 2022, 12, 1790. [Google Scholar] [CrossRef]
- AlMamlook, R.E.; Kwayu, K.M.; Alkasisbeh, M.R.; Frefer, A.A. Comparison of Machine Learning Algorithms for Predicting Traffic Accident Severity. In Proceedings of the 2019 IEEE Jordan International Joint Conference on Electrical Engineering and Information Technology (JEEIT), Amman, Jordan, 9–11 April 2019; pp. 272–276. [Google Scholar] [CrossRef]
- Ding, T.; Zhang, L.; Xi, J.; Li, Y.; Zheng, L.; Zhang, K. Bus Fleet Accident Prediction Based on Violation Data: Considering the Binding Nature of Safety Violations and Service Violations. Sustainability 2023, 15, 3520. [Google Scholar] [CrossRef]
- Brühwiler, L.; Fu, C.; Huang, H.; Longhi, L.; Weibel, R. Predicting individuals’ car accident risk by trajectory, driving events, and geographical context. Comput. Environ. Urban Syst. 2022, 93, 101760. [Google Scholar] [CrossRef]
- Montoro, L.; Useche, S.; Alonso, F.; Cendales, B. Work Environment, Stress, and Driving Anger: A Structural Equation Model for Predicting Traffic Sanctions of Public Transport Drivers. Int. J. Environ. Res. Public Health 2018, 15, 497. [Google Scholar] [CrossRef]
- Taşbakan, M.; Korkmaz Ekren, P.; Uysal, F.; Uysal, F.; Basoglu, O. Evaluation of Traffic Accident Risk in In-City Bus Drivers: The Use of Berlin Questionnaire. Turk. Thorac. J. 2018, 19, 73–76. [Google Scholar] [CrossRef]
- Ding, H.; Ghazilla, R.A.R.; Singh, R.S.K.; Wei, L. Deep learning method for risk identification under multiple physiological signals and PAD model. Microprocess. Microsyst. 2022, 88, 104393. [Google Scholar] [CrossRef]
- Mittal, M.; Gupta, S.; Chauhan, S.; Saraswat, L.K. Analysis on road crash severity of drivers using machine learning techniques. Int. J. Eng. Syst. Model. Simul. 2022, 13, 154–163. [Google Scholar] [CrossRef]
- Loo, B.P.Y.; Fan, Z.; Lian, T.; Zhang, F. Using computer vision and machine learning to identify bus safety risk factors. Accid. Anal. Prev. 2023, 185, 107017. [Google Scholar] [CrossRef]
- Ma, Y.; Zhang, J.; Lu, J.; Chen, S.; Xing, G.; Feng, R. Prediction and analysis of likelihood of freeway crash occurrence considering risky driving behavior. Accid. Anal. Prev. 2023, 192, 107244. [Google Scholar] [CrossRef] [PubMed]
- Wang, C.; Liu, L.; Xu, C.; Lv, C. Predicting future driving risk of crash-involved drivers based on a systematic machine learning framework. Int. J. Environ. Res. Public Health 2019, 16, 334. [Google Scholar] [CrossRef] [PubMed]
- Lee, H.-M.; Jeon, G.-S.; Jang, J.-A. Predicting of the severity of car traffic accidents on a highway using light gradient boosting model. J. Korea Inst. Electron. Commun. Sci. 2020, 15, 1123–1130. [Google Scholar]
- Dong, S.; Khattak, A.; Ullah, I.; Zhou, J.; Hussain, A. Predicting and analyzing road traffic injury severity using boosting-based ensemble learning models with SHAPley Additive exPlanations. Int. J. Environ. Res. Public Health 2022, 19, 2925. [Google Scholar] [CrossRef] [PubMed]
- Zhang, Y.; Chen, Y.; Gu, X.; Sze, N.; Huang, J. A proactive crash risk prediction framework for lane-changing behavior incorporating individual driving styles. Accid. Anal. Prev. 2023, 188, 107072. [Google Scholar] [CrossRef] [PubMed]
- Asadi, R.; Khattak, A.; Vashani, H.; Almujibah, H.R.; Rabie, H.; Asadi, S.; Dimitrijevic, B. Self-Paced Ensemble-SHAP Approach for the Classification and Interpretation of Crash Severity in Work Zone Areas. Sustainability 2023, 15, 9076. [Google Scholar] [CrossRef]
- Wen, X.; Xie, Y.; Wu, L.; Jiang, L. Quantifying and comparing the effects of key risk factors on various types of roadway segment crashes with LightGBM and SHAP. Accid. Anal. Prev. 2021, 159, 106261. [Google Scholar] [CrossRef]
- Shao, L.; Chen, W. Coal and Gas Outburst Prediction Model Based on Miceforest Filling and PHHO–KELM. Processes 2023, 11, 2722. [Google Scholar] [CrossRef]
- Valdiviezo, H.C.; Van Aelst, S. Tree-based prediction on incomplete data using imputation or surrogate decisions. Inf. Sci. 2015, 311, 163–181. [Google Scholar] [CrossRef]
- Stekhoven, D.J.; Bühlmann, P. MissForest—Non-parametric missing value imputation for mixed-type data. Bioinformatics 2012, 28, 112–118. [Google Scholar] [CrossRef]
- Akande, O.; Li, F.; Reiter, J. An empirical comparison of multiple imputation methods for categorical data. Am. Stat. 2017, 71, 162–170. [Google Scholar] [CrossRef]
- Kang, K.; Chen, Q.; Wang, K.; Zhang, Y.; Zhang, D.; Zheng, G.; Xing, J.; Long, T.; Ren, X.; Shang, C. Application of Interpretable Machine Learning for Production Feasibility Prediction of Gold Mine Project. Appl. Sci. 2023, 13, 8992. [Google Scholar] [CrossRef]
- Tamim Kashifi, M.; Ahmad, I. Efficient Histogram-Based Gradient Boosting Approach for Accident Severity Prediction with Multisource Data. Transp. Res. Rec. 2022, 2676, 236–258. [Google Scholar] [CrossRef]
- Ma, X.; Ding, C.; Luan, S.; Wang, Y.; Wang, Y. Prioritizing Influential Factors for Freeway Incident Clearance Time Prediction Using the Gradient Boosting Decision Trees Method. IEEE Trans. Intell. Transp. Syst. 2017, 18, 2303–2310. [Google Scholar] [CrossRef]
- Iranmanesh, M.; Seyedabrishami, S.; Moridpour, S. Identifying high crash risk segments in rural roads using ensemble decision tree-based models. Sci. Rep. 2022, 12, 20024. [Google Scholar] [CrossRef]
- Hancock, J.; Khoshgoftaar, T.M. Impact of Hyperparameter Tuning in Classifying Highly Imbalanced Big Data. In Proceedings of the 2021 IEEE 22nd International Conference on Information Reuse and Integration for Data Science (IRI), Las Vegas, NV, USA, 10–12 August 2021; pp. 348–354. [Google Scholar] [CrossRef]
- Ngoc, H.; Quach, L.D. An Approach to Hyperparameter Tuning in Transfer Learning for Driver Drowsiness Detection Based on Bayesian Optimization and Random Search. Int. J. Adv. Comput. Sci. Appl. 2023, 14, 492. [Google Scholar]
- Tang, J.J.; Liang, J.; Han, C.Y.; Li, Z.B.; Huang, H.L. Crash injury severity analysis using a two-layer Stacking framework. Accid. Anal. Prev. 2019, 122, 226–238. [Google Scholar] [CrossRef]
- Florek, P.; Zagdanski, A. Benchmarking state-of-the-art gradient boosting algorithms for classification. arXiv 2023, arXiv:2305.17094. [Google Scholar]
- Hausken, K.; Mohr, M. The value of a player in n-person games. Soc. Choice Welf. 2001, 18, 465–483. [Google Scholar] [CrossRef]
- Štrumbelj, E.; Kononenko, I. An Efficient Explanation of Individual Classifications using Game Theory. J. Mach. Learn. Res. 2010, 11, 1–18. [Google Scholar]
- Hasan, A.S.; Kabir, M.A.B.; Jalayer, M.; Das, S. Severity modeling of work zone crashes in New Jersey using machine learning models. J. Transp. Saf. Secur. 2023, 15, 604–635. [Google Scholar] [CrossRef]
- Angarita-Zapata, J.S.; Maestre-Gongora, G.; Calderín, J.F. A Bibliometric Analysis and Benchmark of Machine Learning and AutoML in Crash Severity Prediction: The Case Study of Three Colombian Cities. Sensors 2021, 21, 8401. [Google Scholar] [CrossRef]
- Liu, W.; Deng, K.; Zhang, X.; Cheng, Y.; Zheng, Z.; Jiang, F.; Peng, J. A Semi-Supervised Tri-CatBoost Method for Driving Style Recognition. Symmetry 2020, 12, 336. [Google Scholar] [CrossRef]
- Zeghlache, R.; Labiod, M.A.; Mellouk, A. Driver vigilance estimation with Bayesian LSTM Auto-encoder and XGBoost using EEG/EOG data. IFAC-Pap. 2022, 55, 89–94. [Google Scholar] [CrossRef]
- Dong, C.; Dong, Q.; Huang, B.; Hu, W.; Nambisan Shashi, S. Estimating Factors Contributing to Frequency and Severity of Large Truck–Involved Crashes. J. Transp. Eng. Part A Syst. 2017, 143, 04017032. [Google Scholar] [CrossRef]
- Han, W.; Zhao, J. Driver behaviour and traffic accident involvement among professional urban bus drivers in China. Transp. Res. Part F Traffic Psychol. Behav. 2020, 74, 184–197. [Google Scholar] [CrossRef]
- Wang, X.; Jiao, Y.; Huo, J.; Li, R.; Zhou, C.; Pan, H.; Chai, C. Analysis of safety climate and individual factors affecting bus drivers’ crash involvement using a two-level logit model. Accid. Anal. Prev. 2021, 154, 106087. [Google Scholar] [CrossRef]
- Lee, J.; Yeo, J.; Yun, I.; Kang, S. Factors Affecting Crash Involvement of Commercial Vehicle Drivers: Evaluation of Commercial Vehicle Drivers’ Characteristics in South Korea. J. Adv. Transp. 2020, 2020, 5868379. [Google Scholar] [CrossRef]
- Nguyen, T.C.; Nguyen, M.H.; Armoogum, J.; Ha, T.T. Bus Crash Severity in Hanoi, Vietnam. Safety 2021, 7, 65. [Google Scholar] [CrossRef]
- Zhou, H.; Yuan, C.; Dong, N.; Wong, S.C.; Xu, P. Severity of passenger injuries on public buses: A comparative analysis of collision injuries and non-collision injuries. J. Saf. Res. 2020, 74, 55–69. [Google Scholar] [CrossRef]
- Joo, Y.-J.; Kho, S.-Y.; Kim, D.-K.; Park, H.-C. A data-driven Bayesian network for probabilistic crash risk assessment of individual driver with traffic violation and crash records. Accid. Anal. Prev. 2022, 176, 106790. [Google Scholar] [CrossRef]
- Fu, R.; Liu, T.; Guo, Y.; Zhang, S.; Cheng, W. A Case Study in China to Determine Whether GPS Data and Derivative Indicator Can Be Used to Identify Risky Drivers. J. Adv. Transp. 2019, 2019, 9072531. [Google Scholar] [CrossRef]
- Jeong, H.; Park, W.; Lee, J.; Park, S.; Yun, I. Influence of Public Bus Driver’s Driving Behaviors on Passenger Fall Incidents: An Analysis Using Digital Tachograph Data. J. Adv. Transp. 2022, 2022, 2941327. [Google Scholar] [CrossRef]















| Variable | Mark | Description | Count | Proportion | Mean | Std. | |
|---|---|---|---|---|---|---|---|
| Accident | Accident | 0 = Accident 1 = No accidents | 551 551 | 50.00% 50.00% | - | - | |
| Individual information | Sex | Sex | 0 = Male 1 = Female | 36 1066 | 3.27% 96.73% | - | - |
| Education | Education | 1 = Below junior high school level 2 = High school 3 = Specialized education and above | 396 651 55 | 35.93% 59.07% 4.99% | - | - | |
| Age | Age | Continuous variables | - | - | 42.083 | 8.442 | |
| Driving experience | Driving experience | Continuous variables | - | - | 11.319 | 5.522 | |
| Driving duration | The accumulated driving duration of the previous week | ADW | Continuous variables | - | - | 30.757 | 7.073 |
| The accumulated operating duration of the previous week | AOW | Continuous variables | - | - | 26.787 | 6.789 | |
| The proportion of driving duration during peak duration of the previous week | PDPW | Continuous variables | - | - | 0.299 | 0.018 | |
| The accumulated driving duration of the previous month | ADM | Continuous variables | - | - | 9.370 | 1.596 | |
| The accumulated operating duration of the previous month | AOM | Continuous variables | - | - | 8.176 | 1.538 | |
| The proportion of driving duration during the peak duration | PDP | Continuous variables | - | - | 0.299 | 0.014 | |
| The proportion of driving duration within the week | PDW | Continuous variables | - | - | 0.884 | 0.047 | |
| Violation information | Time since last violation | TLV | 0 = More than six months 1 = Within one week 2 = Within one month 3 = Within three months 4 = Within six months | 426 269 101 243 63 | 38.66% 24.41% 9.17% 22.05% 5.72% | - | - |
| Accumulated violation(s) of the previous month | PVA | 0 1 2 | 727 326 49 | 65.97% 29.58% 4.45% | - | - | |
| Accumulated violation(s) of the half-year | HVA | 0 1 2 3 4 5 | 421 312 222 91 40 16 | 38.20% 28.31% 20.15% 8.26% 3.63% 1.45% | - | - | |
| Risky behavior information | Fatigue—Accumulated in the last month | FDA | 0 1 2 | 977 86 39 | 88.66% 7.38% 3.54% | - | - |
| Fatigue—Length of time since last felt | FDL | 0 = More than three months 1 = Within one week 2 = Within two weeks 3 = Within one month 4 = Within three months | 861 28 25 59 66 | 78.13% 2.54% 2.27% 5.35% 5.99% | - | - | |
| Irregular driving—Accumulated in the last month | IDA | 0 1 2 3 4 | 827 144 60 52 19 | 75.05% 13.07% 5.44% 4.72% 1.72% | - | - | |
| Irregular driving—Length of time since last | IDL | 0 = More than three months 1 = Within one week 2 = Within two weeks 3 = Within one month 4 = Within three months | 646 183 75 71 127 | 58.62% 16.61% 6.81% 6.44% 11.52% | - | - | |
| Risky Behavior—Accumulated in the last month | RBA | 0 1 2 3 4 5 6 7 8 | 675 163 69 60 50 41 19 18 7 | 61.25% 14.79% 6.26% 5.44% 4.54% 3.72% 1.72% 1.63% 0.64% | - | - | |
| Minimum Risky Behavior Interval | RBT | 0 = More than three months 1 = Less than twice in three months 1 = Within one week 2 = Within two weeks 3 = Within one month 4 = Within three months | 596 183 228 48 25 22 | 54.08% 16.61% 20.69% 4.36% 2.27% 2.00% | - | - | |
| Trajectory information | Average speed | Average speed | Continuous variables | - | - | 19.493 | 2.551 |
| Speed dispersion | Speed dispersion | Continuous variables | - | - | 12.825 | 1.397 | |
| Acceleration | Acceleration | Continuous variables | - | - | 0.887 | 0.088 | |
| Acceleration dispersion | Acceleration dispersion | Continuous variables | - | - | 0.663 | 0.077 | |
| Azimuthal change | Azimuthal change | Continuous variables | - | - | 19.899 | 4.344 | |
| Maximum speed of station entry/exit | MSEE | Continuous variables | - | - | 39.392 | 3.432 | |
| Average speed of station entry/exit | ASEE | Continuous variables | - | - | 21.655 | 2.046 | |
| Speed Dispersion of station entry/exit | SDEE | Continuous variables | - | - | 8.066 | 1.058 | |
| Other | Weather | Weather | 1 = Sunny 2 = Cloudy 3 = Light rain 4 = Moderate rain 5 = Heavy rain 6 = Rainstorm | 56 425 310 70 45 5 | 5.08% 51.27% 28.13% 6.35% 4.08% 5.08% | - | - |
| Rainfall | Rainfall | Continuous variables | - | - | 0.106 | 0.169 |
| Prediction | Actual Results | |
|---|---|---|
| Positive Examples | Negative Examples | |
| Positive examples | TP | FP |
| Negative examples | FN | TN |
| GBDT | XGBoost | LightGBM | CatBoost | ||||||
|---|---|---|---|---|---|---|---|---|---|
| 1 | 0 | 1 | 0 | 1 | 0 | 1 | 0 | ||
| Training set | 1 | 308 | 83 | 319 | 72 | 331 | 60 | 331 | 60 |
| 0 | 71 | 309 | 69 | 311 | 64 | 316 | 58 | 322 | |
| Test set | 1 | 120 | 40 | 124 | 36 | 131 | 29 | 130 | 30 |
| 0 | 35 | 136 | 34 | 137 | 31 | 140 | 27 | 144 | |
| Dataset | Evaluation | GBDT | XGBoost | LightGBM | CatBoost |
|---|---|---|---|---|---|
| Training set | Precision | 0.788 | 0.816 | 0.847 | 0.847 |
| Recall | 0.813 | 0.822 | 0.838 | 0.851 | |
| F1-score | 0.800 | 0.819 | 0.842 | 0.849 | |
| AUC | 0.817 | 0.823 | 0.848 | 0.854 | |
| AUC-PR | 0.769 | 0.771 | 0.802 | 0.807 | |
| Cohen’s kappa (k) | 0.601 | 0.634 | 0.678 | 0.694 | |
| Test set | Precision | 0.750 | 0.775 | 0.819 | 0.813 |
| Recall | 0.774 | 0.785 | 0.809 | 0.828 | |
| F1-score | 0.762 | 0.780 | 0.814 | 0.820 | |
| AUC | 0.773 | 0.788 | 0.819 | 0.827 | |
| AUC-PR | 0.720 | 0.737 | 0.775 | 0.778 | |
| Cohen’s kappa (k) | 0.546 | 0.576 | 0.637 | 0.655 |
| Hyperparameter Optimization | Interpretation | Default Value | Range | Result |
|---|---|---|---|---|
| Iterations | Maximum number of trees that could be built | 500 | (50, 1000) | 739 |
| Depth | Depth of the tree | 6 | (1, 12) | 10 |
| learning_rate | Rate at which the model weights were updated after working through each batch of training examples | 0.009 | (0.01,1.0) | 0.271 |
| l2_leaf_reg | Coefficient for the L2 regularization term of the cost function | 3 | (1, 10) | 6 |
| rsm | Random subspace method | 1.0 | (0.1, 1.0) | 0.778 |
| Subsample | Sample sampling ratio | 0.6 | (0.2, 1.0) | 0.92 |
| random_strength | Amount of randomness to use for scoring splits when the tree structure was selected, used to avoid overfitting the model | 1.0 | (0.0, 5.0) | 3.798 |
| bagging_temperature | Bayesian bootstrap used to assign random weights to objects | 1 | (0.1, 10.0) | 2.26 |
| random_seed | Random seed used for training | 1.0 | (0, 100) | 12 |
| Test set | Confusion Matrix | Precision | Recall | F1-Score | AUC | AUC-PR | Cohen’s Kappa (k) | |
| 132 | 28 | 0.825 | 0.841 | 0.833 | 0.834 | 0.788 | 0.680 | |
| 25 | 146 | |||||||
| CatBoost | 1.48% | 1.57% | 1.59% | 0.85% | 1.29% | 3.82% | ||
| LightGBM | 0.73% | 3.96% | 2.33% | 1.83% | 1.68% | 6.75% | ||
| XGBoost | 6.45% | 7.13% | 6.79% | 5.84% | 6.92% | 18.06% | ||
| GBDT | 10.00% | 8.66% | 9.32% | 7.89% | 9.44% | 24.54% | ||
Disclaimer/Publisher’s Note: The statements, opinions and data contained in all publications are solely those of the individual author(s) and contributor(s) and not of MDPI and/or the editor(s). MDPI and/or the editor(s) disclaim responsibility for any injury to people or property resulting from any ideas, methods, instructions or products referred to in the content. |
© 2023 by the authors. Licensee MDPI, Basel, Switzerland. This article is an open access article distributed under the terms and conditions of the Creative Commons Attribution (CC BY) license (https://creativecommons.org/licenses/by/4.0/).
Share and Cite
Ding, T.; Yuan, L.; Li, Z.; Xi, J.; Zhang, K. Accident Probability Prediction and Analysis of Bus Drivers Based on Occupational Characteristics. Appl. Sci. 2024, 14, 279. https://doi.org/10.3390/app14010279
Ding T, Yuan L, Li Z, Xi J, Zhang K. Accident Probability Prediction and Analysis of Bus Drivers Based on Occupational Characteristics. Applied Sciences. 2024; 14(1):279. https://doi.org/10.3390/app14010279
Chicago/Turabian StyleDing, Tongqiang, Lei Yuan, Zhiqiang Li, Jianfeng Xi, and Kexin Zhang. 2024. "Accident Probability Prediction and Analysis of Bus Drivers Based on Occupational Characteristics" Applied Sciences 14, no. 1: 279. https://doi.org/10.3390/app14010279
APA StyleDing, T., Yuan, L., Li, Z., Xi, J., & Zhang, K. (2024). Accident Probability Prediction and Analysis of Bus Drivers Based on Occupational Characteristics. Applied Sciences, 14(1), 279. https://doi.org/10.3390/app14010279

