Process Development of Low-Loss LPCVD Silicon Nitride Waveguides on 8-Inch Wafer
Abstract
1. Introduction
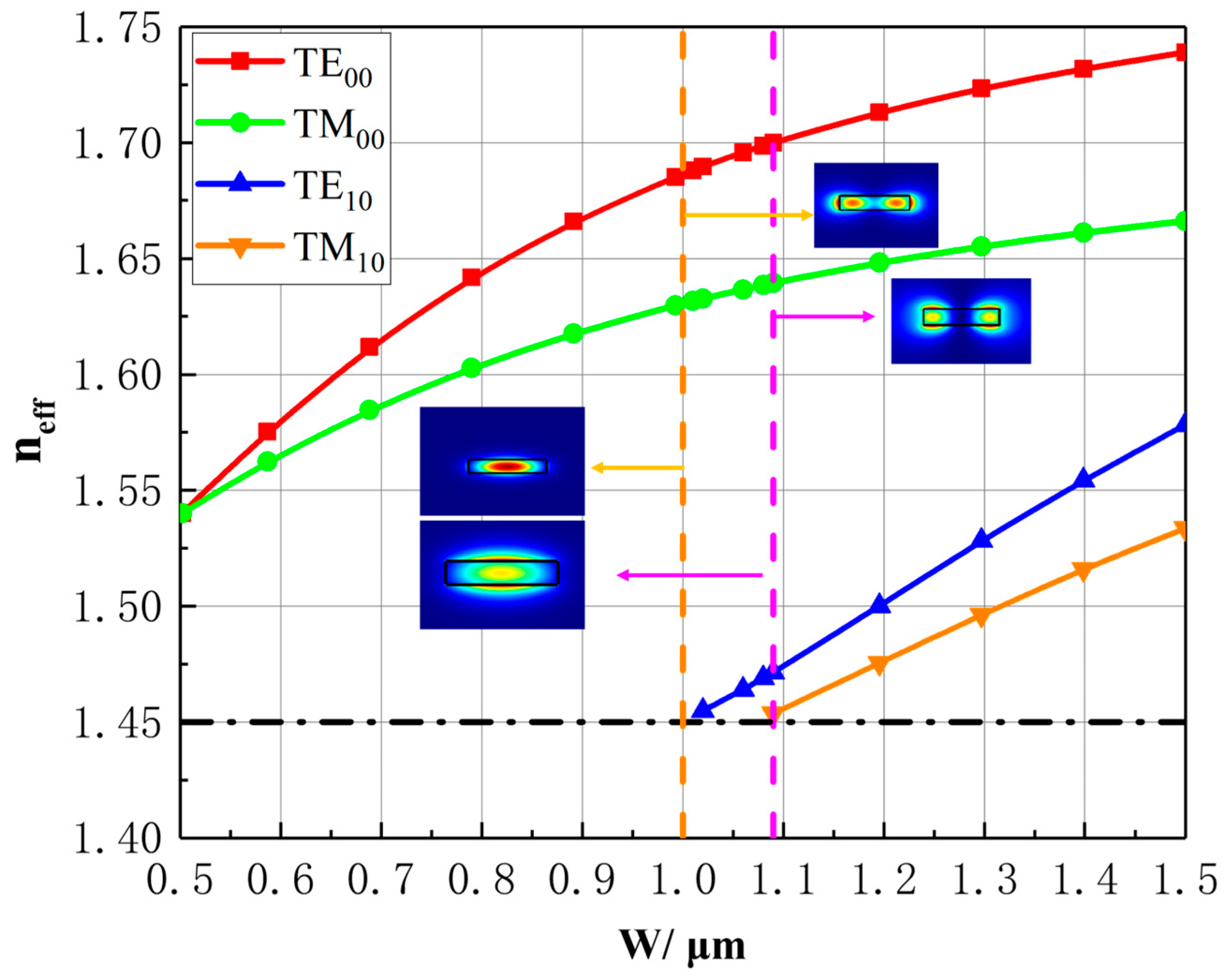
2. Design of Silicon Nitride Waveguide
3. Fabrication Process
4. Device Characterization and Discussion
5. Conclusions
Author Contributions
Funding
Institutional Review Board Statement
Informed Consent Statement
Data Availability Statement
Acknowledgments
Conflicts of Interest
References
- Blumenthal, D.J.; Rene, H.; Douwe, G.; Arne, L.; Chris, R. Silicon Nitride in Silicon Photonics. Proc. IEEE 2018, 106, 2209–2231. [Google Scholar] [CrossRef]
- Mao, S.C.; Tao, S.H.; Xu, Y.L.; Sun, X.W.; Yu, M.B.; Lo, G.Q.; Kwong, D.L. Low Propagation Loss Sin Optical Waveguide Prepared by Optimal Low-Hydrogen Module. Opt. Express 2008, 16, 20809–20816. [Google Scholar] [CrossRef] [PubMed]
- Ikeda, K.; Robert, E.S.; Nikola, A.; Yeshaiahu, F.T. Kerr Nonlinear Properties of Plasma-Deposited Silicon Nitride/Silicon Dioxide Waveguides. Opt. Express 2008, 16, 12987–12994. [Google Scholar] [CrossRef] [PubMed]
- Su, Y.; Yong, Z.; Qiu, C.; Guo, X.; Lu, S. Silicon Photonic Platform for Passive Waveguide Devices: Materials, Fabrication, and Applications. Adv. Mater. Technol. 2020, 5, 1901153. [Google Scholar] [CrossRef]
- Ji, X.; Samantha, R.; Mateus, C.-Z.; Michal, L. Methods to Achieve Ultra-High Quality Factor Silicon Nitride Resonators. APL Photonics 2021, 6, 071101. [Google Scholar] [CrossRef]
- Shastri, B.J.; Alexander, N.T.; de Lima, T.F.; Wolfram, H.P.P.; Harish, B.; Wright, C.D.; Prucnal, P.R. Photonics for Artificial Intelligence and Neuromorphic Computing. Nat. Photonics 2021, 15, 102–114. [Google Scholar] [CrossRef]
- Pfeifle, J.; Brasch, V.; Lauermann, M.; Yu, Y.; Wegner, D.; Herr, T.; Hartinger, K.; Schindler, P.; Li, J.; Hillerkuss, D.; et al. Coherent Terabit Communications with Microresonator Kerr Frequency Combs. Nat. Photonics 2014, 8, 375–380. [Google Scholar] [CrossRef]
- Poot, M.; Schuck, C.; Ma, X.-S.; Guo, X.; Tang, H.X. Design and Characterization of Integrated Components for Sin Photonic Quantum Circuits. Opt. Express 2016, 24, 6843–6860. [Google Scholar] [CrossRef]
- Yu, M.; Okawachi, Y.; Joshi, C.; Ji, X.; Lipson, M.; Gaeta, A.L. Gas-Phase Microresonator-Based Comb Spectroscopy without an External Pump Laser. ACS Photonics 2018, 5, 2780–2785. [Google Scholar] [CrossRef]
- Li, D.; Li, B.; Tang, B.; Zhang, P.; Yang, Y.; Liu, R.; Xie, L.; Li, Z. Broadband Silicon Nitride Power Splitter Based on Bent Directional Couplers with Low Thermal Sensitivity. Micromachines 2022, 13, 559. [Google Scholar] [CrossRef]
- Jiang, W.; Xu, D.; Yao, S.; Xiong, B.; Wang, Y. Effect of Hyperthermal Annealing on Lpcvd Silicon Nitride. Mater. Sci. Semicond. Process. 2016, 43, 222–229. [Google Scholar] [CrossRef]
- Li, B.; Li, D.; Tang, B.; Zhang, P.; Yang, Y.; Liu, R.; Xie, L.; Li, Z. Towards Monolithic Low-Loss Silicon Nitride Waveguides on a Mature 200 mm Cmos Platform. Optik 2022, 250, 168309. [Google Scholar] [CrossRef]
- Xuan, Y.; Liu, Y.; Varghese, L.T.; Metcalf, A.J.; Xue, X.; Wang, P.-H.; Han, K.; Jaramillo-Villegas, J.A.; Al Noman, A.; Wang, C.; et al. High-Q Silicon Nitride Microresonators Exhibiting Low-Power Frequency Comb Initiation. Optica 2016, 3, 1171–1180. [Google Scholar] [CrossRef]
- Krückel, C.J.; Fülöp, A.; Ye, Z.; Andrekson, P.A.; Torres-Company, V. Optical Bandgap Engineering in Nonlinear Silicon Nitride Waveguides. Opt. Express 2017, 25, 15370–15380. [Google Scholar] [CrossRef]
- Olson, J.M. Analysis of Lpcvd Process Conditions for the Deposition of Low Stress Silicon Nitride. Part I: Preliminary Lpcvd Experiments. Mater. Sci. Semicond. Process. 2002, 5, 51–60. [Google Scholar] [CrossRef]
- Sharma, N.; Hooda, M.; Sharma, S.K. Synthesis and Characterization of Lpcvd Polysilicon and Silicon Nitride Thin Films for Mems Applications. J. Mater. 2014, 2014, 954618. [Google Scholar] [CrossRef]
- Chen, K.-S. Techniques in Residual Stress Measurement for Mems and Their Applications. In Mems/Nems: Handbook Techniques and Applications; Cornelius, T.L., Ed.; Springer US: Boston, MA, USA, 2006; pp. 1252–1328. [Google Scholar]
- De Oliveira, E.C.; Gerosa, R.M.; Phelan, C.; de Matos, C.J.S. Fabrication and Characterization of Silicon Nitride Waveguides for Mid-Infrared Applications. In Proceedings of the 2019 SBFoton International Optics and Photonics Conference (SBFoton IOPC), Sao Paulo, Brazil, 7–9 October 2019. [Google Scholar]
- Shang, K.; Pathak, S.; Guan, B.; Liu, G.; Yoo, S.J.B. Low-Loss Compact Multilayer Silicon Nitride Platform for 3d Photonic Integrated Circuits. Opt. Express 2015, 23, 21334–21342. [Google Scholar] [CrossRef]
- Muñoz, P.; Doménech, J.; Domínguez, C.; Sánchez, A.; Micó, G.; Bru, L.; Pérez, D.; Pastor, D. State of the Art of Silicon Nitride Photonics Integration Platforms. In Proceedings of the 2017 19th International Conference on Transparent Optical Networks (ICTON), Girona, Spain, 2–6 July 2017. [Google Scholar]
- Krückel, C.J.; Fülöp, A.; Klintberg, T.; Bengtsson, J.; Andrekson, P.A.; Torres-Company, V. Linear and Nonlinear Characterization of Low-Stress High-Confinement Silicon-Rich Nitride Waveguides. Opt. Express 2015, 23, 25827–25837. [Google Scholar] [CrossRef]
- Wörhoff, K.; Heideman, R.G.; Arne, L.; Marcel, H. Triplex: A Versatile Dielectric Photonic Platform. Adv. Opt. Technol. 2015, 4, 189–207. [Google Scholar] [CrossRef]
- Roeloffzen, C.G.H.; Hoekman, M.; Klein, E.J.; Wevers, L.S.; Timens, R.B.; Marchenko, D.; Geskus, D.; Dekker, R.; Alippi, A.; Grootjans, R.; et al. Low-Loss Si3N4 Triplex Optical Waveguides: Technology and Applications Overview. IEEE J. Sel. Top. Quantum Electron. 2018, 24, 4400321. [Google Scholar] [CrossRef]
- Haddadan, F.; Soroosh, M. Design and Simulation of a Subwavelength 4-to-2 Graphene-Based Plasmonic Priority Encoder. Opt. Laser Technol. 2023, 157, 108680. [Google Scholar] [CrossRef]
- Maleki, M.; Soroosh, M.; Akbarizadeh, G. A Subwavelength Graphene Surface Plasmon Polariton-Based Decoder. Diam. Relat. Mater. 2023, 134, 109780. [Google Scholar] [CrossRef]
- Mu, X.; Wu, S.; Cheng, L.; Fu, H. Edge Couplers in Silicon Photonic Integrated Circuits: A Review. Appl. Sci. 2020, 10, 1538. [Google Scholar] [CrossRef]
- Ren, G.; Chen, S.; Cheng, Y.; Zhai, Y. Study on Inverse Taper Based Mode Transformer for Low Loss Coupling between Silicon Wire Waveguide and Lensed Fiber. Opt. Commun. 2011, 284, 4782–4788. [Google Scholar] [CrossRef]
- Roelkens, G.; Vermeulen, D.; Selvaraja, S.; Halir, R.; Bogaerts, W.; Van Thourhout, D. Grating-Based Optical Fiber Interfaces for Silicon-on-Insulator Photonic Integrated Circuits. IEEE J. Sel. Top. Quantum Electron. 2011, 17, 571–580. [Google Scholar] [CrossRef]
- Park, T.; Son, C.; Kim, T.; Lim, S. Understanding of Si3N4-H3PO4 Reaction Chemistry for the Control of Si3N4 Dissolution Kinetics. J. Ind. Eng. Chem. 2021, 102, 146–154. [Google Scholar] [CrossRef]
- Henry, C.H.; Kazarinov, R.F.; Lee, H.J.; Orlowsky, K.J.; Katz, L.E. Low Loss Si3N4–SiO2 Optical Waveguides on Si. Appl. Opt. 1987, 26, 2621–2624. [Google Scholar] [CrossRef]
- Wang, L.; Xie, W.; Van Thourhout, D.; Zhang, Y.; Yu, H.; Wang, S.H. Nonlinear Silicon Nitride Waveguides Based on a Pecvd Deposition Platform. Opt. Express 2018, 26, 9645–9654. [Google Scholar] [CrossRef]
- Epping, J.P.; Hoekman, M.; Mateman, R.; Leinse, A.; Heideman, R.; van Rees, A.; van der Slot, P.J.; Lee, C.J.; Boller, K.J. High Confinement, High Yield Si3N4 Waveguides for Nonlinear Optical Applications. Opt. Express 2015, 23, 642–648. [Google Scholar] [CrossRef]
- Pfeiffer, M.H.P.; Clemens, H.; Liu, J.; Tiago, M.; Michael, Z.; Michael, G.; Tobias, J.K. Photonic Damascene Process for Low-Loss, High-Confinement Silicon Nitride Waveguides. IEEE J. Sel. Top. Quantum Electron. 2018, 24, 6101411. [Google Scholar] [CrossRef]













| Structural Parameters | Size |
|---|---|
| Wtaper | 0.3 μm |
| WWG | 1.0 μm |
| Ltaper | 200 μm |
| No. | Length | Radius of Bending Waveguide |
|---|---|---|
| waveguide 1 | 12.72 cm | R = 100 μm |
| waveguide 2 | 17.62 cm | R = 100 μm |
| waveguide 3 | 22.52 cm | R = 100 μm |
| waveguide 4 | 27.42 cm | R = 100 μm |
| Radius of Bending Waveguide | No. | Number of 90° Arcs |
|---|---|---|
| 50 μm | bend1 | 24 |
| bend2 | 72 | |
| bend3 | 120 | |
| bend4 | 168 | |
| 80 μm | bend1 | 24 |
| bend2 | 72 | |
| bend3 | 120 | |
| bend4 | 168 |
| Ref. | Waveguide Height × Width (μm) | Wafer Size | Propagation Loss (dB/cm) | Deposition |
|---|---|---|---|---|
| [2] | 0.4 × 0.7 | 8 | 2.1 | PECVD |
| [12] | 0.4 × 1.0 | 8 | 0.62 | LPCVD |
| [21] | 0.7 × 1.65 | 4 | 1.0 | LPCVD |
| [31] | 0.6 × 1.5 | 8 | 3.75 | PECVD |
| [32] | 0.9 × 0.8 | 4 | 0.4 | LPCVD |
| [33] | 0.77 × 1.75 | 4 | 0.05 | LPCVD |
| This work | 0.4 × 1.0 | 8 | 0.157 | LPCVD |
Disclaimer/Publisher’s Note: The statements, opinions and data contained in all publications are solely those of the individual author(s) and contributor(s) and not of MDPI and/or the editor(s). MDPI and/or the editor(s) disclaim responsibility for any injury to people or property resulting from any ideas, methods, instructions or products referred to in the content. |
© 2023 by the authors. Licensee MDPI, Basel, Switzerland. This article is an open access article distributed under the terms and conditions of the Creative Commons Attribution (CC BY) license (https://creativecommons.org/licenses/by/4.0/).
Share and Cite
Li, Z.; Fan, Z.; Zhou, J.; Cong, Q.; Zeng, X.; Zhang, Y.; Jia, L. Process Development of Low-Loss LPCVD Silicon Nitride Waveguides on 8-Inch Wafer. Appl. Sci. 2023, 13, 3660. https://doi.org/10.3390/app13063660
Li Z, Fan Z, Zhou J, Cong Q, Zeng X, Zhang Y, Jia L. Process Development of Low-Loss LPCVD Silicon Nitride Waveguides on 8-Inch Wafer. Applied Sciences. 2023; 13(6):3660. https://doi.org/10.3390/app13063660
Chicago/Turabian StyleLi, Zhaoyi, Zuowen Fan, Jingjie Zhou, Qingyu Cong, Xianfeng Zeng, Yumei Zhang, and Lianxi Jia. 2023. "Process Development of Low-Loss LPCVD Silicon Nitride Waveguides on 8-Inch Wafer" Applied Sciences 13, no. 6: 3660. https://doi.org/10.3390/app13063660
APA StyleLi, Z., Fan, Z., Zhou, J., Cong, Q., Zeng, X., Zhang, Y., & Jia, L. (2023). Process Development of Low-Loss LPCVD Silicon Nitride Waveguides on 8-Inch Wafer. Applied Sciences, 13(6), 3660. https://doi.org/10.3390/app13063660
