The Effect of Methyl Jasmonate-Doped Nano-Particles and Methyl Jasmonate on the Phenolics and Quality in Monastrell Grapes during the Ripening Period
Abstract
1. Introduction
2. Materials and Methods
2.1. Materials
2.2. Synthesis and Characterisation of MeJA Nanocomposites
2.3. Field Experiments on Vineyards
2.4. Physicochemical Parameters in Grapes
2.5. Phenolic Composition of the Grapes during Ripening
2.5.1. HPLC Analysis of Anthocyanins and Flavonols
2.5.2. HPLC Analysis of Proanthocyanidins
2.6. Statistical Analysis
3. Results
3.1. Characterisation of Amorphous and Crystalline Nanoparticles
3.2. Field Experiments on Vineyards
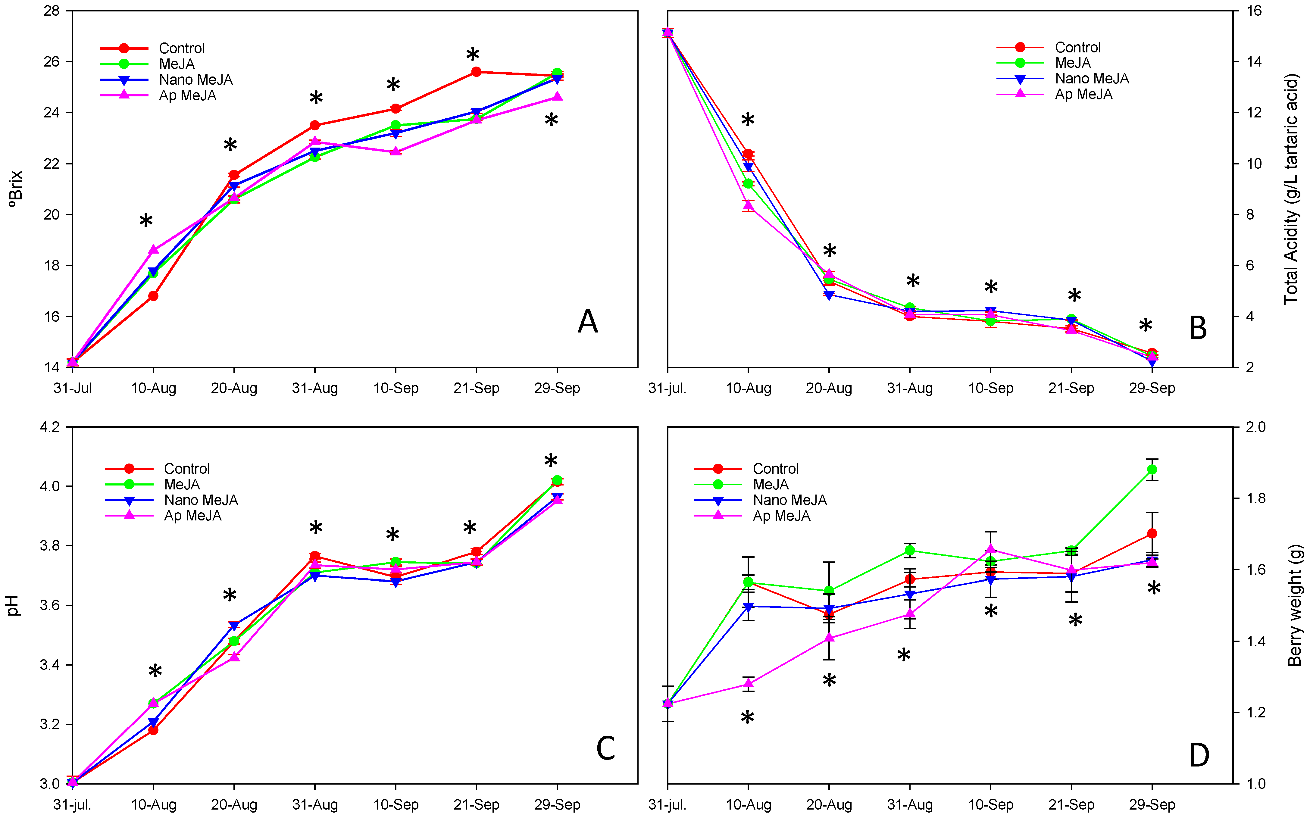
3.2.1. Evolution of Physicochemical Parameters in Grapes
3.2.2. Evolution of the Phenolic Composition in Grapes during Ripening Period
Evolution of Anthocyanins during Ripening Period
Evolution of Flavonols during Ripening Period
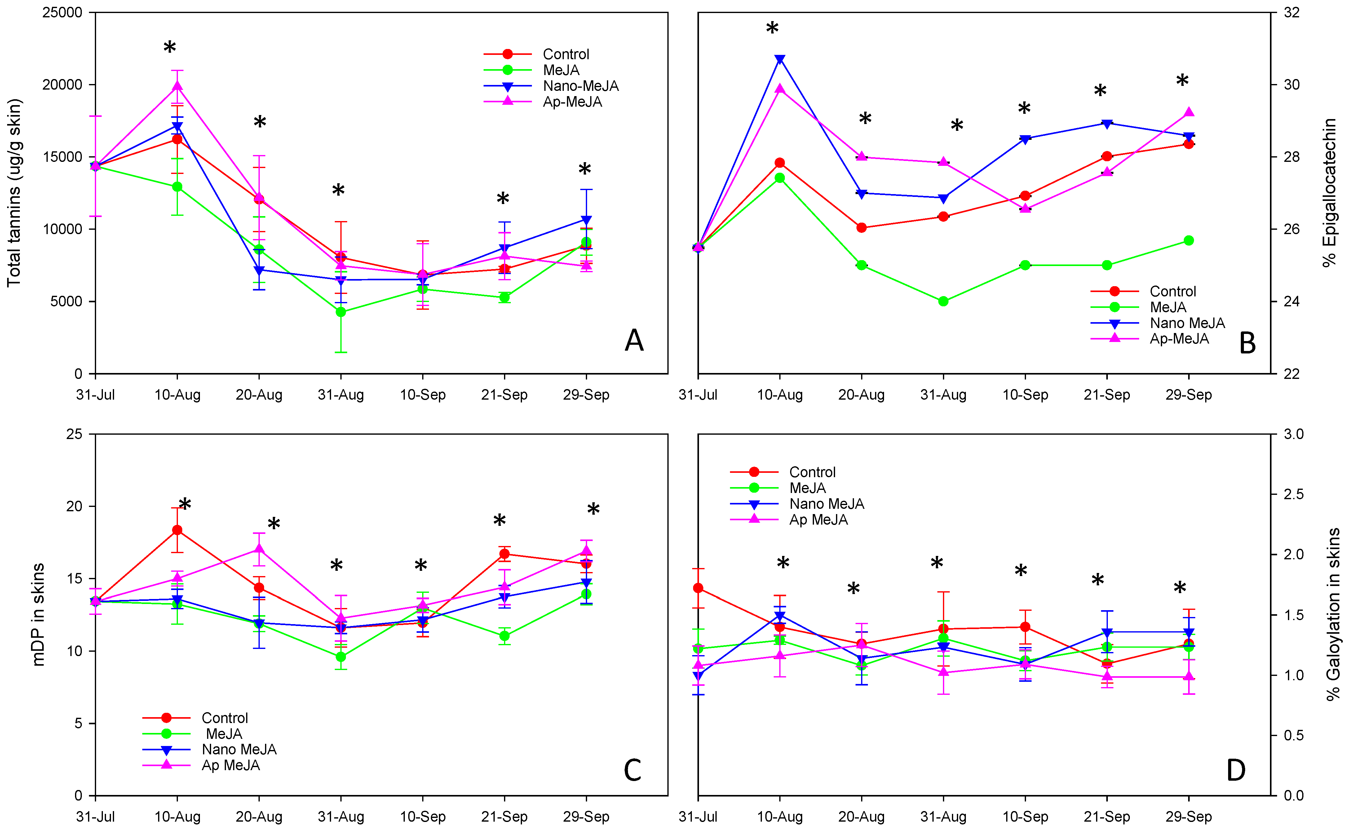
Evolution of Proanthocyanidins during Ripening Period
Multivariable Discriminant Analysis
4. Conclusions
5. Patents
Supplementary Materials
Author Contributions
Funding
Institutional Review Board Statement
Informed Consent Statement
Data Availability Statement
Acknowledgments
Conflicts of Interest
References
- Dai, Z.W.; Ollat, N.; Gomès, E.; Decroocq, S.; Tandonnet, J.-P.; Bordenave, L.; Pieri, P.; Hilbert, G.; Kappel, C.; van Leeuwen, C.; et al. Ecophysiological, Genetic, and Molecular Causes of Variation in Grape Berry Weight and Composition: A Review. Am. J. Enol. Vitic. 2011, 62, 413–425. [Google Scholar] [CrossRef]
- Suter, B.; Irvine, A.D.; Gowdy, M.; Dai, Z.; van Leeuwen, C. Adapting Wine Grape Ripening to Global Change Requires a Multi-Trait Approach. Front. Plant Sci. 2021, 12, 624867. [Google Scholar] [CrossRef]
- Ribéreau-Gayon, P.; Glories, Y.; Maujean, A.; Dubordieu, D. The Chemistry of Wine Stabilization and Treatments. In Handbook of Enology, 2nd ed.; Wiley: New York, NY, USA, 2005; Volume 2. [Google Scholar]
- Guidoni, S.; Ferrandino, A.; Novello, V. Effects of Seasonal and Agronomical Practices on Skin Anthocyanin Profile of Nebbiolo Grapes. Am. J. Enol. Vitic. 2008, 59, 22–29. [Google Scholar] [CrossRef]
- Vacca, V.; Del Caro, A.; Milella, G.; Nieddu, G. Preliminary Characterisation of Sardinian Red Grape Cultivars (Vitis vinifera L.) According to Their Phenolic Potential. South Afr. J. Enol. Vitic. 2016, 30, 93–100. [Google Scholar] [CrossRef]
- Jones, G.V.; White, M.A.; Cooper, O.R.; Storchmann, K. Climate Change and Global Wine Quality. Clim. Chang. 2005, 73, 319–343. [Google Scholar] [CrossRef]
- Jones, G.V.; Goodrich, G.B. Influence of climate variability on wine regions in the western USA and on wine quality in the Napa Valley. Clim. Res. 2008, 35, 241–254. [Google Scholar] [CrossRef]
- de Orduña, R.M. Climate change associated effects on grape and wine quality and production. Food Res. Int. 2010, 43, 1844–1855. [Google Scholar] [CrossRef]
- Sadras, V.O.; McCARTHY, M.G. Quantifying the dynamics of sugar concentration in berries of Vitis vinifera cv. Shiraz: A novel approach based on allometric analysis. Aust. J. Grape Wine Res. 2007, 13, 66–71. [Google Scholar] [CrossRef]
- Compendium of International Methods of Wine and Must Analysis International Organisation of Vine and Wine; OIV: Ensenada, Mexico, 2021.
- Khan, A.S.; Singh, Z. Producción mundial. J. Hortic. Sci. Biotechnol. 2007, 82, 695–706. [Google Scholar] [CrossRef]
- Lara, I. Preharvest sprays and their effects on the postharvest quality of fruit. Stewart Postharvest Rev. 2013, 9, 1–12. [Google Scholar] [CrossRef]
- Asghari, M.; Hasanlooe, A.R. Methyl jasmonate effectively enhanced some defense enzymes activity and Total Antioxidant content in harvested “Sabrosa” strawberry fruit. Food Sci. Nutr. 2015, 4, 377–383. [Google Scholar] [CrossRef] [PubMed]
- Romanazzi, G.; Sanzani, S.M.; Bi, Y.; Tian, S.; Martínez, P.G.; Alkan, N. Induced resistance to control postharvest decay of fruit and vegetables. Postharvest Biol. Technol. 2016, 122, 82–94. [Google Scholar] [CrossRef]
- Ruiz-García, Y.; Gómez-Plaza, E. Elicitors: A Tool for Improving Fruit Phenolic Content. Agriculture 2013, 3, 33–52. [Google Scholar] [CrossRef]
- Siboza, X.I.; Bertling, I.; Odindo, A.O. Salicylic acid and methyl jasmonate improve chilling tolerance in cold-stored lemon fruit (Citrus limon). J. Plant Physiol. 2014, 171, 1722–1731. [Google Scholar] [CrossRef]
- Lalel, H.J.D.; Singh, Z.; Tan, S.C. The role of methyl jasmonate in mango ripening and biosynthesis of aroma volatile compounds. J. Hortic. Sci. Biotechnol. 2003, 78, 470–484. [Google Scholar] [CrossRef]
- Barrios, P.; Dorta, F.; Polanco, V.; Peña-Cortés, H.; Sanchez, C.; Sánchez, E.; Ramírez, I. Involvement of Jasmonic Acid and Derivatives in Plant Response to Pathogen and Insects and in Fruit Ripening. J. Plant Growth Regul. 2004, 23, 246–260. [Google Scholar] [CrossRef]
- Gil-Muñoz, R.; Fernández-Fernández, J.I.; Portu, J.; Garde-Cerdán, T. Methyl jasmonate: Effect on proanthocyanidin content in Monastrell and Tempranillo grapes and wines. Eur. Food Res. Technol. 2017, 244, 611–621. [Google Scholar] [CrossRef]
- Gutiérrez-Gamboa, G.; Portu, J.; López, R.; Santamaría, P.; Garde-Cerdán, T. Effects of a combination of elicitation and precursor feeding on grape amino acid composition through foliar applications to Garnacha vineyard. Food Chem. 2018, 244, 159–163. [Google Scholar] [CrossRef]
- Portu, J.; Santamaría, P.; López-Alfaro, I.; López, R.; Garde-Cerdán, T. Methyl Jasmonate Foliar Application to Tempranillo Vineyard Improved Grape and Wine Phenolic Content. J. Agric. Food Chem. 2015, 63, 2328–2337. [Google Scholar] [CrossRef]
- Garde-Cerdán, T.; Portu, J.; López, R.; Santamaría, P. Effect of methyl jasmonate application to grapevine leaves on grape amino acid content. Food Chem. 2016, 203, 536–539. [Google Scholar] [CrossRef]
- Portu, J.; López, R.; Santamaría, P.; Garde-Cerdán, T. Methyl jasmonate treatment to increase grape and wine phenolic content in Tempranillo and Graciano varieties during two growing seasons. Sci. Hortic. 2018, 240, 378–386. [Google Scholar] [CrossRef]
- Gil-Muñoz, R.; Bautista-Ortín, A.B.; Ruiz-García, Y.; Fernández-Fernández, J.I.; Gómez-Plaza, E. Improving phenolic and chromatic characteristics of Monastrell, Merlot and Syrah wines by using methyl jasmonate and benzothiadiazole. OENO One 2017, 51, 17–27. [Google Scholar] [CrossRef]
- D’Onofrio, C.; Matarese, F.; Cuzzola, A. Effect of methyl jasmonate on the aroma of Sangiovese grapes and wines. Food Chem. 2018, 242, 352–361. [Google Scholar] [CrossRef] [PubMed]
- Gómez-Plaza, E.; Bautista-Ortín, A.B.; Ruiz-García, Y.; I Fernández-Fernández, J.; Gil-Muñoz, R. Effect of elicitors on the evolution of grape phenolic compounds during the ripening period. J. Sci. Food Agric. 2016, 97, 977–983. [Google Scholar] [CrossRef]
- Parra-Torrejón, B.; Ramírez-Rodríguez, G.B.; Giménez-Bañón, M.J.; Moreno-Olivares, J.D.; Paladines-Quezada, D.F.; Gil-Muñoz, R.; Delgado-López, J.M. Nanoelicitors with prolonged retention and sustained release to produce beneficial compounds in wines. Environ. Sci. Nano 2021, 8, 3524–3535. [Google Scholar] [CrossRef]
- Gil-Muñoz, R.; Giménez-Bañón, M.J.; Moreno-Olivares, J.D.; Paladines-Quezada, D.F.; Bleda-Sánchez, J.A.; Fernández-Fernández, J.I.; Parra-Torrejón, B.; Ramírez-Rodríguez, G.B.; Delgado-López, J.M. Effect of Methyl Jasmonate Doped Nanoparticles on Nitrogen Composition of Monastrell Grapes and Wines. Biomolecules 2021, 11, 1631. [Google Scholar] [CrossRef]
- Pérez-Álvarez, E.P.; Ramírez-Rodríguez, G.B.; Carmona, F.J.; Martínez-Vidaurre, J.M.; Masciocchi, N.; Guagliardi, A.; Garde-Cerdán, T.; Delgado-López, J.M. Towards a more sustainable viticulture: Foliar application of N-doped calcium phosphate nanoparticles on Tempranillo grapes. J. Sci. Food Agric. 2021, 101, 1307–1313. [Google Scholar] [CrossRef] [PubMed]
- Ramírez-Rodríguez, G.B.; Dal Sasso, G.; Carmona, F.J.; Miguel-Rojas, C.; Pérez-De-Luque, A.; Masciocchi, N.; Guagliardi, A.; Delgado-López, J.M. Engineering Biomimetic Calcium Phosphate Nanoparticles: A Green Synthesis of Slow-Release Multinutrient (NPK) Nanofertilizers. ACS Appl. Bio Mater. 2020, 3, 1344–1353. [Google Scholar] [CrossRef] [PubMed]
- Gil-Muñoz, R.; Moreno-Olivares, J.D.; Paladines-Quezada, D.F.; Bleda-Sánchez, J.A.; Cebrían-Pérez, A.; Giménez-Bañón, M.J.; Fernández-Fernández, J.I. Characterization of Anthocyanins from Intraspecific Crosses of Monastrell with Other Premium Varieties. Front. Nutr. 2021, 8, 664515. [Google Scholar] [CrossRef]
- Busse-Valverde, N.; Gómez-Plaza, E.; López-Roca, J.M.; Gil-Muñoz, R.; Fernández-Fernández, J.I.; Bautista-Ortín, A.B. Effect of Different Enological Practices on Skin and Seed Proanthocyanidins in Three Varietal Wines. J. Agric. Food Chem. 2010, 58, 11333–11339. [Google Scholar] [CrossRef]
- Delgado-López, J.M.; Iafisco, M.; Rodríguez, I.; Tampieri, A.; Prat, M.; Gómez-Morales, J. Crystallization of bioinspired citrate-functionalized nanoapatite with tailored carbonate content. Acta Biomater. 2012, 8, 3491–3499. [Google Scholar] [CrossRef]
- Delgado-López, J.M.; Frison, R.; Cervellino, A.; Gómez-Morales, J.; Guagliardi, A.; Masciocchi, N. Crystal Size, Morphology, and Growth Mechanism in Bio-Inspired Apatite Nanocrystals. Adv. Funct. Mater. 2013, 24, 1090–1099. [Google Scholar] [CrossRef]
- Gómez-Morales, J.; Iafisco, M.; Delgado-López, J.M.; Sarda, S.; Drouet, C. Progress on the preparation of nanocrystalline apatites and surface characterization: Overview of fundamental and applied aspects. Prog. Cryst. Growth Charact. Mater. 2013, 59, 1–46. [Google Scholar] [CrossRef]
- Adams, D.O. Phenolics and Ripening in Grape Berries. Am. J. Enol. Vitic. 2006, 57, 249–256. [Google Scholar] [CrossRef]
- Coombe, B.G. Distribution of Solutes within the Developing Grape Berry in Relation to Its Morphology. Am. J. Enol. Vitic. 1987, 38, 120–127. [Google Scholar] [CrossRef]
- Paladines-Quezada, D.; Fernández-Fernández, J.; Moreno-Olivares, J.; Bleda-Sánchez, J.; Gómez-Martínez, J.; Martínez-Jiménez, J.; Gil-Muñoz, R. Application of Elicitors in Two Ripening Periods of Vitis vinifera L. cv Monastrell: Influence on Anthocyanin Concentration of Grapes and Wines. Molecules 2021, 26, 1689. [Google Scholar] [CrossRef] [PubMed]
- Garde-Cerdan, T.; Gutiérrez-Gamboa, G.; Pérez-Álvarez, E.P.; Rubio-Bretón, P. Foliar application of methyl jasmonate to Graciano and Tempranillo vines: Effects on grape amino acid content during two consecutive vintages. OENO One 2019, 53, 1–19. [Google Scholar] [CrossRef]
- Ruiz-García, Y.; Hernández-Jiménez, A.; Gómez-Plaza, E.; López-Roca, J.M.; Romero-Cascales, I.; Martínez-Cutillas, A.; Gil-Muñoz, R. Application of BTH and methyl jasmonate during the ripening of grapes (Vitis vinifera L.) and its effects on the stilbene content: Preliminary results. Acta Hortic. 2012, 939, 397–402. [Google Scholar] [CrossRef]
- Vicente, J.; Baran, Y.; Navascués, E.; Santos, A.; Calderón, F.; Marquina, D.; Rauhut, D.; Benito, S. Biological management of acidity in wine industry: A review. Int. J. Food Microbiol. 2022, 375, 109726. [Google Scholar] [CrossRef]
- Downey, M.O.; Harvey, J.S.; Robinson, S.P. Synthesis of flavonols and expression of flavonol synthase genes in the developing grape berries of Shiraz and Chardonnay (Vitis vinifera L.). Aust. J. Grape Wine Res. 2003, 9, 110–121. [Google Scholar] [CrossRef]
- Krasnow, M.; Weis, N.; Smith, R.J.; Benz, M.J.; Matthews, M.; Shackel, K. Inception, Progression, and Compositional Consequences of a Berry Shrivel Disorder. Am. J. Enol. Vitic. 2009, 60, 24–34. [Google Scholar] [CrossRef]
- Andjelkovic, A.; Radovanović, B. Changes in Polyphenolic Content and Antioxidant Activity of Grapes cv Vranac During Ripening. South Afr. J. Enol. Vitic. 2016, 34, 147–155. [Google Scholar] [CrossRef]
- Harbertson, J.F.; Kennedy, J.A.; Adams, D.O. Tannin in Skins and Seeds of Cabernet Sauvignon, Syrah, and Pinot noir Berries during Ripening. Am. J. Enol. Vitic. 2002, 53, 54–59. [Google Scholar] [CrossRef]
- Paladines-Quezada, D.F.; Moreno-Olivares, J.D.; Fernández-Fernández, J.I.; Bleda-Sánchez, J.A.; Martínez-Moreno, A.; Gil-Muñoz, R. Elicitors and Pre-Fermentative Cold Maceration: Effects on Polyphenol Concentration in Monastrell Grapes and Wines. Biomolecules 2019, 9, 671. [Google Scholar] [CrossRef] [PubMed]
- Gutiérrez-Gamboa, G.; Portu, J.; Santamaría, P.; López, R.; Garde-Cerdán, T. Effects on grape amino acid concentration through foliar application of three different elicitors. Food Res. Int. 2017, 99, 688–692. [Google Scholar] [CrossRef]
- Parra-Torrejón, B.; Ramírez-Rodríguez, G.B.; Salvachúa, M.; Giménez-Bañón, M.J.; Moreno-Olivares, J.D.; Paladines-Quezada, D.F.; Bleda-Sanchez, J.A.; Gil-Muñoz, R.; Delgado-Lopez, J.M. Does the morphology and structure of calcium phosphate nanocarriers affect the delivery of methyl jasmonate in vineyards. Manuscript in preparation.
- Mazza, G.; Francis, D.F.J. Anthocyanins in grapes and grape products. Crit. Rev. Food Sci. Nutr. 2009, 35, 341–371. [Google Scholar] [CrossRef] [PubMed]
- Portu, J.; López, R.; Santamaría, P.; Garde-Cerdán, T. Elicitation with methyl jasmonate supported by precursor feeding with phenylalanine: Effect on Garnacha grape phenolic content. Food Chem. 2017, 237, 416–422. [Google Scholar] [CrossRef] [PubMed]
- Marslin, G.; Sheeba, C.J.; Franklin, G. Nanoparticles alter secondary metabolism in plants via ROS burst. Front. Plant Sci. 2017, 8, 832. [Google Scholar] [CrossRef] [PubMed]
- He, F.; Mu, L.; Yan, G.L.; Liang, N.N.; Pan, Q.H.; Wang, J.; Reeves, M.J.; Duan, C.Q. Biosynthesis of anthocyanins and their regulation in colored grapes. Molecules 2010, 15, 9057–9091. [Google Scholar] [CrossRef] [PubMed]
- Gómez-Plaza, E.; Olmos, O.; Bautista-Ortín, A.B. Tannin profile of different Monastrell wines and its relation to projected market prices. Food Chem. 2016, 204, 506–512. [Google Scholar] [CrossRef]
- Obreque-Slier, E.; Peña-Neira, A.; López-Solís, R.; Zamora-Marín, F.; Ricardo-Da Silva, J.M.; Laureano, O. Comparative study of the phenolic composition of seeds and skins from Carménère and Cabernet Sauvignon grape varieties (Vitis vinifera L.) during ripening. J. Agric. Food Chem. 2010, 58, 3591–3599. [Google Scholar] [CrossRef] [PubMed]
- Mori, K.; Sugaya, S.; Gemma, H. Regulatory mechanism of anthocyanin biosynthesis in Kyoho grape berries grown under different temperature conditions. Environ. Control Biol. 2004, 42, 21–30. [Google Scholar] [CrossRef]
- Castillo-Muñoz, N.; Muñoz, M.; Gómez-Alonso, S.; García-Romero, E.; Hermosín-Gutierrez, I. Flavanol profiles of Vitis vinifera red grapes and their single cultivar wines. J. Agric. Food Chem. 2007, 55, 992–1002. [Google Scholar] [CrossRef] [PubMed]
- Silva, V.; Singh, R.K.; Gomes, N.; Soares, B.G.; Silva, A.; Falco, V.; Capita, R.; Alonso-Calleja, C.; Pereira, J.E.; Amaral, J.S.; et al. Comparative insight upon chitosan solution and chitosan nanoparticles. Application on the phenolic content, antioxidant and antimicrobial activities of individual crape components of Sousão variety. Antioxidants 2020, 9, 178. [Google Scholar] [CrossRef] [PubMed]
- Souquet, J.-M.; Cheynier, V.; Brossaud, F.; Moutounet, M. Polymeric proanthocyanidins from grape skins. Phytochemistry 1996, 43, 509–512. [Google Scholar] [CrossRef]
- McRae, J.M.; Schulkin, A.; Kassara, S.; Holt, H.E.; Smith, P.A. Sensory Properties of Wine Tannin Fractions: Implications for In-Mouth Sensory Properties. J. Agric. Food Chem. 2013, 61, 719–727. [Google Scholar] [CrossRef]






| Function 1 | Function 2 | |
|---|---|---|
| °Brix | 8.32 | −1.36 |
| Total acidity (mg/L) | 6.52 | −5.09 |
| pH | −1.81 | −3.80 |
| Total anthocyanins (μg/g skins) | −7.04 | −7.42 |
| Acetylated anthocyanins (μg/g skins) | −2.35 | 7.35 |
| Coumarated anthocyanins (μg/g skins) | 8.81 | −0.78 |
| Total tannins (μg/g skins) | −0.06 | −1.14 |
| %Epigallocatechin | −0.31 | 1.54 |
| mDP | 0.70 | −0.64 |
| % galloylation | −0.16 | 0.06 |
| Total flavonols (μg/g skins) | 0.60 | −0.75 |
Disclaimer/Publisher’s Note: The statements, opinions and data contained in all publications are solely those of the individual author(s) and contributor(s) and not of MDPI and/or the editor(s). MDPI and/or the editor(s) disclaim responsibility for any injury to people or property resulting from any ideas, methods, instructions or products referred to in the content. |
© 2023 by the authors. Licensee MDPI, Basel, Switzerland. This article is an open access article distributed under the terms and conditions of the Creative Commons Attribution (CC BY) license (https://creativecommons.org/licenses/by/4.0/).
Share and Cite
Gil-Muñoz, R.; Paladines-Quezada, D.F.; Giménez-Bañón, M.J.; Moreno-Olivares, J.D.; Bleda-Sánchez, J.A.; Fernández-Fernández, J.I.; Parra-Torrejón, B.; Ramírez-Rodríguez, G.B.; Delgado-López, J.M. The Effect of Methyl Jasmonate-Doped Nano-Particles and Methyl Jasmonate on the Phenolics and Quality in Monastrell Grapes during the Ripening Period. Appl. Sci. 2023, 13, 1906. https://doi.org/10.3390/app13031906
Gil-Muñoz R, Paladines-Quezada DF, Giménez-Bañón MJ, Moreno-Olivares JD, Bleda-Sánchez JA, Fernández-Fernández JI, Parra-Torrejón B, Ramírez-Rodríguez GB, Delgado-López JM. The Effect of Methyl Jasmonate-Doped Nano-Particles and Methyl Jasmonate on the Phenolics and Quality in Monastrell Grapes during the Ripening Period. Applied Sciences. 2023; 13(3):1906. https://doi.org/10.3390/app13031906
Chicago/Turabian StyleGil-Muñoz, Rocío, Diego Fernando Paladines-Quezada, María José Giménez-Bañón, Juan Daniel Moreno-Olivares, Juan Antonio Bleda-Sánchez, José Ignacio Fernández-Fernández, Belén Parra-Torrejón, Gloria Belén Ramírez-Rodríguez, and José Manuel Delgado-López. 2023. "The Effect of Methyl Jasmonate-Doped Nano-Particles and Methyl Jasmonate on the Phenolics and Quality in Monastrell Grapes during the Ripening Period" Applied Sciences 13, no. 3: 1906. https://doi.org/10.3390/app13031906
APA StyleGil-Muñoz, R., Paladines-Quezada, D. F., Giménez-Bañón, M. J., Moreno-Olivares, J. D., Bleda-Sánchez, J. A., Fernández-Fernández, J. I., Parra-Torrejón, B., Ramírez-Rodríguez, G. B., & Delgado-López, J. M. (2023). The Effect of Methyl Jasmonate-Doped Nano-Particles and Methyl Jasmonate on the Phenolics and Quality in Monastrell Grapes during the Ripening Period. Applied Sciences, 13(3), 1906. https://doi.org/10.3390/app13031906

