Possibilities of River Water Temperature Reconstruction Using Statistical Models in the Context of Long-Term Thermal Regime Changes Assessment
Abstract
:1. Introduction
2. Materials and Methods
2.1. Study Area
2.2. Development of Models Multiple Linear Regression, Multilayer Perceptrone Network, and Random Forest Regression for the Reconstruction of Water Temperature in Rivers
2.3. Procedure for Testing and Validation of Multiple Linear Regression, Multilayer Perceptrone Network and Random Forest Regression Models
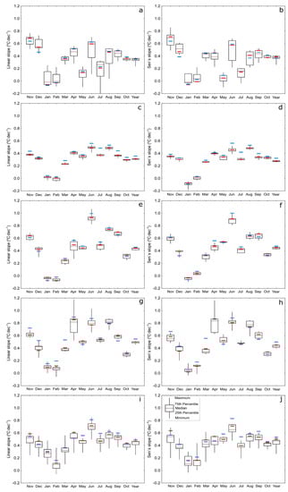
3. Results
4. Discussion
5. Conclusions
Author Contributions
Funding
Institutional Review Board Statement
Informed Consent Statement
Data Availability Statement
Conflicts of Interest
References
- Papić, D.; Bačević, N.R.; Valjarević, A.; Milentijević, N.; Gavrilov, M.B.; Živković, M.; Marković, S.B. Assessment of air temperature trend in South and Southeast Bosnia and Herzegovina from 1961 to 2017. Idojaras 2020, 124, 381–399. [Google Scholar] [CrossRef]
- Kejna, M.; Rudzki, M. Spatial diversity of air temperature changes in Poland in 1961–2018. Theor. Appl. Climatol. 2021, 143, 1361–1379. [Google Scholar] [CrossRef]
- Snizhko, S.; Shevchenko, O.; Buznytskyi, B.; Krukivska, A.; Matviienko, M. The projections of air temperature in the Northern region of Ukraine following the intermediate scenario (RCP 4.5) and the high-end scenario (RCP 8.5). In Proceedings of the 14th International Scientific Conference on Monitoring of Geological Processes and Ecological Condition of the Environment, Kiev, Ukraine, 10–13 November 2020. [Google Scholar]
- Tomczyk, A.M.; Piniewski, M.; Eini, M.R.; Bednorz, E. Projections of changes in maximum air temperature and hot days in Poland 2022. Int. J. Climatol. 2022. [Google Scholar] [CrossRef]
- Arora, R.; Tockner, K.; Venohr, M. Changing river temperatures in northern Germany: Trends and drivers of change. Hydrol. Processes 2016, 30, 3084–3096. [Google Scholar] [CrossRef]
- Choiński, A.; Ptak, M.; Strzelczak, A. Changeability of accumulated heat content in alpine-type lakes. Pol. J. Environ. Stud. 2015, 24, 2363–2369. [Google Scholar] [CrossRef]
- Basarin, B.; Lukić, T.; Pavić, D.; Wilby, R.L. Trends and multi-annual variability of water temperatures in the river Danube, Serbia. Hydrol. Processes 2016, 30, 3315–3329. [Google Scholar] [CrossRef] [Green Version]
- Liu, S.; Xie, Z.; Liu, B.; Wang, Y.; Gao, J.; Zeng, Y.; Xie, J.; Xie, Z.; Jia, B.; Qin, P.; et al. Global river water warming due to climate change and anthropogenic heat emission. Glob. Planet. Change 2020, 193, 103289. [Google Scholar] [CrossRef]
- Jurgelenaite, A.; Kriaučiuniene, J.; Šarauskiene, D. Spatial and temporal variation in the water temperature of Lithuanian rivers. Baltica 2012, 25, 65–76. [Google Scholar] [CrossRef] [Green Version]
- Frechette, D.M.; Dugdale, S.J.; Dodson, J.J.; Bergeron, N.E. Understanding summertime thermal refuge use by adult Atlantic salmon using remote sensing, river temperature monitoring, and acoustic telemetry. Can. J. Fish. Aquat. Sci. 2018, 75, 1999–2010. [Google Scholar] [CrossRef]
- Łaszewski, M.A. The effect of environmental drivers on summer spatial variabity of water temperature in Polish lowland watercourses. Environ. Earth Sci. 2020, 79, 244. [Google Scholar] [CrossRef]
- Ling, F.; Foody, G.M.; Du, H.; Ban, X.; Li, X.; Zhang, Y.; Du, Y. Monitoring Thermal Pollution in Rivers Downstream of Dams with Landsat ETM+ Thermal Infrared Images. Remote Sens. 2017, 9, 1175. [Google Scholar] [CrossRef] [Green Version]
- Martí-Cardona, B.; Prats, J.; Niclòs, R. Enhancing the retrieval of stream surface temperature from Landsat data. Remote Sens. Environ. 2019, 224, 182–191. [Google Scholar] [CrossRef] [Green Version]
- Al-Murib, M.D.; Wells, S.A.; Talke, S.A. Integrating Landsat TM/ETM+ and Numerical Modeling to Estimate Water Temperature in the Tigris River under Future Climate and Management Scenarios. Water 2019, 11, 892. [Google Scholar] [CrossRef] [Green Version]
- Nowak, B.; Grześkowiak, A. Czy rejestracja elektroniczna może zastąpić obserwatorów w pomiarach na jeziorach? Hydrol. W Ochr. I Kształtowaniu Sr. 2010, 2, 361–369. [Google Scholar]
- Kermorvant, C.; Liquet, B.; Litt, G.; Jones, J.B.; Mengersen, K.; Peterson, E.E.; Hyndman, R.J.; Leigh, C. Reconstructing Missing and Anomalous Data Collected from High-Frequency In-Situ Sensors in Fresh Waters. Int. J. Environ. Res. Public Health 2021, 18, 12803. [Google Scholar] [CrossRef] [PubMed]
- Tabari, H.; Talaee, P.H. Reconstruction of river water quality missing data using artificial neural networks. Water Qual. Res. J. Can. 2015, 50, 326–335. [Google Scholar] [CrossRef]
- Jackson, F.L.; Fryer, R.J.; Hannah, D.M.; Malcolm, I.A. Can spatial statistical river temperature models be transferred between catchments? Hydrol. Earth Syst. Sci. 2017, 21, 4727–4745. [Google Scholar] [CrossRef] [Green Version]
- Yang, D.; Peterson, A. River water temperature in relation to local air temperature in the Mackenzie and Yukon basins. Arctic 2017, 70, 47–58. [Google Scholar] [CrossRef]
- Arismendi, I.; Johnson, S.L.; Dunham, J.B.; Haggerty, R.; Hockman-Wert, D. The paradox of cooling streams in a warming world: Regional climate trends do not parallel variable local trends in stream temperature in the Pacific continental United States. Geophys. Res. Lett. 2012, 39, L10401. [Google Scholar] [CrossRef]
- Luoto, T.P.; Nevalainen, L. Long-term water temperature reconstructions from mountain lakes with different catchment and morphometric features. Sci. Rep. 2013, 3, 2488. [Google Scholar] [CrossRef] [Green Version]
- Piccolroaz, S.; Woolway, R.I.; Merchant, C.J. Global reconstruction of twentieth century lake surface water temperature reveals different warming trends depending on the climatic zone. Clim. Change 2020, 160, 427–442. [Google Scholar] [CrossRef] [Green Version]
- Prats, J.; Val, R.; Armengol, J.; Dolz, J. A methodological approach to the reconstruction of the 1949–2000 water temperature series in the Ebro River at Escatrón. Limnetica 2007, 26, 293–306. [Google Scholar] [CrossRef]
- Murphy, R.D., Jr.; Hagan, J.A.; Harris, B.P.; Sethi, S.A.; Smeltz, T.S.; Restrepo, F. Can landsat thermal imagery and environmental data accurately estimate water temperatures in small streams? J. Fish Wildl. Manag. 2021, 12, 12–26. [Google Scholar] [CrossRef]
- Zhu, S.; Heddam, S.; Wu, S.; Dai, J.; Jia, B. Extreme learning machine-based prediction of daily water temperature for rivers. Environ. Earth Sci. 2019, 78, 202. [Google Scholar] [CrossRef]
- Zhu, S.; Hadzima-Nyarko, M.; Bonacci, O. Application of machine learning models in hydrology: Case study of river temperature forecasting in the Drava River using coupled wavelet analysis and adaptive neuro-fuzzy inference systems model. Basics Comput. Geophys. 2020, 399–411. [Google Scholar]
- Heddam, S.; Ptak, M.; Sojka, M.; Kim, S.; Malik, A.; Kisi, O.; Zounemat-Kermani, M. Least square support vector machine-based variational mode decomposition: A new hybrid model for daily river water temperature modeling. Environ. Sci. Pollut. Res. 2022, 1–28. [Google Scholar] [CrossRef]
- ESRI. ArcGIS Desktop: Release 10.7.1.; Environmental Systems Research Institute: Redlands, CA, USA, 2019. [Google Scholar]
- TIBCO Software Inc. Statistica (Data Analysis Software System); Version 13; Stanford Research Park: Palo Alto, CA, USA, 2017. [Google Scholar]
- Wright, M.N.; Ziegler, A. Ranger: A fast implementation of random forests for high dimensional data in C++ and R. arXiv 2015, arXiv:1508.04409. [Google Scholar] [CrossRef] [Green Version]
- Wright, M.N.; Wager, S.; Probst, P. A Fast Implementation of Random Forests; R Package Version 0.13.1; R Foundation for Statistical Computing: Vienna, Austria, 2021; pp. 1–25. Available online: https://cran.r-project.org/web/packages/ranger/index.html (accessed on 15 March 2022).
- R Core Team. R: A Language and Environment for Statistical Computing; R Foundation for Statistical Computing: Vienna, Austria, 2021; Available online: https://www.R-project.org/ (accessed on 15 March 2022).
- Nash, J.E.; Sutcliffe, J.V. River flow forecasting through conceptual models part I—A discussion of principles. J. Hydrol. 1970, 10, 282–290. [Google Scholar] [CrossRef]
- Makridakis, S.; Andersen, A.; Carbone, R.; Fildes, R.; Hibon, M.; Lewandowski, R.; Newton, J.; Parzen, E.; Winkler, R. The accuracy of extrapolation (time series) methods: Results of a forecasting competition. J. Forecast. 1982, 1, 111–153. [Google Scholar] [CrossRef]
- Qian, X.; Lee, S.; Soto, A.M.; Chen, G. Regression model to predict the higher heating value of poultry waste from proximate analysis. Resources 2018, 7, 39. [Google Scholar] [CrossRef] [Green Version]
- Zhu, S.; Luo, Y.; Ptak, M.; Sojka, M.; Ji, Q.; Choiński, A.; Kuang, M. A hybrid model for the forecasting of sea surface water temperature using the information of air temperature: A case study of the Baltic Sea. All Earth 2022, 34, 27–38. [Google Scholar] [CrossRef]
- Kendall, M.G.; Stuart, A. The Advanced Theory of Statistics, 3rd ed.; Charles Griffin Ltd.: London, UK, 1968. [Google Scholar]
- Gilbert, R.O. Statistical Methods for Environmental Pollution Monitoring; Van Nostrand Reinhold Co.: New York, NY, USA, 1987; p. 320. [Google Scholar]
- Yue, S.; Pilon, P.; Phinney, B.; Cavadias, G. The influence of autocorrelation on the ability to detect trend in hydrological series. Hydrol. Processes 2002, 16, 1807–1829. [Google Scholar] [CrossRef]
- Sojka, M. Directions and Extent of Flows Changes in Warta River Basin (Poland) in the Context of the Efficiency of Run-of-River Hydropower Plants and the Perspectives for Their Future Development. Energies 2022, 15, 439. [Google Scholar] [CrossRef]
- Ptak, M.; Sojka, M.; Graf, R.; Choiński, A.; Zhu, S.; Nowak, B. Warming Vistula River—the effects of climate and local conditions on water temperature in one of the largest rivers in Europe. J. Hydrol. Hydromech. 2022, 70, 1–11. [Google Scholar] [CrossRef]
- Patakamuri, S.K.; O’Brien, N.M. Modified Versions of Mann Kendall and Spearman’s Rho Trend Tests 2019; The R Project for Statistical Computing: Vienna, Austria, 2019; p. 19. [Google Scholar]
- Segura, C.; Caldwell, P.; Sun, G.; Mcnulty, S.; Zhang, Y. A model to predict stream water temperature across the conterminous USA. Hydrol. Processes 2015, 29, 2178–2195. [Google Scholar] [CrossRef]
- Rosencranz, J.; Cuddington, K.; Brook, M.; Koops, M.A.; Drake, D.A. Data-limited models to predict river temperatures for aquatic species at risk. Can. J. Fish. Aquat. Sci. 2021, 78, 1268–1277. [Google Scholar] [CrossRef]
- Chen, G.; Fang, X.; Fan, H. Estimating hourly water temperatures in rivers using modified sine and sinusoidal wave functions. J. Hydrol. Eng. 2016, 21, 05016023. [Google Scholar] [CrossRef]
- Rajesh, M.; Rehana, S. Prediction of river water temperature using machine learning algorithms: A tropical river system of India. J. Hydroinf. 2021, 23, 605–626. [Google Scholar] [CrossRef]
- Qiu, R.; Wang, Y.; Rhoads, B.; Wang, D.; Qiu, W.; Tao, Y.; Wu, J. River water temperature forecasting using a deep learning method. J. Hydrol. 2021, 595, 126016. [Google Scholar] [CrossRef]
- Rabi, A.; Hadzima-Nyarko, M.; Šperac, M. Modelling river temperature from air temperature: Case of the River Drava (Croatia). Hydrol. Sci. J. 2015, 60, 1490–1507. [Google Scholar] [CrossRef]
- Weierbach, H.; Lima, A.R.; Willard, J.D.; Hendrix, V.C.; Christianson, D.S.; Lubich, M.; Varadharajan, C. Stream Temperature Predictions for River Basin Management in the Pacific Northwest and Mid-Atlantic Regions Using Machine Learning. Water 2022, 14, 1032. [Google Scholar] [CrossRef]
- Bélanger, M.; El-Jabi, N.; Caissie, D.; Ashkar, F.; Ribi, J.-M. Water temperature prediction using neural networks and multiple linear regression. Rev. Sci. L’eau 2005, 18, 403–421. [Google Scholar]
- DeWeber, J.T.; Wagner, T. A regional neural network ensemble for predicting mean daily river water temperature. J. Hydrol. 2014, 517, 187–200. [Google Scholar] [CrossRef]
- Zhu, S.; Nyarko, E.K.; Hadzima-Nyarko, M. Modelling daily water temperature from air temperature for the Missouri River. PeerJ 2018, 6, e4894. [Google Scholar] [CrossRef] [Green Version]
- Seyedhashemi, H.; Vidal, J.-P.; Diamond, J.S.; Thiéry, D.; Monteil, C.; Hendrickx, F.; Maire, A.; Moatar, F. Regional, multi-decadal analysis on the Loire River basin reveals that stream temperature increases faster than air temperature. Hydrol. Earth Syst. Sci. 2022, 26, 2583–2603. [Google Scholar] [CrossRef]
- Birzaks, J. Climate Change Impact on Salmon (Salmo salar) and Sea Trout (Salmo trutta) in the Salaca River, Latvia. Zool. Ecol. 2020, 30, 1. [Google Scholar] [CrossRef]
- Kędra, M. Regional Response to Global Warming: Water Temperature Trends in Semi-Natural Mountain River Systems. Water 2020, 12, 283. [Google Scholar] [CrossRef] [Green Version]
- Ptak, M.; Sojka, M.; Kałuża, T.; Choiński, A.; Nowak, B. Long-term water temperature trends of the Warta River in the years 1960–2009. Ecohydrol. Hydrobiol. 2019, 19, 441–451. [Google Scholar] [CrossRef]
- Ptak, M.; Sojka, M. The disappearance of ice cover on temperate lakes (Central Europe) as a result of global warming. Geogr. J. 2021, 187, 200–213. [Google Scholar] [CrossRef]
- Choiński, A.; Ptak, M.; Strzelczak, A. Areal variation in ice cover thickness on lake Morskie Oko (Tatra Mountains). Carpathian J. Earth Environ. Sci. 2013, 8, 97–102. [Google Scholar]
- Feigl, M.; Lebiedzinski, K.; Herrnegger, M.; Schulz, K. Machine-learning methods for stream water temperature prediction. Hydrol. Earth Syst. Sci. 2021, 25, 2951–2977. [Google Scholar] [CrossRef]
- Ptak, M.; Nowak, B. Variability of oxygen-thermal conditions in selected lakes in Poland. Ecol. Chem. Eng. S. 2016, 23, 639–650. [Google Scholar] [CrossRef] [Green Version]






| River–Station (Code) | River Monitoring Period | Lake (Code) | Meteorological Station (Code) |
|---|---|---|---|
| Bóbr–Żagań (A) | 1987–2014 | Sławskie (57.4 km) (8) | Zielona Góra (37.6 km) (p) Wrocław (124.3 km) (o) Gorzów Wielkopolski (125.0 km) (d) |
| Drawa–Drawiny (B) | 1987–2014 | Lubie (63.8 km) (2) | Gorzów Wielkopolski (49.9 km) (d) Piła (58.4 km) (k) Poznań (78.0 km) (l) |
| Drwęca–Brodnica (C) | 1987–2020 | Bachotek (7.2 km) (0) | Toruń (58.8 km) (n) Mława (66.3 km) (i) Olsztyn (88.5 km) (j) |
| Ełk–Przechody (D) | 1987–2014 | Selmęt Wielki (30.7 km) (6) | Białystok (62.9 km) (a) Suwałki (68.4 km) (m) Mikołajki (70.9 km) (h) |
| Guber–Prosna (E) | 1987–2016 | Mamry (37.1 km) (4) | Kętrzyn (26.0 km) (f) Mikołajki (59.4 km) (h) Olsztyn (67.7 km) (j) |
| Gwda–Piła (F) | 1987–2014 | Sępoleńskie (62.4 km) (7) | Piła (2.4 km) (k) Poznań (82.0 km) (l) Chojnice (82.0 km) (b) |
| Łeba–Lębork 2 (G) | 1987–2020 | Łebsko (25.8 km) (3) | Łeba (27.3 km) (g) Hel (69.1 km) (e) Chojnice (93.0 km) (b) |
| Łyna–Sępopol (H) | 1987–2020 | Dadaj (46.8 km) (1) | Kętrzyn (32.3 km) (f) Mikołajki (65.4 km) (h) Olsztyn (67.3 km) (j) |
| Pisa–Ptaki (I) | 1987–2020 | Roś (28.7 km) (5) | Mikołajki (46.1 km) (h) Kętrzyn (80.1 km) (f) Białystok (96.8 km) (a) |
| Wda–Czarna Woda (J) | 1987–2020 | Wdzydze (17.4 km) (9) | Chojnice (39.5 km) (b) Elbląg (94.7 km) (c) Toruń (94.9 km) (n) |
| Cases | Slope | Intercept | M-Value | Underestimate | Overestimate |
|---|---|---|---|---|---|
| Case 1 | a < 1 | b < 0 | M0 < Mmin | <Mmin, Mmax> | |
| Case 2 | a < 1 | b > 0 | Mmin < M0 < Mmax | (M0, Mmax> | <Mmin, M0) |
| Case 3 | a > 1 | b > 0 | M0 > Mmax | <Mmin, Mmax> | |
| Case 4 | a > 1 | b < 0 | Mmin < M0 < Mmax | <Mmin, M0) | (M0, Mmax> |
| River | Temperature | a | b | Mo/Po | Underestimate | Overestimate | ||
|---|---|---|---|---|---|---|---|---|
| Min | Max | Mean | ||||||
| Drwęca | 0.1 | 21.8 | 9.8 | 0.9839 | 0.1491 | 8.8 | (8.8–21.9) | (0.1–8.8) |
| Łeba | 0.5 | 16.3 | 8.2 | 0.9753 | 0.0174 | 0.7 | (0.7–16.3) | (0.5–0.7) |
| Łyna | 0.1 | 22.4 | 9.4 | 0.9918 | 0.0237 | 2.9 | (2.9–22.4) | (0.1–2.9) |
| Pisa | 0.1 | 23.0 | 9.6 | 1.0184 | −0.3877 | 21.1 | (0.1–21.1) | (21.1–23.0) |
| Wda | 0.2 | 19.9 | 9.0 | 0.9702 | 0.1871 | 6.3 | (6.3–19.9) | (0.2–6.3) |
| Period | Bóbr * | Drawa * | Ełk * | Guber * | River | Drwęca | Łeba | Łyna | Pisa | Wda |
|---|---|---|---|---|---|---|---|---|---|---|
| Gwda * | ||||||||||
| Nov | 0.68 | 0.65 | 0.65 | 0.65 | 0.55 | 0.73 | 0.44 | 0.66 | 0.77 | 0.64 |
| Dec | 0.50 | 0.35 | 0.40 | 0.36 | 0.43 | 0.47 | 0.37 | 0.43 | 0.52 | 0.48 |
| Jan | −0.13 | 0.12 | −0.18 | −0.18 | −0.18 | −0.08 | −0.18 | −0.20 | 0.03 | 0.11 |
| Feb | −0.17 | −0.10 | −0.03 | −0.04 | −0.16 | 0.00 | −0.04 | 0.07 | 0.15 | 0.18 |
| Mar | −0.12 | 0.02 | 0.06 | 0.12 | 0.24 | 0.30 | 0.19 | 0.26 | 0.47 | 0.41 |
| Apr | 0.39 | 0.32 | 0.40 | 0.35 | 0.45 | 0.41 | 0.39 | 0.45 | 0.79 | 0.42 |
| May | 0.17 | 0.15 | 0.30 | 0.32 | 0.12 | 0.06 | 0.30 | 0.46 | 0.35 | 0.55 |
| Jun | 0.44 | 0.49 | 0.65 | 0.57 | 0.60 | 0.53 | 0.52 | 0.84 | 0.80 | 0.72 |
| Jul | 0.27 | 0.22 | 0.27 | 0.22 | 0.44 | 0.14 | 0.48 | 0.43 | 0.44 | 0.49 |
| Aug | 0.18 | 0.50 | 0.53 | 0.28 | 0.50 | 0.37 | 0.48 | 0.63 | 0.69 | 0.53 |
| Sep | 0.24 | 0.40 | 0.61 | 0.40 | 0.51 | 0.53 | 0.40 | 0.61 | 0.48 | 0.60 |
| Oct | 0.24 | 0.45 | 0.40 | 0.37 | 0.36 | 0.45 | 0.34 | 0.41 | 0.34 | 0.48 |
| Year | 0.18 | 0.33 | 0.30 | 0.25 | 0.29 | 0.34 | 0.28 | 0.44 | 0.47 | 0.49 |
Publisher’s Note: MDPI stays neutral with regard to jurisdictional claims in published maps and institutional affiliations. |
© 2022 by the authors. Licensee MDPI, Basel, Switzerland. This article is an open access article distributed under the terms and conditions of the Creative Commons Attribution (CC BY) license (https://creativecommons.org/licenses/by/4.0/).
Share and Cite
Sojka, M.; Ptak, M. Possibilities of River Water Temperature Reconstruction Using Statistical Models in the Context of Long-Term Thermal Regime Changes Assessment. Appl. Sci. 2022, 12, 7503. https://doi.org/10.3390/app12157503
Sojka M, Ptak M. Possibilities of River Water Temperature Reconstruction Using Statistical Models in the Context of Long-Term Thermal Regime Changes Assessment. Applied Sciences. 2022; 12(15):7503. https://doi.org/10.3390/app12157503
Chicago/Turabian StyleSojka, Mariusz, and Mariusz Ptak. 2022. "Possibilities of River Water Temperature Reconstruction Using Statistical Models in the Context of Long-Term Thermal Regime Changes Assessment" Applied Sciences 12, no. 15: 7503. https://doi.org/10.3390/app12157503
APA StyleSojka, M., & Ptak, M. (2022). Possibilities of River Water Temperature Reconstruction Using Statistical Models in the Context of Long-Term Thermal Regime Changes Assessment. Applied Sciences, 12(15), 7503. https://doi.org/10.3390/app12157503
