Reinforcement Learning-Based Adaptive Position Control Scheme for Uncertain Robotic Manipulators with Constrained Angular Position and Angular Velocity
Abstract
1. Introduction
- In order to safely perform robotic manipulators, both the angular position and angular velocity of each joint of robotic manipulators should be controlled to not exceed the preset constraints. More precisely, the angular position (rotation angle) of each joint should be always within a reasonable range to have no risk on physically breaking the joint. Similarly, the angular velocity of each joint should not exceed its maximum related to the maximum rotational speed of the driving motor;
- For some existing controllers (e.g., [9,23,26,30,31,32]), the tracking accuracy could be compromised due to the bounded result of tracking errors and uncertainty-estimation errors. Therefore, it is needed to avoid the loss of tracking accuracy caused by the lack of asymptotic convergence of tracking errors.
- Compare with some existing research [30,31,32,33], in addition to the basic achievement of the uniformly ultimately bounded (UUB) tracking error for each joint in the presence of TDE error; the control scheme can guarantee both the angular position and angular velocity for each joint to be not exceeding the preset constraints;
- The novel adaptive gain in (13) results in the smooth control torques to reduce the chattering effect caused by switching term in (10). Meanwhile, an RL-based term can effectively improve the tracking accuracy, which thereby reduces the possible steady-state tracking errors caused by the lack of asymptotic convergence;
- The mathematical expression of the controller is simple, meanwhile, any prior knowledge of upper bounds caused by an imprecise model are unnecessary in our control scheme.
2. Dynamical Model and Problem Statement
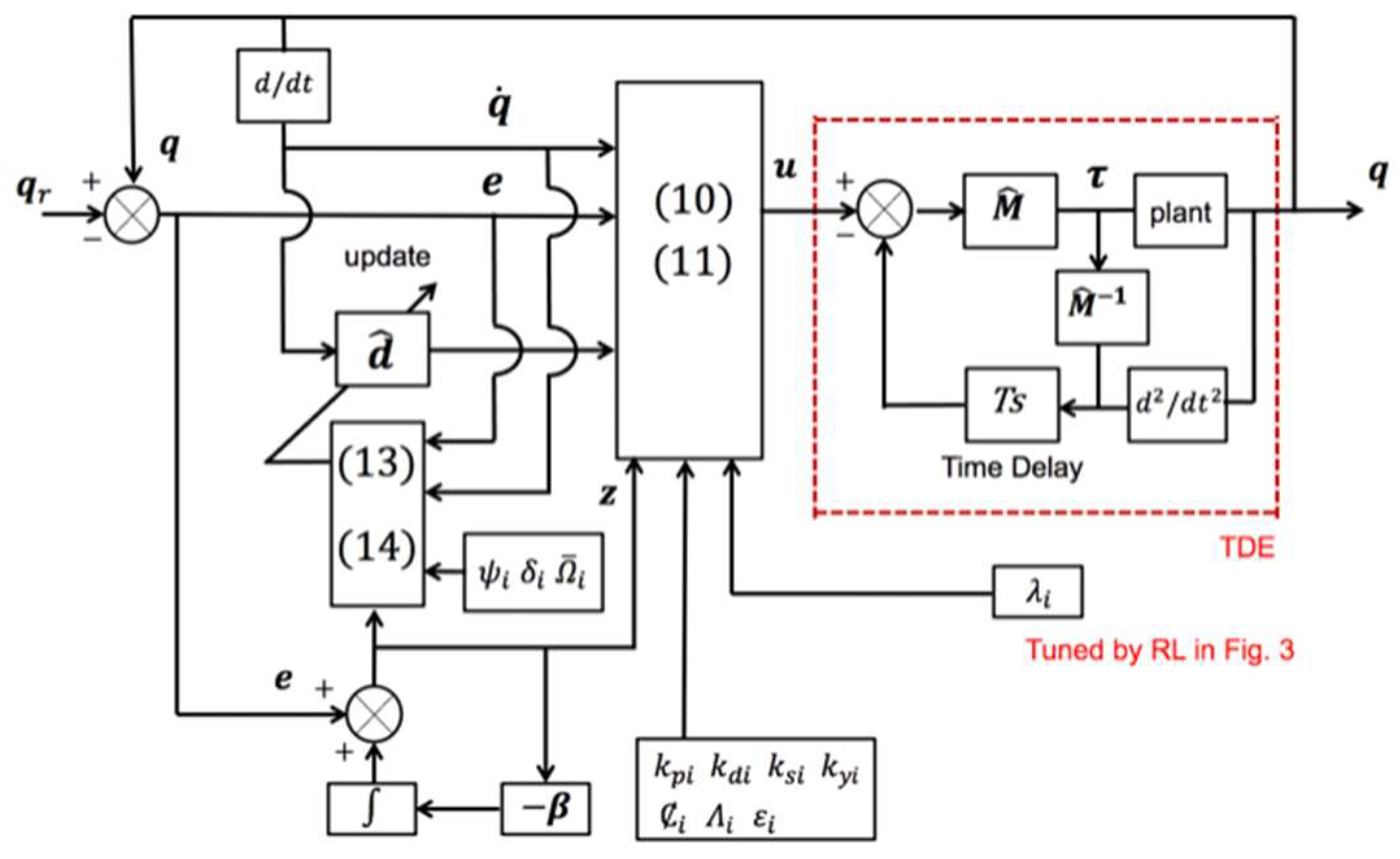
3. Controller Design and Stability Analysis
3.1. Controller Design
3.2. Stability Analysis
3.3. Fuzzy Q Reinforcement Learning Mechanism Determining Parameters of Controller
- IF is small, and is small THEN is small
- IF is large, and is large THEN is large
- IF is large, and is small THEN is large
- IF is small, and is large THEN is small
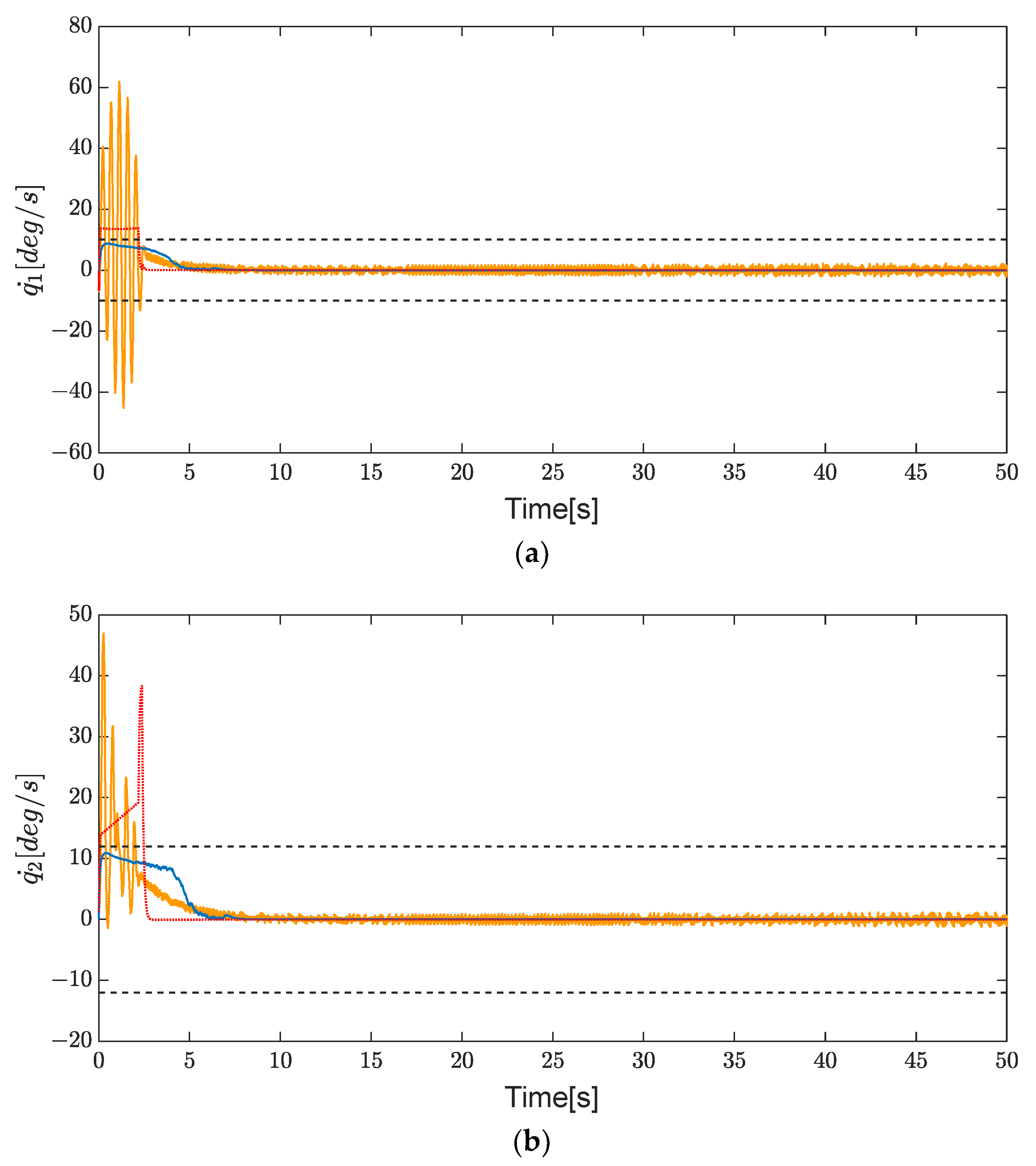
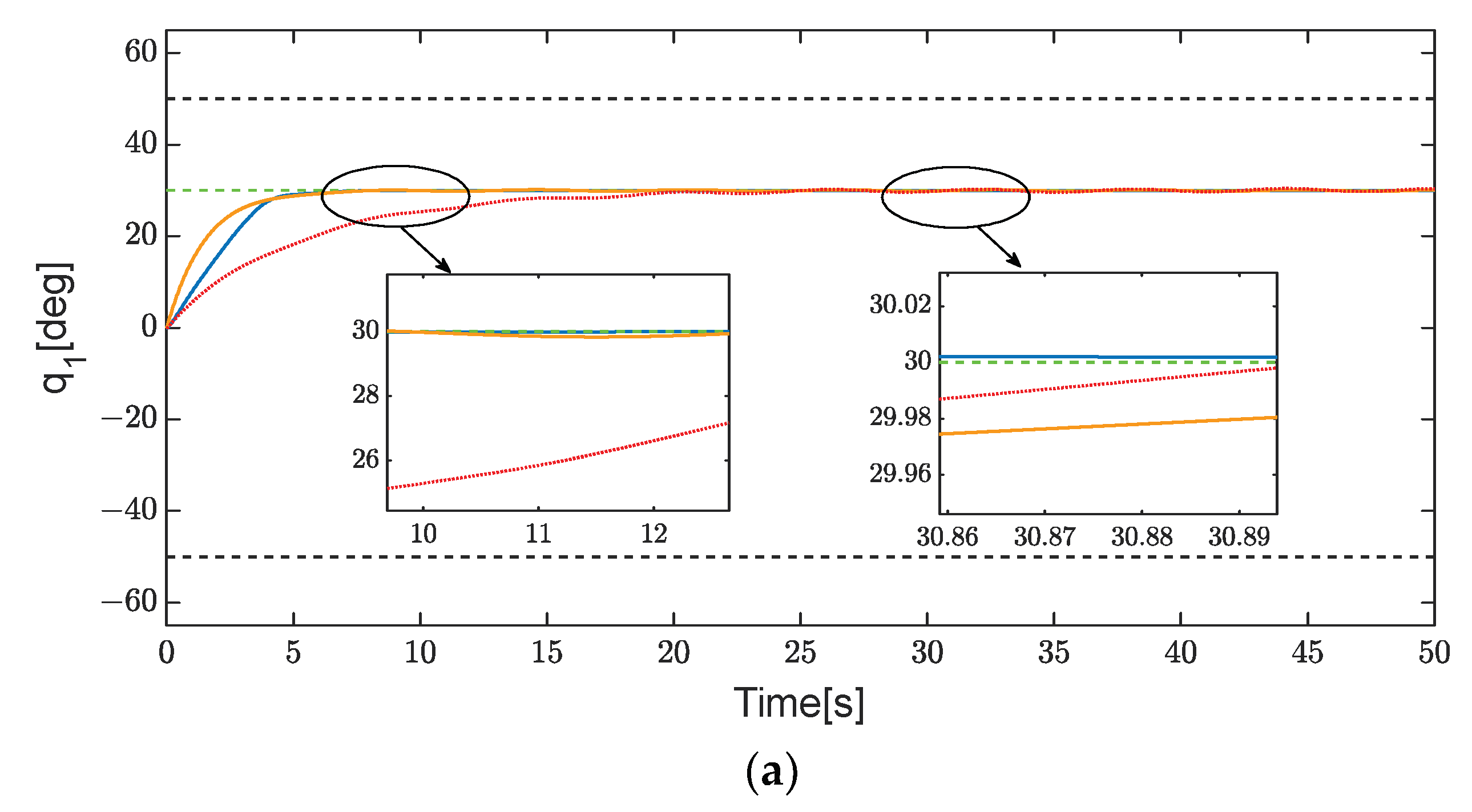
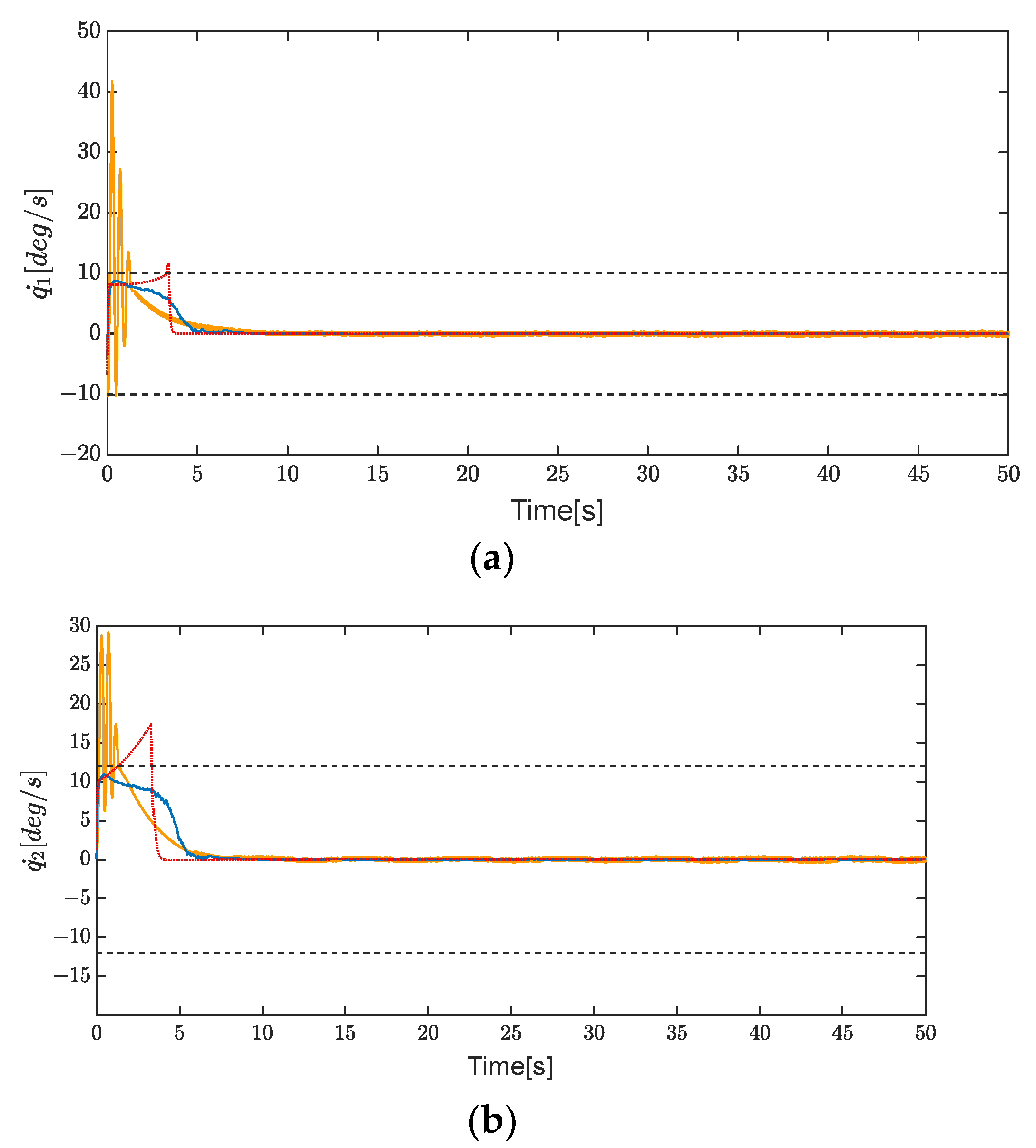
4. Simulation Results and Analysis
5. Conclusions
Author Contributions
Funding
Institutional Review Board Statement
Informed Consent Statement
Data Availability Statement
Conflicts of Interest
References
- Chan, S.P.; Liaw, H.C. Generalized impedance control of robot for assembly tasks requiring compliant manipulation. IEEE Trans. Ind. Electron. 2002, 43, 453–461. [Google Scholar] [CrossRef]
- Naito, J.; Obinata, G.; Nakayama, A.; Hase, K. Development of a Wearable Robot for Assisting Carpentry Workers. Int. J. Adv. Robot. Syst. 2007, 4, 48. [Google Scholar] [CrossRef]
- Kazerooni, H.; Bausch, J.J.; Kramer, B.M. An Approach to Automated Deburring by Robot Manipulators. J. Dyn. Syst. Meas. Control 1986, 108, 354–359. [Google Scholar] [CrossRef]
- Lee, W.Y.; Shih, C.L. Control and breakthrough detection of a three-axis robotic bone drilling system. Mechatronics 2006, 16, 73–84. [Google Scholar] [CrossRef]
- Takei, T.; Imamura, R.; Yuta, S.I. Baggage Transportation and Navigation by a Wheeled Inverted Pendulum Mobile Robot. IEEE Trans. Ind. Electron. 2009, 56, 3985–3994. [Google Scholar] [CrossRef]
- Datta, S.; Ray, R.; Banerji, D. Development of autonomous mobile robot with manipulator for manufacturing environment. Int. J. Adv. Manuf. Technol. 2008, 38, 536–542. [Google Scholar] [CrossRef]
- Kim, Y.G.; Jeong, K.S.; Lee, J.W. Development of the composite third robot arm of the six-axis articulated robot manipulator. Compos. Struct. 1996, 35, 331–342. [Google Scholar] [CrossRef]
- Gao, M.C.; Hou, J.C. Finite time linear quadratic control for weakly regular linear systems. IMA J. Math. Control Inf. 2001, 18, 405–425. [Google Scholar] [CrossRef]
- Dabiri, A.; Chahrogh, L.K.; Machado, J.A.T. Closed-form Solution for The Finite-horizon Linear-quadratic Control Problem of Linear Fractional-order Systems. In Proceedings of the 2021 American Control Conference (ACC), New Orleans, LA, USA, 25–28 May 2021. [Google Scholar]
- Shi, S. H∞ output feedback stabilization for continuous-time switched linear systems. In Proceedings of the 2014 International Conference on Mechatronics and Control (ICMC), Jinzhou, China, 3–5 July 2014. [Google Scholar]
- Chang, X.; Yang, G. New Results on Output Feedback H∞ Control for Linear Discrete-Time Systems. IEEE Trans. Autom. Control 2014, 59, 1355–1359. [Google Scholar] [CrossRef]
- Kim, E. Output feedback tracking control of robot manipulators with model uncertainty via adaptive fuzzy logic. IEEE Trans. Fuzzy Syst. 2004, 12, 368–378. [Google Scholar] [CrossRef]
- Zhang, L.; Wang, Y.; Hou, Y.; Li, H. Fixed-time sliding mode control for uncertain robot manipulators. IEEE Access 2019, 7, 149750–149763. [Google Scholar] [CrossRef]
- Baek, J.; Jin, M.; Han, S. A New Adaptive Sliding-Mode Control Scheme for Application to Robot Manipulators. IEEE Trans. Ind. Electron. 2016, 63, 3628–3637. [Google Scholar] [CrossRef]
- Islam, S.; Liu, P.X. Robust sliding mode control for robot manipulators. IEEE Trans. Ind. Electron. 2011, 58, 2444–2453. [Google Scholar] [CrossRef]
- Ahmed, S.; Wang, H.; Tian, Y. Adaptive fractional high-order terminal sliding mode control for nonlinear robotic manipulator under alternating loads. Asian J. Control 2021, 23, 1900–1910. [Google Scholar] [CrossRef]
- Feng, Y.; Zhou, M.; Yu, X.; Han, F. Full-order sliding-mode control of rigid robotic manipulators. Asian J. Control 2019, 21, 1228–1236. [Google Scholar] [CrossRef]
- Qi, W.; Zong, G.; Karimi, H.R. Sliding mode control for nonlinear stochastic semi-Markov switching systems with application to space robot manipulator model. IEEE Trans. Ind. Electron. 2020, 67, 3955–3966. [Google Scholar] [CrossRef]
- Sun, F.; Li, L.; Li, H.; Liu, H. Neuro-fuzzy dynamic inversionbased adaptive control for robotic manipulators—Discrete time case. IEEE Trans. Ind. Electron. 2007, 54, 1342–1351. [Google Scholar] [CrossRef]
- Fateh, S.; Fateh, M.M. Adaptive fuzzy control of robot manipulators with asymptotic tracking performance. J. Control Autom. Electr. Syst. 2020, 31, 52–61. [Google Scholar] [CrossRef]
- Fan, Y.; An, Y.; Wang, W.; Yang, C. TS Fuzzy Adaptive Control Based on Small Gain Approach for an Uncertain Robot Manipulators. Int. J. Fuzzy Syst. 2020, 22, 930–942. [Google Scholar] [CrossRef]
- He, W.; Dong, Y.; Sun, C. Adaptive neural impedance control of a robotic manipulator with input saturation. IEEE Trans. Syst. Man Cybern. Syst. 2016, 46, 334–344. [Google Scholar] [CrossRef]
- Zhou, Q.; Zhao, S.; Li, H.; Lu, R.; Wu, C. Adaptive neural network tracking control for robotic manipulators with dead zone. IEEE Trans. Neural Netw. Learn. Syst. 2019, 30, 3611–3620. [Google Scholar] [CrossRef] [PubMed]
- Nikdel, N.; Nikdel, P.; Badamchizadeh, M.A.; Hassanzadeh, I. Using Neural Network Model Predictive Control for Controlling Shape Memory Alloy-Based Manipulator. IEEE Trans. Ind. Electron. 2013, 61, 1394–1401. [Google Scholar] [CrossRef]
- Yen, V.T.; Nan, W.Y.; Van Cuong, P.; Quynh, N.X.; Thich, V.H. Robust adaptive sliding mode control for industrial robot manipulator using fuzzy wavelet neural networks. Int. J. Control Autom. Syst. 2017, 15, 2930–2941. [Google Scholar] [CrossRef]
- Hu, J.; Wang, P.; Xu, C.; Zhou, H.; Yao, J. High accuracy adaptive motion control for a robotic manipulator with model uncertainties based on multilayer neural network. Asian J. Control 2021, 24, 1503–1514. [Google Scholar] [CrossRef]
- Liu, H.; Sun, J.; Nie, J.; Zou, L. Observer-based adaptive second-order non-singular fast terminal sliding mode controller for robotic manipulators. Asian J. Control 2021, 23, 1845–1854. [Google Scholar] [CrossRef]
- Xiao, B.; Yang, X.; Karimi, H.R.; Qiu, J. Asymptotic tracking control for a more representative class of uncertain nonlinear systems with mismatched uncertainties. IEEE Trans. Ind. Electron. 2019, 66, 9417–9427. [Google Scholar] [CrossRef]
- Song, T.; Fang, L.; Wang, H. Model-free finite-time terminal sliding mode control with a novel adaptive sliding mode observer of uncertain robot systems. Asian J. Control 2021, 24, 1437–1451. [Google Scholar] [CrossRef]
- Sun, W.; Wu, Y.; Lv, X. Adaptive Neural Network Control for Full-State Constrained Robotic Manipulator With Actuator Saturation and Time-Varying Delays. IEEE Trans. Neural Netw. Learn. Syst. 2021, 33, 3331–3342. [Google Scholar] [CrossRef]
- Zhou, Q.; Wang, L.; Wu, C.; Li, H.; Du, H. Adaptive fuzzy control for nonstrict-feedback systems with input saturation and output constraint. IEEE Trans. Syst. Man Cybern. Syst. 2016, 47, 2209–2217. [Google Scholar] [CrossRef]
- Yu, X.; Zhang, S.; Fu, Q.; Xue, C.; Sun, W. Fuzzy Logic Control of an Uncertain Manipulator with Full-State Constraints and Disturbance Observer. IEEE Access 2020, 8, 24284–24295. [Google Scholar] [CrossRef]
- Yang, T.; Sun, N.; Fang, Y.; Xin, X.; Chen, H. New adaptive control methods for n-link robot manipulators with online gravity compensation: Design and experiments. IEEE Trans. Ind. Electron. 2021, 69, 539–548. [Google Scholar] [CrossRef]
- Tang, L.; Liu, Y.-J.; Tong, S. Adaptive neural contro lusing reinforcement learning for a class of robot manipulator. Neural Comput. Appl. 2013, 25, 135–141. [Google Scholar] [CrossRef]
- Li, Y.; Chen, L.; Tee, K.P.; Li, Q. Reinforcement learning control for coordinated manipulation of multi-robots. Neurocomputing 2015, 170, 168–175. [Google Scholar] [CrossRef]
- Xie, Z.; Sun, T.; Kwan, T.H.; Mu, Z.; Wu, X. A New Reinforcement Learning Based Adaptive Sliding Mode Control Scheme for Free-Floating Space Robotic Manipulator. IEEE Access 2020, 8, 127048–127064. [Google Scholar] [CrossRef]
- Kumar, A.; Sharma, R. Linguistic Lyapunov reinforcement learning control for robotic manipulators. Neurocomputing 2018, 272, 84–95. [Google Scholar] [CrossRef]
- Yih, C.C.; Wu, S.J. Adaptive task-space manipulator control with parametric uncertainties in kinematics and dynamics. Appl. Sci. 2020, 10, 8806. [Google Scholar] [CrossRef]
- Han, S.H.; Tran, M.S.; Tran, D.T. Adaptive sliding mode control for a robotic manipulator with unknown friction and unknown control direction. Appl. Sci. 2021, 11, 3919. [Google Scholar] [CrossRef]
- Gao, M.; Ding, L.; Jin, X. ELM-Based Adaptive Faster Fixed-Time Control of Robotic Manipulator Systems. IEEE Trans. Neural Netw. Learn. Syst. 2021, 32, 1–13. [Google Scholar] [CrossRef]
- Liu, C.; Wen, G.; Zhao, Z.; Sedaghati, R. Neural-network-based sliding-mode control of an uncertain robot using dynamic model approximated switching gain. IEEE Trans. Cybern. 2020, 51, 2339–2346. [Google Scholar] [CrossRef]
- Doan, Q.V.; Vo, A.T.; Le, T.D.; Kang, H.J.; Nguyen, N.H.A. A novel fast terminal sliding mode tracking control methodology for robot manipulators. Appl. Sci. 2020, 10, 3010. [Google Scholar] [CrossRef]
- Mobayen, S.; Mofid, O.; Din, S.U.; Bartoszewicz, A. Finite-time tracking controller design of perturbed robotic manipulator based on adaptive second-order sliding mode control method. IEEE Access 2021, 9, 71159–71169. [Google Scholar] [CrossRef]
- Yin, F.; Wen, C.; Ji, Q.; Zhang, H.; Shao, H. A compensation sliding mode control for machining robotic manipulators based on nonlinear disturbance observer. Trans. Inst. Meas. Control 2022, 44, 01423312221083771. [Google Scholar] [CrossRef]
- Jia, S.; Shan, J. Continuous integral sliding mode control for space manipulator with actuator uncertainties. Aerosp. Sci. Technol. 2020, 106, 106192. [Google Scholar] [CrossRef]
- Jia, S.; Shan, J. Finite-time trajectory tracking control of space manipulator under actuator saturation. IEEE Trans. Ind. Electron. 2019, 67, 2086–2096. [Google Scholar] [CrossRef]




















| Robotic manipulator | Parameter | Value |
| () | 0.5 | |
| ( | 0.5 | |
| ( | 5 | |
| ( | 2 | |
| () | 9.8 |
| Parameter | Value | Value |
|---|---|---|
| 10 | 10 | |
| 1 | 1 | |
| 0.1 | 0.1 | |
| 0.1 | 0.1 | |
| 0.1 | 0.1 | |
| 0.1 | 0.1 | |
| 0.01 | 0.01 | |
| 0.05 | 0.05 | |
| 0.1 | 0.1 |
Disclaimer/Publisher’s Note: The statements, opinions and data contained in all publications are solely those of the individual author(s) and contributor(s) and not of MDPI and/or the editor(s). MDPI and/or the editor(s) disclaim responsibility for any injury to people or property resulting from any ideas, methods, instructions or products referred to in the content. |
© 2023 by the authors. Licensee MDPI, Basel, Switzerland. This article is an open access article distributed under the terms and conditions of the Creative Commons Attribution (CC BY) license (https://creativecommons.org/licenses/by/4.0/).
Share and Cite
Xie, Z.; Lin, Q. Reinforcement Learning-Based Adaptive Position Control Scheme for Uncertain Robotic Manipulators with Constrained Angular Position and Angular Velocity. Appl. Sci. 2023, 13, 1275. https://doi.org/10.3390/app13031275
Xie Z, Lin Q. Reinforcement Learning-Based Adaptive Position Control Scheme for Uncertain Robotic Manipulators with Constrained Angular Position and Angular Velocity. Applied Sciences. 2023; 13(3):1275. https://doi.org/10.3390/app13031275
Chicago/Turabian StyleXie, Zhihang, and Qiquan Lin. 2023. "Reinforcement Learning-Based Adaptive Position Control Scheme for Uncertain Robotic Manipulators with Constrained Angular Position and Angular Velocity" Applied Sciences 13, no. 3: 1275. https://doi.org/10.3390/app13031275
APA StyleXie, Z., & Lin, Q. (2023). Reinforcement Learning-Based Adaptive Position Control Scheme for Uncertain Robotic Manipulators with Constrained Angular Position and Angular Velocity. Applied Sciences, 13(3), 1275. https://doi.org/10.3390/app13031275
