Hybrid Meat Products: Incorporation of White Bean Flour in Lean Pork Burgers
Abstract
:1. Introduction
2. Materials and Methods
2.1. Materials
2.2. Experimental Design
2.3. Burger Manufacture
2.4. Process Yield
2.5. Texture Measurements
2.6. Color
2.7. Thermal Analysis
2.8. Microstructure Observation
2.9. Statistical Analysis
3. Results and Discussion
3.1. Physicochemical Properties
3.2. Optimization and Validation of Pork Burger Formulation
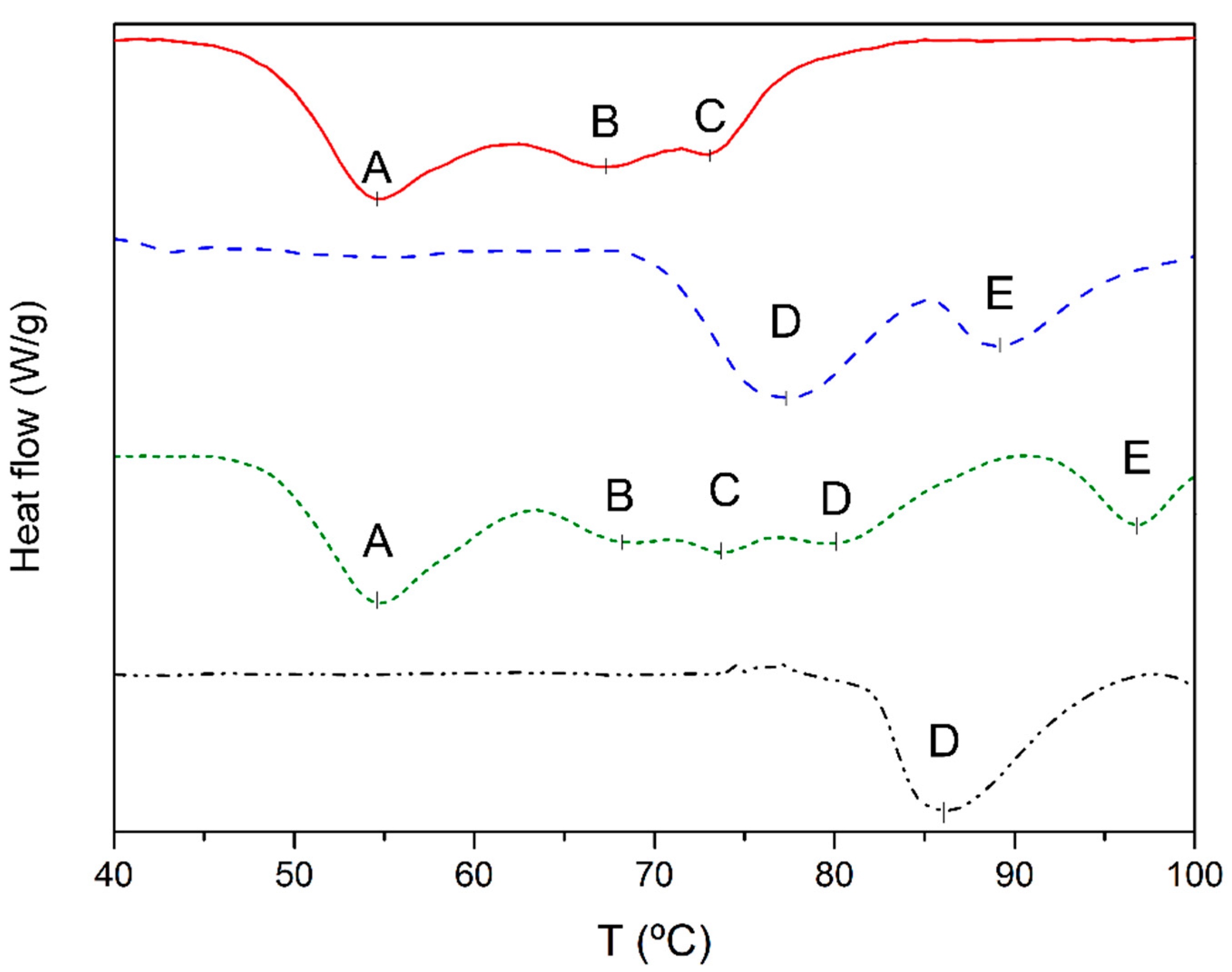
3.3. Thermal Properties
3.4. Microstructure Observation
4. Conclusions
Author Contributions
Funding
Institutional Review Board Statement
Informed Consent Statement
Data Availability Statement
Acknowledgments
Conflicts of Interest
References
- Murphy, K.J.; Thomson, R.L.; Coates, A.M.; Buckley, J.D.; Howe, P.R.C. Effects of Eating Fresh Lean Pork on Cardiometabolic Health Parameters. Nutrients 2012, 4, 711–723. [Google Scholar] [CrossRef] [PubMed] [Green Version]
- Wycherley, T.P.; Noakes, M.; Clifton, P.M.; Cleanthous, X.; Keogh, J.B.; Brinkworth, G.D. A high-protein diet with resistance exercise training improves weight loss and body composition in overweight and obese patients with type 2 diabetes. Diabetes Care 2010, 33, 969–976. [Google Scholar] [CrossRef] [PubMed] [Green Version]
- Grasso, S.; Brunton, N.P.; Lyng, J.G.; Lalor, F.; Monahan, F.J. Healthy processed meat products—Regulatory, reformulation and consumer challenges. Trends Food Sci. Technol. 2014, 39, 4–17. [Google Scholar] [CrossRef]
- Domínguez, R.; Munekata, P.E.; Pateiro, M.; López-Fernández, O.; Lorenzo, J.M. Immobilization of oils using hydrogels as strategy to replace animal fats and improve the healthiness of meat products. Curr. Opin. Food Sci. 2021, 37, 135–144. [Google Scholar] [CrossRef]
- Pateiro, M.; Domínguez, R.; Lorenzo, J.M. Recent Research Advances in Meat Products. Foods 2021, 10, 1303. [Google Scholar] [CrossRef]
- Harguess, J.M.; Crespo, N.C.; Hong, M.Y. Strategies to reduce meat consumption: A systematic literature review of experimental studies. Appetite 2020, 144, 104478. [Google Scholar] [CrossRef]
- Satija, A.; Hu, F.B. Plant-based diets and cardiovascular health. Trends Cardiovasc. Med. 2018, 28, 437–441. [Google Scholar] [CrossRef]
- Willett, W.; Rockström, J.; Loken, B.; Springmann, M.; Lang, T.; Vermeulen, S.; Garnett, T.; Tilman, D.; DeClerck, F.; Wood, A.; et al. Food in the Anthropocene: The EAT–Lancet Commission on healthy diets from sustainable food systems. Lancet 2019, 393, 447–492. [Google Scholar] [CrossRef]
- Spencer, M.; Guinard, J.X. The Flexitarian Flip: Testing the modalities of flavor as sensory strategies to accomplish the shift from meat-centered to vegetable-forward mixed dishes. J. Food Sci. 2018, 83, 175–187. [Google Scholar] [CrossRef]
- Grasso, S.; Jaworska, S. Part Meat and Part Plant: Are Hybrid Meat Products Fad or Future? Foods 2020, 9, 1888. [Google Scholar] [CrossRef]
- Neacsu, M.; McBey, D.; Johnstone, A.M. Meat Reduction and Plant-Based Food: Replacement of Meat: Nutritional, Health, and Social Aspects. In Sustainable Protein Sources; Nadathur, S.R., Wanasundara, J.P.D., Scanlin, L., Eds.; Academic Press: Cambridge, MA, USA, 2017; pp. 359–375. ISBN 9780128027769. [Google Scholar]
- Kan, L.; Nie, S.; Hu, J.; Wang, S.; Cui, S.W.; Li, Y.; Xu, S.; Wu, Y.; Wang, J.; Bai, Z.; et al. Nutrients, phytochemicals and antioxidant activities of 26 kidney bean cultivars. Food Chem. Toxicol. 2017, 108, 467–477. [Google Scholar] [CrossRef]
- Lin, T.; Fernández-Fraguas, C. Effect of thermal and high-pressure processing on the thermo-rheological and functional properties of common bean (Phaseolus vulgaris L.) flours. LWT 2020, 127, 109325. [Google Scholar] [CrossRef]
- Ma, Z.; Boye, J.I.; Simpson, B.K.; Prasher, S.O.; Monpetit, D.; Malcolmson, L. Thermal processing effects on the functional properties and microstructure of lentil, chickpea, and pea flours. Food Res. Int. 2011, 44, 2534–2544. [Google Scholar] [CrossRef]
- Karaca, A.C.; Low, N.; Nickerson, M. Emulsifying properties of chickpea, faba bean, lentil and pea proteins produced by isoelectric precipitation and salt extraction. Food Res. Int. 2011, 44, 2742–2750. [Google Scholar] [CrossRef]
- USDA Safe Minimum Internal Temperature Chart. Available online: https://www.fsis.usda.gov/food-safety/safe-food-handling-and-preparation/food-safety-basics/safe-temperature-chart (accessed on 21 October 2021).
- Andrés, S.C.; Pennisi Forell, S.C.; Ranalli, N.; Zaritzky, N.E.; Califano, A.N. Healthier functional beef burgers. In Agricultural Research Updates; Hendriks, B., Ed.; Nova Science Publishers: Hauppauge, NY, USA, 2012; pp. 185–211. ISBN 9781614701910. [Google Scholar]
- Argel, N.S.; Ranalli, N.; Califano, A.N.; Andrés, S.C. Influence of partial pork meat replacement by pulse flour on physicochemical and sensory characteristics of low-fat burgers. J. Sci. Food Agric. 2020, 100, 3932–3941. [Google Scholar] [CrossRef]
- Dolores Alvarez, M.; Fuentes, R.; Dolores Olivares, M.; Cuesta, F.J.; Canet, W. Thermorheological characteristics of chickpea flour slurry as affected by moisture content. J. Food Eng. 2014, 136, 9–18. [Google Scholar] [CrossRef] [Green Version]
- Marchetti, L.; Argel, N.; Andrés, S.C.; Califano, A.N. Sodium-reduced lean sausages with fish oil optimized by a mixture design approach. Meat Sci. 2015, 104, 67–77. [Google Scholar] [CrossRef]
- Trieu, H.H.; Qutubuddin, S. Polyvinyl alcohol hydrogels I. Microscopic structure by freeze-etching and critical point drying techniques. Colloid Polym. Sci. 1994, 272, 301–309. [Google Scholar] [CrossRef]
- Douglas, C. Montgomery Design and Analysis of Experiments, 10th ed.; Douglas, C.M., Ed.; Willey: Hoboken, NJ, USA, 2019; ISBN 9781119492443. [Google Scholar]
- Derringer, G.; Suich, R. Simultaneous Optimization of Several Response Variables. J. Qual. Technol. 1980, 12, 214–219. [Google Scholar] [CrossRef]
- Tornberg, E. Effects of heat on meat proteins—Implications on structure and quality of meat products. Meat Sci. 2005, 70, 493–508. [Google Scholar] [CrossRef]
- Soltanizadeh, N.; Ghiasi-Esfahani, H. Qualitative improvement of low meat beef burger using Aloe vera. Meat Sci. 2015, 99, 75–80. [Google Scholar] [CrossRef] [PubMed]
- Shokry, A.M. The Usage of Quinoa Flour as a Potential Ingredient in Production of Meat Burger with Functional Properties. Middle East J. Appl. Sci. 2016, 6, 1128–1137. [Google Scholar]
- Özer, C.O.; Seçen, S.M. Effects of quinoa flour on lipid and protein oxidation in raw and cooked beef burger during long term frozen storage. Food Sci. Technol. 2018, 38, 221–227. [Google Scholar] [CrossRef] [Green Version]
- Baugreet, S.; Kerry, J.P.; Botineştean, C.; Allen, P.; Hamill, R.M. Development of novel fortified beef patties with added functional protein ingredients for the elderly. Meat Sci. 2016, 122, 40–47. [Google Scholar] [CrossRef] [PubMed]
- Tahmasebi, M.; Labbafi, M.; Emam-Djomeh, Z.; Yarmand, M.S. Manufacturing the novel sausages with reduced quantity of meat and fat: The product development, formulation optimization, emulsion stability and textural characterization. LWT Food Sci. Technol. 2016, 68, 76–84. [Google Scholar] [CrossRef]
- Choi, Y.S.; Choi, J.H.; Han, D.J.; Kim, H.Y.; Lee, M.A.; Kim, H.W.; Lee, J.W.; Chung, H.J.; Kim, C.J. Optimization of replacing pork back fat with grape seed oil and rice bran fiber for reduced-fat meat emulsion systems. Meat Sci. 2010, 84, 212–218. [Google Scholar] [CrossRef]
- Jiménez Colmenero, F. Relevant factors in strategies for fat reduction in meat products. Trends Food Sci. Technol. 2000, 11, 56–66. [Google Scholar] [CrossRef]
- Zhuang, X.; Han, M.; Kang, Z.-L.; Wang, K.; Bai, Y.; Xu, X.-L.; Zhou, G.-H. Effects of the sugarcane dietary fiber and pre-emulsified sesame oil on low-fat meat batter physicochemical property, texture, and microstructure. Meat Sci. 2016, 113, 107–115. [Google Scholar] [CrossRef]
- Verma, A.K.; Rajkumar, V.; Kumar, S. Effect of amaranth and quinoa seed flour on rheological and physicochemical properties of goat meat nuggets. J. Food Sci. Technol. 2019, 56, 5027. [Google Scholar] [CrossRef]
- Beggs, K.L.H.; Bowers, J.A.; Brown, D. Sensory and Physical Characteristics of Reduced-Fat Turkey Frankfurters with Modified Corn Starch and Water. J. Food Sci. 1997, 62, 1240–1244. [Google Scholar] [CrossRef]
- García-García, E.; Totosaus, A. Low-fat sodium-reduced sausages: Effect of the interaction between locust bean gum, potato starch and κ-carrageenan by a mixture design approach. Meat Sci. 2008, 78, 406–413. [Google Scholar] [CrossRef]
- Pennisi Forell, S.C.; Ranalli, N.; Zaritzky, N.E.; Andrés, S.C.; Califano, A.N. Effect of type of emulsifiers and antioxidants on oxidative stability, colour and fatty acid profile of low-fat beef burgers enriched with unsaturated fatty acids and phytosterols. Meat Sci. 2010, 86, 364–370. [Google Scholar] [CrossRef]
- Lee, S.; Hernandez, P.; Djordjevic, D.; Faraji, H.; Hollender, R.; Faustman, C.; Decker, E.A. Effect of Antioxidants and Cooking on Stability of n-3 Fatty Acids in Fortified Meat Products. J. Food Sci. 2006, 71, C233–C238. [Google Scholar] [CrossRef]
- Graiver, N.; Pinotti, A.; Califano, A.; Zaritzky, N. Diffusion of sodium chloride in pork tissue. J. Food Eng. 2006, 77, 910–918. [Google Scholar] [CrossRef]
- Wani, I.A.; Sogi, D.S.; Wani, A.A.; Gill, B.S. Physico-chemical and functional properties of flours from Indian kidney bean (Phaseolus vulgaris L.) cultivars. LWT Food Sci. Technol. 2013, 53, 278–284. [Google Scholar] [CrossRef]
- Sánchez-Arteaga, H.M.; Urías-Silvas, J.E.; Espinosa-Andrews, H.; García-Márquez, E. Effect of chemical composition and thermal properties on the cooking quality of common beans (Phaseolus vulgaris). CyTA J. Food 2015, 13, 385–391. [Google Scholar] [CrossRef] [Green Version]
- Belibagli, K.B.; Speers, R.A.; Paulson, A.T. Thermophysical properties of silver hake and mackerel surimi at cooking temperatures. J. Food Eng. 2003, 60, 439–448. [Google Scholar] [CrossRef]
- Wu, M.C.; Lanier, T.C.; Hamann, D.D. Thermal Transitions of Admixed Starch/Fish Protein Systems During Heating. J. Food Sci. 1985, 50, 20–25. [Google Scholar] [CrossRef]





| BF-B Formulation | Pork Meat (g/100 g) | BF (g/100 g) | W/BF Ratio |
|---|---|---|---|
| 1 | 70.50 | 8 | 1.25 |
| 2 | 67.70 | 8 | 1.6 |
| 3 | 64.50 | 8 | 2 |
| 4 | 54.75 | 15 | 1.25 |
| 5 | 49.50 | 15 | 1.6 |
| 6 | 43.50 | 15 | 2 |
| Regression Coefficients | Process Yield (%) | Hardness (N) | Cohesiveness | Springiness | Chewiness (N) | Resilience | L* | b* |
|---|---|---|---|---|---|---|---|---|
| Constant | 89.58 | 15.07 | 0.53 | 0.84 | 6.62 | 0.36 | 77.65 | 12.06 |
| BF | −0.12 | −2.18 | −0.013 | −0.024 | −1.17 | −0.023 | 0.31 | 0.39 |
| W/BF | −1.16 | −2.32 | −7.90 × 10−3 | −0.025 | −1.23 | −0.013 | 0.81 | −0.21 |
| BF × W/BF | ---- | −0.94 | −4.41 × 10−3 | ---- | ---- | ---- | 0.271 | ---- |
| Significance of the model (P) | <0.0001 | <0.0001 | <0.0001 | <0.0001 | <0.0001 | <0.0001 | <0.0001 | <0.0001 |
| Lack of fit (P) | 0.137 | 0.385 | 0.911 | 0.922 | 0.300 | 0.165 | 0.995 | 0.446 |
| Adequate precision | 11.57 | 14.46 | 16.49 | 15.30 | 15.05 | 19.70 | 8.04 | 8.08 |
| Response Variable | Optimization Criteria | Predicted Values | Experimental | |
|---|---|---|---|---|
| Mean | Confidence Interval (α = 0.05) | |||
| BF | Maximum | 15 | -- | -- |
| Process yield (%) | Maximum | 90.29 | 90.40 (0.5) | 88.40–92.17 |
| Hardness (N) | 12 | 15.23 | 12.5 (0.8) | 10.49–19.97 |
| Cohesiveness | 0.545 | 0.536 | 0.513 (0.004) | 0.51–0.55 |
| Springiness | 0.81 | 0.832 | 0.76 (0.01) | 0.78–0.89 |
| b* | 13 | 12.60 | 12.8 (0.1) | 11.30–13.89 |
Publisher’s Note: MDPI stays neutral with regard to jurisdictional claims in published maps and institutional affiliations. |
© 2022 by the authors. Licensee MDPI, Basel, Switzerland. This article is an open access article distributed under the terms and conditions of the Creative Commons Attribution (CC BY) license (https://creativecommons.org/licenses/by/4.0/).
Share and Cite
Argel, N.S.; Lorenzo, G.; Domínguez, R.; Fraqueza, M.J.; Fernández-López, J.; Sosa, M.E.; Campagnol, P.C.B.; Lorenzo, J.M.; Andrés, S.C. Hybrid Meat Products: Incorporation of White Bean Flour in Lean Pork Burgers. Appl. Sci. 2022, 12, 7571. https://doi.org/10.3390/app12157571
Argel NS, Lorenzo G, Domínguez R, Fraqueza MJ, Fernández-López J, Sosa ME, Campagnol PCB, Lorenzo JM, Andrés SC. Hybrid Meat Products: Incorporation of White Bean Flour in Lean Pork Burgers. Applied Sciences. 2022; 12(15):7571. https://doi.org/10.3390/app12157571
Chicago/Turabian StyleArgel, Natalia Soledad, Gabriel Lorenzo, Rubén Domínguez, Maria João Fraqueza, Juana Fernández-López, Maria Elena Sosa, Paulo Cesar Bastianello Campagnol, José Manuel Lorenzo, and Silvina Cecilia Andrés. 2022. "Hybrid Meat Products: Incorporation of White Bean Flour in Lean Pork Burgers" Applied Sciences 12, no. 15: 7571. https://doi.org/10.3390/app12157571
APA StyleArgel, N. S., Lorenzo, G., Domínguez, R., Fraqueza, M. J., Fernández-López, J., Sosa, M. E., Campagnol, P. C. B., Lorenzo, J. M., & Andrés, S. C. (2022). Hybrid Meat Products: Incorporation of White Bean Flour in Lean Pork Burgers. Applied Sciences, 12(15), 7571. https://doi.org/10.3390/app12157571

