Abstract
The accumulation of biowastes is one of the main concerns of modern society. One of the most environmentally friendly solutions to convert biowaste into a product is composting. Biowastes may contain unknown substances that are persistent in the final compost, thus contributing to soil contamination and salinization. The effectiveness of the composting process depends on the microbial communities involved, which is the number of investigations’ targets. The present work studied the bacterial diversity of mesophilic and thermophilic phases of composting developed in two different sites. The study was conducted through next-generation Illumina HiSeq sequencing and phylogenetic communities, revealing the dynamics and changes in specific mesophilic and thermophilic habitats of composting piles. The results showed a higher number of bacterial species in the mesophilic phase than in the thermophilic one, proved by the Shannon and Chao indices. In addition, the diversity of bacterial species expressed by the operational taxonomic units was much higher at the site of Harmanli than at the Yasno pole. Higher abundance was found of the genera Sphingobacterium, Sphingomonas, Paracoccus, Pseudomonas, and Halomonas in both studied sites. In the compost of Harmanli genera Streptomyces, Truepera, and Flavobacterium were found to be much more abundant compared to the compost of the Yasno pole. Finally, we conclude that the two plots show relatively significant differences in the diversity of bacteria during biowaste composting. Substantial differences were also observed between the mesophilic and thermophilic phases, with the first showing a significantly higher degree of species richness.
1. Introduction
A considerable amount of bio-waste is constantly produced in Bulgaria. Some of the waste ends up in landfills, contrary to the EC Waste Framework Directive and the goals set for the member states to reduce the landfill of biodegradable waste [1]. Biowaste composting is an aerobic process of recycling organic substances and turning them into valuable products for soil and plants [2,3]. The quality of such end-products depends on many different factors. The degradation of biopolymers and simpler organic molecules is carried out by aerobic microorganisms with correctly implemented technology. Until a decade ago, the study of quantitative and qualitative indicators of this microflora was carried out by many indirect and less direct techniques. With the development of new technologies and next-generation sequencing (NGS), it is possible to reveal the participating microorganisms, prokaryotes and eukaryotes, and their quantity, abundance, metabolic abilities, etc. [4]. In addition, in-depth research of microbial diversity would allow for better control over how composting proceeds.
According to different authors [5,6], the temperature of composting is essential to estimate the final quality and applicability of compost. High temperatures can kill pathogens in compost and promote the degradation of organic matter [7]. Generally, the composting process could be separated into different phases or stages depending on temperature [8]. Bernal and co-authors [9] determined four composting stages based on the temperature—mesophilic, thermophilic, cooling, and maturing. Various scientists analyzed the dynamics and composition of the microbial population during the composting of various types of organic wastes [10,11,12]. Diverse traditional methods (culture-dependent) have been used for decades to study bacterial diversity in composting [13]. Recently, researchers have developed various molecular biological techniques to build detailed information linked to microbial community composition during composting time. Some methods are clone library, DNA fingerprinting, qPCR or investigative microarrays [14,15,16]. The 16S rRNA sequence-based molecular technique has become a valuable method to identify the specific microorganisms in compost and soil samples [17,18].
Investigations related to microbial diversity of composting are often very detailed and are related to a specific group of prokaryotes, for example, to the nitrogen cycle, nitrifying and denitrifying bacterial communities [3]. Other researchers are studying changes in the dynamics of bacterial communities in compost and their metabolic functions [19]. In addition, Meng and collaborators [20] investigated the diversity of prokaryotes and eukaryotes and the relationship of community structure to physicochemical parameters of habitats. The recovery of biowaste through composting depends on many factors, and the comparison between research papers is sometimes indirect due to the different factors in different studies. These differences are related to both waste types and environmental factors. These are some reasons that research on the structure and functions of microbial communities in composting is extremely limited, insufficient and not diverse. We know that different microclimatic conditions create opportunities for the development of different prokaryotic communities with a similar metabolic profile occupying the same ecological niche. Since high throughput sequencing technology has been applied to composting, the investigations are now based on both qualitative and quantitative determination of microorganisms and reveal their numbers and metabolic abilities. In this sense, the main objective of the present study was to reveal the existing difference in prokaryotic diversity of composting of biowastes in thermophilic and mesophilic phases of two sites in South Bulgaria using the metagenomic approach.
2. Materials and Methods
2.1. Experimental Design and Sampling
Biodegradable wastes were studied with their valorization potential. The waste materials, which included leaves, cut grass, trimmed brushes, and chips of tree branches, were collected from gardens and parks in the towns of Harmanli and Yasno pole in South Bulgaria. Both municipalities are situated at a distance of 95 km apart from each other. The composting was performed in piles covered by a semipermeable membrane. The aeration in the Harmanli site was performed by turning/mixing the pile on-site once per week or ten days.
In contrast, the aeration in Yasno pole village was made through the forced injection of air from nozzles at the base of the piles covered by a geosynthetic membrane. The composting piles of Harmanli were 5 m wide and 2.40 m high, while those of Yasno pole were 7 m wide and 3 m high. The ratio of brown (carbon rich) and green (nitrogen rich) wastes was set at 28:1 for both studied sites. During the whole composting process, the water content of the piles was maintained at about 55–60%.
The sampling was made in the corresponding temperature time for mesophilic and thermophilic phases. Five sub-samples were taken at the same time and temperature from different habitats of the composting pile and were mixed to form the master sample. At the Harmanli site, thermophilic temperatures were reached from day 29, while the sample for analysis was taken on day 53 (sample A1). (67 °C). In contrast, the thermophilic phase was reached on the 3rd day at the Yasno pole site, but the sample was taken at day 16 (75 °C, sample B2). The mesophilic stage for both composting sites was reached at the end of the process. At the Harmanli site, this point was on day 73 at 39 °C (sample A2), while for the case of the Yasno pole compost, it was at the very end of composting—day 51 and 36 °C (sample B1).
2.2. Physicochemical and Microbiological Parameters
Pile temperatures were measured using a digital thermometer with a probe at 1 m depth or sensors for measuring temperature and oxygen availability at Harmanli and Yasno pole sites, respectively. Samples were dissolved in water (1:10, w/v) and shaken, followed by sedimentation and measurement of compost pH and EC. Total nitrogen was measured through the Kjeldahl method. The ammonia (NH4-N) and nitrate (NO3-N) nitrogen were extracted using 2 M KCl (1:10, w/v). After centrifugation and filtration, the ammonia was determined by NaOH distillation and titration with H2SO4. NO3-N concentration was calculated as the difference between the values of Zn-FeSO4 and NH4-N [21]. The organic C was measured and calculated after the carbonization of the sample in a muffle furnace at 550 °C for 6 h [22]. In addition, compost respiration was studied using the method of Alef and Nannipieri [23].
2.3. DNA Extraction
Total genomic DNA was extracted from one gram of the compost samples following the manufacturer’s instructions. The quality of gDNA was checked on 1% agarose gel (loaded 5 µL) for the single intact band. The gel was run at 70 V for 60 min. PCR amplified targeted regions using specific primers connecting with barcodes (Table S1). V4 region of the 16S rRNA gene was amplified with polymerase chain reaction (PCR) using primers V3 (5′-CCTACGGGNGGCWGCAG-3′) and V4 (5′-GACTACHVGGGTATCTAATCC-3′) [4,24]. The PCR products with proper size were selected by 2% agarose gel electrophoresis. The exact amount of PCR products from each sample was pooled, end-repaired, A-tailed and further ligated with Illumina adapters. Libraries were sequenced on a paired-end Illumina platform to generate 450 bp paired-end raw reads (Figure S1).
The amplicon was sequenced on Illumina paired-end platform to generate 450 bp paired-end raw reads (Raw PE) and then merged and pretreated to obtain clean tags. The chimeric sequences in clean tags were checked to obtain effective tags, which were used for subsequent analysis [25,26,27]. The OTUs were selected at 97% similarity. The estimation of richness (ACE and Chao) and diversity indices (Shannon and Simpson) were calculated using the Mothur program [28]. Alpha diversity is applied in analyzing the complexity of biodiversity for a sample through six indices, including Observed-species, ACE, Shannon, Simpson, Chao1, and Good-coverage. All these indices in our samples were calculated using QIIME (Version 1.7.0, http://qiime.org/1.7.0/) and displayed with R software (Version 2.15.3) [24,29]. According to Zhang and collaborators, OTU comparisons were performed using the Venn diagram package [29]. Boxplots were used for comparison of microbial diversity of diverse groups. A neighbor-joining phylogenetic tree technique was applied to investigate the similarity of species abundance using the unweighted pair group with arithmetic mean (UPGMA) clustering [28]. Using a relative abundance matrix, LEfSe (the linear discriminant analysis coupled with effect size measurements method) analysis was performed using the Kruskal–Wallis rank sum test to detect the microbial taxa with significantly different abundances between the three sea areas and using LDA to estimate the effect size of each taxon [30,31]. All significance tests were two-sided, and p values < 0.05 were considered statistically significant.
2.4. Beta Diversity
Beta diversity analysis is often used for evaluation of existing differences between samples on weighted and unweighted Unifrac, and in our study, it was calculated by QIIME software (Version 1.7.0) [32]. Cluster analysis was preceded by principal component analysis (PCA) using the FactoMineR package and ggplot2 package in R software (Version 2.15.3) [33]. Principal coordinate analysis (PCoA) was applied to obtain principal coordinates and visualize complex multidimensional data. A distance matrix of weighted or unweighted Unifrac among samples obtained before was transformed to a new set of orthogonal axes. The maximum variation factor is demonstrated by first principal coordinate, the second maximum by the second principal coordinate, and so on. PCoA analysis was displayed by WGCNA package, stat packages and ggplot2 package in R software (Version 2.15.3) [34]. Unweighted pair-group method with arithmetic means (UPGMA) clustering was applied to interpret the distance matrix using average linkage and was conducted by QIIME software (Version 1.7.0) [24,35].
3. Results
3.1. Physicochemical Properties of Compost
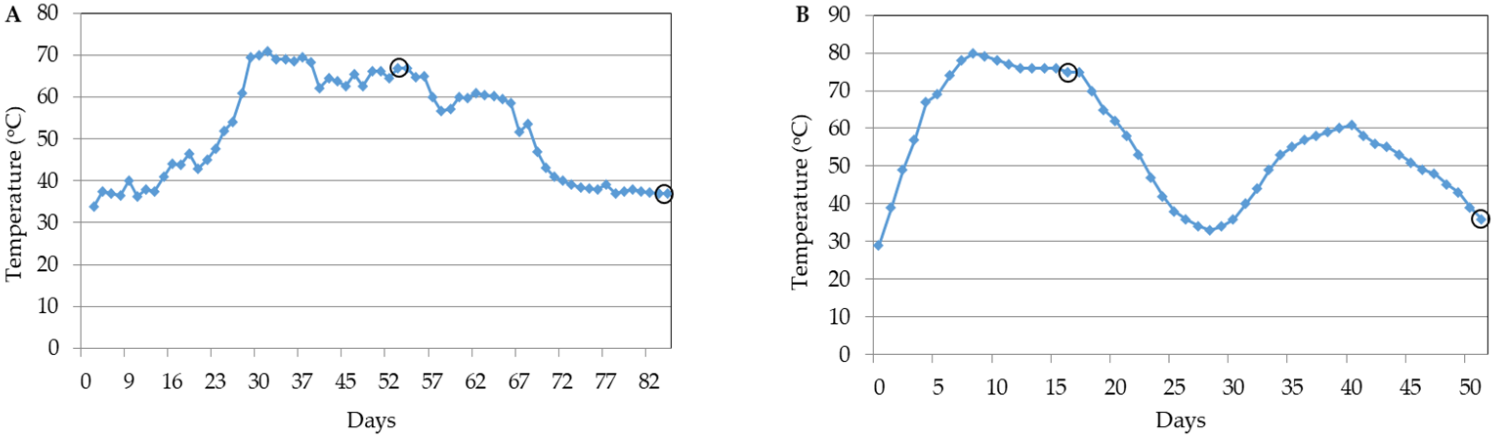
The course of temperature during the composting of biowaste at the investigated sites is shown in Figure 1. There are some differences in the process itself regarding this indicator. They are related to the slower temperature rise in the Yasno Pole compost (1 A) and the faster one in Harmanli (1 B). Thus, while the initial mesophilic phase is about 20 days in the first case, it is only three days in the second. At the same time, exposure to high temperatures is associated with the degradation of smaller-molecule organic substances. It is favorable for the destruction of available pathogenic microorganisms that would eventually develop [36]. How composting should be carried out is regulated in Bulgaria by the ordinance on the separate collection of biowaste and treatment of biodegradable waste from 2017 [37]. In accordance with this and to ensure decontamination of the composted biowaste, the temperature in the outdoor piles must be maintained for at least 10 days above 55 °C or at least 3 days above 65 °C. In the Harmanli trial, temperatures were above 55 °C for 40 days, with 8 days above 65 °C. In Yasno Pole, they were above 55 °C twice for 27 days, and above 65 °C for 14 days.
Figure 1.
Temperature changes during the composting process at Harmanli (A) and at Yasno pole (B) sites. In both figures, the sampling times are indicated—thermophilic and mesophilic.
The rest of the physicochemical parameters of compost during thermophilic and mesophilic stages at both sites are shown in Table 1. Differences exist in the parameters between the thermophilic and mesophilic phases at both sites. First, the TOC concentration is about 28% in both thermophilic samples, with a slight advantage of the one from Yasno Pole, while the mesophilic ones are slightly above 22%. As the composting process progressed, a loss of N was found at both sites, with that at Harmanli being higher. This also led to a different rate of decrease in the C/N ratio during the mesophilic phase. Higher values of pH and EC were found at the site in Harmanli and in the mesophilic stage, which is natural because as the composting process progresses, maturing of the compost is observed [38]. A decrease in ammonium nitrogen and an increase in nitrate concentration were observed, which is a regular occurrence in proper composting due to microorganisms’ depletion of available ammonium ions. Microbial activity expressed as respiration is also in this direction. A significant reduction was found in composting at Yasno pole, where the reduction in respiration intensity from thermophilic to mesophilic phases was 7.7-fold, while in Harmanli, the reduction was 2-fold. In our opinion, this difference in the reduction of microbiome activity, expressed as respiration intensity, is related to the still incomplete maturation process in the compost from the Harmanli site. Not only the different location of the site (the specific microclimatic conditions), but also the composting technology described in Section 2.1, in particular the way of supplying oxygen and mixing the waste during the composting itself, has an influence here.
Table 1.
Physicochemical parameters of the compost during sampling in the thermophilic and mesophilic phases of both studied sites: Harmanli and Yasno pole.
3.2. OTU Identification and Taxonomic Annotation
In constructing OTUs, basic information from different samples was collected, such as effective tags data, low-frequency tags data and tags annotation data. The summarization is shown in Table 2. A total of 507,350 raw tags were generated from the Illumina Miseq sequencing of the four samples. After quality control, a total of 375,609 clean tags remained. Then, after the removal of the chimeras, 426,057 effective tags were obtained, ranging from 100,712 for B1 to 110,822 for B2 for OTU generation. The Q20 values for the four samples ranged from 97.32 to 97.83, indicating the high quality of the Illumina sequencing.
Table 2.
Summarization of the tags and OTUs number of each sample (A1, thermophilic of Harmanli site; A2, mesophilic of Harmanli site; B1, mesophilic of Yasno pole site; B2, thermophilic of Yasno pole site).
3.3. Composition of Microbial Community Analysis
3.3.1. Relative Abundance
According to the taxonomic annotation results, the top 10 taxa of each sample or group at each taxonomic rank are selected to form the distribution histogram of the relative abundance of taxa, so as to visually see the taxa with a higher relative abundance and their proportion in different classification levels of each sample [39,40]. The abundance of taxa in the phylum is illustrated on Figure 2a.
Figure 2.
Relative abundance at (a) phylum level; (b) class level; (c) family level; (d) genus level of the corresponding variants: A, thermophilic of Harmanli site; B, mesophilic of Harmanli site; C, mesophilic of Yasno pole site; D, thermophilic of Yasno pole site.
Actinobacteriota and Proteobacteria were the predominant phyla in all samples. In thermophilic habitats of Harmanli compost, Actinobacteriota abundance was much higher than Proteobacteria, while in rest of the cases, the Proteobacteria was the predominant species (Figure 2a). The relative abundance of Actinobacteriota could comprise up to 52% in the above mentioned, 24% in mesophilic one of Yasno pole, and the abundance decreased in mesophilic of Harmanli and finally in thermophilic compost of Yasno pole. In the mesophilic phase of Harmanli and thermophilic of Yasno pole, the quantity of Proteobacteria was higher than in the rest of the composts. The abundance of Proteobacteria was more significant in the mesophilic phase than in the thermophilic one. The amount of Acidobacteriota was relatively constant in compost (15–16%), except for the thermophilic phase of Harmanli compost (8%).
At the class level, Alphaproteobacteria, Actinobacteria, Gammaproteobacteria, and Thermophilia were dominant in the four compost samples in the mesophilic and thermophilic phases, while the relative abundance of Acidobacteriae, Bacteriodia and Verrucomicrobiae was much low (Figure 2b). The number of Alphaproteobacteria was higher in A2, B1 and B2 (23–25%), while in A1, it was 17%. Actinobacteria were most abundant in thermophilic habitats of Yasno pole compost (around 25%), and the quantity decreased in the rest of the compost samples (9–11%). The phylum Actinobacteriota is a primary eubacterial phylogenetic clade containing diverse Gram-positive bacteria [41] that belong to several classes such as Acidimicrobiia, Actinobacteriae, and Thermoleophila. Thermoleophila were dominant in the samples in the thermophilic stages of Harmanli (22%) and Yasno pole (11%) composts. The largest number of Gammaproteobacteria (23%) was reported in the thermophilic compost of Yasno pole. The amount of the other three classes of bacteria Acidobacteriae, Bacteriodia, and Verrucomicrobiae was relatively low (2–4%) and constant in all samples.
Dividing the classes into families, Xanthobacteriaceae was found in all compost samples ranging from 6 to 10%. The Burkholderiaceae family was enumerated only in compost from Yasno pole in the thermophilic phase in the abundance of 13% (Figure 2c). This result was in accordance with Liu et al., who reported that after composting, the dominant families were Burkholderiaceae [16]. Solirubrobacterales and bacterium 67–14 were found in all compost samples, with a relative abundance of 2–7%. Moreover, we must emphasize the presence of representatives of the family Streptomycetaceae, most abundant in the thermophilic phase of the Harmanli site at 67 °C.
We found a higher abundance of the genera Sphingobacterium, Sphingomonas, Paracoccus, Pseudomonas, and Halomonas in the four studied sites (Figure 2d and Figure 3). The compost of Harmanli genera Streptomyces, Truepera, and Flavobacterium were found to be much more abundant compared to the compost of the Yasno pole. There was a presence of Bacteroidaceae in all phases, but the quantity was higher in the mesophilic stage of both composts from Harnamli and Yasno pole.
Figure 3.
The evolutionary tree at genus level (A1, thermophilic of Harmanli site; A2, mesophilic of Harmanli site; B1, mesophilic of Yasno pole site; B2, thermophilic of Yasno pole site).
3.3.2. The Evolutionary Tree in Genus Level
To further study the phylogenetic relationship of the genus, the top 100 genera were selected, and the evolutionary tree was drawn using the aligned representative sequences. GraPhlAn (Graphical Phylogenetic Analysis), a computational tool that produces high-quality, compact visualizations of microbial genomes and metagenomes, was applied to the microbial species in the compost from Yasno pole and Harmanli [39] (Figure S2). We identified 355 microbial species with a relative abundance above 0.5%. In composts, Burkholderia, Sphingomonas, Pseudomonas and 67–14 were found to be the most abundant characterized species (Figure S3). The relative abundances of each compost are summarized along the genera in Figure 3.
The two most abundant phyla were Proteobacteria (36.0%), Actinobacteria (29.2–53%), and Acidobacteria (13.1–16%) followed by Firmicutes (1.4%), and others (0.3%) (Figure S3 and Figure 3). Within the Proteobacteria, the three top abundant classes were the members of Alphaproteobacteria with 17–22% and Gammaproteobacteria with the abundance of 6–23%. Within the Firmicutes, the largest class was Bacilli, with an average of 0.9%, followed by Clostridia (0.2%). The phylum Bacteroidetes primarily consisted of Chitinophagales (74%), Cytophagales (14%), and Sphingobacteriales (8%).
3.3.3. Taxonomic Abundance Cluster Heatmap
According to the abundance information of the top 35 genera of all samples, the heatmap was drawn to check whether the samples with similar processing are clustered or not, and the similarity and difference of samples can also be observed (Figure 4). The proceeding of composting relies primarily on microbial activities and interactions within highly diverse communities [42]. The results showed that Proteobacteria, Actinobacteria, and Bacteroidetes were the dominant phyla in mesophilic phases in both compost sites at two stages. In the thermophilic stage of Harmanli compost (A1), Thermoaerobaculia, Chloroflexia, Actinobacteria, Rubrobacteria, and Thermoleophillia were found as the most abandoned phyla, while in the mesophilic stage, Bacilli, Phycisphaerae, Anaerolineae, Alphaproteobacteria, Polyngia, and Bactreroida were observed. In the mesophilic stage of Yasno pole compost plot (B1), Blastocatellia, Vicinamibacteria, Latescibacterrota, Nitrosprira, and Methylomirabilia were the predominant species. In contrast, in the thermophilic stage, Gammaproteobacteria, Acidobacteriae, Clostridia, and Campylobacteria were the most abundant at higher temperatures.
Figure 4.
Taxonomic abundance cluster heatmap. Plotted by sample name on the X-axis, and the Y-axis represents the genus. The absolute value of ‘z’ represents the distance between the raw score and the mean of the standard deviation. ‘Z’ is negative when the raw score is below the mean and vice versa (A1, thermophilic of Harmanli site; A2, mesophilic of Harmanli site; B1, mesophilic of Yasno pole site; B2, thermophilic of Yasno pole site).
3.3.4. Ternary Plot
A ternary plot was utilized to reflect the influence of bacterial OTUs on degradation. Pooled results of metagenomic analyses from the thermophilic and mesophilic phases of both Harmanli and Yasno Pole composts were compared with raw compost. To find the differences in dominant taxa among the three groups of samples at each taxonomic rank (phylum, class, order, family, genus, species), the top ten taxa with the average abundance of the three groups of samples at each taxonomic rank were selected to generate a ternary plot [43]. The ternary plot for phylum is shown in Figure 5. As a result, the most dominant species in the Harmanli compost were from taxa Actinobacteriota and Gemmatimonadota. The most significant OTUs in Yana pole compost were Proteobacteria and Acidobacteriota. In the row compost, Proteobacteria and Verrucomicrobiota played the most significant roles.
Figure 5.
Ternary plot of metagenomic analyses of thermophilic and mesophilic phases of composts Harmanli (A), Yasno pole (B) and row biowastes (C). Circles represent dominant taxa, while their sizes are proportional to the relative abundance. The taxa from the circled group have a higher abundance of the same type.
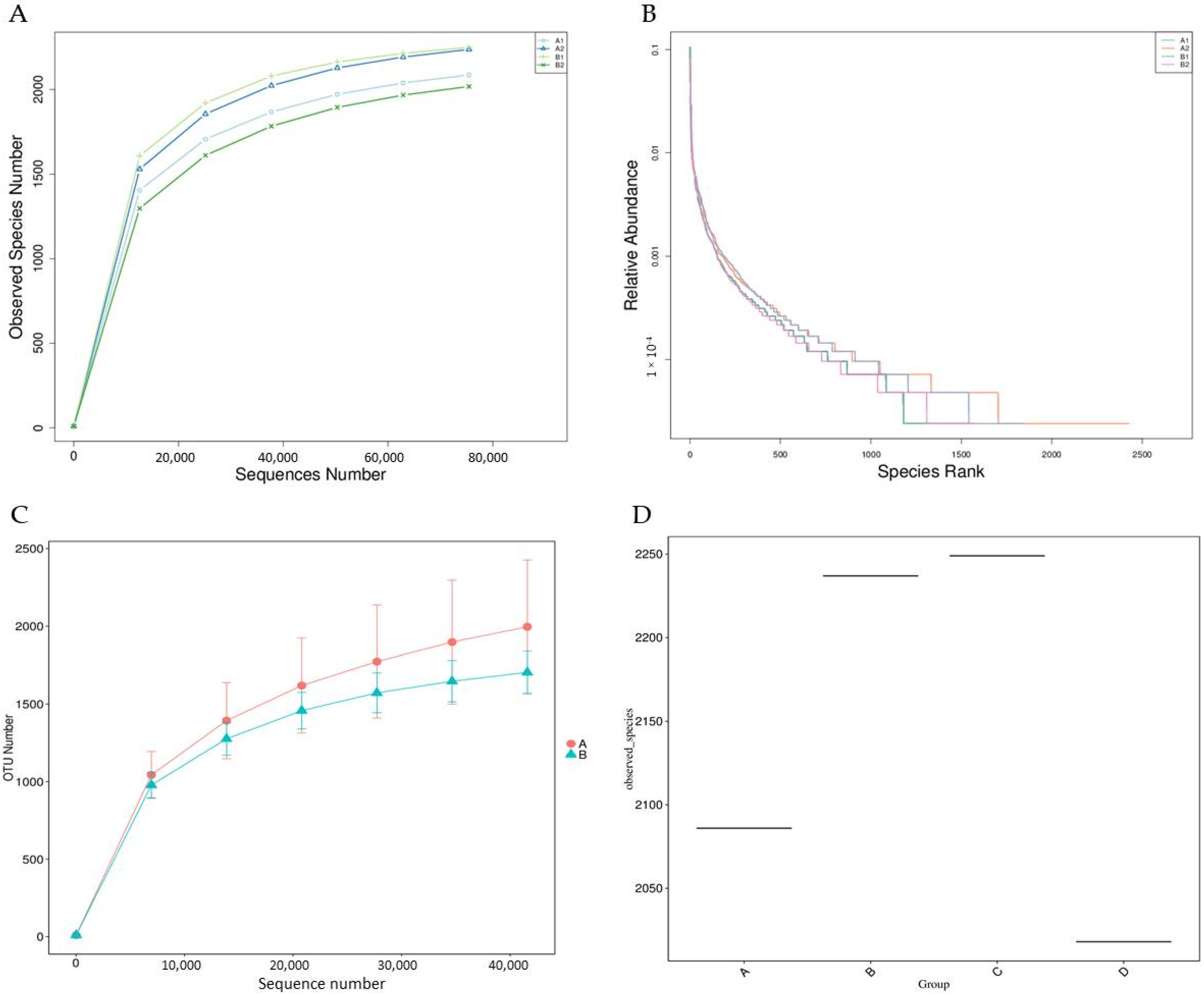
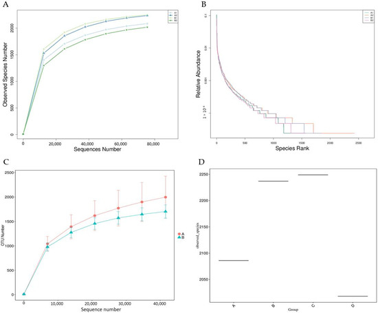
3.3.5. Biodiversity Curves
Rarefaction curves and rank abundance curves are widely used for indicating the biodiversity of the samples (Figure 6A,B). A rarefaction curve is created by randomly selecting a certain amount of sequencing data from the samples and then by counting the number of the species they represent (i.e., the number of OTUs) [44]. The rarefaction curve indicates that the sequencing data were sufficient for each sample to represent the bacterial communities (Figure 6A). The rarefaction curves also show the different abundance of bacterial samples in the four compost species. The mesophilic stage of Yasno pole compost had the highest abundance of bacterial species, while compost from the Yasno pole in the thermophilic stage had the lowest (Figure 6B). The results in Figure 4 showed that the rarefaction curves could directly reflect the rationality of the summary of sequencing data from both compost sites and indirectly reflect the richness of the microbial community in the samples. Generally, compost for Harmanli had the highest bacterial species abundance compared to compost from Yasno pole (Figure 6C). The thermophilic stage of Harmanli and mesophilic of Yasno pole had a similar abundance of bacterial species. In contrast, mesophilic habitats of Harmanli compost demonstrated distinguished abundance from the other phases. The lowest number of observed species was detected in the compost in the thermophilic stage from Yasno pole (Figure 4C).
Figure 6.
Biodiversity curves. (A) Rarefaction curves, indicating the biodiversity of the samples according to the results from alpha-diversity. (B) Rank abundance curves. (C) Biodiversity by composting groups A, compost from Harmanli; B, compost from Yasno pole. (D) Box plot of difference of observed species in A, thermophilic of Harmanli site; B, mesophilic of Harmanli site; C, mesophilic of Yasno pole site; D, thermophilic of Yasno pole site.
3.4. Alpha Diversity Analysis
Alpha diversity is applied to the analysis of microbial community diversity within the sample, analyzing if the diversity of the sample can reflect the richness and diversity of microbial communities in the composts, including species accumulation boxplot, biodiversity curves and a series of statistical analyses [45]. OTUs generated at 97% sequence identity are generally considered homologous in species. Statistical indices of alpha diversity in clusters are summarized in Table 3. The higher and the lowest Shannon diversity index were found in the composts of Yasno pole, the mesophilic (9.337) and the thermophilic one (8.322), respectively. Microbial diversity during the mesophilic phase of composting of Yasno pole site expressed as Shannon index was significantly higher than those of the Harmanli site (p < 0.05).
Table 3.
Alpha diversity indices (A1 TH, thermophilic of Harmanli site; A2 MH, mesophilic of Harmanli site; B1 M_YP, mesophilic of Yasno pole site; B2 T_YP, thermophilic of Yasno pole site).
Conversely, thermophilic composting habitats of Harmanli had an increasing trend compared to those of Yasno pole site. A whole tree index of the highest observed species in mesophilic stages was more significant in Yasno pole compost than in Harmanli, 173.377 and 166.408, respectively. The highest Simpson index occurred in the thermophilic compost of Yasno pole at 0.998, while the lowest was found in the mesophilic compost of Harmanli at 0.994, in the end of the process. Both final composts (mesophilic stage) showed very similar alpha diversity expressed as Chao1 index at 2340.704 and 2355.469, but higher than those of thermophilic compost of the same site (2,184,821 and 2,160,692, respectively). The Good’s coverage values for the four samples ranged from 0.996% to 0.998% (Table 3), indicating that the sequencing depth was great enough to capture most bacteria species in each sample. As seen from the first column, the number of species is relatively higher at lower (mesophilic stage) than at high temperatures (thermophilic stage).
3.5. Venn Diagram
A total of 3095 OTUs were obtained from the high-throughput sequencing. The OTU distribution in the four samples is shown in the Venn diagram (Figure 7). A total of 1244 OTUs were shared by all four composts, and the unique OTUs for A, B, C and D were 168, 179, 170, and 126, respectively. That is, the fewest regionally characteristic species are observed in the thermophilic phase of Yasno Pole, while in the mesophilic phase, the values are 35% higher. Comparing the regionally specific OTUs between both thermophilic composts, those of Harmanli present a 33.33% higher number than the Yasno pole.
Figure 7.
Venn diagram. Each circle represents one sample or group. Values in overlapping parts represent common OTUs. The others are specific OTUs in each sample (A, thermophilic of Harmanli site; B, mesophilic of Harmanli site; C, mesophilic of Yasno pole site; D, thermophilic of Yasno pole site).
3.6. Beta Diversity Analysis
Beta diversity represents the comparison of microbial communities based on their structure. Thus, beta-diversity metrics assess the differences between these microbial communities. Based on the Weighted Unifrac distance matrix, both thermophilic composts had the highest dissimilarity between each other (0.353), while the mesophilic composts had the lowest dissimilarity (0.316) (Figure 8).
Figure 8.
Beta diversity analysis of four compost stages (A1, thermophilic of Harmanli site; A2, mesophilic of Harmanli site; B1, mesophilic of Yasno pole site; B2, thermophilic of Yasno pole site).
3.7. Principal Coordinates Analysis (PCoA)
Principal coordinates analysis (PCoA) is an ordination technique that picks up the main elements and structures from reduced multidimensional data series of eigenvalues and eigenvectors. The method has the advantage over PCA in that each ecological distance can be investigated. Weighted Unifrac and Unweighted Unifrac are calculated to assist the PCoA analysis (Figure 9). Based on the unweighted UniFrac distance, mesophilic compost of Harmanli was significantly greater (p < 0.05) than the thermophilic one (Figure 9A). The cluster dendrogram of the relative abundance in phylum level showed that both mesophilic composts possess a certain similarity. Based on the weighted UniFrac distance, the mesophilic compost of Harmanli site was significantly greater (p < 0.05) than the other composts. The cluster dendrogram showed a similarity between both stages of the Yasno pole site. In contrast, the stages of Harmanli were reasonably distinguished during the composting (Figure 9B).
Figure 9.
(A) PCoA based on Weighted Unifrac distance. (B) PCoA based on Unweighted Unifrac distance (A, A1 thermophilic of Harmanli site; B, A2 mesophilic of Harmanli site; C, B1 mesophilic of Yasno pole site; D, B2 thermophilic of Yasno pole site).
3.8. Principal Component Analysis (PCA)
The principal component analysis is a statistical procedure to extract principle components and structures in data by using orthogonal transformation and by reducing dimensionalities of data, according to Avershina and collaborators [33]. It extracts the first two axes reflecting the variety of samples to the most extent and thus can reflect high-dimensional data variation in a two-dimensional graph, which reveals the simple principle embedding in complex data. The results of PCA analysis based on OTUs are shown in Figure 10. The more similar the community composition among the samples are, the closer the distance of their corresponding data points on the PCA graph. Thus, the thermophilic composts were quite similar, while the mesophilic composts were substantially different.
Figure 10.
Unweighted pair-group method with arithmetic mean (UPGMA) (A, thermophilic of Harmanli site; B, mesophilic of Harmanli site; C, mesophilic of Yasno pole site; D, thermophilic of Yasno pole site).
Clustering analysis was used to construct a cluster tree to study the similarity among different samples. The unweighted pair-group method with arithmetic mean (UPGMA) is a hierarchical clustering method widely used in ecology to classify the samples. First, samples with the closest distance are clustered to form a new sample. Then, the average distance between the newly created sample and other samples is calculated, and the two closest samples can be found again to repeat the above steps. With time, the A1 relative abundance of the Actinobacteria phylum decreased, whereas that of Proteobacteria increased. In contrast, in all other composts, the opposite trend is observed (Figure 11).
Figure 11.
(A) UPGMA cluster tree based on Weighted Unifrac distance. (B) UPGMA cluster tree based on Unweighted Unifrac distance, which is plotted with UPGMA tree on the left and relative abundance in phylum map on the right (A1, thermophilic of Harmanli site; A2, mesophilic of Harmanli site; B1, mesophilic of Yasno pole site; B2, thermophilic of Yasno pole site).
The Weighted Unifrac distance matrix and Unweighted Unifrac distance matrix were calculated before using for UPGMA cluster analysis. They were displayed with the integration of clustering results and the relative abundance of each sample by phylum in the figure, based on Unweighted Unifrac distance. The UPGMA tree is on the left and the relative abundance in phylum map showed that in the thermophilic compost of Harmanli, Proteobacteria decreased, while Actinobacteria and Acidobacteria increased. In the rest of the compost stages, Proteobacteria are the dominant species, and Actinobacteria lower their abundance due to the PCoA (Figure 10A). Moreover, a correlation between the environmental factors and the bacteria at the class level was conducted (Figure 11A). Actinobacteria and Proteobacteria possessed a highly significant positive correlation with the processes in the thermophilic phase of Harmanli compost. In contrast, Proteobacteria were mostly significant in the rest of the compost stages (Figure 11B).
4. Discussion
Temperature is an important environmental factor affecting the degradation of organic matter in biowaste, as well as in the composting process, including biological activity and the final product quality [46]. Composting technology also has a significant impact since, in open composting, the process is affected by the temperature of the environment, which in most cases is significantly lower than that of the pile. The temperature of the Yasno Pole composting piles increased significantly as early as the third and fourth day and entered the thermophilic stage, unlike the other in Harmanli, in which the thermophilic phase was reached by the twenty-fifth day. This happened due to differences in ambient temperatures and composting technology at the two sites. It is likely that unique microbial communities also play an important role. These results are in line with the results obtained by Wei and collaborators [28]. At the same time, pile turning leads to a change in these conditions in the habitats, which is in line with what other scientists have found [47,48].
Our research is aimed at answering questions related to the taxonomic diversity of prokaryotes in the phases of composting, but under different climatic conditions at the two sites at Yasno Pole and Harmanli. The main question we pose in the study is related to the selection of taxonomic groups of bacteria performing the same function in the respective microbial communities. This issue also has a practical aspect related to the optimal conversion of organic substances under different conditions, which is not the subject of the present study. We found that Actinobacteriota and Proteobacteria were the major phyla in all samples. These results were in accordance with Zhang and his research team [49], who found that the abundance of Proteobacteria declined in the thermophilic phase of composting, which indicated that the high-temperature environment was unconducive to its growth. Similar to the results of de Gannes et al. [50], the abundance of Proteobacteria was significantly greater in the mesophilic phase than in the thermophilic phase, concerning the Yasno pole compost. The above results are often reported in the scientific literature concerning the most abundant phyla found in composting processes [46,47].
We found that Thermoleofila are dominant class of prokaryotes in thermophilic habitats of compost in Harmanli (together with Actinobacteria), but in the rest of the samples, they were significantly represented (Figure 1B). According to Goodfellow and Williams, [51] and Steger and collaborators [52], this is essential for the cycling of major elements in the soil. As saprophytes, they produce a range of extracellular hydrolytic enzymes that can degrade animal and plant polymers, including lignin, cellulose, chitin, and other organic compounds [29,53]. The temperature fluctuations are significant for developing microbial activity and biomass during composting [50]. Those findings have also been highlighted by previous studies [54,55]. Actinobacteria commonly proliferate during periods with comparatively low temperatures [52]. Contrarily, Buzón-Durán et al. reported in their review that Streptomyces are found in a wide variety of composts, such as from solid waste, agricultural waste or in the soil after compost application, which is in line with our findings [56]. Ramírez and Coha isolated more than 140 cellulolytic thermophilic actinomycete strains from medium-like composts, or soils, among others [57]. There were even strains with a high yield of endo- and exoglucanase, and β-glucosidase. Revealing the diversity of prokaryotes at the genus level, we may say that the most abundant genera in both studied sites (Sphingobacterium, Sphingomonas, Paracoccus, Pseudomonas, and Halomonas) are found in other recent studies [19,58].
Previous researchers reported that Actinobacteria, Proteobacteria, Acidobacteria play a considerable role in organic matter mineralization, sulfur, nitrogen and carbon cycling [59]. In general, the role of Gemmatimonadetes is not clear in the literature. However, our findings confirmed that it is present in composting and probably is an essential actor in cellulolysis and proteolysis, as reported for different types of organic waste composting. [60,61,62]. In addition, taxonomic abundance clusters of the heatmap showed close relationships between the most abundant genera of the mesophilic stage of both composts. In contrast, the representative thermophilic stages are more separated (Figure 4).
The compost from Harmanli had the highest bacterial species abundance compared to the compost from Yasno pole site. At the same time, it is seen that mesophilic microorganisms are significantly more diverse than thermophilic ones. It seems that the specific ecological conditions and those of the habitats have a significant influence on the selection of species, both in terms of qualitative and quantitative composition.
5. Conclusions
The taxonomic characteristics of composts are highly dependent on temperature and organic matter. In the composts and at both stages, Actinobacteriota and Proteobacteria were the predominant phyla in all samples. The abundance of Proteobacteria was more significant in the mesophilic phase than in the thermophilic phase. In our study, a higher abundance of Sphingobacterium, Sphingomonas, Paracoccus, Pseudomonas, and Halomonas was found at the genus level. More specifically, in the compost of Harmanli, the genera Streptomyces, Truepera, and Flavobacterium were found to be much more abundant compared to the compost of the Yasno pole. Generally, compost for Harmanli had the highest bacterial species abundance, compared to compost from Yasno pole. In contrast, the lowest number of observed species was detected in the compost in the thermophilic stage from Yasno pole. Moreover, the diversity in the mesophilic stage of composting of Yasno pole site was significantly higher than those of the Harmanli site. Contrarily, the thermophilic composting habitats of Harmanli had an increasing trend compared to the others from the Yasno pole site. Thus, we can conclude that the present study adds new comparative information for NGS studies in Bulgaria, as well as comparative data on bacterial diversity for composting at different site locations. Additional research should be performed to illuminate the intimate features of metabolic function profiles of bacterial communities.
Supplementary Materials
The following supporting information can be downloaded at: https://www.mdpi.com/article/10.3390/app13053111/s1, Figure S1: Electrophoresis image of the pair-end row reads; Figure S2: GraPhlAn of taxonomic tree of two different compost samples in the mesophilic and thermophilic stages; Figure S3: Result of taxonomic annotation by Krona; Table S1: Primers linked with barcodes used to perform PCR amplification of target regions.
Author Contributions
Conceptualization, S.S.; methodology, M.P. and S.S.; validation, M.P.; formal analysis, V.C. and M.P.; investigation, V.C., M.P. and S.S.; resources, S.S.; data curation, M.P., V.C. and S.S.; writing—original draft preparation, M.P. and S.S.; writing—review and editing, S.S.; visualization, M.P. and S.S.; supervision, S.S.; funding acquisition, S.S. All authors have read and agreed to the published version of the manuscript.
Funding
This research and the APC were funded by the Bulgarian Ministry of Education and Science under the National Research Programme “Healthy Foods for a Strong Bio-Economy and Quality of Life” approved by DCM # 577/17.08.2018.
Institutional Review Board Statement
Not applicable.
Informed Consent Statement
Not applicable.
Data Availability Statement
Acknowledgments
This work was supported by the Bulgarian Ministry of Education and Science under the National Research Programme “Healthy Foods for a Strong Bio-Economy and Quality of Life” approved by DCM # 577/17.08.2018.
Conflicts of Interest
The authors declare no conflict of interest.
References
- European Parliament and the Council, Directive 2008/98/EC on Waste and Repealing Certain Directives. 2008. Available online: http://data.europa.eu/eli/dir/2008/98/2018-07-05 (accessed on 29 January 2023).
- López-González, J.A.; Suárez-Estrella, F.; Vargas-García, M.C.; López, M.J.; Jurado, M.M.; Moreno, J. Dynamics of bacterial microbiota during lignocellulosic waste composting: Studies upon its Structure, functionality and biodiversity. Bioresour. Technol. 2015, 175, 406–416. [Google Scholar] [CrossRef] [PubMed]
- Meng, Q.; Han, Y.; Zhu, K.; Yang, W.; Bello, A.; Deng, L.; Jiang, X.; Wu, X.; Sheng, S.; Xu, Y.; et al. Differences in distribution of functional microorganism at DNA and cDNA levels in cow manure composting. Ecotoxicol. Environ. Saf. 2020, 191, 110161. [Google Scholar] [CrossRef]
- Varma, V.S. Characterization of bacterial community structure during in-vessel composting of agricultural waste by 16S rRNA sequencing. Biotechnology 2018, 8, 301. [Google Scholar] [CrossRef] [PubMed]
- Morales, A.B.; Bustamante, M.A.; Marhuenda-Egea, F.C.; Moral, R.; Ros, M.; Pascual, J.A. Agri-food sludge management using different co-composting strategies: Study of the added value of the composts obtained. J. Clean. Prod. 2016, 121, 186–197. [Google Scholar] [CrossRef]
- Angelova, D.; Shilev, S. Composting and vermicomposting of biosolids for utilization in agriculture. J. Environ. Prot. Ecol. 2021, 22, 1030–1039. [Google Scholar]
- Chen, Y.; Yu, F.; Liang, S.; Wang, Z.; Liu, Z.; Xiong, Y. Utilization of solar energy in sewage sludge composting: Fertilizer effect and application. Waste Manag. 2014, 34, 2014–2021. [Google Scholar] [CrossRef] [PubMed]
- Shilev, S.; Azaizeh, H.; Angelova, D. Biological treatment: A response to the accumulation of biosolids. In Microbial Interventions in Agriculture and Environment; Singh, D.P., Gupta, V.K., Prabha, R., Eds.; Rhizosphere, Microbiome and Agro-Ecology; Springer: Singapure, 2019; Volume 2, pp. 149–178. [Google Scholar]
- Bernal, M.P.; Alburquerque, J.A.; Moral, R. Composting of animal manures and chemical criteria for compost maturity assessment. A review. Bioresour. Technol. 2009, 100, 5444–5453. [Google Scholar] [CrossRef]
- Tiquia, S.M. Microbial community dynamics in manure composts based on 16S and 18S rDNA T-RFLP profiles. Environ. Technol. 2005, 26, 1101–1114. [Google Scholar] [CrossRef]
- Awasthi, M.K.; Wang, M.; Chen, H.; Wang, Q.; Zhao, J.; Ren, X.; Zhang, Z. Heterogeneity of biochar amendment to improve the carbon and nitrogen sequestration through reduce the greenhouse gases emissions during sewage sludge composting. Bioresour. Technol. 2017, 224, 428–438. [Google Scholar] [CrossRef]
- Malinowski, M.; Wolny-Koładka, K.; Vaverková, M.D. Effect of biochar addition on the OFMSW composting process under real conditions. Waste Manag. 2019, 84, 364–372. [Google Scholar] [CrossRef]
- Angelova, D.; Shilev, S.; Naydenov, M. Composting of sewage sludge at large scale for subsequent utilization in agriculture. In Proceedings of the 4th National Conference of Bulgarian Humic Substances Society, Sofia, Bulgaria, 8–10 September 2016; pp. 285–295. [Google Scholar]
- Hultman, J.; Kurola, J.; Rainisalo, A.; Kontro, M.; Romantschuk, M. Utility of molecular tools in monitoring large scale composting. In Microbes at Work; Springer: Berlin/Heidelberg, Germany, 2010; pp. 135–151. [Google Scholar]
- Wu, S.; He, H.; Inthapanya, X.; Yang, C.; Lu, L.; Zeng, G.; Han, Z. Role of biochar on composting of organic wastes and remediation of contaminated soils—A review. Environ. Sci. Pollut. Res. 2017, 24, 16560–16577. [Google Scholar] [CrossRef] [PubMed]
- Liu, Y.; Li, C.; Zhao, B.; Zhang, J.; Qiu, R. Inoculation of Prickly Pear Litter with Microbial Agents Promotes the Efficiency in Aerobic Composting. Sustainability 2022, 14, 4824. [Google Scholar] [CrossRef]
- Wang, X.; Cui, H.; Shi, J.; Zhao, X.; Zhao, Y.; Wei, Z. Relationship between bacterial diversity and environmental parameters during composting of different raw materials. Bioresour. Technol. 2015, 198, 395–402. [Google Scholar] [CrossRef] [PubMed]
- Hayat, R.; Sheirdil, R.A.; Iftikhar-ul-Hassan, M.; Ahmed, I. Characterization and identification of compost bacteria based on 16S rRNA gene sequencing. Ann. Microbiol. 2013, 63, 905–912. [Google Scholar] [CrossRef]
- Wei, J.; Guo, X.; Liu, H.; Chen, Y.; Wang, W. The variation profile of intestinal microbiota in blunt snout bream (Megalobrama amblycephala) during feeding habit transition. BMC Microbiol. 2018, 18, 99. [Google Scholar] [CrossRef]
- Meng, Q.; Yang, W.; Men, M.; Bello, A.; Xu, X.; Xu, B.; Deng, L.; Jiang, X.; Sheng, S.; Wu, X.; et al. Microbial Community Succession and Response to Environmental Variables During Cow Manure and Corn Straw Composting. Front. Microbiol. 2019, 10, 529. [Google Scholar] [CrossRef]
- Bao, S.D. Soil Agro-Chemistry Analysis; China Agriculture Press: Beijing, China, 1981; pp. 438–441. [Google Scholar]
- Angelova, V.R.; Akova, V.I.; Ivanov, K.I. Comparative study of the methods for the determination of organic carbon and organic matter in soils, compost and sludge. Bulg. Chem. Commun. 2019, 51, 342–347. [Google Scholar] [CrossRef]
- Alef, K.; Nannipieri, P. Methods in Applied Soil Microbiology and Biochemistry, 1st ed.; Academic Press: Cambridge, MA, USA, 1995; pp. 193–201. [Google Scholar]
- Caporaso, G.J.; Lauber, C.L.; Walters, W.A.; Berg-Lyons, D.; Lozupone, C.A.; Turnbaugh, P.J.; Fierer, N.; Knight, R. Global patterns of 16S rRNA diversity at a depth of millions of sequences per sample. Proc. Natl. Acad. Sci. USA 2011, 108 (Suppl. S1), 4516–4522. [Google Scholar] [CrossRef]
- Martin, M. Cutadapt removes adapter sequences from high-throughput sequencing reads. Embnet. J. 2011, 17, 10–12. [Google Scholar] [CrossRef]
- Haas, B.J.; Gevers, D.; Earl, A.M.; Feldgarden, M.; Ward, D.V.; Giannoukos, G.; Ciulla, D.; Tabbaa, D.; Highlander, S.K.; Sodergren, E.; et al. Chimeric 16S rRNA sequence formation and detection in Sanger and 454-pyrosequenced PCR amplicons. Genome Res. 2011, 21, 494–504. [Google Scholar] [CrossRef]
- Edgar, R.C. UPARSE: Highly accurate OTU sequences from microbial amplicon reads. Nat. Methods 2013, 10, 996–998. [Google Scholar] [CrossRef] [PubMed]
- Abell, G.C.; Bowman, J.P. Ecological and biogeographic relationships of class Flavobacteria in the Southern Ocean. FEMS Microbiol. Ecol. 2005, 51, 265–277. [Google Scholar] [CrossRef] [PubMed]
- Zhang, J.; Chen, M.; Huang, J.; Guo, X.; Zhang, Y.; Liu, D.; Wu, R.; He, H.; Wang, J. Diversity of the microbial community and cultivable protease-producing bacteria in the sediments of the Bohai Sea, Yellow Sea and South China Sea. PLoS ONE 2019, 14, e0215328. [Google Scholar] [CrossRef] [PubMed]
- Wei, H.; Wang, L.; Hassan, M.; Xie, B. Succession of the functional microbial communities and the metabolic functions in maize straw composting process. Bioresour. Technol. 2018, 256, 333–341. [Google Scholar] [CrossRef]
- Segata, N.; Izard, J.; Waldron, L.; Gevers, D.; Miropolsky, L.; Garrett, W.S.; Huttenhower, C. Metagenomic biomarker discovery and explanation. Genome Biol. 2011, 12, R60. [Google Scholar] [CrossRef]
- Lozupone, C.A.; Hamady, M.; Kelley, S.T.; Knight, R. Quantitative and qualitative β diversity measures lead to different insights into factors that structure microbial communities. Appl. Environ. Microbiol. 2007, 73, 1576–1585. [Google Scholar] [CrossRef]
- Avershina, E.; Frisli, T.; Rudi, K. De novo Semi-alignment of 16S rRNA Gene Sequences for Deep Phylogenetic Characterization of Next Generation Sequencing Data. Microbes Environ. 2013, 28, 211–216. [Google Scholar] [CrossRef]
- Lozupone, C.; Lladser, M.E.; Knights, D.; Stombaugh, J.; Knight, R. UniFrac: An effective distance metric for microbial community comparison. ISME J. 2011, 5, 169. [Google Scholar] [CrossRef]
- White, J.R.; Nagarajan, N.; Pop, M. Statistical methods for detecting differentially abundant features in clinical metagenomic samples. PLoS Comput. Biol. 2009, 5, e1000352. [Google Scholar] [CrossRef]
- Chang, R.; Guo, Q.; Chen, Q.; Bernal, M.P.; Wang, Q.; Li, Y. Effect of initial material bulk density and easily-degraded organic matter content on temperature changes during composting of cucumber stalk. J. Environ. Sci. 2019, 80, 306–315. [Google Scholar] [CrossRef]
- Council of Ministers. Regulation on the Separate Collection of Bio-Waste and Treatment of Biodegradable Waste. Ordinance No 20. 2017. State Gazette, 11/20172. 2017. Available online: https://moew.government.bg/static/media/ups/tiny/УООП/ЗАКОНОДАТЕЛСТВО%202021/Naredba_bio.pdf (accessed on 14 December 2022).
- Sánchez-Monedero, M.A.; Roig, A.; Paredes, C.; Bernal, M.P. Nitrogen transformation during organic waste composting by the Rutgers system and its effects on pH, EC and maturity of the composting mixtures. Bioresour. Technol. 2001, 78, 301–308. [Google Scholar] [CrossRef] [PubMed]
- Asnicar, F.; Weingart, G.; Tickle, T.L.; Huttenhower, C.; Segata, N. Compact graphical representation of phylogenetic data and metadata with GraPhlAn. PeerJ 2015, 3, e1029. [Google Scholar] [CrossRef] [PubMed]
- Ondov, B.D.; Bergman, N.H.; Phillippy, A.M. Interactive metagenomic visualization in a Web browser. BMC Bioinform. 2011, 12, 385. [Google Scholar] [CrossRef] [PubMed]
- Sun, W.; Dai, S.; Jiang, S.; Wang, G.; Liu, G.; Wu, H.; Li, X. Culture-dependent and culture-independent diversity of actinobacteria associated with the marine sponge Hymeniacidon perleve from the South China Sea. Antonie Leeuwenhoek 2010, 98, 65–75. [Google Scholar] [CrossRef] [PubMed]
- Chen, Q.; Wang, J.; Zhang, H.; Shi, H.; Liu, G.; Che, J.; Liu, B. Microbial community and function in nitrogen transformation of ectopic fermentation bed system for pig manure composting. Bioresour. Technol. 2021, 319, 124155. [Google Scholar] [CrossRef]
- Bulgarelli, D.; Garrido-Oter, R.; Münch, P.C.; Weiman, A.; Dröge, J.; Pan, Y.; McHardy, A.C.; Schulze-Lefert, P. Structure and function of the bacterial root microbiota in wild and domesticated barley. Cell Host Microbe 2015, 17, 392–403. [Google Scholar] [CrossRef]
- Lundberg, D.S.; Yourstone, S.; Mieczkowski, P.; Jones, C.D.; Dangl, J.L. Practical innovations for high-throughput amplicon sequencing. Nat. Methods 2013, 10, 999–1002. [Google Scholar] [CrossRef]
- Li, B.; Zhang, X.; Guo, F.; Wu, W.; Zhang, T. Characterization of tetracycline resistant bacterial community in saline activated sludge using batch stress incubation with high-throughput sequencing analysis. Water Res. 2013, 47, 4207–4216. [Google Scholar] [CrossRef]
- Chang, R.; Li, Y.; Li, N.; Wu, X.; Chen, Q. Effect of microbial transformation induced by metallic compound additives and temperature variations during composting on suppression of soil-borne pathogens. J. Environ. Manag. 2021, 279, 111816. [Google Scholar] [CrossRef]
- Antunes, L.P.; Martins, L.F.; Pereira, R.V.; Thomas, A.V.; Barbosa, D.; Lemos, L.N.; Silva, G.M.M.; Moura, L.M.S.; Epamino, G.W.C.; Digiampietri, L.A.; et al. Microbial community structure and dynamics in thermophilic composting viewed through metagenomics and metatranscriptomics. Sci. Rep. 2016, 6, 38915. [Google Scholar] [CrossRef]
- Neher, D.A.; Weicht, T.R.; Dunseith, P. Compost for Management of Weed Seeds, Pathogen, and Early Blight on Brassicas in Organic Farmer Fields. Agroecol. Sustain. Food Syst. 2015, 39, 3–18. [Google Scholar] [CrossRef]
- Zhang, J.; Zhang, T.; Ying, Y.; Yao, X. Effects of different additives on the chemical composition and microbial diversity during composting of Camellia oleifera shell. Bioresour. Technol. 2021, 330, 124990. [Google Scholar] [CrossRef]
- de Gannes, V.; Eudoxie, G.; Hickey, W.J. Prokaryotic successions and diversity in composts as revealed by 454-pyrosequencing. Bioresour. Technol. 2013, 133, 573–580. [Google Scholar] [CrossRef] [PubMed]
- Goodfellow, M.; Williams, S.T. Ecology of actinomycetes. Annu. Rev. Microbiol. 1983, 37, 189–216. [Google Scholar] [CrossRef] [PubMed]
- Steger, K.; Jarvis, Å.; Vasara, T.; Romantschuk, M.; Sundh, I. Effects of differing temperature management on development of Actinobacteria populations during composting. Res. Microbiol. 2007, 158, 617–624. [Google Scholar] [CrossRef] [PubMed]
- Eisenlord, S.D.; Zak, D.R. Simulated atmospheric nitrogen deposition alters actinobacterial community composition in forest soils. Soil Sci. Soc. Am. J. 2010, 74, 1157–1166. [Google Scholar] [CrossRef]
- Insam, H.K.M.C.; Amor, K.; Renner, M.; Crepaz, C. Changes in functional abilities of the microbial community during composting of manure. Microb. Ecol. 1996, 31, 77–87. [Google Scholar] [CrossRef] [PubMed]
- Yang, W.; Zheng, Y.; Sun, W.; Chen, S.; Liu, D.; Zhang, H.; Fang, H.; Tian, J.; Ye, X. Effect of extrusion processing on the microstructure and in vitro digestibility of broken rice. LWT 2020, 119, 108835. [Google Scholar] [CrossRef]
- Buzón-Durán, L.; Pérez-Lebeña, E.; Martín-Gil, J. Applications of Streptomyces spp. Enhanced Compost in Sustainable Agriculture. In Biology of Composts; Meghvansi, M.K., Varma, A., Eds.; Book series: Soil Biology; Springer Nature: Cham, Switzerland, 2020; pp. 257–291. [Google Scholar]
- Ramírez, P.; Coha, J.M. Enzymatic degradation of cellulose for thermophilic actinomycete: Isolation, characterization and cellulolytic activity determination. Rev. Peru. De Biol. 2003, 10, 67–77. [Google Scholar] [CrossRef]
- Jiang-Ming, Z. Effect of turning frequency on co-composting pig manure and fungus residue. J. Air Waste Manag. Assoc. 2017, 67, 313–321. [Google Scholar] [CrossRef]
- Ma, S.; Fang, C.; Sun, X.; Han, L.; He, X.; Huang, G. Bacterial community succession during pig manure and wheat straw aerobic composting covered with a semi-permeable membrane under slight positive pressure. Bioresour. Technol. 2018, 259, 221–227. [Google Scholar] [CrossRef] [PubMed]
- Storey, S.; Chualain, D.N.; Doyle, O.; Clipson, N.; Doyle, E. Comparison of bacterial succession in green waste composts amended with inorganic fertilizer and wastewater treatment plant sludge. Bioresour. Technol. 2015, 179, 71–77. [Google Scholar] [CrossRef] [PubMed]
- Awasthi, M.K.; Chen, H.; Wang, Q.; Liu, T.; Duan, Y.; Awasthi, S.K.; Zhang, Z. Succession of bacteria diversity in the poultry manure composted mixed with clay: Studies upon its dynamics and associations with physicochemical and gaseous parameters. Bioresour. Technol. 2018, 267, 618–625. [Google Scholar] [CrossRef] [PubMed]
- Song, C.; Li, M.; Jia, X.; Wei, Z.; Zhao, Y.; Xi, B.; Zhu, C.; Liu, D. Comparison of bacterial community structure and dynamics during the thermophilic composting of different types of solid wastes: Anaerobic digestion residue, pig manure and chicken manure. Microb. Biotechnol. 2014, 7, 424–433. [Google Scholar] [CrossRef]
Disclaimer/Publisher’s Note: The statements, opinions and data contained in all publications are solely those of the individual author(s) and contributor(s) and not of MDPI and/or the editor(s). MDPI and/or the editor(s) disclaim responsibility for any injury to people or property resulting from any ideas, methods, instructions or products referred to in the content. |
© 2023 by the authors. Licensee MDPI, Basel, Switzerland. This article is an open access article distributed under the terms and conditions of the Creative Commons Attribution (CC BY) license (https://creativecommons.org/licenses/by/4.0/).










