Abstract
The study first proposes the difficult nonlinear convergent radius and convergent rate formulas and the complete derivations of a mathematical model for the nonlinear five-link human biped robot (FLHBR) system which has been a challenge for engineers in recent decades. The proposed theorem simultaneously has very distinctive superior advantages including the stringent almost disturbance decoupling feature that addresses the major deficiencies of the traditional singular perturbation approach without annoying “complete” conditions for the discriminant function and the global exponential stability feature without solving the impractical Hamilton–Jacobi equation for the traditional H-infinity technique. This article applies the feedback linearization technique to globally stabilize the FLHBR system that greatly improved those shortcomings of nonlinear function approximator and make the effective working range be global for whole state space, whereas the traditional Jacobian linearization technique is valid only for areas near the equilibrium point. In order to make some comparisons with traditional approaches, first example of the representative ones, that cannot be addressed well for the pioneer paper, is shown to demonstrate the fact that the effectiveness of the proposed main theorem is better than the traditional singular perturbation technique. Finally, we execute a second simulation example to compare the proposed approach with the traditional PID approach. The simulation results show that the transient behaviors of the proposed approach including the peak time, the rise time, the settling time and the maximum overshoot specifications are better than the traditional PID approach.
1. Introduction
Nowadays, for many industrial and medical applications, the five-link human biped robot (FLHBR) has become an interesting and significant topic for many researchers [1,2,3,4,5]. The important research of FLHBR systems is to design and manufacture more efficient artificial limbs with good driving abilities for handicapped patients and implement devices to perform difficult tasks in hazardous environments or onerous reiterative works [6,7]. Investigations of dynamic modeling and robust control for FLHBR system have recently attracted increased attention due to their higher mobility than traditional wheeled robots. Although wheeled vehicles are very popular, they suffer from many limitations which destroy their efficiency. For instance, they can only reliably move in some special limited types of terrain. In contrast, FLHBR systems give great flexibility in selecting the type of the proceeded terrain [6,7]. The FLHBR system has many theoretical and practical limitations including nonlinear dynamics, inherent instability and robust control in a given time. Controlling the global stability of FLHBR systems during walking is a difficult issue. Several widely used effective control methods have been proposed in the literature to address the global stability, dynamic model and robust control of FLHBR systems such as the proportional-integral-derivative (PID) control [8], the model predictive control [3], the adaptive control [5,9] and the sliding mode control [6,10]. The PID control method requires to transform the original, highly nonlinear model of the FLHBR system into an empirically “linearized” model which inevitably limits the locomotion mobility. By assuming small body angular velocity, which is effective for certain FLHBR systems, the centroidal dynamics can be “linearized” and utilized in a model predictive control fashion that works only in areas near the equilibrium point [3,11]. Recently, researches on adaptive control have focused on FLHBR control tasks to solve real-life applications [4]. However, the adaptive control is largely limited due to the complex updating rule. A sliding mode control with appealing robust performance is proposed to track pre-specified gait trajectories for the FLHBR system while climbing stairs [6]. However, the inevitable chattering phenomenon limits the locomotion stability of the FLHBR system.
For the locomotion tracking control of the FLHBR system, both the disturbance rejection ability and the global stability performance need to be simultaneously achieved [12], and then some effective methods have been widely applied such as the model predictive control [3], the deep reinforcement learning [4], and backstepping control [13]. Nevertheless, the aforementioned controls applied the Jacobian linearization technique to obtain the linearized model of the nonlinear FLHBR system which is only effective in areas near the equilibrium point. To well address the severe limitation of FLHBR systems, many researches apply function approximators to solve it, such as the neural network technique [4,14] and the fuzzy logic technique [15,16]. The neural network technique for robust controlling FLHBR systems has outstanding advantages and features [4]. However, it has the following inevitably impractical limitations: (1) the interconnected neural network rules are complex; (2) the neural network technique is a supervised learning technique and requires many sampling points; (3) the necessary input variable of the FLHBR system is built only by current states of neural network. The fuzzy logic technique is mainly limited by the fact that the fuzzy rules are constructed by the experience of many experts accumulated in the past [16]. Motivated by the above analysis and investigation, the robust locomotion control of the FLHBR system is still a challenging issue for the disturbance rejection ability and global stability performance. In this paper, we first apply a feedback linearization technique to well address above limitations with multi-performances including the almost disturbance rejection performance, the global stability, adjustable convergence rate and convergence radius. Recently, the feedback linearization technique has attracted many researches such as the autonomous arm [17], the swash mass helicopter [18], the wheeled inverted pendulum mobile robot [19], the bending soft pneumatic actuators [20], the cascaded power electronic transformer [21] and the grid-tied synchronverter [22].
Practical industrial systems are always corrupted by different types of unknown disturbances, and one important issue in robust controller design is to attenuate their influence on the output terminal as much as possible, since it is difficult to realize exact disturbance decoupling. When “exact” disturbance decoupling performance fails, it is natural to investigate the almost disturbance decoupling performance, which is to design a robust control that attenuates the influence of the unknown disturbance on the output terminal up to an arbitrary degree. Stricter definition of almost disturbance decoupling performance with simultaneous absolute-value sense, integration-value sense and input-to-state stable sense had been exploited in [23,24,25]. However, refs. [23,24] have shown the fact that some specific control systems cannot achieve the almost disturbance decoupling performance subject to one sufficient condition that the discriminant functions should possess a “complete” condition such as the following control system: , , , where and denote the unknown disturbance, input and output, respectively. In contrast, this article applies the feedback linearization approach to address the almost disturbance decoupling performance for FLHBR systems. Finally, we perform a simulation by the traditional PID control in the simulation section to exploit the fact that the transient dynamics of the proposed feedback linearization approach such as the peak time, the rise time, the settling time and the maximum overshoot specifications is better than the traditional PID approach.
The main contributions of the proposed approach in this study are summarized as follows:
(1) The study first proposes the complete derivations of a mathematical model for highly nonlinear FLHBR systems.
(2) This article first gives the formulas of exponential convergent rate and convergent radius for the FLHBR system.
(3) The FLHBR system is addressed well by using the feedback linearization technique to take the place of traditional singular perturbation technique without the limitation that the discriminant function requires a complete condition [23,24].
(4) The exponential stability of FLHBR systems is guaranteed in this study without solving the troublesome Hamilton–Jacobi equation which is critical work for the traditional H-infinity approach [26].
(5) The article proposes a one-controller design of FLHBR systems to improve the severe shortcomings of traditional function approximators such as the fuzzy control approach and neural network control approach without relying on the experience of many experts accumulated in the past and complex interconnected neural network rules, respectively.
(6) The proposed stability theorem of FLHBR systems in this article is global for whole state space and takes the place of the traditional Jacobian linearization technique that is only local for areas near the equilibrium point [27].
(7) This article designs a powerful human–machine interface of robust controller design for FLHBR systems using Python and dynamically shows the convergent trajectory of the system states.
2. Complete Mathematical Model of the FLHBR System
Based on the FLHBR system considered in this study, the FLHBR kinematic model is completely derived via the Lagrange equation that mainly investigates the energy analysis. The schematic diagram of the FLHBR is shown in Figure 1 and the Lagrange equation is written by
and
where denotes the kinetic energy of the FLHBR system; is the potential energy of the FLHBR system; denotes the Lagrange function of the FLHBR system; is the i-joint torque; denotes the angle of link1~link5; is the velocity of link1~link5, kg, are the masses of link1~link5, denote the masses of exoskeleton thighs, denote the masses of legs, denotes the mass of torso, m, m are the lengths of link1, 2, 4, 5, m, m, m are the distances between the mass centers of link1, 2, 3, 4, 5 and those lower joint, kg·m2, kg·m2, kg·m2, are the moments of rotational inertias for link1, 2, 3, 4, 5 and m/s2 is the acceleration of gravity.
Figure 1.
The schematic diagram of a five-link human biped robot.
Define the input, output, state, noise and matched uncertainty variables of the FLHBR to be , , , , , , , , , , , , , , . The complete derivations of mathematical dynamical model and the related definitions of variables are sown in Appendix A. Then the dynamic equation of the FLHBR system can be derived as
where
First, define the nominal system of the FLHBR system to be
with the well-defined relative degree [28] that meets
<i> the following Lie differential equation holds:
for , , where the symbol L denotes the Lie differentiation operation [28,29].
<ii> the following Lie differentiation matrix possesses the nonsingular performance:
and the following function
is an involutive distribution [30].
3. Robust Control Design of the FLHBR System
Since the FLHBR system has the well-defined relative degree property and involutive distribution performance, a differentiable, smooth and bijective function defined by
is a smooth and bijective function that transforms the highly nonlinear FLHBR to be a linear subsystem [30].
In (60)~(69), there are ten variables due to the relative degree vector of the nonlinear FLHBR system described by (3)~(8), then the FLHBR system is fully feedback linearizable. An important achievement was pioneered by [30], namely, that under the assumption of the fully linearizable feedback, the function defined as transforms the original FLHBR system into a linear subsystem as follows:
Since
then the transformed subsystem is written as
hence
To construct the desired feedback linearization controller
we apply the vector
and the virtual input [30]
Then we can transform the original FLHBR system into the following model
From (76), (78) and (85), we obtain
We construct the feedback linearization controller by with almost disturbing decoupling performance to be [30]
where is the desired tracking signal and are elements of the Hurwitz matrix shown by
Based on a feedback linearization approach, we propose the robust controller with the pre-specified tracking signals as follows:
For the convenience of the following discussions, let’s define some related parameters as
where the Lyapunov system matrix is a Hurwitz matrix whose eigenvalues lie in the left half coordinate plane and one can use Matlab to obtain the adjoining Lyapunov system matrix of the following Lyapunov equation [31]:
and
To demonstrate further the complete control design of nonlinear FLHBR systems, let us make two definitions as
Definition 1.
The nonlinear control system with the input , the state and the smooth function is called to have the input-to-state stable performance if
where , are -class function, -class function, respectively [32].
Definition 2.
A nonlinear control system with the external disturbance input is called to have the almost disturbance decoupling property if
- (a)
- The nonlinear control system possesses the input-to-state stable performance.
- (b)
- The following two inequalities hold:andwhere denotes the initial state of the control system, is -class function, , are -class functions and [25,33].
It is worth mentioning that the aforementioned definition (hypothesis) of the almost disturbance decoupling property is more stringent in many ways when compared with the earlier definitions shown first for linear control engineering systems and then inherited for nonlinear control systems which are needed for closed-loop feedback systems:
(Case 1) input-to-state stable performance when the initial state of control system is zero;
(Case 2) globally asymptotical stability of the equilibrium point when the external disturbance input is set to be zero;
Moreover, the above definition of the almost disturbance decoupling property possesses three features as follows [24]:
The first feature of the above definition is the demand of input-to-state stable performance. In fact, while for linear control systems the input-to-state stable performance is implied by (120), this is not met for nonlinear control systems. The second feature is the appearance of function r33 for (120). While for earlier definitions the function is set to be r33 (x) = x, in fact, this flexibility is required only for special cases including linear cases. The third feature lies in the input-to-state stable performance that needs the asymptotical stability for the equilibrium point corresponding to the tracking signal and the origin point. As we shall see, for linear control systems, once the stabilization problem is addressed, the tracking problem is solved, this is not so for nonlinear ones. Based on the more stringent definition of the almost disturbance decoupling property, the robustness of the proposed feedback linearization approach is stronger. Moreover, according to , it is easy to obtain
and
Therefore, we can conclude the fact that the root mean square error can be implied by the almost disturbance decoupling condition (121).
From (86), we obtain
From (106), (108) and (122), we obtain
Substituting (87) and (88) into (123) obtains
Then, we obtain
where
Then, we verify the fact that the feedback linearization control achieves the almost disturbance decoupling performance, and the globally exponential stability of the FLHBR system in Appendix B. Therefore, the proposed feedback linearization control (89) will indeed drive the output state tracking errors of the FLHBR system (3)–(8), starting from pre-specified initial conditions, to the global ultimate attractor.
It is worth noting that we can extend the above overall design process to achieve two more general theorems for general nonlinear control systems with uncertainties and disturbances as follows:
i.e.,
where , , , , are vectors of states, inputs, disturbance-adjoining terms, outputs, and disturbances, respectively, for the nonlinear system. We consider the relating vectors, and to be smooth functions. The uncertain vector is considered to be matched uncertainty as ,
Assumption 1.
The following inequality holds:
where , .
Define the nominal system of the nonlinear system to be
with the well-defined relative degree that meets
<i> the following Lie differentiation equation holds:
for , , where is the input (or output) number and the symbol L denotes the Lie differentiation operation.
<ii> the following Lie differentiation matrix possesses the nonsingular performance:
and the following function
is an involutive distribution.
Based on the property that the nonlinear system has the well-defined relative degree and involutive distribution, the following mapping defined as
and
is a smooth and bijective function that transforms the highly nonlinear system to be a nonlinear subsystem and a linear subsystem , respectively.
Properly design the Lyapunov functions and for the nonlinear subsystem equation and linear subsystem equation, respectively, and then obtain the composite Lyapunov function of the transformed system to be
and
Theorem 1.
There exists a differentiable, smooth and bijective function for the transformed nonlinear subsystem and the linear subsystem such that the following inequalities hold:
and the proposed robust control is constructed by
where the identifying matrix is a positive definite matrix and the identifying parameter passes through the origin and meets the following condition
Then the nonlinear system based on the proposed robust control possesses the almost disturbance decoupling property and the tracking errors are globally reduced by the condition with the exponential convergent rate
and the exponential convergent radius
It is worth noting that if the nonlinear system is fully feedback linearizable [33], i.e., the dimension of the nonlinear system is equal to the relative degree parameter, then the simplified version of Theorem 1 can be presented as Theorem 2.
Theorem 2.
The almost decoupling disturbance and robust tracking problems of the nonlinear system can be well addressed via the proposed controller by changing the inequality with
Moreover, the tracking errors of the nonlinear system is globally reduced with the exponentially convergent rate
where
and the exponentially convergent radius
FLHBRs have good mobility and can easily move in different road environments, including up and down slopes, regions containing obstacles or rough terrains. However, since almost all of them are high order, highly nonlinear control systems, their global stability and robust control approach are important issues. In this study, an effective algorithm and block diagram of robust tracking control design shown in Figure 2 are summarized as follows, and its human–machine interface via the Python program is shown to design the robust control in Section 4.
Figure 2.
Block diagram for the proposed algorithm of designing the feedback linearization control.
(Step 1) First calculate the relative degree according to the known outputs of the FLHBR system.
(Step 2) Use (57) to derive the differentiable, smooth and bijective transformation of the FLHBR system.
(Step 3) With the aid of Matlab, design matrices to be Hurwitz according to (88) (113) and obtain the positive definite matrix .
(Step 4) Apply (A90)~(A91) to design the Lyapunov function of the transformed subsystem.
(Step 5) Apply (A93) and (A95)~(A98) to design parameters such that the condition is satisfied.
(Step 6) Once all the above conditions are tested, we can directly design the controller via (89).
4. Simulation of the FLHBR System
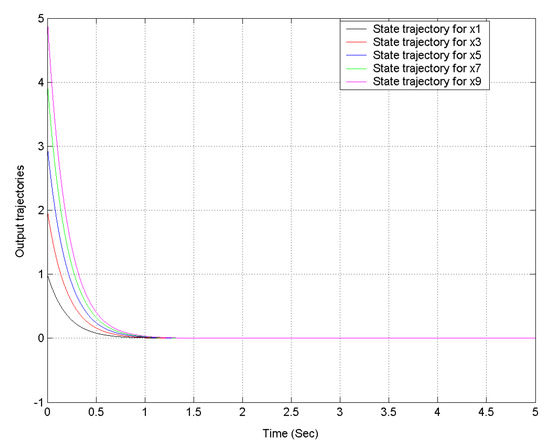
Proper designing , , , , , , , , , , , , proves the fact that all the conditions of Theorem 2 are satisfied. The output state trajectories of the FLHBR system for and are shown in Figure 3 and Figure 4, respectively, with the aid of Matlab, where the related simulation parameters are shown in Table 1. Noting that the proposed feedback linearization control indeed makes the outputs of the FLHBR system track the desired tracking signals . Based on the comparison of Figure 3 and Figure 4, it is evident to see that the convergent rates of output tracking errors for the FLHBR system with small are better than large .
Figure 3.
The output state trajectories for .
Figure 4.
The output state trajectories for .
Table 1.
The related simulation parameters.
To allow researchers to systematically design the proposed feedback linearization control, we apply “Python” to build a human–machine interface system. The necessary inputs of the human–machine interface system include: (i) the dynamic equation of the nonlinear FLHBR system; (ii) the numbers of states, outputs, inputs and the desired tracking signals of the nonlinear FLHBR system; (iii) the external disturbances, the Lyapunov functions for transformed subsystems. The human–machine interface system of the controller design takes advantage of its symbol-operation feature for “Python” to produce two executable Matlab files including cytquadff_new1.m and cytquadsimulation_new1.m for the FLHBR system. Therefore, we can execute these two executable Matlab files to dynamically show the output state trajectories before, on and after entering the convergent radius of the global ultimate attractor symbolized by blue circles shown in Figure 5, Figure 6 and Figure 7, respectively.
Figure 5.
Output state values before entering the convergent radius.
Figure 6.
Output state values on entering the convergent radius.
Figure 7.
Output state values after entering the convergent radius.
5. Comparisons to Traditional Approaches
We make some comparisons between the new feedback linearization approach and the traditional singular perturbation method that pioneered the almost disturbance decoupling issue [23,24] in this section. The impractical shortcoming of the traditional singular perturbation method requires to meet the sufficient condition that the system dynamics multiplied by the external disturbance should satisfy the annoying “structural triangle condition” for the almost disturbance decoupling issue. The pioneering work carried out by [23,24] points out the fact that the following nonlinear control system cannot well address the almost disturbance decoupling issue:
From (177) and (178), we can apply Lie differentiation to derive the following results:
, , , and
Since is not a complete distribution, the critical condition of [23,24] is not well addressed. In contrast, the following proposed feedback linearization control can well solve the almost disturbance decoupling issue:
The output state trajectory of the above investigated control system with the proposed feedback linearization control described by (180) is shown in Figure 8. Based on the observation of Figure 8, the proposed robust control can indeed drive the output state trajectory to track the desired signal .
Figure 8.
The system output trajectory for (177).
To show the superiority of the proposed feedback linearization control, we compare the convergence rate performance with traditional PID control [34] shown by (181)
Next, we compare the proposed feedback linearization approach with the traditional PID control. In what follows, manual adjusting of the traditional PID control for the FLHBR system is shown. The manual adjusting of the related KP, KI, KD gains is executed by trial and error. We first set the related KP, KI, KD gains to be zero and then increase the proportional gain KP until the output of the loop is motivated. This is followed by the adjustment for the integral gain KI to optimize the output tracking error response. Finally, the differential gain KD is adjusted, together with the optimized KP, KI gains until a desired output tracking error response is achieved. Output tracking errors responses for pre-specified outputs x1 to x5 are shown in Figure 9.
Figure 9.
The output trajectories by using PID controller.
Comparing Figure 9 with Figure 3 proves the fact that the convergence rate with our proposed feedback linearization controller is better than the conventional PID control. From Figure 3 and Figure 9, we can summarize a numerical evaluation shown in Table 2 which reports the quantitative comparison in terms of transient dynamics for the proposed approach and the PID approach. Observing the data shown in Table 2 yields the fact that the transient dynamics of the proposed feedback linearization approach is better that the PID approach.
Table 2.
Comparison of transient dynamics for proposed approach and PID approach.
6. Conclusions
The FLHBR system possesses highly nonlinear dynamics and many degrees of freedom that are not easy to manipulate. The FLHBR system is also unavoidably subjected to all kinds of external disturbances such as contact with the ground and different ground situations. As a result, accurately modeling the dynamics and walking stability of FLHBR systems are greatly difficult. The study first presents the complete derivations of a mathematical model for highly nonlinear FLHBR systems, and proposes the robust control by the feedback linearization technique to greatly improve the shortcoming of the traditional singular perturbation approach that requires to meet the difficult complete condition for the discriminant function, and the restriction of the traditional H-infinity technique that needs to solve the Hamilton–Jacobi equation.
This study first proposes the very valuable formulas of nonlinear exponential convergence rate and convergent radius for the highly nonlinear FLHBR system. Finally, through the demonstration of the Matlab simulation, the responses are shown to have good tracking performance as well as better robustness performance as compared with the traditional singular perturbation method. In the final section, we compare some simulations of the proposed feedback linearization approach with the traditional PID approach. The simulation results show that the transient dynamics of the proposed approach including the peak time, the rise time, the settling time and the maximum overshoot specifications is superior to the traditional PID approach.
In future works, we hope that a real FLHBR system using the proposed main theorem can be implemented via hardware devices. Based on the important contribution that this article has first proposed on the convergence rate formula of the general nonlinear system, we may use the particle swarm optimization and linear quadratic regulator algorithms to achieve the more optimal performances for nonlinear FLHBR system under the guarantee of globally exponential stability in the near future.
Author Contributions
Conceptualization, K.-H.C.; methodology, C.-C.C.; software, Y.-F.H.; validation, Y.-F.H.; formal analysis, Y.-F.H.; investigation, Y.-F.H.; resources, K.-H.C.; data curation, K.-H.C.; writing—original draft preparation, C.-C.C.; writing—review and editing, K.-H.C. and Y.-F.H.; visualization, Y.-F.H.; project administration, Y.-F.H. All authors have read and agreed to the published version of the manuscript.
Funding
This research received no external funding.
Institutional Review Board Statement
Not applicable.
Informed Consent Statement
Not applicable.
Data Availability Statement
Not applicable.
Conflicts of Interest
The authors declare no conflict of interest.
Appendix A
In this appendix, we show the complete derivations of the mathematical model for nonlinear FLHBR system. Based on the geometric coordinate of the FLHBR system shown in Figure 1, the coordinate and velocity of each link is written as
According to (A1)~(A10), the kinetic energy and the potential energy of the FLHBR system, and related differentiations can be derived as
where kg, are the masses of link1~link5, denote the masses of exoskeleton thighs, denote the masses of legs, denotes the mass of torso, m, m are the lengths of link1, 2, 4, 5, m, are the distances between the mass centers of link1, 2, 3, 4, 5 and those lower joints, kg·m2, kg·m2, kg·m2, are the moments of rotational inertias for link1, 2, 3, 4, 5 and m/s2 is the acceleration of gravity.
Substituting (A12)~(A76) into (1)~(2) yields
where
Define the input, output, state, noise and matched uncertainty variables of the FLHBR to be , , , , , , , , , , , , , , . Then the dynamic equation of the FLHBR system can be derived shown in (3)~(51).
Appendix B
In this appendix, we prove that the proposed feedback linearization control can achieve the almost all disturbance decoupling performance. Properly design the composite Lyapunov functions [35] for transformed subsystem (125)~(126) to be
and
Then, the differentiation of the composite Lyapunov function is given by
where
i.e.,
Define
Then
Let the tracking error of the transformed system be
Then we obtain
Firstly, applying (A101) easily yields
i.e.,
Integrate both sides of (A103) to obtain
i.e.,
hence
Similarly, we obtain the tracking error for as
Therefore, we verify the significant result that the third condition of the almost disturbance decoupling performance is well proved.
Next, we need to prove that the first condition of the almost disturbance decoupling performance holds. From (A101), we can obtain
Define
From (A108) and (A109), we obtain
i.e.,
According to the following inequality, the output state trajectory is located in the outside of the global ultimate attractor:
We obtain
From (A90) and (A91), we obtain
Let and we obtain
Similarly, we obtain
Let and we obtain
Combining (A115) and (A117) yields
(A112), (A113) and (A118) imply that the system is in the input-to-state stable state for the disturbance input. Then the input-to-state stable theorem in [32] concludes the significant result that the first condition of the almost disturbance decoupling performance is completely verified.
Next, we need to prove that the second condition of the almost disturbance decoupling performance holds.
Combining (A108), (A109), (A118) and (A97) yields
Use the comparison theorem in [33] for (A119) to obtain
Then, we obtain the tracking error with integral sense to be
and
So, we can prove that the second condition of the almost disturbance decoupling performance holds, and the convergent rate is given by .
Combining (A108) and (A109) yields
Let us consider the range . It is an easy routine to obtain , and then the global ultimate attractor of the transformed system is written by
with the convergent radius .
Next, we need to prove the globally exponential stability of the transformed system. Combining (A118) and (A120) obtains
and
Then
Then we can conclude the significant result that the globally exponential stability of the transformed system is well proved.
References
- Vatankhah, M.; Kobravi, H.; Ritter, A. Bio-inspired Model of Humanoid Robot for Ascending Movement. In Proceedings of thein 2019 41st Annual International Conference of the IEEE Engineering in Medicine and Biology Society (EMBC), Berlin, Germany, 23–27 July 2019; pp. 5287–5290. [Google Scholar]
- Seleem, I.A.; Assal, S.F.M.; Mohamed, A.M. Cyclic gait planning and control of underactuated five-link biped robot during single support and impact phases for normal walking. In Proceedings of the 2018 IEEE International Conference on Industrial Technology (ICIT), Lyon, France, 20–22 February 2018; pp. 123–128. [Google Scholar]
- Shen, J.; Hong, D. A Novel Model Predictive Control Framework Using Dynamic Model Decomposition Applied to Dynamic Legged Locomotion. In Proceedings of the 2021 IEEE International Conference on Robotics and Automation (ICRA), Xi’an, China, 30 May–5 June 2021; pp. 4926–4932. [Google Scholar]
- Yuan, H.; Song, S.; Du, R.; Zhu, S.; Gu, J.; Zhao, M.; Pang, J. A Capturability-based Control Framework for the Underactuated Bipedal Walking. In Proceedings of the 2021 IEEE International Conference on Robotics and Automation (ICRA), Xi’an, China, 30 May–5 June 2021; pp. 6804–6810. [Google Scholar]
- Yang, W.; Posa, M. Impact Invariant Control with Applications to Bipedal Locomotion. In Proceedings of the 2021 IEEE/RSJ International Conference on Intelligent Robots and Systems (IROS), Prague, Czech Republic, 27 September–1 October 2021; pp. 5151–5158. [Google Scholar]
- Seleem, I.A.; Assal, S.F.M. Sliding mode control of underactuated five-link biped robot for climbing stairs based on real human data. In Proceedings of the 2017 IEEE International Conference on Industrial Technology (ICIT), Toronto, ON, Canada, 22–25 March 2017; pp. 878–883. [Google Scholar]
- Fevre, M.; Lin, H.; Schmiedeler, J.P. Stability and Gait Switching of Underactuated Biped Walkers. In Proceedings of the 2019 IEEE/RSJ International Conference on Intelligent Robots and Systems (IROS), Macau, China, 3–8 November 2019; pp. 2279–2285. [Google Scholar]
- Tabar, A.F.; Khoogar, A.R.; Vali, A.R. Neural Network Control of a New Biped Robot Model with Back Propagation Algorithm. In Proceedings of the 16th IEEE International Symposium on Robot and Human Interactive Communication, Jeju, Republic of Korea, 26–29 August 2007; pp. 1191–1196. [Google Scholar]
- Vaghei, Y.; Ghanbari, A.; Noorani, S.M.R.S. Actor-critic neural network reinforcement learning for walking control of a 5-link bipedal robot. In Proceedings of the 2014 Second RSI/ISM International Conference on Robotics and Mechatronics (ICRoM), Tehran, Iran, 15–17 October 2014; pp. 773–778. [Google Scholar]
- Saglam, C.O.; Byl, K. Stability and gait transition of the five-link biped on stochastically rough terrain using a discrete set of sliding mode controllers. In Proceedings of the 2013 IEEE International Conference on Robotics and Automation, Karlsruhe, Germany, 6–10 May 2013; pp. 5675–5682. [Google Scholar]
- Naimi, A.; Deng, J.; Vajpayee, V.; Becerra, V.; Shimjith, S.R.; Arul, A.J. Nonlinear Model Predictive Control Using Feedback Linearization for a Pressurized Water Nuclear Power Plant. IEEE Access 2022, 10, 16544–16555. [Google Scholar] [CrossRef]
- Post, D.C.; Schmiedeler, J.P. Velocity disturbance rejection for planar bipeds walking with HZD-based control. In Proceedings of the 2014 IEEE/RSJ International Conference on Intelligent Robots and Systems, Chicago, IL, USA, 14–18 September 2014; pp. 4882–4887. [Google Scholar]
- Huang, T.Y.; Wu, S.H.; Tran, H.K. Gait control of a biped robot using an exact limit cycle trajectory and the backstepping method. In Proceedings of the SICE Annual Conference 2010, Taipei, Taiwan, 18–21 August 2010; pp. 1819–1824. [Google Scholar]
- Juang, J.-G. Fuzzy neural network approaches for robotic gait synthesis. IEEE Trans. Syst. Man Cybern. Part B (Cybernetics) 2000, 30, 594–601. [Google Scholar] [CrossRef] [PubMed]
- Wu, H.M.; Hwang, C.L. Trajectory-based control under ZMP constraint for the 3D biped walking via fuzzy control. In Proceedings of the 2011 IEEE International Conference on Fuzzy Systems (FUZZ-IEEE 2011), Taipei, Taiwan, 27–30 June 2011; pp. 706–712. [Google Scholar]
- Imani, B.; Ghanbari, A.; Noorani, S. Modeling, path planning and control of a planar five-link bipedal robot by an adaptive fuzzy computed torque controller (AFCTC). In Proceedings of the 2013 First RSI/ISM International Conference on Robotics and Mechatronics (ICRoM), Tehran, Iran, 13–15 February 2013; pp. 49–54. [Google Scholar]
- Zaoui, C.; Abrougui, H.; Meftah, M.A.; Hachicha, S.; Moulhi, A.; Dallagi, H. Mechanical Design and Control of an Arm with Two Degrees of Freedom for Inspection and Cleaning Operations. In Proceedings of the 2022 5th International Conference on Advanced Systems and Emergent Technologies (IC_ASET), Hammamet, Tunisia, 22–25 March 2022; pp. 532–537. [Google Scholar]
- Rouch, T.B.; Allahverdy, D.; Fakharian, A. Adaptive Controller for Swash Mass Helicopter based on Reinforcement Learning Algorithm. In Proceedings of the 2022 8th International Conference on Control, Instrumentation and Automation (ICCIA), Tehran, Iran, 2–3 March 2022; pp. 1–6. [Google Scholar]
- Lu, T.; Itagaki, F.; Nagatsu, Y.; Hashimoto, H. Dynamics and transformation control of a wheeled inverted pendulum mobile robot. In Proceedings of the 2022 IEEE/ASME International Conference on Advanced Intelligent Mechatronics (AIM), Sapporo, Japan, 11–15 July 2022; pp. 463–468. [Google Scholar]
- Xavier, M.S.; Fleming, A.J.; Yong, Y.K. Nonlinear Estimation and Control of Bending Soft Pneumatic Actuators Using Feedback Linearization and UKF. IEEE/ASME Trans. Mechatron. 2022, 27, 1919–1927. [Google Scholar] [CrossRef]
- Sun, Y.; Zhu, J.; Fu, C.; Chen, Z. Decoupling Control of Cascaded Power Electronic Transformer Based on Feedback Exact Linearization. IEEE J. Emerg. Sel. Top. Power Electron. 2022, 10, 3662–3676. [Google Scholar] [CrossRef]
- Busada, C.A.; Jorge, S.G.; Solsona, J.A. Feedback Linearization of a Grid-Tied Synchronverte. IEEE Trans. Ind. Electron. 2023, 70, 147–154. [Google Scholar] [CrossRef]
- Marino, R.; Respondek, W.; Schaft, A.J.V.D. Almost disturbance decoupling for single-input single-output nonlinear systems. IEEE Trans. Automat. Contr. 1989, 34, 1013–1017. [Google Scholar] [CrossRef]
- Marino, R.; Tomei, P. Nonlinear output feedback tracking with almost disturbance decoupling. IEEE Trans. Automat. Contr. 1999, 44, 18–28. [Google Scholar] [CrossRef]
- Zhang, C.H.; Wang, Z.; Cai, B.; Sun, Z.Y.; Tan, Q.Q. Adaptive almost disturbance decoupling for a class of uncertain nonlinear systems. In Proceedings of the 2017 36th Chinese Control Conference (CCC), Dalian, China, 26–28 July 2017; pp. 644–649. [Google Scholar]
- Ito, Y.; Fujimoto, K.; Tadokoro, Y. Kernel-Based Hamilton–Jacobi Equations for Data-Driven Optimal and H-Infinity Control. IEEE Access 2020, 8, 131047–131062. [Google Scholar] [CrossRef]
- Rotondo, D. Weighted Linearization of Nonlinear Systems. IEEE Trans. Circuits Syst. II Express Briefs 2022, 69, 3239–3243. [Google Scholar] [CrossRef]
- Drexler, D.A.; Ghita, M.; Kovács, L. On the relative degree of perturbed nonlinear systems. In Proceedings of the 2022 13th Asian Control Conference (ASCC), Jeju, Republic of Korea, 4–7 May 2022; pp. 1759–1764. [Google Scholar]
- Willigenburg, L.G.V.; Stigter, J.D.; Molenaar, J. Establishing local strong accessibility of large-scale nonlinear systems by replacing the Lie algebraic rank condition. In Proceedings of the 2021 European Control Conference (ECC), Rotterdam, The Netherlands, 29 June–2 July 2021; pp. 2645–2650. [Google Scholar]
- Isidori, A. Nonlinear Control System; Springer: New York, NY, USA, 1989. [Google Scholar]
- Yuan, S.; Lv, M.; Baldi, S.; Zhang, L. Lyapunov-Equation-Based Stability Analysis for Switched Linear Systems and Its Application to Switched Adaptive Control. IEEE Trans. Autom. Control 2021, 66, 2250–2256. [Google Scholar] [CrossRef]
- Zhang, K.K.; Zhou, B.; Duan, G.R. Prescribed-Time Input-to-State Stabilization of Normal Nonlinear Systems by Bounded Time-Varying Feedback. IEEE Trans. Circuits Syst. I Regul. Pap. 2022, 69, 3715–3725. [Google Scholar] [CrossRef]
- Khalil, H.K. Nonlinear Systems; Prentice-Hall: Hoboken, NJ, USA, 1996. [Google Scholar]
- Sharkawy, A.N.; Koustoumpardis, P.N. Dynamics and Computed-Torque Control of a 2-DOF manipulator: Mathematical Analysis. Int. J. Adv. Sci. Technol. 2019, 28, 201–212. [Google Scholar]
- Immanuel, G.Y.; Abate, M.; Feron, E. Lyapunov Differential Equation Hierarchy and Polynomial Lyapunov Functions for Switched Implicit Systems. In Proceedings of the 2021 American Control Conference (ACC), New Orleans, LA, USA, 25–28 May 2021; pp. 2309–2314. [Google Scholar]
Disclaimer/Publisher’s Note: The statements, opinions and data contained in all publications are solely those of the individual author(s) and contributor(s) and not of MDPI and/or the editor(s). MDPI and/or the editor(s) disclaim responsibility for any injury to people or property resulting from any ideas, methods, instructions or products referred to in the content. |
© 2022 by the authors. Licensee MDPI, Basel, Switzerland. This article is an open access article distributed under the terms and conditions of the Creative Commons Attribution (CC BY) license (https://creativecommons.org/licenses/by/4.0/).








