Featured Application
A review of epoxide-based solid polymer electrolytes for use in all-solid-state batteries.
Abstract
Solid polymer electrolytes have been widely proposed for use in all solid-state lithium batteries. Advantages of polymer electrolytes over liquid and ceramic electrolytes include their flexibility, tunability and easy processability. An additional benefit of using some types of polymers for electrolytes is that they can be processed without the use of solvents. An example of polymers that are compatible with solvent-free processing is epoxide-containing precursors that can form films via the lithium salt-catalyzed epoxide ring opening polymerization reaction. Many polymers with epoxide functional groups are liquid under ambient conditions and can be used to directly dissolve lithium salts, allowing the reaction to be performed in a single reaction vessel under mild conditions. The existence of a variety of epoxide-containing polymers opens the possibility for significant customization of the resultant films. This review discusses several varieties of epoxide-based polymer electrolytes (polyethylene, silicone-based, amine and plasticizer-containing) and to compare them based on their thermal and electrochemical properties.
1. Introduction
Polymers based on ethylene oxides such as poly(ethylene oxide) (PEO) and nitrile groups such as polyacrylonitrile (PAN) have traditionally been used to prepare solid polymer electrolytes for use in all solid-state batteries [1,2]. However, as the solvent casting method is typically used in research settings to dissolve the polymers and lithium salts that comprise these electrolytes, significant quantities of solvent and energy for solvent evaporation are consumed during the synthesis of these electrolytes [3,4,5,6]. This would result in a significant financial and environmental cost to produce “green” devices. Therefore, a cost effective and solvent-free method for the preparation of solid polymer electrolytes is of interest [7]. Although hot pressing methods for the preparation of solid polymer electrolytes do exist, these require specialized equipment and are mostly limited to thermoplastic materials which impacts the widespread application of this technique.
A solution to this dilemma is to investigate polymerization reactions that allow films to be produced in the absence of solvents. One such reaction is the ring opening polymerization reaction of epoxides which can be catalyzed by lithium salts and/or amine-containing reagents and can yield crosslinked films that tend to have superior mechanical strength and decreased crystallinity relative to typical PEO-based solid polymer electrolytes [7]. Additionally, the ring opening polymerization reaction of epoxides is useful in the generation of ether oxygen-containing polymers which yields ionic conductivity pathways that are similar to those that are found in PEO-based polymer electrolytes [8,9]. The lithium salt-catalyzed ring opening polymerization reaction falls under the category of cationic ring opening polymerization reactions because both the initiating and propagating species are positively charged [10]. Polymers originating from epoxide-containing monomers tend to have desirable characteristics for solid electrolyte applications, in addition to being compatible with solvent-free preparation techniques: they are highly flexible, have low glass transition temperature (Tg), low crystallinity, low polymer chain entanglement and high hydrophilicity relative to polymers with hydrocarbon-based backbones [8]. Additionally, similar to other classes of electrolytes that are suitable for use in all solid-state batteries, epoxide-based polymer electrolytes can provide significant safety advantages over traditional liquid electrolytes. These electrolytes are non-flammable and possess sufficient flexibility and mechanical strength to both prevent leakage and inhibit dendrite growth which can cause short-circuits [11,12,13]. However, as epoxide-based polymer electrolytes are an emerging technology, a full analysis of all potential safety issues and benefits has yet to be widely demonstrated Epoxide-based polymer electrolytes have the possibility of out-performing PEO-based solid electrolytes at room temperature as they are non-crystalline and tend to have high polymer chain mobility [9,14]. Another advantage of epoxide-based solid polymer electrolytes is the possibility for considerable synthetic variability as a result of the variety of epoxide-functionalized monomers that are amenable to polymerization [9]. The viability of many different epoxide-containing monomers for ring opening polymerization means that several characteristics of the resultant polymer electrolytes including ionic conductivity, crystallinity and thermal and electrochemical stability are highly tunable [9].
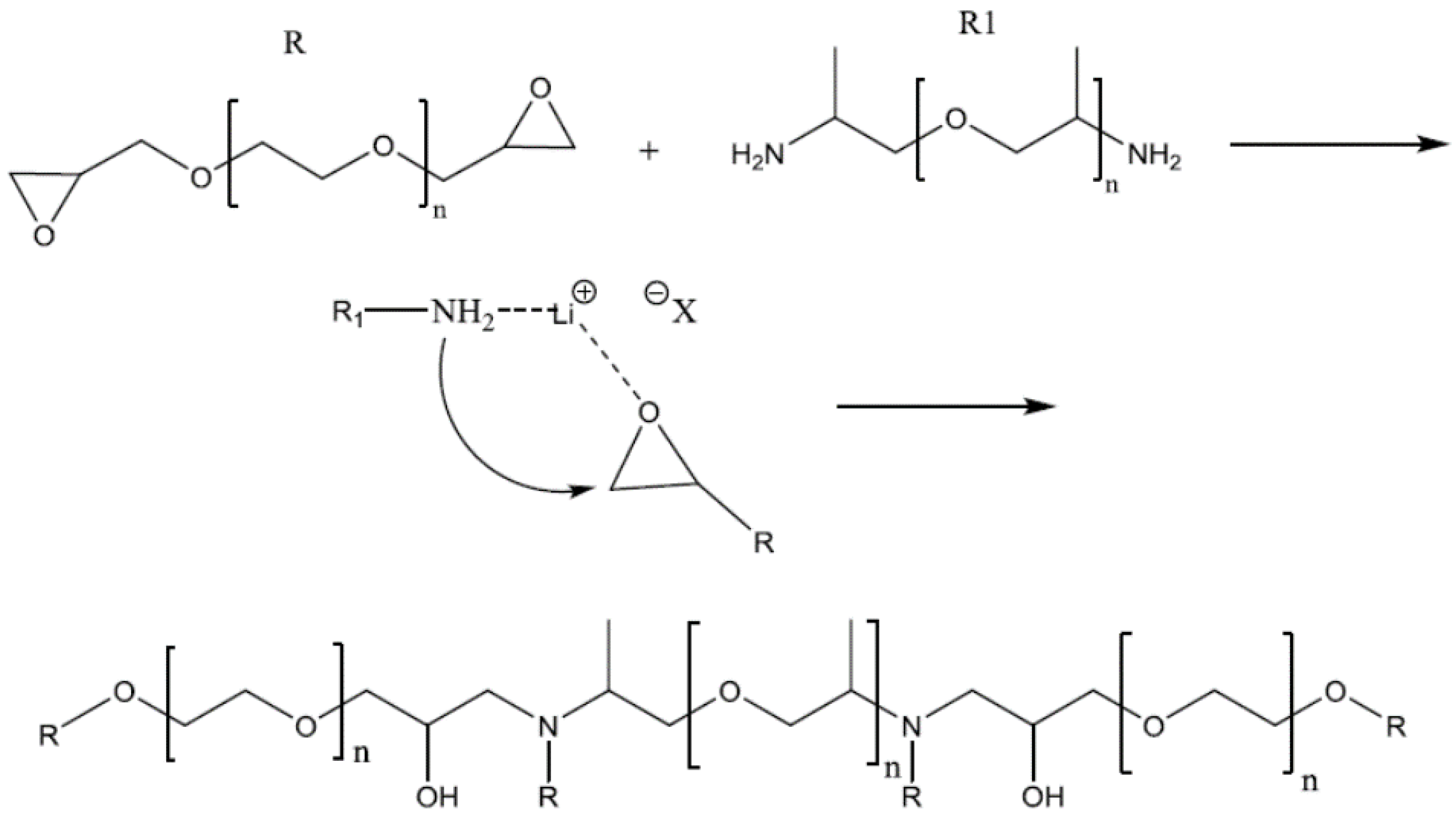
The receptivity of various epoxide monomers toward the ring opening polymerization reaction depends on the molecular structure of the monomer. Cycloaliphatic epoxides, which have significant ring strain, tend to crosslink rapidly, while those with nucleophilic groups tend to crosslink more slowly [15]. In the case of epoxide-based polymer electrolytes, the ring opening polymerization reaction, which occurs as a result of an attack on the carbon-oxygen bond forming an alkoxide ion, tends to occur via the activated monomer mechanism where a Lewis acid bonds to the oxygen (Scheme 1) [8,14]. Interaction with a Lewis acid accelerates the rate of the ring opening polymerization reaction as it reduces the electronic density in the epoxide ring [8]. Under acidic conditions, the epoxide functional group is converted into a hydroxyl group which can go on to react with hydroxyl functional groups or other epoxides yielding C-O-C linkages (Scheme 1) [16,17]. As the presence of multiple epoxide or hydroxyl functional groups opens up the possibility for various polymerization pathways, control of the final product is obtained by selecting the molar ratio of each reagent [16]. The primary advantage of Lewis acid activation is that the polymerization of less reactive functional groups becomes more likely which is advantageous for polymer tunability. Additionally, activation allows the reaction to occur under mild conditions which decreases the total energy required to produce the electrolyte.
Scheme 1.
Activation of the ring opening polymerization reaction of poly(ethylene glycol) diglycidyl ether (DGEPEG) using lithium bis(trimethanesulfonyl)imide (LiTFSI) and the subsequent propagation step. In the activation step, the lithium cation attacks the carbon-oxygen bond on the epoxide. As this reaction occurs under acidic conditions, the epoxide is converted into a hydroxyl ion. During the initiation and propagation steps, the hydroxyl ions react with epoxides and other hydroxyl ions via a nucleophilic reaction yielding chain extension via the formation of C-O-C bonds.
Lithium salts are Lewis acids that can be used to activate the ring opening polymerization reaction [6,8]. During the activation process, the lithium cation coordinates to the oxygen on the epoxide which accelerates the ring opening process by creating a good leaving group (Scheme 1) [6]. Significant advantages of using lithium salts to catalyze the ring opening polymerization reaction include: (i) excluding potentially inactive and poisoning amines from the system, (ii) allowing the reaction to be performed as a “one-pot” synthesis as lithium salts tend to be soluble in liquid epoxide precursors and (iii) lithium salts do not react with the epoxide monomer to form hydroxyl groups during the curing process which can be harmful to lithium electrodes during battery cycling [14].
As a wide variety of solid-state polymer electrolytes can be produced via the ring opening polymerization of epoxide-containing reagents, this review will discuss the ionic conductivities, thermal properties and electrochemical stability of various types of epoxide-based polymers (Table 1). These properties are discussed in more detail in Section 2 of this review. In order to compare epoxide-based solid polymer electrolytes to PEO-based solid polymer electrolytes more directly, the first part of Section 3 of this review will discuss the characteristics of epoxide-based polymer electrolytes that are based on a polyether backbone as polymerized ethylene oxide is the main source of ionic conductivity in these polymers. Then, polymer electrolytes containing silicones (silane and siloxane) are discussed to demonstrate the impact of crosslinking organic and inorganic moieties on the thermal and electrochemical properties of the resultant electrolytes. The next part discusses polymer electrolytes that were polymerized by a combination of lithium salt activation and amine-based curing agents which have been classically used in epoxy curing reactions. The last part of the Section 3 investigates the impact of the incorporation of plasticizers on the ionic conductivity and crystallinity of crosslinked epoxide-based polymer electrolytes. Plasticizers tend to improve ionic conductivity by solubilizing lithium cations and polymer chains.
Table 1.
Thermal and Electrochemical properties of Epoxide-Based Solid Polymer Electrolytes.
2. Thermal and Electrochemical Parameters of Interest
The parameters introduced in Table 1: Tg, ambient temperature ionic conductivity, transference number and electrochemical stability window were monitored to provide a method for the comparison of the performance of the epoxide-based polymer electrolytes that are discussed in this review. Full names and structures for the reagents listed in Table 1 are provided in Figure 1.

Figure 1.
Chemical structures and full names of reagents presented in Table 1. The POSS figure comes from Journal of Power Sources, 2020.
In this section, a description of the measurement and the impact of characteristics of the polymer electrolytes on the measurement are provided.
2.1. Glass Transition Temperature
The glass transition temperature (Tg) is the range of temperatures where an amorphous polymer or the amorphous regions in semi-crystalline polymers transition from a more rigid and brittle material to a softer and more flexible material [43,44]. The Tg is dependent on the type of polymer, the degree of crosslinking and the chain length. As the degree of crosslinking and the chain length are subject to change within a given polymer, this quantity is actually a range of temperatures over which structural changes occur but it is generally reported as a single number [45]. Increased crosslinking tends to increase Tg because Tg is higher when there are fewer atoms between crosslinked sites. In this case, higher Tg does not necessarily indicate increased crystallinity as crosslinking can disrupt crystallinity as a result of preventing polymer motion to self-organize into crystallites. It is generally considered desirable for polymer electrolytes to have lower Tg values as ionic conductivity usually occurs in amorphous polymer phases. Therefore, materials that are amorphous at lower temperatures tend to have better ionic conductivities over a larger temperature range [46,47]. The Tg of PEO-LiTFSI has been reported to be around −35 °C depending on the salt concentration [48]. Decreased Tg has been linked to improved polymer mobility and therefore improved ionic conductivity. The epoxide-based polymer electrolytes prepared from epoxide-only and silicone-containing reagents that are presented in Table 1 tend to have Tg values below 0 °C which is generally considered to be necessary to produce competitive polymer electrolytes. Some of the epoxide-based polymer electrolytes that were prepared with Jeffamines or plasticizers have Tg values above this threshold.
In the examples that are presented in Table 1, the glass transition temperatures were determined experimentally using differential scanning calorimetry (DSC). This technique involves heating a small quantity of sample while recording the energy that is required to do so. Heat flow in the sample is compared to heat flow in a standard and deviations in the heat flow, that are caused by changes in the sample, are indicated by a deviation from the baseline heat flow [49]. When the Tg range is reached, the properties of the polymer change as a result of a re-orientation of the polymer chains [45]. This causes a change in the energy that is required to heat the sample and results in an endothermic inflection point on a plot of heat flow as a function of sample temperature. Factors affecting the Tg that may be relevant in the polymer electrolytes that are discussed here are lithium salt content, the possibility of sample hydration or plasticizer addition and the level of crosslinking in the system. Samples with more crosslinking tend to be more rigid and have higher Tg values. The extent of crosslinking in the samples presented here is most likely to be amplified by increased epoxide content and increased lithium salt content as lithium salts can bind to polymer chains and cause crosslinking via hydrogen bonding interactions [50]. Absorbed water or solvent, which can occur during synthesis or by exposure to ambient (or even dry) conditions tends to cause increased segmental mobility and increased free volume between polymer chains, both of which decrease Tg [51]. Similar changes in polymer electrolytes are expected when plasticizer is added. The impact of plasticizer addition on the Tg of epoxide-based polymer electrolytes will be discussed in Section 3.4 of this document.
2.2. Ionic Conductivity
Ionic conductivity is the movement of charged species in a material in response to an applied electric field [52]. Although solid polymer electrolytes, which are generally comprised of organic monomers, tend to have relatively low conductivities, the addition of ionic species like lithium salts has resulted in the fabrication of reasonably conductive materials (10−8 to 10−6 S/cm at room temperature) [18]. However, ionic conductivities on the order of 10−4 to 10−3 S/cm are necessary for polymer electrolytes to be competitive with their liquid counterparts [53]. The potential ionic conductivity of polymer electrolytes can be particularly high as the impedance of the electrolyte divided by the square of its thickness is the metric that is most commonly used to express ionic conductivity [52]. The superior thin-film forming abilities of most solid polymer electrolytes make them promising candidates in this regard. Ionic conductivity, measured as a function of sample temperature, can also be used to calculate activation energy for the ion transfer process. The activation energy is linked to many factors that impact ion transport including material properties, intermolecular and intramolecular interactions, local morphology and material interfaces [54]. Activation energies are calculated by plotting ionic conductivities measured at several temperatures via either the Arrhenius or the Vogel-Tammann-Fulcher (VTF) methods [54,55]. The VTF method tends to be preferentially used in polymer electrolytes as it separates the effects of charge carrier concentration and polymer motion from the overall conductivity [55]. This generally results in more linear fits than with the Arrhenius equation as the pre-factor is related to charge carrier concentration [14,55]. Activation energies for ion transfer processes in polymer electrolytes tend to be between 10 and 40 kJ/mol with lower activation energies being linked to less hindered ion transport [10,17,27,38,54]. The ionic conductivity of the samples presented in Table 1 was measured using electrochemical impedance spectroscopy (EIS) at ambient temperature (25 or 30 °C in most publications) as this is the temperature range that is most relevant to the operation of personal electronic devices. Additionally, reporting all conductivities in the same temperature range allows the polymer electrolytes to be more readily compared.
The data presented in Table 1 show that adding an epoxide to a PEO-lithium salt polymer electrolyte can result in an order of magnitude increase in conductivity from 10−7 to 10−6 S/cm [18,19]. However, increased ionic conductivity on the order of 10−5 to 10−4 S/cm was observed in some epoxide-based systems [7,10,14,20]. Although the presence of epoxide-based monomers has resulted in increased ionic conductivity, practical conductivities for real-world battery systems (~10−3 S/cm) have only been achieved with the incorporation of liquid plasticizers [6,36,37]. This suggests that the additional crosslinking and/or functional groups that are produced by polymerization between epoxides and other reagents may limit polymer chain mobility or increase polymer salt interactions which are known to decrease ion mobility [44,53,56].
As for Tg, sample parameters that must be taken into account when evaluating these systems are lithium salt content and the possibility of adsorbed water or solvent (even in samples that were prepared using solvent-free methods) [51,57]. Although the addition of lithium salt is the reason that these materials have appreciable ionic conductivity, high salt content can result in reduced lithium-ion motion as a result of increased affinity with the polymer and/or the formation of ion clusters [52,53,58,59]. The presence of water, solvents or plasticizers increases polymer chain mobility and the resultant amorphous phase tends to conduct ions more readily [60]. Although plasticizer addition is done deliberately and is usually declared by authors, work by Mankovsky et al. has shown that potential sources of water in solid polymer electrolytes can unknowingly affect ionic conductivity [57].
2.3. Transference Number
The transference number is a measure of the mobility of the cation relative to the mobility of the anion or, the number of moles of cation that is transferred per Faraday of charge [9,61]. This quantity, which ranges between 0 and 1, can be calculated based on ion diffusion data from pulsed field gradient nuclear magnetic resonance (NMR) experiments or via electrochemical methods. Both the NMR method and a commonly used electrochemical technique, the Bruce-Vincent method, work best in dilute systems. The pulse field gradient NMR experiment is not able to account for the motion of poorly dissociated species (ion pairs and aggregates are observed as individual ions) which results in an over estimation of the transference number [62,63]. The Bruce-Vincent method also tends to over-estimate the transference number because it measures the motion of neutral ions along with the motion of charged species [9,62]. There are other electrochemical methods that can be used to measure transference numbers in concentrated systems: the Balsara-Newman method and the Hittorf method [59,63,64]. However, these methods are more difficult to perform. The Balasara-Newman method requires data from several different types of experiments including the diffusion coefficient, the steady state electrochemical potential and the potential of the concentrated cell while the Hittorf method requires partitioning the electrolyte into sub-sections which can be difficult for polymer electrolytes [63]. All of the transference numbers that are cited in this publication were determined using the Bruce-Vincent method suggesting that they could be over-estimations of the true values. Another effect that must be taken into account when comparing transference numbers is that reactions between the electrolyte and lithium anodes can produce additional mobile ionic species that can reduce the lithium ion transference number [65].
Lithium ion transport numbers tend to be relatively low in solid polymer electrolytes, below 0.5, as a result of high affinity between the lithium salt and the electrolyte or high anion mobility [66,67]. However, values as high as 0.66 have been reported in some polymer electrolyte systems [68]. This range of lithium-ion transport numbers aligns fairly well with what has so far been reported for epoxide-based polymer electrolytes. Electrolytes prepared from reagents that contain epoxides only and/or Jeffamines tend to have lithium-ion transport numbers between 0.2 and 0.3 compared to 0.4 for PEO-LiTFSI [10,18,33,34]. Silicone-based reagents have tended to yield polymer electrolytes with higher lithium cation transport numbers, 0.5 to 0.6 [22,27]. This may be a result of reduced affinity of PDMS-based polymer chains for lithium salts compared to other types of polymer discussed here [69].
2.4. Electrochemical Stability Window
Electrochemical stability windows, as reported in Table 1, were provided for many of the polymer electrolytes that are discussed in this review. The electrochemical stability window is of some importance to a functioning battery as it determines both the open circuit voltage and the life cycle of the battery [70]. For a given material, the electrochemical stability window is determined by the reduction and oxidation potentials that are respectively governed by the conduction band maximum and the valence band minimum [71]. The energy gap between the conduction band maximum and the valence band minimum must be greater than the difference between the electrochemical potentials of the anode and the cathode for the electrode material to be stable [71]. Despite the seemingly simple explanation for electrochemical stability, electrochemical stability windows in polymer electrolytes tend to be largely unexplored. This is a result of the large variety of chemical and morphological variations that can exist in solid polymer electrolytes [70]. These effects, along with differences in interactions between the polymer and the salt and between the electrolyte and the electrodes can make it particularly challenging to accurately predict electrochemical stability windows using theory, comparisons with other materials or computational methods.
For example, PEO (which has been extensively studied) is often rated to have an electrochemical stability window of less than 4 V [72]. As PEO is exclusively comprised of C-O-C bonds and is terminated by -OH, some authors have anticipated that one of these structural motifs is more susceptible to oxidative damage than the other. As diglycidyl ether of polyethyleneglycol (DGEPEG), an epoxide-terminated polyether (and a major component of many of the polymers discussed here) has been shown to be stable up to 4.3 V, it is anticipated that it is the terminal -OH in PEO that most susceptible to oxidative damage [72]. This means that the polymer electrolytes discussed here, may be expected to be more stable than PEO even though they contain C-O-C bonds as they are not -OH terminated and their crosslinked nature may afford more stability [70]. Therefore, the 4 to 5.4 V that are reported by most of the authors who are cited here can be reasonable when variations in electrolyte components and crosslinking motifs are accounted for. That being said, it is important to note that there is a significant difference between being stable over one cycle (for example linear sweep voltammetry experiments which tend to provide more of a guess at the electrochemical stability window as opposed to a certain conclusion), being stable for a few hundred cycles (what most of the publications presented here report) and for thousands of cycles (the industry requirement).The latter requirement is the most difficult to achieve as the Coulombic efficiency must be close to 1 [73,74,75]. Additionally, individual reported electrochemical stability windows can vary as a result of different polymer-lithium salt interactions and interactions with the electrodes. For example, Nair et al. showed that LiBF4 may increase oxidative stability relative to LiTFSI [10]. Moreover, silicones have been shown to be highly compatible with lithium electrodes which could contribute to the larger windows of electrochemical stability that have been reported in the silicone-containing polymer electrolytes that are discussed here (Table 1) [76].
Although differences in experimental methods, polymer electrolyte composition and the extent of crosslinking make the electrolytes that are presented in Table 1 difficult to compare directly, various parameters allow the merits of each of these materials to be evaluated. Here we are primarily interested in how the presence of epoxides and other components of these electrolytes such as silicones, amines and plasticizers impact the thermal and electrochemical properties of these materials and affect their suitability for use as electrolytes in lithium batteries. To facilitate this process, more details regarding each electrolyte are presented in Section 3.1, Section 3.2, Section 3.3 and Section 3.4.
3. Varieties of Epoxide-Based Polymer Electrolyte
3.1. Polyether-Based
Although solid Epoxide-based electrolytes that contain only polyether groups tend to be heavily based on PEO as lithium conduction occurs primarily through ether oxygen groups in these films. In fact, initial attempts at polyether-based epoxide electrolytes involved the incorporation of PEO in the crosslinked material. Li et al. prepared a solid electrolyte using crosslinked PEO and epoxy resin [19]. The addition of LiClO4 initiated the formation of a film via the cationic ring opening polymerization reaction [19]. The resultant solid polymer electrolyte had a room temperature ionic conductivity on the order of 10−6 S/cm which is one to two orders of magnitude higher than that of solid polymer electrolytes that are comprised of PEO alone (about 10−7 to 10−8 S/cm) [19]. The electrolyte material that was developed by Li et al. was cycled in a Li-Li symmetric cell at temperatures ranging between 50 and 80 °C and achieved cycling performances that were comparable to those of PEO-based electrolytes between 100 and 120 °C [19]. However, it was noted by the authors that this system could be improved as decreases in battery capacity (after 3 cycles at 50 °C and after 20 cycles at 80 °C) were linked to decreases in the ionic conductivity of the polymer electrolyte membrane over time [19].
In order to get around the limitations in room temperature conductivity that are imposed by the direct incorporation of PEO in the electrolyte, Wu et al. prepared an epoxide-based solid polymer electrolyte using LiClO4 to polymerize DGEPEG and triglycidyl ether of glycerol (TGEG) [14]. Like PEO, DGEPEG has ethylene oxide units and can be used to conduct lithium cations [77]. Additionally, the material has a low Tg and can be used to form films via the lithium salt-activated ring opening polymerization reaction [77]. The biggest advantage in using DGEPEG as opposed to PEO is that the resultant films are much less crystalline at room temperature [77]. The room temperature ionic conductivity of this electrolyte was around 10−5 S/cm which is greater than that of both PEO and epoxide-based polymers that are prepared directly from PEO [14]. Incorporating less crystalline epoxides into polymer electrolytes tends to cause the resultant polymer to be more mobile, increasing ionic conductivity. Cui et al. also prepared epoxide-based polymer electrolytes using DGEPEG but lithium difluoro(oxalate)borate (LiDFOB) was used to catalyze the ring opening polymerization reaction [7]. The resultant polymer electrolyte was a bit more conductive at room temperature with a conductivity of 8.9 × 10−5 S/cm [7]. This may be a result of LiDFOB having a higher electrochemical stability than LiTFSI. This is because increased electrochemical stability increases salt concentration which, along with charge carrier mobility, tends to result in increased conductivity [78] The electrochemical stability was evaluated using a LiFePO4-Li cell at a current density of 0.1 C [7]. The electrolyte was cycled for 100 cycles with 74.2% efficiency and was stable up to 4.5 V, this is greater than the 3.8 V that is often cited for PEO, relative to Li+/Li [7]. Further improvements in the electrochemical properties of a DGEPEG-based polymer electrolyte were obtained by Nair et al. who catalyzed the ring opening polymerization of DGEPEG using a mixture of LiTFSI and LiBF4 [10]. The resultant polymer had an ionic conductivity of 1.1 × 10−4 S/cm under ambient conditions at 10 wt% and 5 wt% of LiTFSI and LiBF4 respectively [10]. Increased lithium salt content was found to result in higher ionic conductivity and higher Tg values [10]. This was attributed to having an increased number of charge carriers with an increase in salt-polymer interactions. Increasing lithium salt content was also found to increase the activation energy (0.12 eV at 10 wt% LiTFSI and 5 wt% LiBF4) for lithium motion which was attributed to increased ion pairing decreasing ion mobility [10]. The lithium transference number, determined based on ionic conductivity, was 0.23 which is not that much higher than those that are commonly reported for PEO-based polymers. This could be the result of the increased incidence of ion pairs at higher salt loadings. The polymer electrolytes proved to have high electrochemical stability as the sample with 10 wt% LiTFSI and 5 wt% LiBF4 was stable up to 5.5 V vs. Li+/Li [10]. It was found that LiTFSI was less electrochemically stable than LiBF4 as a sample that contained only LiBF4 was stable up to 7.0 V (Figure 2). Electrochemical stability windows were instead more closely related to LiTFSI content. The sample containing the most LiTFSI (15 wt%) was simultaneously the least conductive and the least stable relative to Li+/Li. These results suggest that the choice of lithium salt can have a significant impact on the electrochemical properties of the resultant electrolyte.
Figure 2.
Electrochemical stability of DGEPEG-based polymer electrolytes with various lithium salt contents relative to Li+/Li at 0.1 C. P95 contains 5 wt% LiBF4, P90A contains 5 wt% LiBF4 and 5 wt% LiTFSI, P85A contains 5 wt% LiBF4 and 10 wt% LiTFSI and P80A contains 5 wt% LiBF4 and 15 wt% LiTFSI. Chemistry of Materials, 2019.
In addition to investigating electrochemical stability relative to Li+/Li, Nair et al. also constructed full lithium metal-LFP and lithium metal-NMC batteries using their DGEPEG-based electrolyte [10]. Both cathodes were comprised of 90 wt% active material, 5 wt% polyvinylidene fluoride and 5 wt% carbon black [10]. These batteries were assembled in the coin cell format and were cycled at various rates to determine the lower (2.5 to 4.0 V) and higher (3.0 to 4.4 V) voltage performance of the epoxide-based electrolyte material. Plots of voltage as a function of specific capacity, various cycling rates at 60 °C, show that the epoxide-based electrolyte maintains significant Coulombic efficiency up to 1 C when cycled against LFP and up to 0.2 C when cycled against NMC (Figure 3) [10]. The ability of this electrolyte to withstand cycling with NMC above 4.0 V suggests that the presence of the epoxide provides some improvement over more traditional PEO-based electrolytes which have been widely reported to become unstable over 4.0 V [72].
Figure 3.
Specific capacity as a function of cell voltage for DGEPEG-based polymer electrolytes cycled at various rates at 60 °C with LFP (A) and NMC (B) electrodes. Chemistry of Materials, 2019.
Like PEO, DGEPEG can be combined with numerous reagents to yield polymer electrolytes via the ring opening polymerization reaction [16,20]. An example of this is the polymer electrolyte that was prepared by Duan et al. who used LiTFSI to activate the polymerization of DGEPEG and poly(ethylene glycol) diacrylate (PEGDA) [20]. The resultant films had similar ionic conductivities to the polyether-based epoxide-containing solid polymer electrolytes that are discussed above, 5.3 × 10−5 S/cm, despite being prepared from a mix of more conductive materials [20]. The resultant electrolyte was thermally stable up to 200 °C and had a Tg of −36.9 °C [20]. However, the material was shown to be relatively electrochemically robust as it was stable up to 4.7 V versus Li+/Li and maintained a 99% Coulombic efficiency for up to 150 cycles at 0.2 C and 55 °C [20].
In addition to being used to produce electrolytes for lithium batteries, epoxide-based polymer electrolytes have also been proposed for use in batteries that function based on other types of ions. This demonstrates the versatility of this synthesis technique. Wang et al. prepared a solid polymer electrolyte that conducted calcium ions for use in calcium ion batteries [16]. Calcium batteries have the potential to be useful in the portable energy market as calcium is highly abundant and has a higher energy density than lithium [16]. The development of new electrolytes for calcium ion transport is important as calcium transport numbers tend to be low as a result of the relatively large size of the ion and the possibility of binding to two polymer sites as a result of a 2+ charge [16]. Like the example by Duan et al. that is discussed above, this material was prepared by the lithium salt-activated, ring opening polymerization of two materials: polythetrahydrofuran (PTHF) and 3,4-epoxycyclohexylmethyl 3′,4′-epoxycyclohexane carboxylate (EEC) [16,20]. Ca(NO3)2 was used as a calcium source and served to activate the ring opening polymerization reaction [16]. It is anticipated that the lower crystallinity and lower oxygen content of ECC relative to PEO will result in improved calcium ion transport due reduced ion affinity for the polymer [16]. The ratio of EEC to PTH which provided the best reactivity was 1:1 [16]. This material had an ionic conductivity on the order of 10−5 S/cm at 30 °C and had an activation energy of 0.328 eV for calcium ion transport making it competitive with the lithium conducting electrolytes that are discussed above [16]. Increasing the proportion of EEC results in room temperature ionic conductivities that are on the order of 10−4 S/cm which is the desired magnitude for a polymer-based electrolyte to be competitive with liquid electrolytes, the calcium transference number for this material was 0.359 [16]. In terms of thermal properties, the material was thermally stable up to 120 °C and had a Tg of −7 °C [16]. Although the thermal stability of this polymer is significantly lower than that of most of the polymer electrolytes that are discussed here, it is deemed to be sufficient for devices that are intended to operate at room temperature.
3.2. Silicone-Based Reagents
This section discusses the use of silicone-based reagents such as silanes and siloxanes in epoxide-based polymer electrolytes. Silanes are generally considered to be the silicon-based analogue of methane. However, the hydrogens can be replaced by other various organic functional groups. Siloxanes are functional groups that are comprised of Si-O-Si linkages. Siloxanes can be linear or branched and they are the backbone components of many polymers such as polydimethylsiloxane (PDMS).
Silicone-based reagents have features that make them particularly attractive as electrolyte components. Namely, polymer chains in PDMS-containing compounds tend to be very mobile which confers a low Tg and a high Coulombic efficiency [76,79]. However, as silicone-based reagents tend to be liquids under ambient conditions and have relatively low ionic conductivity, these must be co-polymerized to produce viable electrolyte materials [76,80]. The real advantage of incorporating silicone-based polymers into solid electrolytes is that they are highly compatible with lithium-based electrodes. The Si-O-Si polymer backbone makes these materials highly flexible and lithophilic which gives them a high affinity for lithium anodes [76,80]. In fact, nano-scale PDMS-based coatings are able to respond to changes in the lithium anode surface that occur during cycling which protects the solid electrolyte interface from damage and improves the Coulombic efficiency of the device [80]. In terms of the cathode, the high oxidative stability of siloxanes means that these materials are compatible with a wide range of cathode materials [76]. In addition, the extremely low toxicity and facile modification of PDMS make it suitable for a variety of co-polymerization reactions rendering it a highly customizable electrolyte component [76].
Silicon-containing reagents are also compatible with the cationic ring opening polymerization reaction. Both silanes and siloxanes offer significant advantages to the resultant polymer electrolytes as they confer the stability of inorganic materials as well as the film-forming ability that has been traditionally attributed to organic polymers [17]. Preparing polymer electrolytes with Si-O centers also has the potential to increase the conductivity of the polymer electrolyte as the low rotational energy barrier of the Si-O bond can result in increased chain mobility [23]. Under acidic conditions, silanes react to form silanol (S-OH) groups [17]. As acidic conditions also cause ring opening in epoxides, the resultant OH groups can interact to form C-O-C bonds [17]. This mechanism, a combination of polycondensation and organic crosslinking, causes polymerization between these two types of monomers (Scheme 2) [21].
Scheme 2.
Polycondensation and organic crosslinking resulting in polymerization between a silane (GLYMO) and an epoxide-containing polymer. The polycondensation reaction is a stepwise polymerization reaction where two molecules react to form one while liberating a small molecule such as water. When this process occurs intramolecularly, as illustrated here between the Si-O centers and the epoxides, ring formation occurs Under acidic conditions, silanes react to form silanol groups which can go on to react with epoxides via the ring opening polymerization reaction which is described in detail in Scheme 1.
Popall et al. prepared a relatively conductive electrolyte via this method using 3-glycidyloxypropyltrimethoxysilane (GLYMO), LiClO4 and DGEPEG. When the weight percent of the lithium salt was 8.8%, the resultant film had an ionic conductivity of 1.2 × 10−4 S/cm at 25 °C, an activation energy of 0.057 eV and a Tg of −60 °C [21]. These characteristics make this silane-containing polymer electrolyte a better ion conductor than most of the polyether-based electrolytes that were discussed in the previous section. It is anticipated that these improvements are a result of the inorganic silane domains functioning similarly to inorganic inert nanoparticles in hybrid electrolytes: they reduce crystallinity as a result of contact between organic and inorganic domains [22]. This produces higher ionic conductivity and higher thermochemical stability than traditional PEO and other polyether-based electrolytes. It is predicted that the effects of incorporating silicone-based monomers into polymer electrolytes may be even more pronounced than those of silica nanoparticles as the connectivity between the organic and inorganic domains is maximized.
Boaretto et al. also used GLYMO to produce polymer electrolytes [22]. As GLYMO was combined with another epoxide-containing silane, PEO-methyl-propyltrimethoxysilane (PEO-MP), a binary polymer electrolyte was produced [14]. The resultant electrolyte material was thermally stable up to 250 °C and had a room temperature conductivity on the order of 10−4 S/cm with some variation based on the ratio of LiClO4 to ether oxygen [22]. This material had a transport number (determined using the Bruce-Vincent method) of 0.5 which is significantly higher than the ~0.2 that is generally reported for PEO-based electrolytes [22]. This was attributed to the amorphous nature of the crosslinked polymer electrolyte. In addition, these electrolytes were electrochemically stable up to 4.0 to 4.5 V relative to Li+/Li depending on the lithium to ether oxygen ratio thus demonstrating that the incorporation of inorganic polymers can also improve the electrochemical stability of polymer electrolytes [22]. Differences in ionic conductivity and electrochemical stability between silicone-containing systems and those that contain PEO can be demonstrated by comparing the work of Han et al. where PEO, GLYMO and LiTFSI were combined to produce a polymer electrolyte via the hot pressing method [23]. This material was thermally stable up to 230 °C [23]. The most conductive electrolyte, with a lithium to ether oxygen ratio of 20, had an ionic conductivity of 5.56 × 10−5 S/cm at 30 °C and a Tg of −45.5 °C [23]. The electrochemical stability relative to Li+/Li was 3.75 V, it is anticipated that the inclusion of PEO in the polymer blend made the properties of the resultant electrolyte more similar to those of PEO-based polymer electrolytes than those of silane-containing polymer electrolytes.
Vélez et al. prepared a GLYMO-based polymer electrolyte with improved thermal stability using ethylene diglycidyl ether (EDGE) and LiTFSI [24]. The resultant polymer electrolyte was thermally stable up to 400 °C [24]. However, the Tg was found to be dependent on the lithium to ether oxygen ratio with the Tg increasing from −61 °C when the lithium to ether oxygen ratio was 7 to 45 °C when the lithium to ether oxygen ratio was 20 [24]. This increase was attributed to decreasing polymer chain mobility as a result of increased polymer chain crosslinking that was caused by the affinity of the polymer backbone for the lithium ions [24]. This impacted the ionic conductivity of the material. The highest room temperature conductivity, 2.6 × 10−5 S/cm, was obtained when the lithium to ether oxygen ratio was equal to 10 [24]. This resulted in a lithium transference number of 0.37, which is higher than what is typically observed in PEO-based electrolytes and activation energies for lithium ion transport between 0.5 and 0.6 eV [24]. Ionic conductivity decreased at higher lithium salt loadings as a result of increased polymer crystallinity. The electrochemical stability of this polymer electrolyte was determined to be 4.9 V with respect to Li+/Li [24]. Cycling an asymmetric Li-LTO cell for 500 cycles revealed that the polymer electrolyte is moderately stable with respect to the lithium anode. This was investigated using electrochemical impedance spectroscopy where an observed increase in resistance was attributed to the growth of a solid electrolyte interface layer [24].
In addition to forming polymer electrolytes with polyether-based epoxide reagents via the ring opening polymerization reaction, GLYMO is compatible with other film-forming reactions. Liu and Liu produced solid polymer electrolytes using the sugar agarose, GLYMO and LiTFSI [25]. In this case, linkages were formed between the methoxy groups on the silane and the OH groups on the sugar via a substitution reaction [25]. The resultant polymer was thermally stable up to 150 °C and had good electrochemical properties. At 25 °C, the ionic conductivity was 2.66 × 10−4 S/cm and the lithium ion transference number was 0.39 [25]. Despite having a different mechanism of crosslinking, this polymer electrolyte was stable up to 4.9 V [25]. As this is similar to the other silane-containing polymer electrolytes that are discussed in this work, it is anticipated the epoxides (which are terminal groups here) are electrochemically stable.
PDMS has also been used as a component of solid polymer electrolytes. Like silanes, siloxanes such as PDMS confer high thermal and mechanical stability to the resultant elastomers and can confer these properties to polymer electrolytes when they are crosslinked [26]. In addition, the high chain flexibility, large free volume and lower affinity for lithium ions of PDMS can result in high ion transport capabilities [26]. Grewal et al. prepared solid polymer electrolytes using PDMS, DGEPEG, LiTFSI and pentaerythritol tetrakis (3-mercaptopropionate) (PEMP) as a linker [26]. The resultant electrolytes were thermally stable up to 200 °C and had Tg values between −33.2 and 36.5 °C depending on the LITFSI loading with higher loading resulting in lower thermal stability and higher Tg [26]. The ionic conductivity of this electrolyte is lower than those of the silane-containing materials that are presented above as it is on the order of 10−6 S/cm at 30 °C [26]. The transference number is similar to that of PEO (~0.20) and the activation energy for lithium transport is 0.1 eV [26]. Despite limited gains in ionic conductivity relative to polyether-based electrolytes, the high stability of PDMS does have a significant impact on the electrochemical stability of the electrolyte material which is stable up to 5.3 V with respect to Li+/Li [26].
Hsu et al. prepared solid polymer electrolytes using a PDMS-like polymer: polyhedral oligomeric silsesquioxane (POSS) that had been combined with a PEO-polypropylene oxide co-polymer P(EO-co-PO) via the ring opening polymerization reaction using LiTFSI as an activator [27]. The resultant solid polymer electrolytes were thermally stable, up to 350 °C and had a Tg value of −43 °C [27]. The POSS-based polymer had a higher room temperature conductivity than the polymer that was based on PDMS (1.1 × 10−4 S/cm), a higher transference number (0.62) and a lower activation energy for ion transport as calculated by the Vogel-Tamman-Fulcher method (0.037 eV) [27]. The superior ion transport properties of the POSS-based electrolyte were attributed to the relatively rigid POSS framework keeping polymer chains separated from one another preventing crosslinking and/or tangling between PEO-co-PPO chains which were responsible for ion conduction (Figure 4) [27]. Using POSS instead of PDMS also resulted in improvements in electrochemical stability as the POSS-based electrolyte was stable up to 5.4 V relative to Li+/Li using an LiFePO4 (LFP) electrode for up to 500 h [27]. The reported improvements in electrochemical stability stemming from the inclusion of POSS in this solid polymer electrolyte translated to improved electrochemical performance relative to other solid polymer electrolyte-based batteries that employ PEO-based systems [7,81]. The POSS-based electrolyte was cycled at room temperature in a Li-LFP cell between 2.5 and 4.0 V [27]. Relatively high capacities were maintained at cycling rates ranging between 0.1 and 1 C (Figure 5) [27]. Additionally, 95% capacity was maintained for 50 cycles at 0.1 C and 92% capacity was maintained for 50 cycles at 0.2 C (Figure 5) [27]. The properties of the above electrolytes show that the inclusion of silanes or siloxanes in epoxide-based solid polymer electrolytes can improve ionic conductivity and electrochemical stability via the creation of a highly miscible organic-inorganic interface, reduced affinity for the polymer by lithium ions and improved crosslinking.
Figure 4.
Lithium-ion transport in POSS and PEO-co-PPO polymer electrolyte. The PEO-co-PPO chains are straightened and kept apart by the POSS hub which facilitates lithium motion. Journal of Power Sources, 2020.
Figure 5.
(A) Specific capacity in a Li-POSS and PEO-co-PPO polymer electrolyte-LFP cell at room temperature cycled at various rate between 2.5 and 4.0 V. (B) Capacity of the Li-POSS and PEO-co-PPO polymer electrolyte-LFP cell after 50 cycles at 0.2 and 0.1 C. Journal of Power Sources, 2020.
3.3. Amines (Jeffamines)
Amines have often been used as curing agents in epoxide polymerization reactions [40,82,83]. Reagents that are commonly cited in connection with epoxy curing are Jeffamines. Jeffamine is the trademark name of a series of polyether-based or polypropylene-based polymers that are terminated with primary amines [56,84]. The monoamine version contains a single amino group whereas the diamine version has amino groups on both ends of the polyether chain [84]. Jeffamines can be grafted to or reacted with many types of polymers resulting in several co-polymerization options. These polymers include binders for cathodes and solid electrolytes with polyethylene-based backbones as well as the epoxide-containing materials that will be discussed here [85]. The advantages of Jeffamines for use in the context of epoxide-based polymer electrolytes include conferring high polymer chain flexibility, improved mechanical properties and high electrochemical stability [56,85]. Perhaps most importantly, the distributed amine groups in Jeffamine-containing electrolytes are expected to decrease polymer crystallinity which causes increased ambient temperature ionic conductivity in these materials [86]. Additionally, Jeffamines are low cost and commercially available [85]. Jeffamines are anticipated to be compatible with most epoxy-based polymer electrolytes as amine-epoxy adduct chemistry has been well-studied [56,82]. The use of Jeffamines in the production of epoxide-based polymer electrolytes offers the possibility for significant customization as a wide range of molecular weights and repeat unit types are available [56]. Lithium salts can be used to polymerize Jeffamines to produce solid polymer electrolytes and these materials can be combined with epoxides to yield novel polymer electrolytes (Scheme 3) [85,87].
Scheme 3.
Epoxy-amine reaction between DGEPEG and a Jeffamine diamine.
Andrieu et al. took advantage of that fact that amine groups can improve electrolyte conductivity by interrupting ethylene oxide polymer chains with amine groups as they prepared polymer electrolytes with varying molecular weights using a polypropylene-based Jeffamine, DGEPEG and LiClO4 [28]. These electrolytes were the most conductive when the total molecular weight of the polymer was 6000 Da. This material had a conductivity of 4 × 10−5 S/cm at room temperature and an activation energy (as determined be the Arrhenius method) of 0.187 eV. The electrolyte had a Tg of −56 °C and was electrochemically stable up to 4.6 V vs. Li+/Li [28].
The impact of molecular weight was also noted by Liang et al. who prepared a series of solid polymer electrolytes via a one-pot synthesis method using LiClO4 to catalyze the cross linking of Jeffamine D2000 or D400 to SG80, an epoxy-siloxane polymer [29]. FTIR spectroscopy confirmed that the epoxide group was involved in the polymerization reaction as a result of the disappearance of the peak at 915 cm−1 which corresponds to the epoxide functional group [29]. The electrolytes that were made with Jeffamine D2000 were shown to have better thermal and electrochemical properties. Increasing LiClO4 content was correlated with increasing Tg values. As LiClO4 content was increased, Tg values for the polypropylene chains ranged between −59 and −11 °C and Tg for the main polymer network increased from 7 to 30 °C [29]. However, ionic conductivity was observed to be the highest when the lithium salt to polypropylene oxide ratio was 15 with small decreases in conductivity occurring with increasing LiClO4 loading [29]. Lithium conductivity on the order of 10−7 S/cm was measured at room temperature and the material was thermally stable until about 385 °C [29]. Similarily, Kuo et al. prepared solid polymer electrolytes using Jeffamine D400 and DGEPEG with LiClO4 salt [30]. These materials had Tg values ranging between −41 and 15 °C with increasing LiClO4 content and were thermally stable up to about 300 °C [30]. As was observed in the Jeffamine D2000-epoxy-siloxane system described above, peak conductivity was achieved when the lithium to polypropylene oxide ratio was 15 [30]. Room temperature ionic conductivity was on the order of 10−7 S/cm [30].
Jeffamine-epoxy adducts are versatile and have also been used in the synthesis of hybrid polymer electrolytes. Feng et al. prepared a series of hybrid polymer electrolytes containing diglycidyl ether of bisphenol A (DGEBA), poly(ethylene glycol) (PEG), LiTf and nano-silica using either Jeffamine D400 or metaxylylenediamine (MXDA) as a curing agent [31]. The Tg values ranged between 40 and 70 °C depending on both the silica content and the lithium salt content of the polymer electrolyte with increased silica content (0 to 10 wt%) and increased lithium salt content (lithium to ether oxygen ratios between 0.1 and 0.15) resulting in decreased Tg [31]. The ionic conductivity of these materials (lithium to ether oxygen ratio of 0.125) is between 10−5 to 10−6 S/cm when the nano-silica content is between 0 and 10 wt% with increasing nano-silica content resulting in higher ionic conductivities [31]. At all nano-silica loadings, the ionic conductivity of the samples that were cured with Jeffamine D400 is greater than that of the samples that were cured with MXDA as a result of the aromatic compound making the crosslinked epoxy network more rigid (Figure 6) [31].
Figure 6.
Ambient temperature ionic conductivity of polymer electrolytes comprised of DGEBA, PEG, LiTf and nano-silica using either Jeffamine D400 or metaxllenediamine (MXDA) as a curing agent. The lithium to ether oxygen ratio was 0.125 in all cases. Materials Science and Engineering B, 2017.
In addition to Jeffamines, other amine-containing polymers have been used to produce epoxide-based solid polymer electrolytes [32,33,34]. Guhathakurta and Min combined lithiated diamine diphenylsulfone (DDS) and DGEPEG to produce electrolyte films that were stable up to about 300 °C and had a Tg of 40 °C [32]. As a result of the relatively high Tg, these films proved to be less conductive than other epoxide-based electrolytes containing amines with an ionic conductivity on the order of 10−8 S/cm at room temperature [32].
Other diamine reagents that have been used to produce solid polymer electrolytes with improved thermal and electrochemical properties include poly(ethylene glycol) diamine (NPEG) which was used by both Chen et al. and Chen et al. to prepare a series of epoxide-based solid polymer electrolytes [33,34]. Polymerizing NPEG with trimethylolpropane triglycidyl ether (TMPEG) in the presence of LiTFSI resulted in the formation of solid polymer electrolytes with Tg values ranging from −40 to −43.5 °C depending on the molecular weight of the NPEG reagent and were thermally stable up until about 300 °C [33]. Relatively high room temperature ionic conductivities were reported, 1.10 × 10−4 S/cm in the sample that was made with NPEG4000 [33]. The lithium ion transference number, which was calculated for this sample at 60 °C based on conductivity data using the Vincent-Bruce method, was 0.27 [33]. The NPEG-TMPEG crosslinked electrolyte was shown to be significantly more electrochemically stable than PEO, 5.4 V versus less than 4.0 V with respect to Li+/Li [33]. In addition, the NPEG-TMPEG electrolyte was shown to retain up to 90.6% capacity after 100 cycles at 60 °C in an Li-Li call at a cycling rate of 0.2 C [33]. The NPEG-TMPEG electrolyte was also cycled in a Li-LFP coin cell system between 2.8 and 4.0 V at 60 °C [33]. The battery maintained good specific capacity at cycling rates ranging from 0.1 to 1 C (Figure 7). The LFP battery was also compared to a full battery utilizing PEO as an electrolyte. At 60 °C and a charge rate of 0.2 C, the NPEG-TMPEG electrolyte was able to maintain high specific capacity and a high Coulombic efficiency whereas the PEO cell lost significant capacity after a few cycles (Figure 7).
Figure 7.
(A) Specific capacity of an NPEG-TMPEG polymer electrolyte-LFP cell at 60 °C cycled at various rate between 2.8 and 4.0 V. (B) Capacity of the NPEG-TMPEG polymer electrolyte-LFP cell after 100 cycles at 0.2 compared with a PEO-LFP cell. Journal of Power Sources, 2020.
NPEG has also been combined with LiTFSI and 1,3,5-triglycidylisocyanurate (TGIC) to yield solid polymer electrolytes with similar thermal and electrochemical properties to the NPEG-TMPEG electrolytes that are discussed above [34]. The resultant materials were thermally stable up to 300 °C and had Tg values between −40.3 and 44.1 °C which once again depended on the molecular weight of the NPEG reagent [34]. The sample made with NPEG4000 had an ionic conductivity of 1.15 × 10−4 S/cm at 30 °C and a transference number of 0.32 at 60 °C indicating that lithium ions are more mobile in this crosslinked film than in the one that was prepared with TMPEG [34]. However, NPEG-TGIC was less stable with respect to Li+/Li than NPEG-TMPEG, 5.1 V [34]. In addition, the NPEG-TGIC electrolyte was shown to retain up to 94.5% capacity at 60 °C at a cycling rate of 0.2 C using a LiMn0.5Fe0.5PO4 (LMFP) cathode [34]. Many of the amine-containing electrolytes show improved ionic conductivity when the molecular weight of the amine-bearing reagent is increased. This suggests that amine groups decreasing the crystallinity of the crosslinked polymer has a significant impact on lithium-ion mobility in these electrolytes.
3.4. Plasticizers and Gel Electrodes
In addition to introducing various functional groups into epoxide-based solid polymer electrolytes to improve ionic conductivity, plasticizers can be added to these polymer frameworks for further enhancement of the ionic conductivity [36,38]. Plasticizers improve ionic conductivity in electrolytes as a result of solvating ions, decreasing their affinity for the polymer phase and therefore increasing ion mobility [88]. Plasticizers also impact the solid polymer phase as they tend to increase the free volume between polymer chains thereby increasing chain mobility, preventing tangling and increasing lithium ion transport [44,89]. However, as plasticizers are typically liquids, the crosslinked epoxy-based polymer serves as a scaffold allowing the use of plasticizers in all solid-state systems [89].
The impact of plasticizers on the ionic conductivity of solid electrolytes was demonstrated by Liang et al. who added propylene carbonate (PC) to a crosslinked epoxide-based polymer that was prepared using DGEPEG, DGEBA, Jeffamine D400 and LiClO4 that was prepared in the absence of solvents [35]. The solid electrolyte had a room temperature ionic conductivity on the order of 10−9 S/cm in the absence of the PC plasticizer [35]. However, when 22 wt% PC was added to the system, the room temperature conductivity was increased to 3.1 × 10−5 S/cm [35]. The increased ionic conductivity was attributed to increased polymer segment mobility as the addition of 22% PC decreased the Tg from −4 °C to −40 °C when the DGEBA loading was 10% [35]. It is for this reason that polymer electrolytes containing plasticizers are generally more conductive than their completely solid counterparts.
Ren et al. prepared polymer electrolytes comprised of various ratios of polyvinylidene fluoride co hexafluoropropylene (PVDF-HFP) and DGEPEG cross linked with poly(ethylenimine) (DIEPEG-PEI) [36]. These electrolytes were soaked in a mixture of ethylene carbonate, dimethyl carbonate and LiPF6 [36]. The sample with a PVDF-HFP to DIEPEG-PEI ratio of 60:40, had the greatest uptake of the lithium salt-plasticizer mixture [36]. Absorption of the plasticizer mixture resulted in this film having an ionic conductivity of 2.3 × 10−3 S/cm at room temperature and an activation energy of 0.88 eV [36]. This amine-containing material is at least an order of magnitude more conductive than the amine-containing epoxy polymers that were discussed in the previous section. The increase in ionic conductivity was attributed to the affinity of the lithium cations for the plasticizer resulting in increased mobility. All the PVDF-HFP-DIEPEG-PEI based electrolytes prepared by Ren et al. were thermally stable up to about 200 °C and were electrochemically stable up to about 4.8 V relative to Li+/Li [36].
The effect of absorbed plasticizers in Jeffamine-containing epoxide-based solid polymer electrolytes is detailed in the work of Matsumoto and Endo who prepared solid polymer electrolytes consisting of DGEPEG, PEGBA and 3-glycidyloxypropanesulfonate (LiGPS) that were swollen with a mixture of PC and LiTFSI [37]. These electrolytes were thermally stable up to 322 °C and had a Tg value of −55 °C when LiGPS was included in the mixture [37]. The ionic conductivity was found to be dependent on both the quantity of LiGPS and LiTFSI-PC that was present. Ionic conductivity increased from 4.8 × 10−8 to 3.4 × 10−7 S/cm when the weight percent of LiGPS was increased from 6.3 to 19 [37]. Swelling the electrolyte in LiTFSI-PC had an even greater impact on the ionic conductivity. Ionic conductivities in the swollen samples were 9.2 × 10−3 and 2.4 × 10−3 S/cm for the samples with 19 and 6.3 wt% LiGPS respectively (Figure 8) [37].
Figure 8.
Ambient temperature ionic conductivity of polymer electrolytes comprised of DGEPEG, PEGBA and LiGPS with various solvent mixtures as a function of LiGPS weight percent. Made from data presented in Journal of Polymer Science Part A-1: Polymer Chemistry, 2010.
LiTFSI-PC was similarly used by Andrews et al. who prepared an epoxy-based polymer electrolyte using DGEPEG and 4,4-methylenebis(cyclohexylamine) (PACM) [6]. This material had a relatively high Tg, 160 °C, but still achieved a high room temperature ionic conductivity: 1 × 10−3 S/cm when the LiTFSI-PC loading was 30 wt% [6]. The measured ionic conductivity is anticipated to be high, despite limited polymer mobility, as a result of PC decreasing the affinity between the lithium cations and the polymer phase. The material was thermally stable up to 240 °C where evaporation of PC was observed.
Jang et al. prepared plasticizer-containing solid polymer electrolytes via the amine-catalyzed polymerization of an epoxide [38]. N-benzyldimethylamine (BDMA) was used to catalyze the polymerization of DGEBA [38]. The resultant polymer was soaked in a mixture of succinonitrile (SN) and LiTFSI to produce samples with various weight percent of the plasticizer mixture. After the curing process, samples containing 30, 50 and 70 wt% of the plasticizer mixture exhibited sufficient three-dimensional crosslinking to exhibit solid-like behavior. The sample containing 30 wt% of the plasticizer mixture was the most conductive with an ionic conductivity on the order of 10−2 S/cm at room temperature [38]. The activation energy for ionic conductivity in the material, determined based on the Arrhenius method, was 1.2 eV [38]. As the Arrhenius method is usually used in polymer electrolytes to describe ionic motion at lower temperatures, where ion mobility is dominated by the motion of ions pairs, it is unclear whether this determination of activation energy accounts for the influence of the plasticizer on ion mobility or is solely related to the motion of ion pairs in the solid polymer [90].
Although the solid polymer electrolytes that have been presented thus far contain amine crosslinking agents, they do not need to be present to produce plasticizer-containing solid polymer electrolytes. Choi and Jung prepared solid polymer electrolytes using LiTFSI dissolved in SN to activate the ring opening polymerization reaction in a bisphenol-A epoxy resin called YD-128 [39]. Ionic conductivity increased with increasing LiTFSI-SN content. Ionic conductivity on the order of 10−4 S/cm was recorded at 25 °C in a sample containing 70 wt% LiTFSI [39]. The ionic conductivity in this system is improved by at least an order of magnitude compared with the other polyether epoxide-based solid polymer electrolytes that are discussed in this work.
Like plasticizers, ionic liquids can also be used to enhance ionic conductivity in epoxide-based solid polymer electrolytes. Ionic liquids are fused salts that are comprised of an organic cation and an organic or inorganic anion and have melting points that are lower than 100 °C [41,91]. Ionic liquids tend to have low melting points but high boiling points and are non-flammable making them safe options for inclusion in solid electrolyte assemblies [92]. As ionic liquids are comprised of only cations and anions in a molten state, they require some sort of scaffold (such as crosslinked epoxide-based polymers) to function as viable electrolyte materials for use in all solid-state batteries [93]. In addition to requiring solid support, hybridization with a polymer electrolyte allows ionic liquids to overcome low ionic conductivity and low electrochemical stability below 1.1 V [92].
Matsumoto and Endo prepared crosslinked electrolytes from DGEPEG and DEGBA which contained 10 wt% of the ionic liquid 1-ethyl-3-methylimidazolium bis(fluorosulfonyl)imide (EMImFSI) [40]. These polymer electrolytes were thermally stable up to 220 °C and had an ambient temperature conductivity of 4.3 × 10−3 S/cm [40]. Soares et al. prepared an ionic liquid-containing polymer electrolyte using DGEBA and Jeffamine D400 with either octadecyl-triphenylphosphonium (O-TPP) or dioctadecyl-imidazolium (DO-Im) as an ionic liquid [41]. Using a Jeffamine as a curing agent meant that the crosslinked electrolyte could be cured at a lower temperature preventing damage to the ionic liquid [33]. This system was thermally stable up to 300 °C [41]. More recently, Kwon et al. swelled a membrane comprised of the epoxide-based polymer DGEBA in a mixture of the ionic liquid methylimidazoliumbis(trifluorosulfonyl)imide (BMIM-TFSI) and LiTFSI to produce a solid polymer electrolyte for use in a supercapacitor [42]. The electrolytes that contained 2 to 8 volume percent of Al2O3 nanowires had a Tg of 96 °C, a room temperature ionic conductivity of 2.5 × 10−6 S/cm and an activation energy for ion transfer of 0.08 eV as determined via the VTF method [42]. These results suggest that ionic liquid-containing epoxide-based polymer electrolytes are about on par when compared to epoxide-based electrolytes that contain plasticizers. However, as none of the authors cited above measured the electrochemical stability of their films, it is uncertain whether the fact that ionic liquids can be electrochemically stable at voltages as high as 5.3 V vs. Li+/Li contributes to improved electrochemical stability in these electrolytes [92].
4. Perspectives
Despite their differences, most of the epoxide-based polymer electrolytes that are discussed here out-perform PEO-based electrolytes in terms of ambient temperature ionic conductivity and electrochemical stability (Table 1) though most of them are based on an epoxidized PEO. Additionally, as the presence of lithium salts (and/or amines) activates the polymerization reaction, these films can be processed in one-pot reactions requiring little to no additional solvent which decreases experimental complexity and improves the environmental footprint associated with the preparation of these electrolytes. Both Liang et al. and Soares et al., who added plasticizers to Jeffamine-based systems, demonstrated that the thermal and electrochemical properties of these electrolytes may be improved by combining two or more functional groups to produce multifunctional polymer electrolytes [35,41]. Epoxide-terminated polymers are versatile in this sense as it is possible to use the ring-opening epoxide polymerization reaction to combine many functional groups in the same polymer system. These qualities make epoxide-containing solid polymer electrolytes attractive for use in future electronic devices.
Another avenue for further investigation pertaining to epoxide-based polymer electrolytes is an evaluation of the reliability of the electrochemical stability windows that have been reported by several authors who are cited in this review. It has been proposed that epoxide-based polymer electrolytes may be more electrochemically stable than PEO as a result of not containing -OH groups [70]. However, to confirm this, the electrochemical stability windows of various functional groups that are commonly found in epoxide-based polymer electrolytes including: C-O-C, silicones and amines must be rigorously determined. This should be done by cycling these materials with high-voltage cathode materials such as Li[Ni1/3Co1/3Mn1/3]O2, LiCoO2 or Li-MnO2. In addition to investigating the electrochemical stability of the electrolyte materials themselves, the impact of interactions between the polymer and the salt and the electrolyte and the electrodes must be considered to provide a complete picture of the electrochemical stability of these systems and an adequate comparison to PEO-based electrolytes which have previously been characterized extensively.
5. Conclusions
This work compares several epoxide-containing solid polymer electrolytes from four main categories: polyether, silicone-containing, amine-containing and plasticizer-containing (Table 1). General trends in ionic conductivity and electrochemical stability suggest that solid electrolytes that contain only hydrocarbons tend to have relatively low ionic conductivity and electrochemical stability relative to Li+/Li. The addition of other functional groups such as silanes, siloxanes or amines seems to increase both ionic conductivity and electrochemical stability by improving crosslinking in the resultant films and/or by decreasing film crystallinity and/or by decreasing the affinity of the lithium ions for the polymer phase. However, the intervention that was shown to have the greatest impact on ionic conductivity was the addition of plasticizers which improve ionic conductivity by solvating lithium cations and by increasing the mobility of the polymer chains. However, the impact of plasticizer inclusion on the electrochemical stability of epoxide-based polymer electrolytes was not extensively discussed in literature. The relatively rigid framework of the epoxide-based polymer electrolyte provides physical support allowing plasticizers to be used while avoiding leaking which can occur with typical solvent based electrolytes. Despite the significant increase in ionic conductivity that is provided by the inclusion of plasticizers, and based on the reported properties, the overall best electrolyte that was presented in this review was determined to be the POSS-PEO-co-PEO electrolyte with LiTFSI as it had a relatively low Tg (−43 °C), a relatively high ionic conductivity at room temperature (1.1 × 10−4 S/cm), a high transport number (0.62) and a high electrochemical stability and was cycled in full cells with both LFP and NMC.
Author Contributions
Conceptualization, G.F., D.L. and A.P.; writing—original draft preparation, G.F.; writing—review and editing, G.F., N.V., D.L., A.P. and M.D.; supervision, A.P. and M.D.; project administration, M.D. and D.A.-P.; funding acquisition, M.D. and D.A.-P. All authors have read and agreed to the published version of the manuscript.
Funding
Authors would like to acknowledge funding from the National Sciences and Engineering Research Council of Canada (NSERC) and Total Canada Inc. (NSERC Collaborative Research and Development; RDCPJ 528052-18).
Institutional Review Board Statement
Not applicable.
Informed Consent Statement
Not applicable.
Data Availability Statement
Data sharing not applicable.
Conflicts of Interest
The authors declare no conflict of interest.
References
- Bouchet, R.; Lascaud, S.; Rosso, M. An EIS Study of the Anode Li/PEO-LiTFSI of a Li Polymer Battery. J. Electrochem. Soc. 2003, 150, A1385. [Google Scholar] [CrossRef]
- Huang, B.; Wang, Z.; Chen, L.; Xue, R.; Wang, F. The Mechanism of Lithium Ion Transport in Polyacrylonitrile-Based Polymer Electrolytes. Solid State Ion. 1996, 91, 279–284. [Google Scholar] [CrossRef]
- Xue, Z.; He, D.; Xie, X. Poly(ethylene oxide)-based electrolytes for lithium-ion batteries. J. Mater. Chem. A 2015, 3, 19218–19253. [Google Scholar] [CrossRef]
- Chen, R.; Qu, W.; Guo, X.; Li, L.; Wu, F. The pursuit of solid-state electrolytes for lithium batteries: From comprehensive insight to emerging horizons. Mater. Horiz. 2016, 3, 487–516. [Google Scholar] [CrossRef]
- Franco, R.W.A.; Donoso, J.P.; Magon, C.J.; Pernaut, J.M.; De Souza, P.P. NMR and DSC study of polymer electrolyte-Carbon Black composites. Solid State Ion. 2000, 136–137, 1181–1187. [Google Scholar] [CrossRef]
- Andrews, W.T.; Liebig, A.; Cook, J.; Marsh, P.; Ciocanel, C.; Lindberg, G.E.; Browder, C.C. Development of a PEO-based lithium ion conductive epoxy resin polymer electrolyte. Solid State Ion. 2018, 326, 150–158. [Google Scholar] [CrossRef]
- Cui, Y.; Liang, X.; Chai, J.; Cui, Z.; Wang, Q.; He, W.; Liu, X.; Liu, Z.; Cui, G.; Feng, J. High Performance Solid Polymer Electrolytes for Rechargeable Batteries: A Self-Catalyzed Strategy toward Facile Synthesis. Adv. Sci. 2017, 4, 1700174. [Google Scholar] [CrossRef]
- Herzberger, J.; Niederer, K.; Pohlit, H.; Seiwert, J.; Worm, M.; Wurm, F.R.; Frey, H. Polymerization of ethylene oxide, propylene oxide, and other alkylene oxides: Synthesis, novel polymer architectures, and bioconjugation. Chem. Rev. 2016, 116, 2170–2243. [Google Scholar] [CrossRef] [PubMed]
- Mindemark, J.; Lacey, M.J.; Bowden, T.; Brandell, D. Beyond PEO—Alternative host materials for Li+-conducting solid polymer electrolytes. Prog. Polym. Sci. 2018, 81, 114–143. [Google Scholar] [CrossRef]
- Nair, J.R.; Shaji, I.; Ehteshami, N.; Thum, A.; Diddens, D.; Heuer, A.; Winter, M. Solid Polymer Electrolytes for Lithium Metal Battery via Thermally Induced Cationic Ring-Opening Polymerization (CROP) with an Insight into the Reaction Mechanism. Chem. Mater. 2019, 31, 3118–3133. [Google Scholar] [CrossRef]
- Son, C.Y.; Wang, Z.-G. Ion transport in small-molecule and polymer electrolytes. J. Chem. Phys. 2020, 153, 100903. [Google Scholar] [CrossRef] [PubMed]
- Verdier, N.; Lepage, D.; Zidani, R.; Prebe, A.; Ayme-Perrot, D.; Pellerin, C.; Dollé, M.; Rochefort, D. Crosslinked polyacrylonitrile-based elastomer used as gel polymer electrolyte in Li-ion battery applications. Appl. Energy Mater. 2020, 3, 1099–1110. [Google Scholar] [CrossRef]
- Zhang, Q.; Liu, K.; Ding, F.; Liu, X. Recent advances in solid polymer electrolytes for lithium batteries. Nano Res. 2017, 10, 4139–4174. [Google Scholar] [CrossRef]
- Wu, S.; Peng, X.; Song, Y.; Zhou, Z.; Lin, Y.; Chen, D.; Wang, F. Cure and ionic conductivity of a two-component epoxy network polymer electrolyte. Solid State Ion. 1995, 76, 163–172. [Google Scholar] [CrossRef]
- Ligon, S.C.; Liska, R.; Stampfl, J.; Gurr, M.; Mülhaupt, R. Polymers for 3D Printing and Customized Additive Manufacturing. Chem. Rev. 2017, 117, 10212–10290. [Google Scholar] [CrossRef]
- Wang, J.; Genier, F.S.; Li, H.; Biria, S.; Hosein, I.D. A Solid Polymer Electrolyte from Cross-Linked Polytetrahydrofuran for Calcium Ion Conduction. ACS Appl. Polym. Mater. 2019, 1, 1837–1844. [Google Scholar] [CrossRef]
- Rachipudi, P.S.; Kittur, A.A.; Sajjan, A.M.; Kariduraganavar, M.Y. Synthesis and characterization of hybrid membranes using chitosan and 2-(3,4-epoxycyclohexyl) ethyltrimethoxysilane for pervaporation dehydration of isopropanol. J. Memb. Sci. 2013, 441, 83–92. [Google Scholar] [CrossRef]
- Cheng, H.; Zhu, C.; Huang, B.; Lu, M.; Yang, Y. Synthesis and electrochemical characterization of PEO-based polymer electrolytes with room temperature ionic liquids. Electrochim. Acta 2007, 52, 5789–5794. [Google Scholar] [CrossRef]
- Changzhi, L.; Xinsheng, P.; Borong, Z.; Baochen, W. An all-solid-state lithium/polyaniline rechargeable cell. J. Power Sources 1992, 39, 255–258. [Google Scholar] [CrossRef]
- Duan, H.; Yin, Y.X.; Zeng, X.X.; Li, J.Y.; Shi, J.L.; Shi, Y.; Wen, R.; Guo, Y.G.; Wan, L.J. In-situ plasticized polymer electrolyte with double-network for flexible solid-state lithium-metal batteries. Energy Storage Mater. 2018, 10, 85–91. [Google Scholar] [CrossRef]
- Popall, M.; Andrei, M.; Kappel, J.; Kron, J.; Olma, K.; Olsowski, B. ORMOCERs as inorganic-organic electrolytes for new solid state lithium batteries and supercapacitors. Electrochim. Acta 1998, 43, 1155–1161. [Google Scholar] [CrossRef]
- Boaretto, N.; Bittner, A.; Brinkmann, C.; Olsowski, B.E.; Schulz, J.; Seyfried, M.; Vezzù, K.; Popall, M.; Di Noto, V. Highly conducting 3D-hybrid polymer electrolytes for lithium batteries based on siloxane networks and cross-linked organic polar interphases. Chem. Mater. 2014, 26, 6339–6350. [Google Scholar] [CrossRef]
- Han, P.; Zhu, Y.; Liu, J. An all-solid-state lithium ion battery electrolyte membrane fabricated by hot-pressing method. J. Power Sources 2015, 284, 459–465. [Google Scholar] [CrossRef]
- Vélez, J.F.; Aparicio, M.; Mosa, J. Covalent silica-PEO-LiTFSI hybrid solid electrolytes via sol-gel for Li-ion battery applications. Electrochim. Acta 2016, 213, 831–841. [Google Scholar] [CrossRef]
- Liu, F.; Liu, J. Agarose Based Solid Electrolyte for All-Solid-State Lithium Ion Batteries Working from −20 to 80 °C. J. Electrochem. Soc. 2020, 167, 80519. [Google Scholar] [CrossRef]
- Grewal, M.S.; Tanaka, M.; Kawakami, H. Free-standing polydimethylsiloxane-based cross-linked network solid polymer electrolytes for future lithium ion battery applications. Electrochim. Acta 2019, 307, 148–156. [Google Scholar] [CrossRef]
- Hsu, S.T.; Tran, B.T.; Subramani, R.; Nguyen, H.T.T.; Rajamani, A.; Lee, M.Y.; Hou, S.S.; Lee, Y.L.; Teng, H. Free-standing polymer electrolyte for all-solid-state lithium batteries operated at room temperature. J. Power Sources 2020, 449, 227518. [Google Scholar] [CrossRef]
- Andrieu, X.; Boeuve, J.P.; Vicédo, T. New conducting polymer networks. J. Power Sources 1993, 44, 445–451. [Google Scholar] [CrossRef]
- Liang, W.J.; Kuo, C.L.; Lin, C.L.; Kuo, P.L. Solid polymer electrolytes. IV. Preparation and characterization of novel crosslinked epoxy-siloxane polymer complexes as polymer electrolytes. J. Polym. Sci. Part A Polym. Chem. 2002, 40, 1226–1235. [Google Scholar] [CrossRef]
- Kuo, P.L.; Liang, W.J.; Chen, T.Y. Solid polymer electrolytes V: Microstructure and ionic conductivity of epoxide-crosslinked polyether networks doped with LiClO4. Polymer 2003, 44, 2957–2964. [Google Scholar] [CrossRef]
- Feng, Q.; Yang, J.; Yu, Y.; Tian, F.; Zhang, B.; Feng, M.; Wang, S. The ionic conductivity, mechanical performance and morphology of two-phase structural electrolytes based on polyethylene glycol, epoxy resin and nano-silica. Mater. Sci. Eng. B Solid State Mater. Adv. Technol. 2017, 219, 37–44. [Google Scholar] [CrossRef]
- Guhathakurta, S.; Min, K. Lithium sulfonate promoted compatibilization in single ion conducting solid polymer electrolytes based on lithium salt of sulfonated polysulfone and polyether epoxy. Polymer 2010, 51, 211–221. [Google Scholar] [CrossRef]
- Chen, B.; Xu, Q.; Huang, Z.; Zhao, Y.; Chen, S.; Xu, X. One-pot preparation of new copolymer electrolytes with tunable network structure for all-solid-state lithium battery. J. Power Sources 2016, 331, 322–331. [Google Scholar] [CrossRef]
- Chen, S.; Wang, J.; Wei, Z.; Zhang, Z.; Deng, Y.; Yao, X.; Xu, X. One-pot synthesis of crosslinked polymer electrolyte beyond 5V oxidation potential for all-solid-state lithium battery. J. Power Sources 2019, 431, 1–7. [Google Scholar] [CrossRef]
- Liang, W.J.; Chen, T.Y.; Kuo, P.L. Solid Polymer Electrolytes. VII. Preparation and Ionic Conductivity of Gelled Polymer Electrolytes Based on Poly(ethylene glycol) Diglycidyl Ether Cured with α,ω-Diamino Poly(propylene oxide). J. Appl. Polym. Sci. 2004, 92, 1264–1270. [Google Scholar] [CrossRef]
- Ren, Z.; Sun, K.; Liu, Y.; Zhou, X.; Zhang, N.; Zhu, X. Polymer electrolytes based on poly(vinylidene fluoride-co-hexafluoropropylene) with crosslinked poly(ethylene glycol) for lithium batteries. Solid State Ion. 2009, 180, 693–697. [Google Scholar] [CrossRef]
- Matsumoto, K.; Endo, T. Synthesis of Networked Polymers with Lithium Counter Cations from a Difuctional Epoxide Containing Poly(ethylene glycol) and an Epoxide Monomer Carrying a Lithium Sulfonate Salt Moiety. J. Polym. Sci. Part A-1 Polym. Chem. 2010, 48, 3113–3118. [Google Scholar] [CrossRef]
- Jang, H.K.; Jung, B.M.; Choi, U.H.; Lee, S.B. Ion Conduction and Viscoelastic Response of Epoxy-Based Solid Polymer Electrolytes Containing Solvating Plastic Crystal Plasticizer. Macromol. Chem. Phys. 2018, 219, 1700514. [Google Scholar] [CrossRef]
- Choi, U.H.; Jung, B.M. Ion Conduction, Dielectric and Mechanical Properties of Epoxy-Based Solid Polymer Electrolytes Containing Succinonitrile. Macromol. Res. 2018, 26, 459–465. [Google Scholar] [CrossRef]
- Matsumoto, K.; Endo, T. Design and synthesis of ionic-conductive epoxy-based networked polymers. React. Funct. Polym. 2013, 73, 278–282. [Google Scholar] [CrossRef]
- Soares, B.G.; Silva, A.A.; Livi, S.; Duchet-Rumeau, J.; Gerard, J.F. New Epoxy/Jeffamine networks modified with ionic liquids. J. Appl. Polym. Sci. 2014, 131, 1–6. [Google Scholar] [CrossRef]
- Kwon, S.J.; Kim, T.; Jung, B.M.; Lee, S.B.; Choi, U.H. Multifunctional Epoxy-Based Solid Polymer Electrolytes for Solid-State Supercapacitors. ACS Appl. Mater. Interfaces 2018, 10, 35108–35117. [Google Scholar] [CrossRef]
- Becker, H.; Locascio, L.E. Polymer microfluidic devices. Talanta 2002, 56, 267–287. [Google Scholar] [CrossRef]
- Donoso, J.P.; Cavalcante, M.G.; Bonagamba, T.J.; Nascimento, O.R.; Panepucci, H. Magnetic resonance study of water absorption in some peo-lithium salt polymer electrolytes. Electrochim. Acta 1995, 40, 2357–2360. [Google Scholar] [CrossRef]
- Moylan, J. Considerations for Measuring Glass Transition Temperature. Available online: https://www.element.com/nucleus/2017/08/15/18/45/considerations-for-measuring-glass-transition-temperature (accessed on 27 May 2020).
- Commarieu, B.; Paolella, A.; Collin-Martin, S.; Gagnon, C.; Vijh, A.; Guerfi, A.; Zaghib, K. Solid-to-liquid transition of polycarbonate solid electrolytes in Li-metal batteries. J. Power Sources 2019, 436, 226852. [Google Scholar] [CrossRef]
- MacFarlane, D.R.; Zhou, F.; Forsyth, M. Ion conductivity in amorphous polymer/salt mixtures. Solid State Ion. 1998, 113–115, 193–197. [Google Scholar] [CrossRef]
- Caradant, L.; Lepage, D.; Nicolle, P.; Prébé, A.; Aymé-Perrot, D.; Dollé, M. Effect of Li+Affinity on Ionic Conductivities in Melt-Blended Nitrile Rubber/Polyether. ACS Appl. Polym. Mater. 2020, 2, 4943–4951. [Google Scholar] [CrossRef]
- Sturtevant, J.M. Biochemical applications of differential scanning calorimetry. Annu. Rev. Phys. Chem. 1987, 38, 463–488. [Google Scholar] [CrossRef]
- Sun, B.; Mindemark, J.; Edström, K.; Brandell, D. Polycarbonate-based solid polymer electrolytes for Li-ion batteries. Solid State Ion. 2014, 262, 738–742. [Google Scholar] [CrossRef]
- Foran, G.; Mankovsky, D.; Verdier, N.; Lepage, D.; Prébé, A.; Aymé-Perrot, D.; Dollé, M. The Impact of Absorbed Solvent on the Performance of Solid Polymer Electrolytes for Use in Solid-State Lithium Batteries. iScience 2020, 23, 101597. [Google Scholar] [CrossRef] [PubMed]
- Owen, J. Ionic Conductivity. In Comprehensive Polymer Science and Supplemants; Allen, G., Bevington, J.C., Eds.; Pergamon Press: Oxford, UK, 1996; pp. 669–686. [Google Scholar]
- Schauser, N.S.; Nikolaev, A.; Richardson, P.M.; Xie, S.; Johnson, K.; Susca, E.M.; Wang, H.; Seshadri, R.; Clément, R.J.; Read de Alaniz, J.; et al. Glass Transition Temperature and Ion Binding Determine Conductivity and Lithium–Ion Transport in Polymer Electrolytes. ACS Macro Lett. 2020, 10, 104–109. [Google Scholar] [CrossRef]
- Kidd, B.E.; Forbey, S.J.; Steuber, F.W.; Moore, R.B.; Madsen, L.A. Multiscale Lithium and Counterion Transport in an Electrospun Polymer-Gel Electrolyte. Macromolecules 2015, 48, 4481–4490. [Google Scholar] [CrossRef]
- Diederichsen, K.M.; Buss, H.G.; McCloskey, B.D. The Compensation Effect in the Vogel-Tammann-Fulcher (VTF) Equation for Polymer-Based Electrolytes. Macromolecules 2017, 50, 3831–3840. [Google Scholar] [CrossRef]
- Aldalur, I.; Armand, M.; Zhang, H. Jeffamine-Based Polymers for Rechargeable Batteries. Batter. Supercaps 2020, 3, 30–46. [Google Scholar] [CrossRef]
- Mankovsky, D.; Lepage, D.; Caradant, L.; Lachal, M.; Ayme-Perrot, D.; Dolle, M. Water content in solid polymer electrolytes: The lost knowledge. ChemComm 2020, 56, 10167–10170. [Google Scholar] [CrossRef]
- Ma, X.; Yu, J.; He, K. Thermoplastic starch plasticized by glycerol as solid polymer electrolytes. Macromol. Mater. Eng. 2006, 291, 1407–1413. [Google Scholar] [CrossRef]
- Pesko, D.M.; Timachova, K.; Bhattacharya, R.; Smith, M.C.; Villaluenga, I.; Newman, J.; Balsara, N.P. Negative Transference Numbers in Poly(ethylene oxide)-Based Electrolytes. J. Electrochem. Soc. 2017, 164, E3569–E3575. [Google Scholar] [CrossRef]
- Armstrong, R.D.; Clarke, M.D. The effect of traces of water on PEO4.5LiCF3SO3 films. Solid State Ion. 1984, 11, 305–306. [Google Scholar] [CrossRef]
- Fong, K.D.; Self, J.; Diederichsen, K.M.; Wood, B.M.; McCloskey, B.D.; Persson, K.A. Ion Transport and the True Transference Number in Nonaqueous Polyelectrolyte Solutions for Lithium Ion Batteries. ACS Cent. Sci. 2019, 5, 1250–1260. [Google Scholar] [CrossRef]
- Evans, J.; Vincent, C.A.; Bruce, P.G. Electrochemical measurement of transference numbers in polymer electrolytes. Polymer 1987, 28, 2324–2328. [Google Scholar] [CrossRef]
- Bruce, P.G.; Hardgrave, M.T.; Vincent, C.A. The determination of transference numbers in solid polymer electrolytes using the Hittorf method. Solid State Ion. 1992, 53–56, 1087–1094. [Google Scholar] [CrossRef]
- Balsara, N.P.; Newman, J. Relationship between Steady-State Current in Symmetric Cells and Transference Number of Electrolytes Comprising Univalent and Multivalent Ions. J. Electrochem. Soc. 2015, 162, A2720–A2722. [Google Scholar] [CrossRef]
- Riley, M.; Fedkiw, P.S.; Khan, S.A. Transport Properties of Lithium Hectorite-Based Composite Electrolytes. J. Electrochem. Soc. 2002, 149, A667. [Google Scholar] [CrossRef]
- Pożyczka, K.; Marzantowicz, M.; Dygas, J.R.; Krok, F. Ionic conductivity and lithium transference number of poly(ethylene oxide):litfsi system. Electrochim. Acta 2017, 227, 127–135. [Google Scholar] [CrossRef]
- Chintapalli, M.; Timachova, K.; Olson, K.R.; Mecham, S.J.; Devaux, D.; Desimone, J.M.; Balsara, N.P. Relationship between Conductivity, Ion Diffusion, and Transference Number in Perfluoropolyether Electrolytes. Macromolecules 2016, 49, 3508–3515. [Google Scholar] [CrossRef]
- Kimura, K.; Hassoun, J.; Panero, S.; Scrosati, B.; Tominaga, Y. Electrochemical properties of a poly(ethylene carbonate)-LiTFSI electrolyte containing a pyrrolidinium-based ionic liquid. Ionics 2015, 21, 895–900. [Google Scholar] [CrossRef]
- Zhu, B.; Wang, X.; Yao, P.; Li, J.; Zhu, J. Towards high energy density lithium battery anodes: Silicon and lithium. Chem. Sci. 2019, 10, 7132–7148. [Google Scholar] [CrossRef]
- Chen, L.; Venkatram, S.; Kim, C.; Batra, R.; Chandrasekaran, A.; Ramprasad, R. Electrochemical Stability Window of Polymeric Electrolytes. Chem. Mater. 2019, 31, 4598–4604. [Google Scholar] [CrossRef]
- Goodenough, J.B.; Park, K.S. The Li-ion rechargeable battery: A perspective. J. Am. Chem. Soc. 2013, 135, 1167–1176. [Google Scholar] [CrossRef]
- Yang, X.; Jiang, M.; Gao, X.; Bao, D.; Sun, Q.; Holmes, N.; Duan, H.; Mukherjee, S.; Adair, K.; Zhao, C.; et al. Determining the limiting factor of the electrochemical stability window for PEO-based solid polymer electrolytes: Main chain or terminal –OH group? Energy Environ. Sci. 2020, 1318–1325. [Google Scholar] [CrossRef]
- Li, J.; Downie, L.E.; Ma, L.; Qiu, W.; Dahn, J.R. Study of the Failure Mechanisms of LiNi0.8Mn0.1Co0.1O2 Cathode Material for Lithium Ion Batteries. J. Electrochem. Soc. 2015, 162, A1401–A1408. [Google Scholar] [CrossRef]
- Rowe, A.W.; Dahn, J.R. Positive Electrode Materials in the Li-Mn-Ni-O System Exhibiting Anomalous Capacity Growth during Extended Cycling. J. Electrochem. Soc. 2014, 161, A308–A317. [Google Scholar] [CrossRef]
- Smith, A.J.; Burns, J.C.; Trussler, S.; Dahn, J.R. Precision Measurements of the Coulombic Efficiency of Lithium-Ion Batteries and of Electrode Materials for Lithium-Ion Batteries. J. Electrochem. Soc. 2010, 157, A196. [Google Scholar] [CrossRef]
- Wang, Q.; Zhang, H.; Cui, Z.; Zhou, Q.; Shangguan, X.; Tian, S.; Zhou, X.; Cui, G. Siloxane-based polymer electrolytes for solid-state lithium batteries. Energy Storage Mater. 2019, 23, 466–490. [Google Scholar] [CrossRef]
- Matkovska, L.; Iurzhenko, M.; Mamunya, Y.; Tkachenko, I.; Demchenko, V.; Synyuk, V.; Shadrin, A.; Boiteux, G. Structural Peculiarities of Ion-Conductive Organic-Inorganic Polymer Composites Based on Aliphatic Epoxy Resin and Salt of Lithium Perchlorate. Nanoscale Res. Lett. 2017, 12, 1–9. [Google Scholar] [CrossRef] [PubMed]
- Bruce, P.G. Solid State Electrochemistry; Cambridge University Press: Cambridge, UK, 1995; ISBN 0521400074. [Google Scholar]
- Lopez, J.; Mackanic, D.G.; Cui, Y.; Bao, Z. Designing polymers for advanced battery chemistries. Nat. Rev. Mater. 2019, 4, 312–330. [Google Scholar] [CrossRef]
- Chen, Y.; Luo, Y.; Zhang, H.; Qu, C.; Zhang, H.; Li, X. The Challenge of Lithium Metal Anodes for Practical Applications. Small Methods 2019, 3, 1800551. [Google Scholar] [CrossRef]
- Liu, T.M.; Saikia, D.; Ho, S.Y.; Chen, M.C.; Kao, H.M. High ion-conducting solid polymer electrolytes based on blending hybrids derived from monoamine and diamine polyethers for lithium solid-state batteries. RSC Adv. 2017, 7, 20373–20383. [Google Scholar] [CrossRef]
- Huang, J.C.; Chu, Y.T. Blend-Curing of Epoxies with Jeffamine® and Diethyltoluenediamine. J. Polym. Eng. 1996, 16, 51–72. [Google Scholar] [CrossRef]
- Oliveira da Silva, L.C.; Soares, B.G. New all solid-state polymer electrolyte based on epoxy resin and ionic liquid for high temperature applications. J. Appl. Polym. Sci. 2018, 135, 1–8. [Google Scholar] [CrossRef]
- Fink, J. Gas Hydrate Control. In Petroleum Engineer’s Guide to Oil Field Chemicals and Fluids; Elsevier: Amsterdam, The Netherlands, 2015; pp. 405–413. [Google Scholar]
- Aldalur, I.; Zhang, H.; Piszcz, M.; Oteo, U.; Rodriguez-Martinez, L.M.; Shanmukaraj, D.; Rojo, T.; Armand, M. Jeffamine® based polymers as highly conductive polymer electrolytes and cathode binder materials for battery application. J. Power Sources 2017, 347, 37–46. [Google Scholar] [CrossRef]
- Motogami, K.; Mori, S. Ion-Conductive Polymer Electrolyte. European Patent Application 90303944.4, 17 October 1990. [Google Scholar]
- Aldalur, I.; Martinez-Ibañez, M.; Piszcz, M.; Rodriguez-Martinez, L.M.; Zhang, H.; Armand, M. Lowering the operational temperature of all-solid-state lithium polymer cell with highly conductive and interfacially robust solid polymer electrolytes. J. Power Sources 2018, 383, 144–149. [Google Scholar] [CrossRef]
- Kao, H.M.; Chang, P.C.; Chao, S.W.; Lee, C.H. 7Li NMR, ionic conductivity and self-diffusion coefficients of lithium ion and solvent of plasticized organic-inorganic hybrid electrolyte based on PPG-PEG-PPG diamine and alkoxysilanes. Electrochim. Acta 2006, 52, 1015–1027. [Google Scholar] [CrossRef]
- Song, Y.H.; Kim, T.; Choi, U.H. Tuning Morphology and Properties of Epoxy-Based Solid-State Polymer Electrolytes by Molecular Interaction for Flexible All-Solid-State Supercapacitors. Chem. Mater. 2020, 32, 3879–3892. [Google Scholar] [CrossRef]
- Kumar, B.; Marsh, R. Polymer Batteries. SAE Trans. 1991, 100, 408–412. [Google Scholar]
- Greaves, T.L.; Drummond, C.J. Protic ionic liquids: Properties and applications. Chem. Rev. 2008, 108, 206–237. [Google Scholar] [CrossRef]
- Ghazi, Z.A.; Sun, Z.; Sun, C.; Qi, F.; An, B.; Li, F.; Cheng, H.M. Key Aspects of Lithium Metal Anodes for Lithium Metal Batteries. Small 2019, 15, 1900687. [Google Scholar] [CrossRef] [PubMed]
- Xu, K. Electrolytes and interphases in Li-ion batteries and beyond. Chem. Rev. 2014, 114, 11503–11618. [Google Scholar] [CrossRef] [PubMed]
Publisher’s Note: MDPI stays neutral with regard to jurisdictional claims in published maps and institutional affiliations. |
© 2021 by the authors. Licensee MDPI, Basel, Switzerland. This article is an open access article distributed under the terms and conditions of the Creative Commons Attribution (CC BY) license (http://creativecommons.org/licenses/by/4.0/).











