Aerodynamic Performance Assessment of Distributed Electric Propulsion after the Wing Trailing Edge
Abstract
:1. Introduction
2. Theoretical Analysis
3. Wind Tunnel Testing
3.1. Experimental Setup
3.2. Error Analysis
3.3. Experimental Results
4. Numerical Simulations
4.1. Simulation Setup
4.2. Simulation Result
5. Conclusions
- (1)
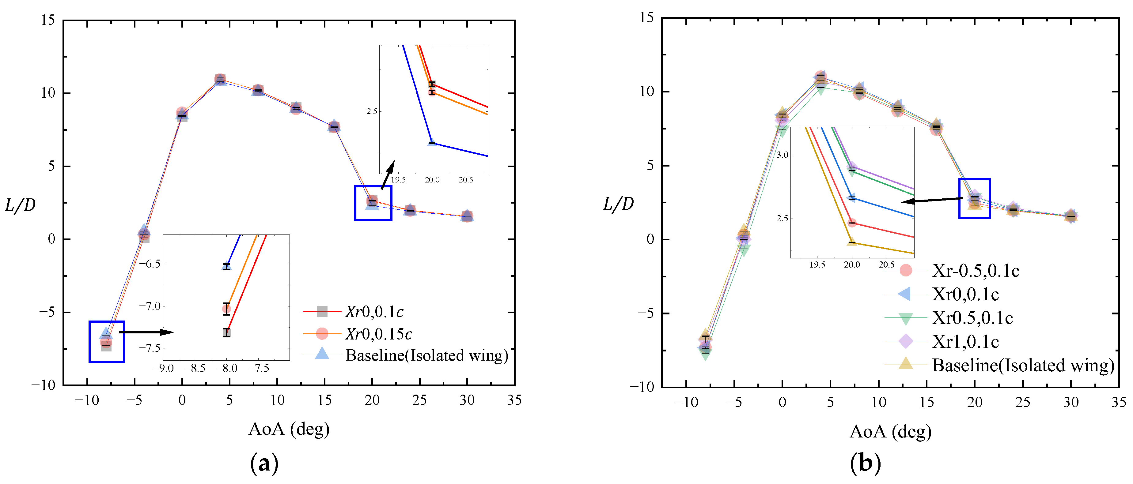
- The propeller has no significant effect on the lift of the wing when the AoA is less than 16°. However, the lift coefficient is much higher than the baseline (isolated wing), and the lift of the pusher DEP system is significantly increased up to 73–87% without any decrease in L/D. In contrast, the drag coefficient is also higher than that of the isolated wing. With a higher AoA, it is interesting to note that the lift for the pusher configuration was also improved.
- (2)
- The wing of the pusher structure stalled at 16° AoA. This may be caused by the acceleration of the axial airflow affected by the propeller and the interference from the inflow and downwash caused by the slipstream. Accordingly, it increased the drag coefficient, especially for the DEP with a smaller horizontal distance between the propeller and the trailing edge of the wing. Also, a delay in stall and an increase in lift at a high AoA were observed when the pusher props were placed above the wing chord line.
- (3)
- The trailing edge vortex of the wing for the pusher DEP structure interacted with the flow field of the propeller, and it showed an increase in lift and drag increase. L/D variation was within the experimental uncertainty limits of the baseline case (isolated wing), and no significant difference was found. The propeller in the pusher DEP was subjected to the blocking effect of the wing or the eddy current of the trailing edge of the wing, and the lift was significantly increased.
Author Contributions
Funding
Institutional Review Board Statement
Informed Consent Statement
Data Availability Statement
Acknowledgments
Conflicts of Interest
References
- Borer, N.K.; Patterson, M.D.; Viken, J.K.; Moore, M.D.; Bevirt, J.; Stoll, A.M.; Gibson, A.R. Design and performance of the NASA SCEPTOR distributed electric propulsion flight demonstrator. In Proceedings of the 16th AIAA Aviation Technology, Integration, and Operations Conference, Washington, DC, USA, 13–17 July 2016; p. 3920. [Google Scholar]
- Stoll, A.M.; Bevirt, J.; Moore, M.D.; Fredericks, W.J.; Borer, N.K. Drag reduction through distributed electric propulsion. In Proceedings of the 14th AIAA Aviation Technology, Integration, and Operations Conference, Atlanta, GA, USA, 16–20 June 2014; p. 2851. [Google Scholar]
- Moore, K.R.; Ning, A. Distributed electric propulsion effects on existing aircraft through multidisciplinary optimization. In Proceedings of the 2018 AIAA/ASCE/AHS/ASC Structures, Structural Dynamics, and Materials Conference, Kissimmee, FL, USA, 8–12 January 2018; p. 1652. [Google Scholar]
- Kong, X.; Zhang, Z.; Lu, J.; Li, J.; Yu, L. Review of electric power system of distributed electric propulsion aircraft. Acta Aeronaut. Et Astronaut. Sin. 2018, 39, 46–62. [Google Scholar]
- Moore, M.D. Misconceptions of electric aircraft and their emerging aviation markets. In Proceedings of the 52nd Aerospace Sciences Meeting, National Harbor, MD, USA, 13–17 January 2014; p. 0535. [Google Scholar]
- Leifsson, L.; Ko, A.; Mason, W.H.; Schetz, J.A.; Grossman, B.; Haftka, R.T. Multidisciplinary design optimization of blended-wing-body transport aircraft with distributed propulsion. Aerosp. Sci. Technol. 2013, 25, 16–28. [Google Scholar] [CrossRef]
- Juvé, L.; Fosse, J.; Joubert, E.; Fouquet, N. Airbus Group electrical aircraft program, the E-FAN project. In Proceedings of the 52nd AIAA/SAE/ASEE Joint Propulsion Conference, Salt Lake City, UT, USA, 25–27 July 2016; p. 4613. [Google Scholar]
- Christie, R.J.; Dubois, A.; Derlaga, J.M. Cooling of Electric Motors Used for Propulsion on SCEPTOR; NASA: Washington, DC, USA, 2017. [Google Scholar]
- Rothhaar, P.M.; Murphy, P.C.; Bacon, B.J.; Gregory, I.M.; Grauer, J.A.; Busan, R.C.; Croom, M.A. NASA Langley distributed propulsion VTOL tiltwing aircraft testing, modeling, simulation, control, and flight test development. In Proceedings of the 14th AIAA Aviation Technology, Integration, and Operations Conference, Atlanta, GA, USA, 16–20 June 2014; p. 2999. [Google Scholar]
- Fredericks, W.J.; McSwain, R.G.; Beaton, B.F.; Klassman, D.W.; Theodore, C.R. Greased Lightning (GL-10) Flight Testing Campaign; NASA: Washington, DC, USA, 2017. [Google Scholar]
- Schnulo, S.L.; Chin, J.; Smith, A.; Paul-Dubois-Taine, A. Steady state thermal analyses of SCEPTOR X-57 wingtip propulsion. In Proceedings of the 17th AIAA Aviation Technology, Integration, and Operations Conference, Denver, CO, USA, 5–9 June 2017; p. 3783. [Google Scholar]
- Traub, L.W. Propeller characterization for distributed propulsion. J. Aerosp. Eng. 2021, 34, 04021020. [Google Scholar] [CrossRef]
- Veldhuis, L.L.M. Review of propeller-wing aerodynamic interference. In Proceedings of the 24th lnternational Congress of Aeronautical Sciences, Yokohama, Japan, 29 August–3 September 2004. [Google Scholar]
- Rakshith, B.; Deshpande, S.; Narasimha, R.; Praveen, C. Optimal low-drag wing planforms for tractor-configuration propeller-driven aircraft. J. Aircr. 2015, 52, 1791–1801. [Google Scholar] [CrossRef]
- Patterson, M.D.; Borer, N.K. Approach considerations in aircraft with high-lift propeller systems. In Proceedings of the 17th AIAA Aviation Technology, Integration, and Operations Conference, Denver, CO, USA, 5–9 June 2017; p. 3782. [Google Scholar]
- Ananda Krishnan, G.K.; Deters, R.W.; Selig, M.S. Propeller induced flow effects on wings at low Reynolds numbers. In Proceedings of the 31st AIAA Applied Aerodynamics Conference, San Diego, CA, USA, 24–27 June 2013; p. 3193. [Google Scholar]
- Zhou, Z.; Gan, W. Studying aerodynamic performances of the low-Reynolds-number airfoil of solar energy UAV. J. Northwestern Polytech. Univ. 2014, 32, 163–168. [Google Scholar]
- Borer, N.K.; Moore, M.D. Integrated propeller-wing design exploration for distributed propulsion concepts. In Proceedings of the 53rd AIAA Aerospace Sciences Meeting, Kissimmee, FL, USA, 5–9 January 2015; p. 1672. [Google Scholar]
- Patterson, M.D.; German, B. Wing aerodynamic analysis incorporating one-way interaction with distributed propellers. In Proceedings of the 14th AIAA Aviation Technology, Integration, and Operations Conference, Atlanta, GA, USA, 16–20 June 2014; p. 2852. [Google Scholar]
- Wang, J.; Yang, J.; Yang, Z. Dynamics Modeling and Simulation of Multi-rotor UAV based on the Composite Wind Field Model. In Proceedings of the 2022 13th International Conference on Reliability, Maintainability, and Safety (ICRMS), Kowloon, Hong Kong, 21–24 August 2022; pp. 127–134. [Google Scholar]
- Gohardani, A.S. A synergistic glance at the prospects of distributed propulsion technology and the electric aircraft concept for future unmanned air vehicles and commercial/military aviation. Prog. Aerosp. Sci. 2013, 57, 25–70. [Google Scholar] [CrossRef]
- Seddon, J.M.; Newman, S. Basic Helicopter Aerodynamics; John Wiley & Sons: Hoboken, NJ, USA, 2011. [Google Scholar]
- Luo, J.; Zhu, L.; Yan, G. Novel quadrotor forward-flight model based on wake interference. AIAA J. 2015, 53, 3522–3533. [Google Scholar] [CrossRef]
- Leishman, G.J. Principles of Helicopter Aerodynamics with CD Extra; Cambridge University Press: Cambridge, UK, 2006. [Google Scholar]
- Patterson, M.D.; Daskilewicz, M.J.; German, B. Simplified aerodynamics models to predict the effects of upstream propellers on wing lift. In Proceedings of the 53rd AIAA Aerospace Sciences Meeting, Kissimmee, FL, USA, 5–9 January 2015; p. 1673. [Google Scholar]
- Lei, Y.; Wang, J. Aerodynamic performance of quadrotor UAV with non-planar rotors. Appl. Sci. 2019, 9, 2779. [Google Scholar] [CrossRef]
- Lei, Y.; Wang, H. Aerodynamic optimization of a micro quadrotor aircraft with different rotor spacings in hover. Appl. Sci. 2020, 10, 1272. [Google Scholar] [CrossRef]
- Nguyen, D.H.; Liu, Y.; Mori, K. Experimental study for aerodynamic performance of quadrotor helicopter. Trans. Jpn. Soc. Aeronaut. Space Sci. 2018, 61, 29–39. [Google Scholar] [CrossRef]











| Part | Parameter | Numerical Value |
|---|---|---|
| Wind tunnel cross-section | - | 600 mm × 600 mm |
| NACA4415 airfoil used for the wing | Span | 300 mm |
| Chord | 150 mm | |
| Aspect Ratio | 2 | |
| Four propellers | Diameter | 76.2 mm |
| Pitch | 76.2 mm | |
| No. of blades | 4 | |
| Operating conditions | Free-stream speed | 18 m/s (typical) |
| Prop RPM | 18,000 rpm | |
| Wing Reynolds number | 180,000 |
| Part | Parameter | Numerical Value |
|---|---|---|
| Simulation calculation domain | - | 600 mm × 600 mm |
| NACA4415 airfoil used for the wing | Span | 300 mm |
| Chord | 150 mm | |
| Aspect Ratio | 2 | |
| Four propellers | Diameter | 76.2 mm |
| Pitch | 76.2 mm | |
| No. of blades | 4 | |
| Boundary conditions | Speed inlet | 18 m/s (typical) |
| Rotation domain RPM | 18,000 rpm |
| Cl | Cl Error (%) | Cd | Cd Error (%) | ||
|---|---|---|---|---|---|
| 1.89 | 85.47 | 0.95 | −10.2 | 0.44822 | +5.8 |
| 2.14 | 107.51 | 0.987 | −7.9 | 0.43678 | +3.1 |
| 2.55 | 133.64 | 1.013 | −5.5 | 0.43466 | +2.6 |
| 2.83 | 167.29 | 1.014 | −5.4 | 0.43424 | +2.5 |
Disclaimer/Publisher’s Note: The statements, opinions and data contained in all publications are solely those of the individual author(s) and contributor(s) and not of MDPI and/or the editor(s). MDPI and/or the editor(s) disclaim responsibility for any injury to people or property resulting from any ideas, methods, instructions or products referred to in the content. |
© 2023 by the authors. Licensee MDPI, Basel, Switzerland. This article is an open access article distributed under the terms and conditions of the Creative Commons Attribution (CC BY) license (https://creativecommons.org/licenses/by/4.0/).
Share and Cite
Lei, Y.; Zhao, X. Aerodynamic Performance Assessment of Distributed Electric Propulsion after the Wing Trailing Edge. Appl. Sci. 2024, 14, 280. https://doi.org/10.3390/app14010280
Lei Y, Zhao X. Aerodynamic Performance Assessment of Distributed Electric Propulsion after the Wing Trailing Edge. Applied Sciences. 2024; 14(1):280. https://doi.org/10.3390/app14010280
Chicago/Turabian StyleLei, Yao, and Xiangzheng Zhao. 2024. "Aerodynamic Performance Assessment of Distributed Electric Propulsion after the Wing Trailing Edge" Applied Sciences 14, no. 1: 280. https://doi.org/10.3390/app14010280
APA StyleLei, Y., & Zhao, X. (2024). Aerodynamic Performance Assessment of Distributed Electric Propulsion after the Wing Trailing Edge. Applied Sciences, 14(1), 280. https://doi.org/10.3390/app14010280

