Fatigue Strength Assessment of an Aluminium Alloy Car Body Using Multiaxial Criteria and Cumulative Fatigue Damage Theory
Abstract
:1. Introduction
2. Theoretical Background
2.1. Multiaxial Stress Criteria
2.2. Cumulative Fatigue Damage Theory
3. Numerical Simulations
3.1. Main Structure
3.2. Standard Prescribed Loads
3.3. Fatigue Assessment Process
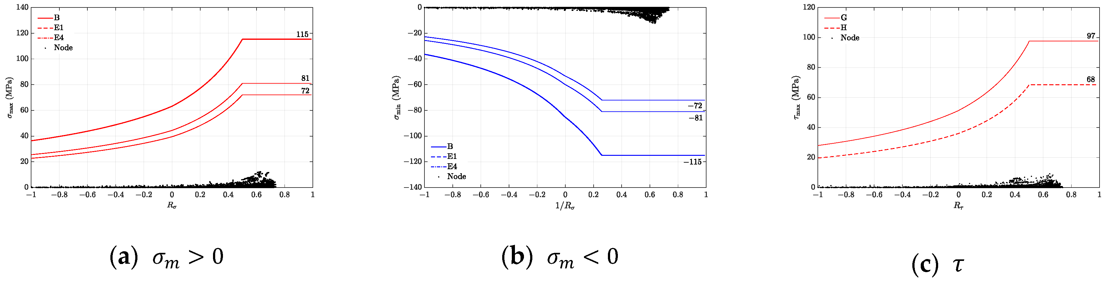
3.4. Fatigue Strength Value Selection
4. Results and Discussion
4.1. Stress Component Calculation
4.2. Fatigue Life Prediction
5. Conclusions
- The welding type can be changed, and the notch line grade can be improved to increase the allowable fatigue stress. For instance, lap fillet-welded joints can be changed to butt-welded joints, partial penetration can be changed to full penetration, and single-sided welding can be changed to double-sided welding. By doing so, a smaller value of index can be achieved, which corresponds to higher allowable fatigue stress (Equations (7)–(13)) and a lower utilization degree (Equations (3)–(5)), both of which contribute to a safer weld bounding.
- The structure can be optimized to reduce the stress range of the welded joints. The notch line grade can be improved through weld processing techniques, such as weld grinding.
- In the design stage, the reinforcement can be arranged in the appropriate position of the fatigue assessment danger point to reduce the peak stress of the dangerous area and reduce the utilization of the weld material.
- In the construction process, the level of post-welding treatment in dangerous areas should be improved, and more detailed flaw detection should be carried out.
- In daily operation and maintenance, we should also focus on whether fatigue cracks occur in this area to ensure driving safety.
Author Contributions
Funding
Institutional Review Board Statement
Informed Consent Statement
Data Availability Statement
Conflicts of Interest
Nomenclature
| Notation | Description |
| Second-order tensor in the global coordinate system | |
| Second-order tensor in the local coordinate system | |
| Cosine of the included angle of the corresponding axes of two coordinate systems | |
| Principal stress | |
| Utilization degree under normal stress in the x-direction of local coordinates | |
| Utilization degree under normal stress in the y-direction of local coordinates | |
| Utilization degree under shear stress | |
| Allowable fatigue strength values | |
| Phase effect of and ranging from −1.0 to +1.0 | |
| Comprehensive degree of utilization | |
| Moderate stress sensitivity coefficients of normal stress | |
| Moderate stress sensitivity coefficients of shear stress | |
| Accumulative cycle number of the measured stress range within the stress range of | |
| Stress range of the principal stress | |
| Corresponding fatigue strength at specified cycles; the value depends on different structural classifications | |
| Allowable stress range | |
| Curve slope of the curve | |
| Partial coefficient of the uncertainty considering the load spectrum and response analysis, generally equal to 1 | |
| Partial coefficient of the uncertainty considering the material and evaluation uncertainty | |
| Mean value of normal stress | |
| Normal stress amplitude | |
| Minimum normal stress | |
| Maximum normal stress | |
| Maximum principal stress | |
| Stress ratio of minimum stress-to-maximum stress |
References
- Dong, Y.; Teixeira, A.; Soares, C.G. Fatigue reliability analysis of butt welded joints with misalignments based on hotspot stress approach. Mar. Struct. 2019, 65, 215–228. [Google Scholar] [CrossRef]
- Hobbacher, A.F. The IIW fatigue design recommendations-newly revised and expanded. Weld. World J. Int. Inst. Weld. 2007, 51 (Suppl. 1), 243–254. [Google Scholar]
- Wang, W.J.; Bai, J.; Liu, W. Fatigue assessment of weld structure based on the hot spot stress method. J. Beijing Jiaotong Univ. 2017, 41, 82–87. (In Chinese) [Google Scholar]
- Wang, B.J.; Li, Q.; Liu, Z. Research on the Stress Fatigue Assessment about the Hot Spot Stress on the Bogie Frame. Adv. Mater. Res. 2011, 1442, 328–330. (In Chinese) [Google Scholar]
- Zhou, Z.Y.; Li, F. Study on Fatigue Analysis of Welded Toes of Plate Structures Using Hot Spot Stress Method Based on Surface Extrapolation. J. China Railw. Soc. 2009, 31, 90–96. (In Chinese) [Google Scholar]
- Mei, J.; Dong, P.; Xing, S.; Vasu, A.; Ganamet, A.; Chung, J.; Mehta, Y. An overview and comparative assessment of approaches to multi-axial fatigue of welded components in codes and standards. Int. J. Fatigue 2021, 146, 106144. [Google Scholar] [CrossRef]
- Park, W.; Miki, C. Fatigue assessment of large-size welded joints based on the effective notch stress approach. Int. J. Fatigue 2008, 30, 1556–1568. [Google Scholar] [CrossRef]
- Shen, W.; Yan, R.; Barltrop, N.; Liu, E.; Song, L. A method of determining structural stress for fatigue strength evaluation of welded joints based on notch stress strength theory. Int. J. Fatigue 2016, 90, 87–98. [Google Scholar] [CrossRef]
- Xu, L.; Kai-Lin, Z.; Yuan, Y.; Xiao-Peng, W. The multi-axle fatigue analysis of welded joints based on notch stress method. J. Chongqing Univ. 2017, 40, 9–17. (In Chinese) [Google Scholar]
- Liu, X.; Zhou, C.; Zhang, K.; Yao, Y. Fatigue Performance Analysis of Bogie Welded Joints Based on Notch Stress Method. J. China Railw. Soc. 2017, 39, 42–48. (In Chinese) [Google Scholar]
- Meneghetti, G.; Campagnolo, A.; Rigon, D. Multiaxial fatigue strength assessment of welded joints using the Peak Stress Method—Part II: Application to structural steel joints. Int. J. Fatigue 2017, 101 Pt 2, 343–362. [Google Scholar] [CrossRef]
- Xie, S.M.; Zhou, X.K.; Li, X.W.; Li, X.F. Fatigue life prediction for weld line in heavy freight car body based on ASME standard. Chin. J. Comput. Mech. 2012, 29, 129–134. (In Chinese) [Google Scholar]
- Łagoda, T.; Głowacka, K. Fatigue life prediction of welded joints from nominal system to fracture mechanics. Int. J. Fatigue 2020, 137, 105647. [Google Scholar] [CrossRef]
- Michele, Z.; Vittorio, B.; Giovanni, M. Definition of nominal stress-based FAT classes of complex welded steel structures using the Peak Stress Method. Procedia Struct. Integr. 2019, 19, 627–636. [Google Scholar]
- Susmel, L. Nominal stresses to assess damage in notched additively manufactured steel subjected to constant and variable amplitude multiaxial fatigue loading. Procedia Struct. Integr. 2021, 34, 178–183. [Google Scholar] [CrossRef]
- Hu, Y.; Wu, S.; Withers, P.J.; Cao, H.; Chen, P.; Zhang, Y.; Shen, Z.; Vojtek, T.; Hutař, P. Corrosion fatigue lifetime assessment of high-speed railway axle EA4T steel with artificial scratch. Eng. Fract. Mech. 2021, 245, 107588. [Google Scholar] [CrossRef]
- Bokesjö, M.; Al-Emrani, M.; Svensson, T. Fatigue strength of fillet welds subjected to multi-axial stresses. Int. J. Fatigue 2012, 44, 21–31. [Google Scholar] [CrossRef]
- Zhou, Y.; Tao, J. Theoretical and numerical investigation of stress mode shapes in multi-axial random fatigue. Mech. Syst. Signal Process. 2019, 127, 499–512. [Google Scholar] [CrossRef]
- Zhang, P.P.; Liu, J.C.; Zhang, B. Assessment Method for Fatigue Strength of EMU Wheel Based on Principal Stress Method and Amendatory Crossland Method. China Railw. Sci. 2014, 35, 52–57. (In Chinese) [Google Scholar]
- An, Q.; Zhao, H.; Liu, Y.A.; Fu, M.H. Fatigue Life Analysis Method for Freight Carbody Based on Multi-axial Criteria. J. Mech. Eng. 2019, 55, 64–72. [Google Scholar] [CrossRef]
- Wang, L.X. Strength Simulation and Fatigue Life Evaluation of Subway Aluminum Alloy Car Body. Master’s Thesis, Dalian Jiao-tong University, Dalian, China, 2020. [Google Scholar]
- DVS 1608-2011; Design and Strength Evaluation of Aluminium Alloy Welded Structures in Railway Vehicle Manufacturing. Deutsches Institut für Normung: Berlin, Germany, 2011; 38.
- BS EN 1999-1-3-2007; Eurocode 9 Design of Aluminium Structures—Part 1–3 Structures Susceptible to Fatigue. The European Union: London, UK, 2007.
- EN 12663-1:2010; Railway Applications-Structural Requirements of Railway Vehicle Bodies. The European Union: London, UK, 2010.









| Load Case | Acceleration (m/s2) | Additional Load | Load Case | Acceleration (m/s2) | Additional Load | ||||
|---|---|---|---|---|---|---|---|---|---|
| X | Y | Z | X | Y | Z | ||||
| 1 | +0.15 g | 1 g | / | 15 | +0.15 g | 1 g | 21 mm | ||
| 2 | −0.15 g | 1 g | 16 | −0.15 g | 1 g | ||||
| 3 | +0.15 g | 1 g | 17 | +0.15 g | 1 g | ||||
| 4 | −0.15 g | 1 g | 18 | −0.15 g | 1 g | ||||
| 5 | 0.85 g | 19 | 0.85 g | ||||||
| 6 | 1.15 g | 20 | 1.15 g | ||||||
| 7 | +0.15 g | +0.15 g | 0.85 g | 21 | +0.15 g | +0.15 g | 0.85 g | ||
| 8 | +0.15 g | −0.15 g | 0.85 g | 22 | +0.15 g | −0.15 g | 0.85 g | ||
| 9 | −0.15 g | +0.15 g | 0.85 g | 23 | −0.15 g | +0.15 g | 0.85 g | ||
| 10 | −0.15 g | −0.15 g | 0.85 g | 24 | −0.15 g | −0.15 g | 0.85 g | ||
| 11 | +0.15 g | +0.15 g | 1.15 g | 25 | +0.15 g | +0.15 g | 1.15 g | ||
| 12 | +0.15 g | −0.15 g | 1.15 g | 26 | +0.15 g | −0.15 g | 1.15 g | ||
| 13 | −0.15 g | +0.15 g | 1.15 g | 27 | −0.15 g | +0.15 g | 1.15 g | ||
| 14 | −0.15 g | −0.15 g | 1.15 g | 28 | −0.15 g | −0.15 g | 1.15 g | ||
| Constructional Detail Initiation Site | Curve | Curve | Curve | Detail Type | Detail Category | ||||
|---|---|---|---|---|---|---|---|---|---|
![]() | D | 12 | E1 | 15 | G | 0 | 7.3.1 | 40-4.3 | 29.0 |
![]() | C- | 10 | E5 | 21 | H | 9 | 9.2 | 25-3.4 | 16.8 |
![]() | F2 | 41 | D | 12 | H | 9 | 9.4 | 23-3.4 | 15.5 |
| Weld Position | Case | Case | ||||||||||
|---|---|---|---|---|---|---|---|---|---|---|---|---|
| 1 | 19.01 | 3.29 | 15.72 | 22.31 | 0.70 | 1.42 | 0.30 | 22.80 | 7 | 28 | ||
| 2 | 5.50 | 1.26 | 4.24 | 6.76 | 0.63 | 1.59 | 0.30 | 24.66 | 24 | 11 | ||
| 3 | 10.02 | 2.29 | 7.73 | 12.31 | 0.63 | 1.59 | 0.30 | 7.31 | 8 | 27 | ||
| Weld Position | Case | Case | ||||||||||
| 1 | −22.49 | 3.90 | −26.39 | −18.59 | 1.42 | 0.70 | 0.30 | 29.98 | 27 | 8 | ||
| 2 | −8.15 | 2.22 | −10.37 | −5.93 | 1.75 | 0.57 | 0.30 | 23.70 | 11 | 24 | ||
| 3 | −9.98 | 2.23 | −12.21 | −7.76 | 1.57 | 0.64 | 0.30 | 33.73 | 25 | 10 | ||
| Weld Position | Case | Case | ||||||||||
| 1 | 5.84 | 1.03 | 4.82 | 6.87 | 0.70 | 1.43 | 0.17 | 24.40 | 8 | 27 | ||
| 2 | 2.88 | 0.72 | 2.15 | 3.60 | 0.60 | 1.67 | 0.17 | 17.14 | 9 | 26 | ||
| 3 | 7.55 | 1.63 | 5.93 | 9.18 | 0.65 | 1.55 | 0.17 | 17.14 | 7 | 28 | ||
| Weld Position | Shear Stress | Assessment | ||||||||||
| 1 | 3.29 | 22.80 | 0.14 | 3.90 | 29.98 | 0.13 | 1.03 | 24.40 | 0.04 | 0.20 | Pass | |
| 2 | 1.26 | 24.66 | 0.05 | 2.22 | 23.70 | 0.09 | 0.72 | 17.14 | 0.04 | 0.10 | Pass | |
| 3 | 2.29 | 7.31 | 0.31 | 0.25 | 33.73 | 0.01 | 1.63 | 17.14 | 0.10 | 0.33 | Pass | |
| Weld Position 1 | Weld Position 2 | Weld Position 3 | ||||||
|---|---|---|---|---|---|---|---|---|
| Node Number | Fatigue Life (107) | Fatigue Damage (10−8) | Node Number | Fatigue Life (107) | Fatigue Damage (10−8) | Node Number | Fatigue Life (107) | Fatigue Damage (10−8) |
| 1,564,148 | 1.82 | 5.49 | 1,782,584 | 2.14 | 4.67 | 2,060,984 | 1.64 | 6.10 |
| 1,564,147 | 1.82 | 5.49 | 16 | 2.24 | 4.46 | 1,983,385 | 1.72 | 5.81 |
| 1,564,144 | 2.45 | 4.08 | 1,836,330 | 2.50 | 4.00 | 2,000,234 | 1.75 | 5.71 |
| 1,564,145 | 3.04 | 3.29 | 1,836,332 | 2.59 | 3.86 | 2,060,972 | 1.79 | 5.59 |
| 2,073,400 | 3.80 | 2.63 | 60,638 | 2.60 | 3.85 | 1,585,000 | 1.90 | 5.26 |
| 1,899,942 | 5.21 | 1.92 | 60,640 | 2.67 | 3.75 | 2,067,444 | 1.91 | 5.24 |
| 1,562,037 | 5.25 | 1.90 | 1,836,333 | 2.65 | 3.77 | 1,989,300 | 2.01 | 4.98 |
| 1,899,921 | 5.26 | 1.90 | 1,782,579 | 2.69 | 3.72 | 2,041,772 | 1.91 | 5.24 |
| 1,562,030 | 5.35 | 1.87 | 60,641 | 2.73 | 3.66 | 1,566,194 | 1.92 | 5.21 |
| 1,899,949 | 5.40 | 1.85 | 1,782,576 | 2.80 | 3.57 | 1,587,979 | 2.22 | 4.50 |
Disclaimer/Publisher’s Note: The statements, opinions and data contained in all publications are solely those of the individual author(s) and contributor(s) and not of MDPI and/or the editor(s). MDPI and/or the editor(s) disclaim responsibility for any injury to people or property resulting from any ideas, methods, instructions or products referred to in the content. |
© 2022 by the authors. Licensee MDPI, Basel, Switzerland. This article is an open access article distributed under the terms and conditions of the Creative Commons Attribution (CC BY) license (https://creativecommons.org/licenses/by/4.0/).
Share and Cite
Shangguan, Y.; Wang, W.; Yang, C.; He, A. Fatigue Strength Assessment of an Aluminium Alloy Car Body Using Multiaxial Criteria and Cumulative Fatigue Damage Theory. Appl. Sci. 2023, 13, 215. https://doi.org/10.3390/app13010215
Shangguan Y, Wang W, Yang C, He A. Fatigue Strength Assessment of an Aluminium Alloy Car Body Using Multiaxial Criteria and Cumulative Fatigue Damage Theory. Applied Sciences. 2023; 13(1):215. https://doi.org/10.3390/app13010215
Chicago/Turabian StyleShangguan, Yiming, Wenjing Wang, Chao Yang, and Anrui He. 2023. "Fatigue Strength Assessment of an Aluminium Alloy Car Body Using Multiaxial Criteria and Cumulative Fatigue Damage Theory" Applied Sciences 13, no. 1: 215. https://doi.org/10.3390/app13010215
APA StyleShangguan, Y., Wang, W., Yang, C., & He, A. (2023). Fatigue Strength Assessment of an Aluminium Alloy Car Body Using Multiaxial Criteria and Cumulative Fatigue Damage Theory. Applied Sciences, 13(1), 215. https://doi.org/10.3390/app13010215




