Energy Efficient Secure Communication Model against Cooperative Eavesdropper
Abstract
1. Introduction
2. System Model
2.1. System Model Equations
2.2. Iterative Block Decision Feedback Equalization Decoder
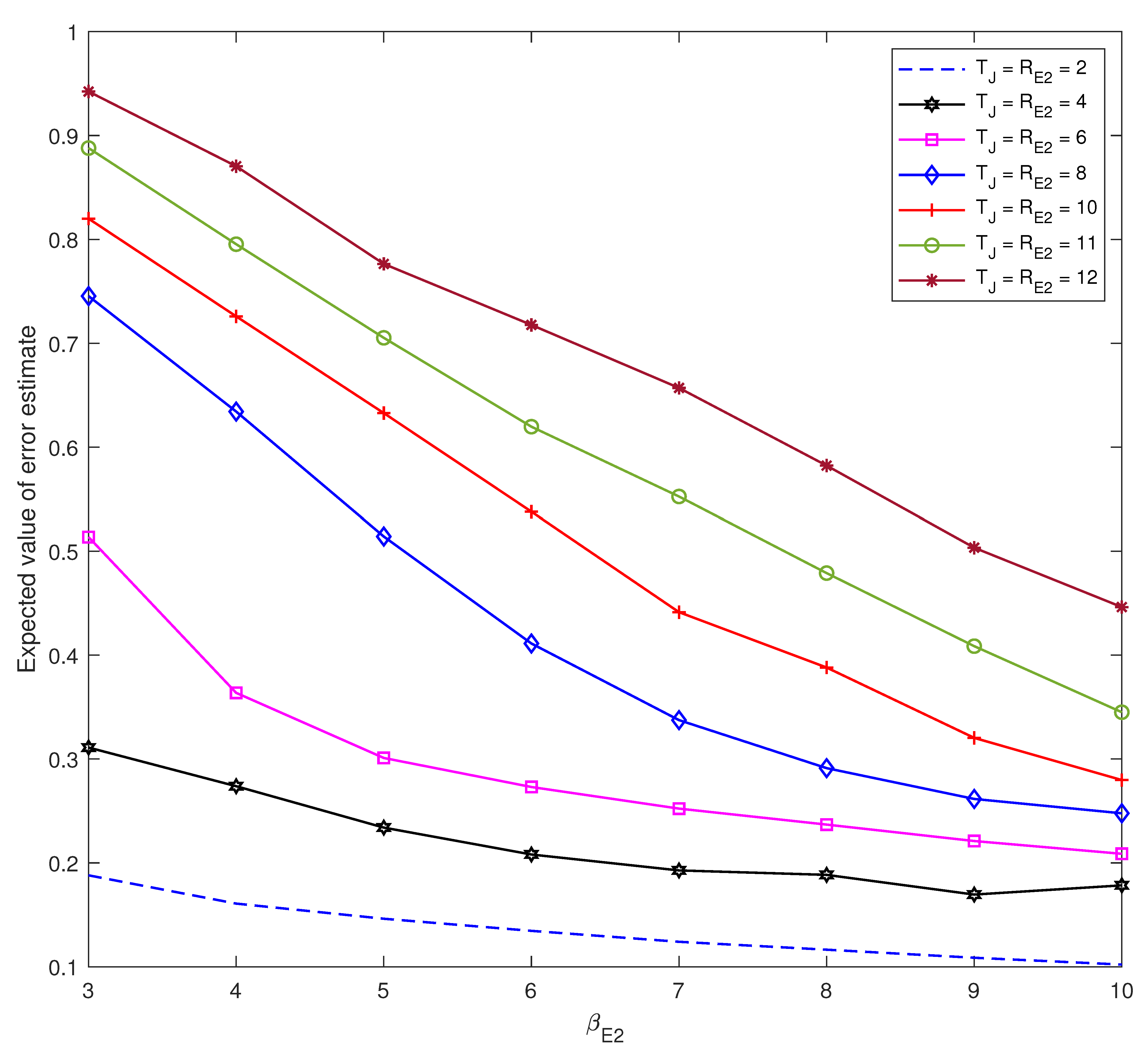
2.3. Decoding Information by Using Jamming Signal Estimate
- 1
- The information signal estimate and estimate error are given as and , respectively. Estimate the jamming signal at E2, by using , and in (11).
- 2
- The jamming signal estimate and estimate error are given as and , respectively. Estimate the information signal at E1, by using , and in (11).
- 1
- Find the approximate SNR value for the system model and it is denoted as . Follow further steps to determine optimum , based on .
- 2
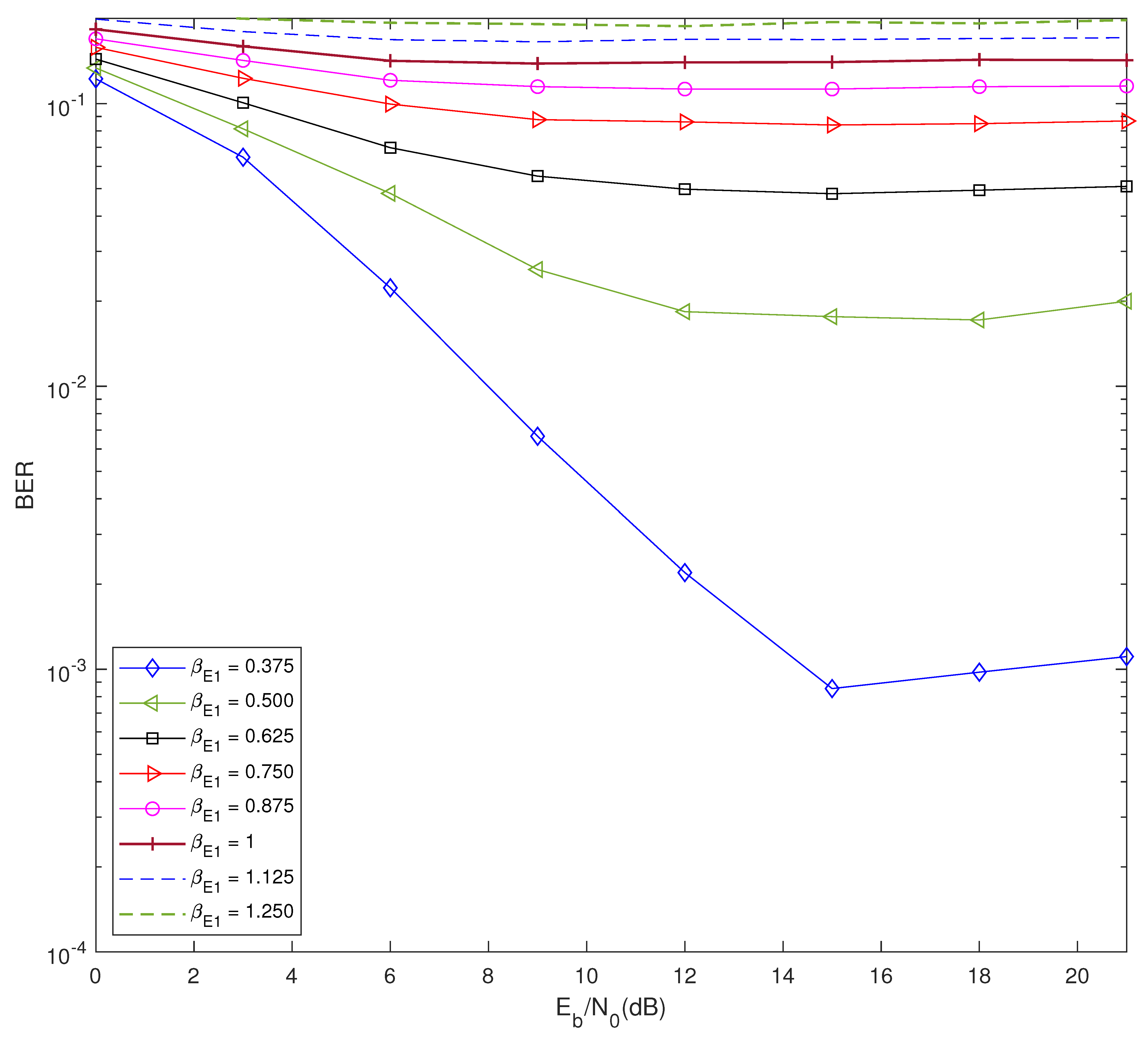
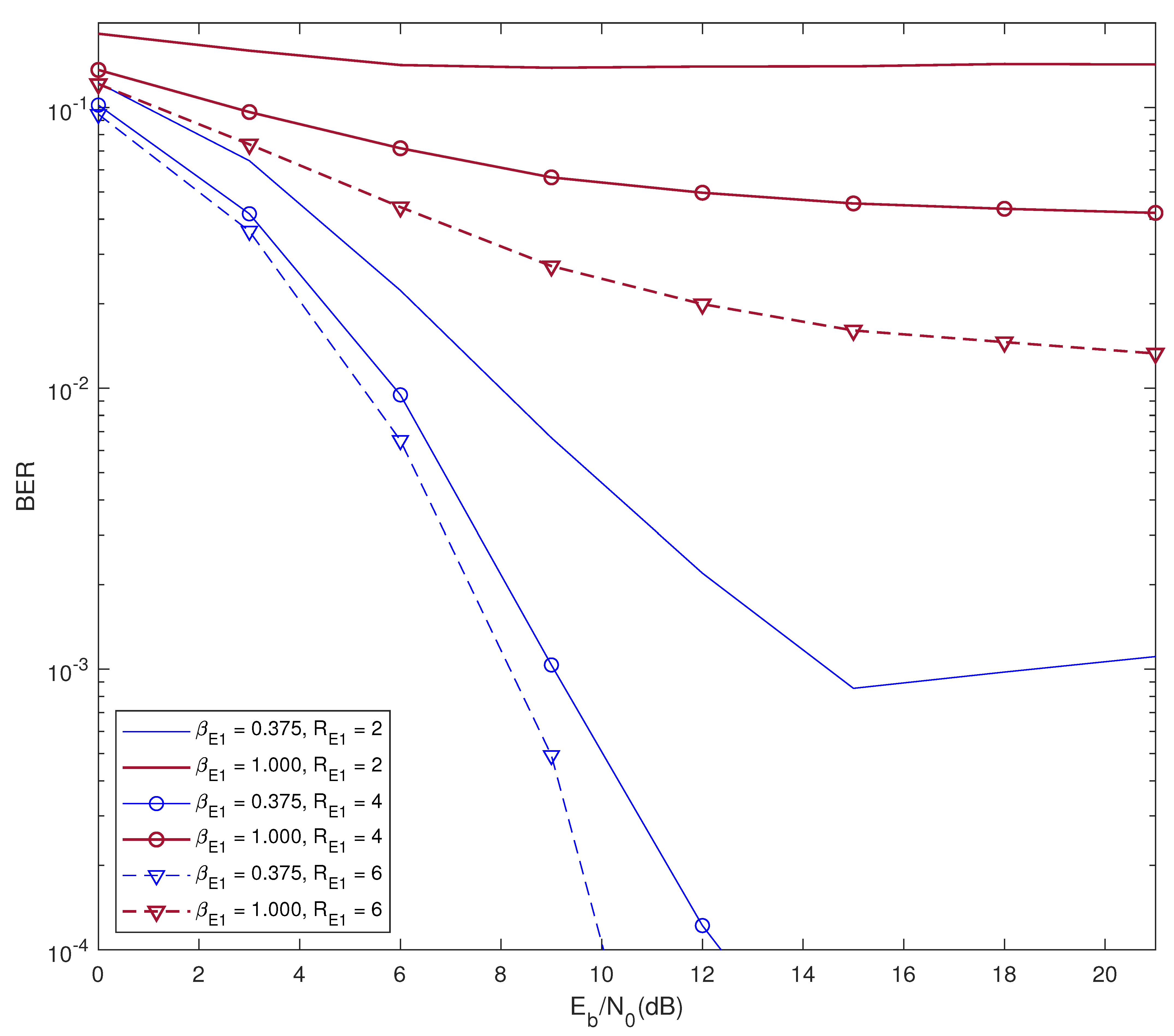
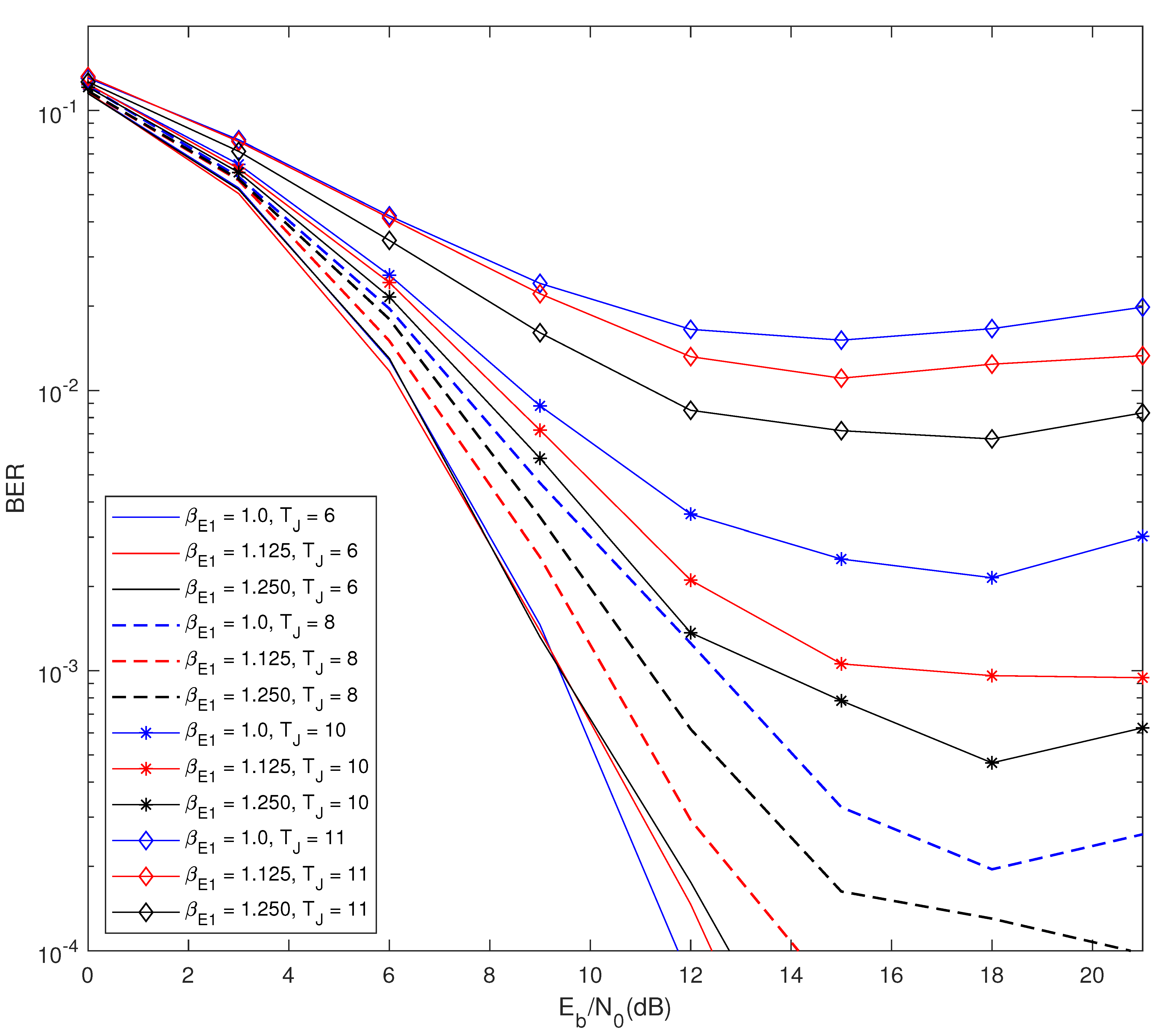
- Set the maximum acceptable bit error rate (BER) performance level of E1 at under the non cooperative (NC) scenario and the SINR is given in (6) and under the NC scenario. does not impact the BER of E1. In cooperative eavesdropper scenario, for both E1 and E2, their BER performance for a given is dependent on SINR, , the number of receiving antenna and IBDFE, the BER performance of E1.
- 3
- Then, the BER performances of E2 and E1 can be degraded by optimizing the value and by increasing .
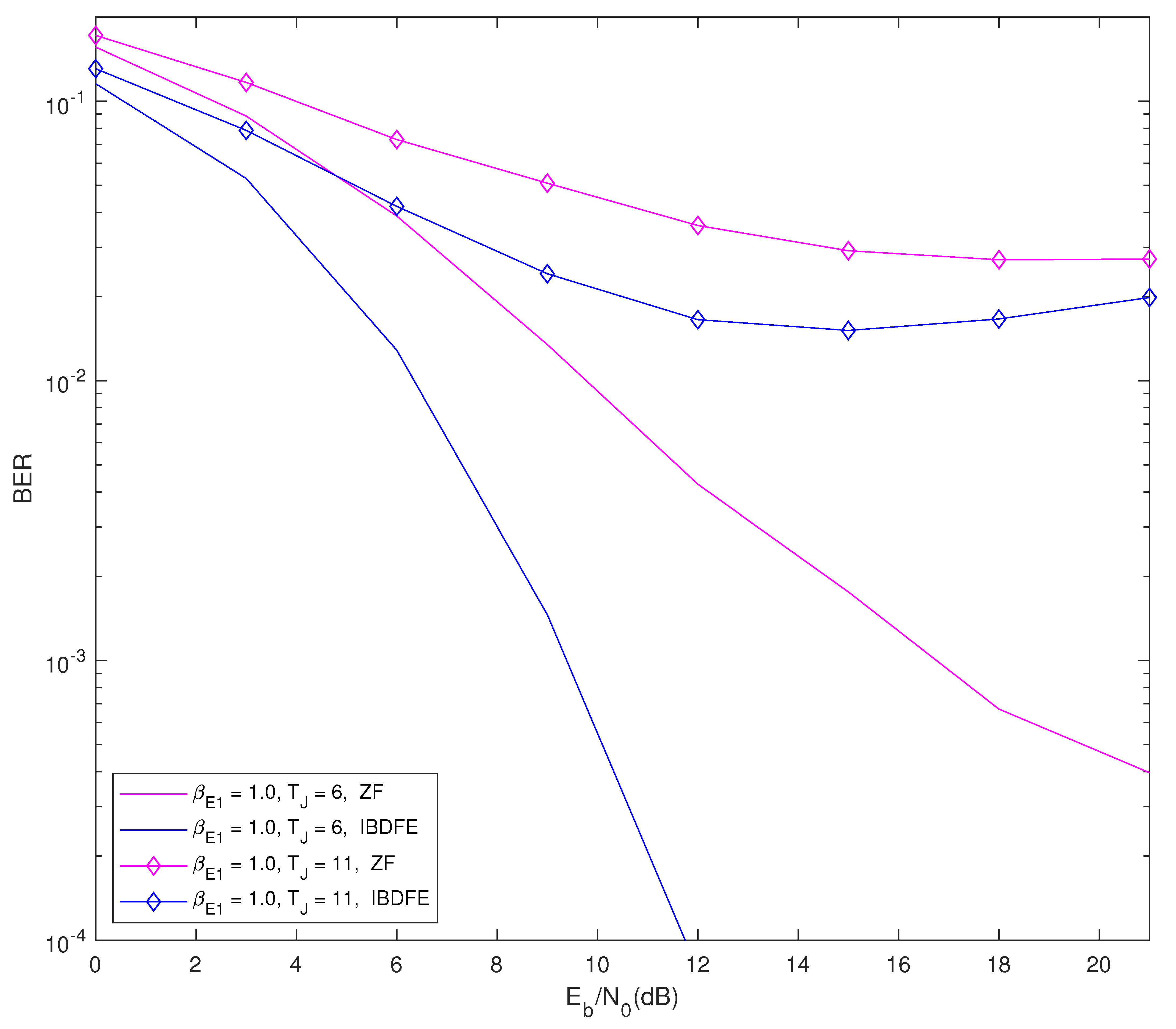
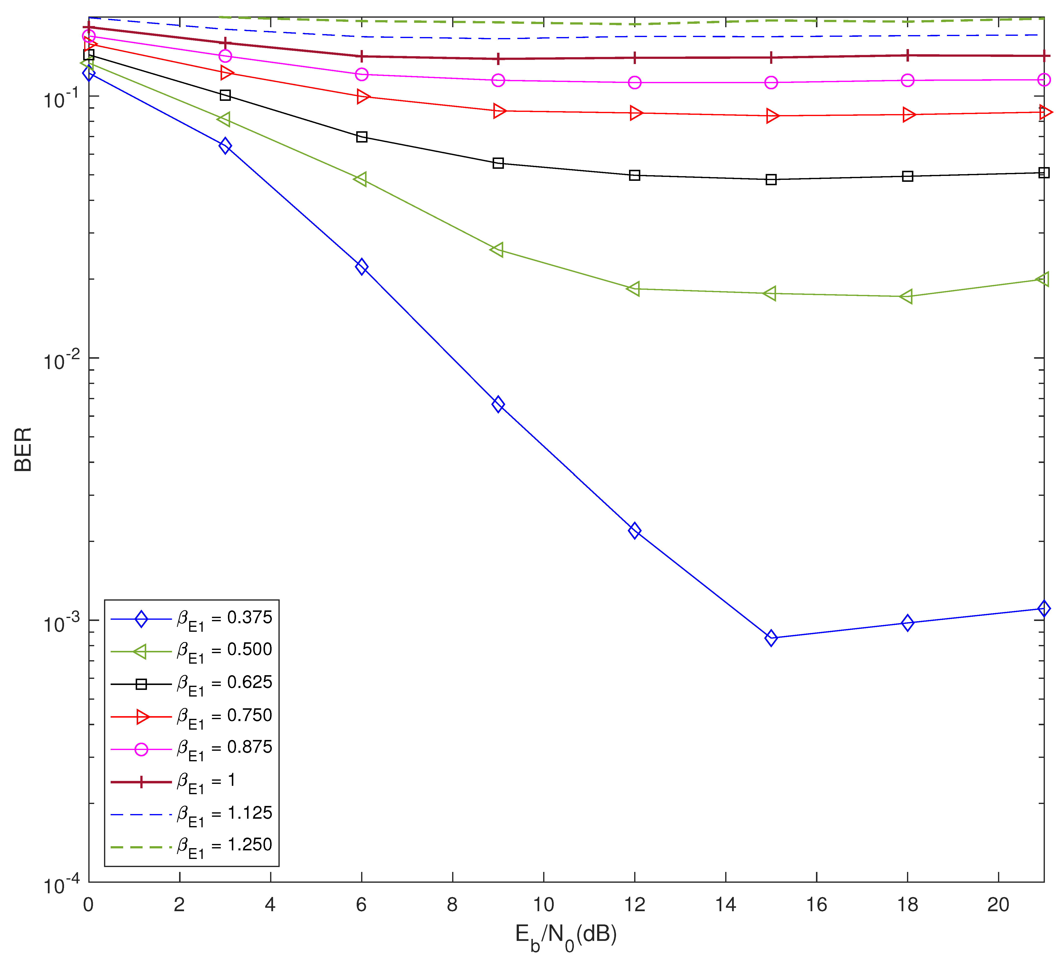
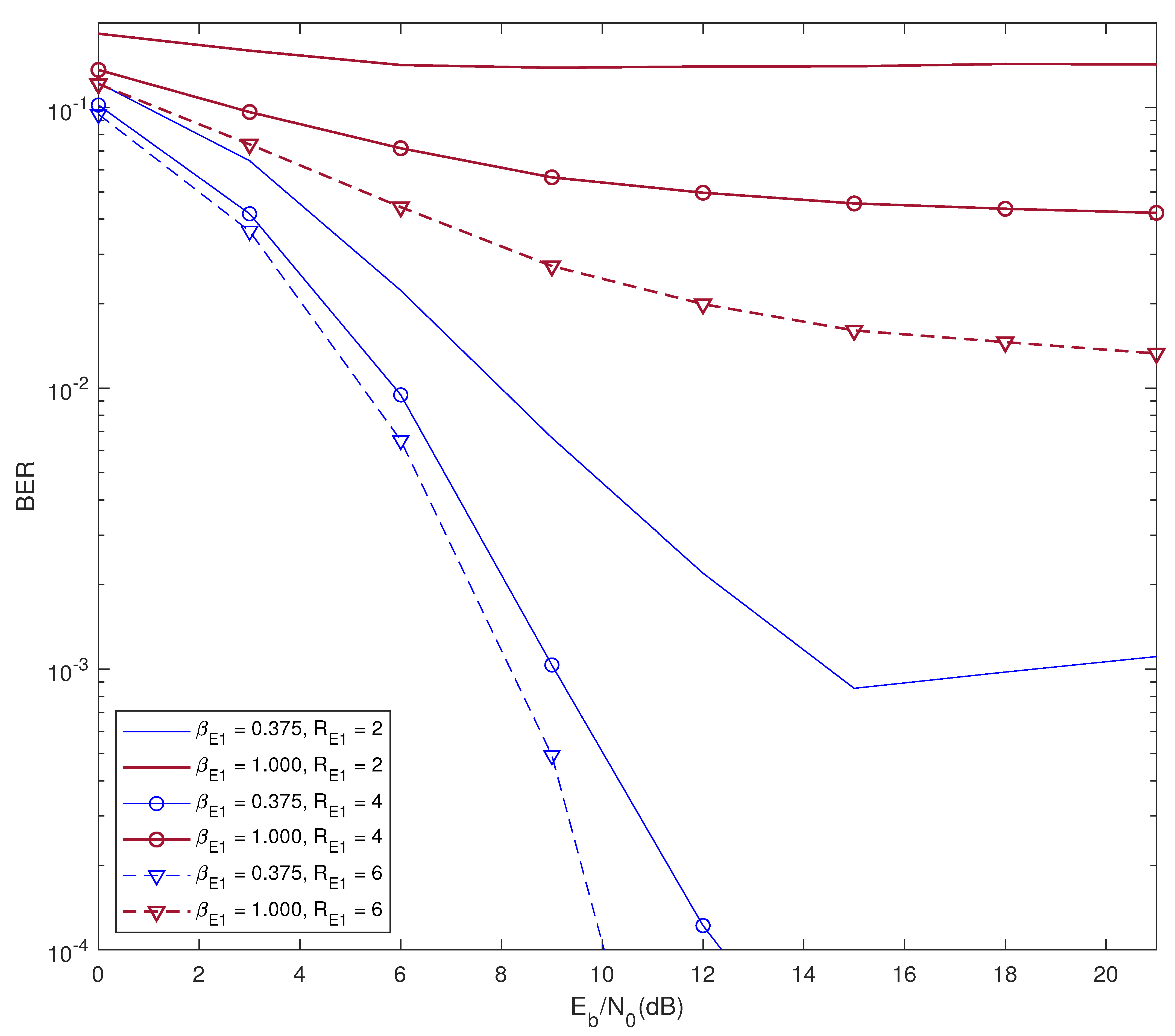
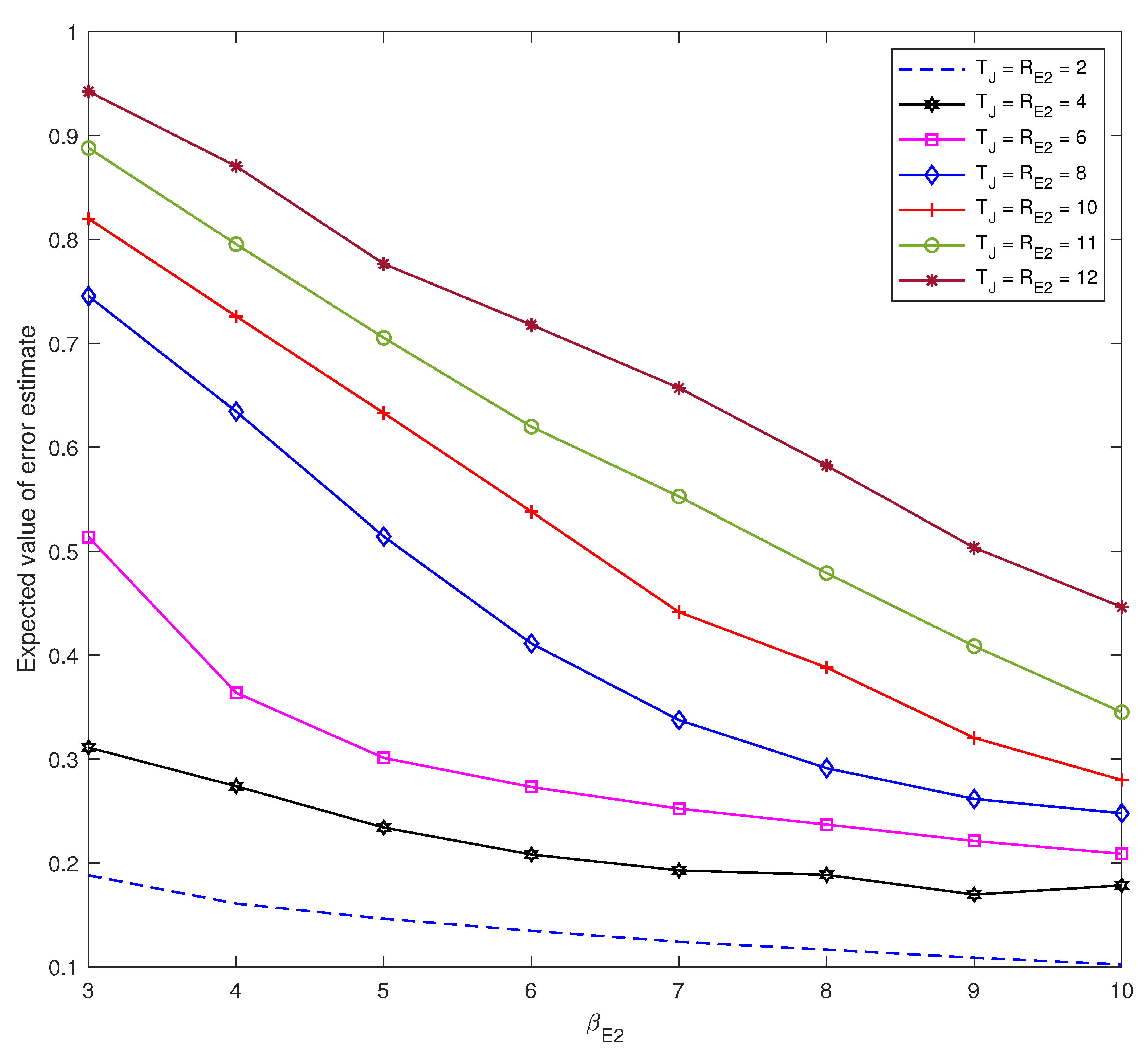
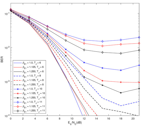
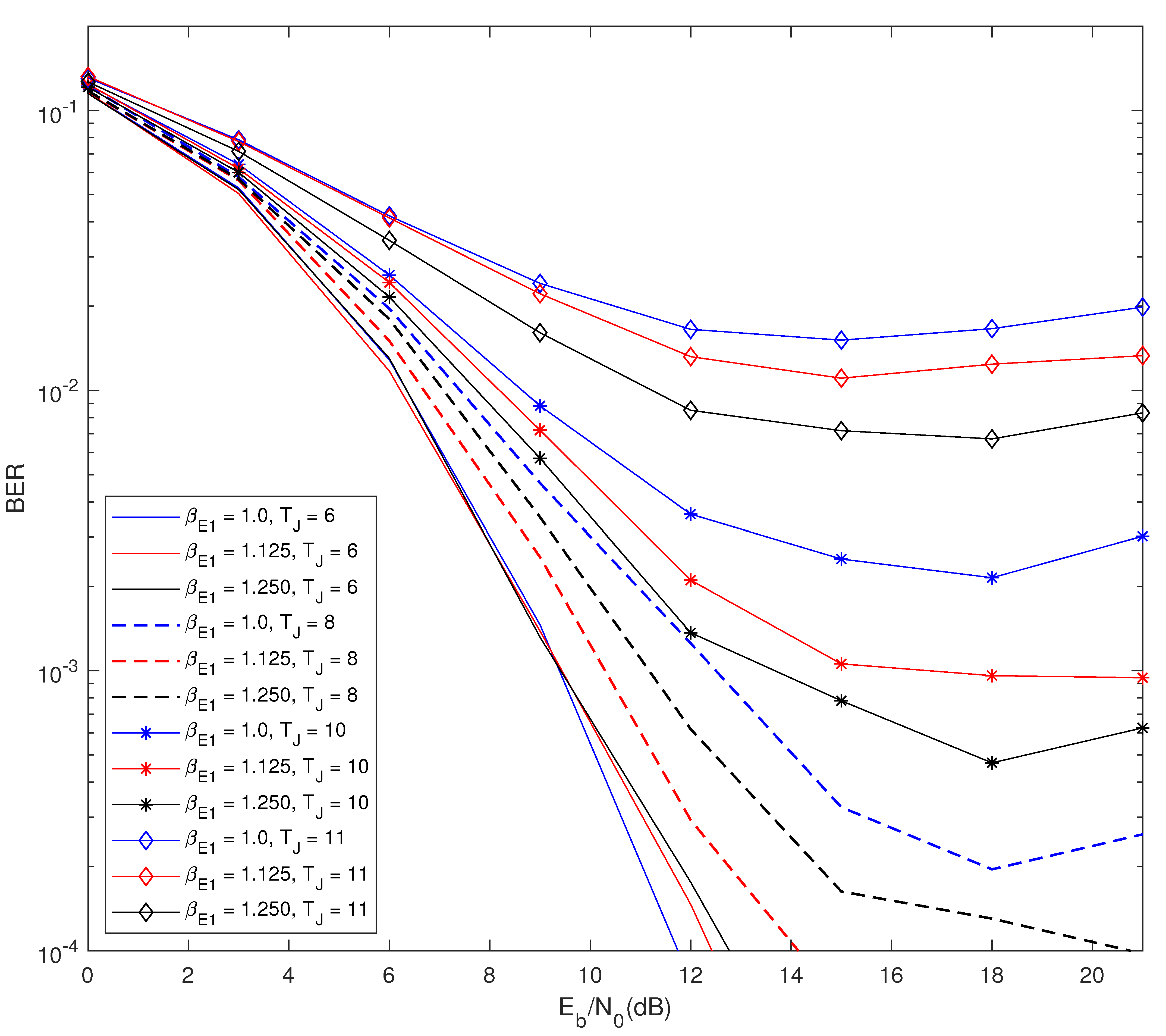
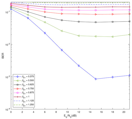
3. Numerical Results
4. Conclusions
Author Contributions
Funding
Institutional Review Board Statement
Informed Consent Statement
Conflicts of Interest
References
- Jayakody, D.N.K.; Thompson, J.; Chatzinotas, S.; Durrani, S. Wireless Information and Power Transfer: A New Green Communications Paradigm; Springer: New York, NY, USA, 2017. [Google Scholar]
- Perera, T.D.P.; Jayakody, D.N.K.; Sharma, S.K.; Chatzinotas, S.; Li, J. Simultaneous wireless information and power transfer (swipt): Recent advances and future challenges. IEEE Commun. Surv. Tutor. 2018, 20, 264–302. [Google Scholar] [CrossRef]
- Khan, R.; Kumar, P.; Jayakody, D.N.K.; Liyanage, M.; Li, J. A Survey on Security and Privacy of 5G Technologies: Potential Solutions, Recent Advancements and Future Directions. IEEE Commun. Surv. Tutor. 2019, 22, 196–248. [Google Scholar] [CrossRef]
- Rajaram, A.; Khan, R.; Tharranetharan, S.; Jayakody, D.; Dinis, R.; Panic, S. Novel SWIPT Schemes for 5G Wireless Networks. Sensors 2019, 19, 1169. [Google Scholar] [CrossRef] [PubMed]
- Rajaram, A.; Jayakody, D.N.K.; Dinis, R.; Kumar, N. Receiver Design to Employ Simultaneous Wireless Information and Power Transmission with Joint CFO and Channel Estimation. IEEE Access 2019, 7, 9678–9687. [Google Scholar] [CrossRef]
- Rajaram, A.; Dinis, R.; Jayakody, D.N.K.; Beko, M. Secure Information Transmission with Self Jamming SWIPT. Electronics 2020, 9, 587. [Google Scholar] [CrossRef]
- Tang, X.; Cai, Y.; Yang, W.; Yang, W.; Chen, D.; Hu, J. Secure transmission of cooperative zero-forcing jamming for two-user SWIPT sensor networks. Sensors 2018, 18, 331. [Google Scholar] [CrossRef] [PubMed]
- Wyner, A.D. The wire-tap channel. Tech. Rep. 1975. [Google Scholar] [CrossRef]
- Leung-Yan-Cheong, S.; Hellman, M. The Gaussian wire-tap channel. IEEE Trans. Inf. Theory 1978, 24, 451–456. [Google Scholar] [CrossRef]
- Oggier, F.; Hassibi, B. The Secrecy Capacity of the MIMO Wiretap Channel. IEEE Trans. Inf. Theory 2011, 57, 4961–4972. [Google Scholar] [CrossRef]
- Goel, S.; Negi, R. Guaranteeing Secrecy using Artificial Noise. IEEE Trans. Wirel. Commun. 2008, 7, 2180–2189. [Google Scholar] [CrossRef]
- Cumanan, K. Physical Layer Security Jamming: Theoretical Limits and Practical Designs in Wireless Networks. IEEE Access 2017, 5, 3603–3611. [Google Scholar] [CrossRef]
- Anjos, G.; Castanheira, D.; Silva, A.; Gameiro, A.; Gomes, M.; Vilela, J.P. Exploiting the Reciprocal Channel for Discrete Jamming to Secure Wireless Communications Against Multiple-Antenna Eavesdropper. IEEE Access 2018, 6, 1–10. [Google Scholar] [CrossRef]
- Anjos, G.; Castanheira, D.; Silva, A.; Gameiro, A. Exploiting Reciprocal Channel Estimations for Jamming to Secure Wireless Communications. In Proceedings of the International Wireless Days Conference, Porto, Portugal, 29–31 March 2017. [Google Scholar]
- Liao, W.; Chang, T.; Ma, W.; Chi, C. QoS-Based Transmit Beamforming in the Presence of Eavesdroppers: An Optimized Artificial-Noise-Aided Approach. IEEE Trans. Signal Process. 2011, 59, 1202–1216. [Google Scholar] [CrossRef]
- Ji, B.; Han, Y.; Li, P.; Mumtaz, S.; Song, K.; Li, C.; Wang, D.; Wen, H. Research on Secure Transmission Performance of Electric Vehicles Under Nakagami-m Channel. IEEE Trans. Intell. Transp. Syst. 2020, 1–11. [Google Scholar] [CrossRef]
- Yeoh, P.L.; Yang, N.; Kim, K.J. Secrecy Outage Probability of Selective Relaying Wiretap Channels with Collaborative Eavesdropping. In Proceedings of the 2015 IEEE Global Communications Conference (GLOBECOM), San Diego, CA, USA, 6–10 December 2015; pp. 1–6. [Google Scholar] [CrossRef]
- Yang, J.; Kim, I.; Kim, D.I. Optimal Cooperative Jamming for Multiuser Broadcast Channel with Multiple Eavesdroppers. IEEE Trans. Wirel. Commun. 2013, 12, 2840–2852. [Google Scholar] [CrossRef]
- Benvenuto, N.; Tomasin, S. Block iterative DFE for single carrier modulation. Electron. Lett. 2002, 38, 1144–1145. [Google Scholar] [CrossRef]
- Silva, A.; Assunção, J.; Dinis, R.; Gameiro, A. Performance Evaluation of IBDFE based Strategies for SC-FDMA Systems. EURASIP J. Wirel. Commun. Netw. 2013, 2013, 1–10. [Google Scholar] [CrossRef]
- Castanheira, D.; Silva, A.; Dinis, R.; Gameiro, A. Efficient Transmitter and Receiver Designs for SC-FDMA Based Heterogeneous Networks. IEEE Trans. Commun. 2015, 63, 2500–2510. [Google Scholar] [CrossRef]
- Silva, A.; Teodoro, S.; Dinis, R.; Gameiro, A. Iterative Frequency-Domain Detection for IA-Precoded MC-CDMA Systems. IEEE Trans. Commun. 2014, 62, 1240–1248. [Google Scholar] [CrossRef]
- Borges, D.; Montezuma, P.; Ferreira, A.; Dinis, R. Two Low Complexity MRC and EGC Based Receivers for SC-FDE Modulations with Massive MIMO Schemes. J. Signal Process. Syst. 2018, 90, 1357–1367. [Google Scholar] [CrossRef]







| 1 | 100 | 150 | 4 | 1 | 3 | 3 | 0.0022 | ||
| 2 | 100 | 200 | 4 | 1 | 4 | 4 | 0.0184 | ||
| 3 | 100 | 250 | 4 | 1 | 5 | 5 | 0.048 | ||
| 4 | 100 | 300 | 4 | 1 | 6 | 6 | 0.086 | ||
| 5 | 100 | 350 | 4 | 1 | 7 | 7 | 0.1125 | ||
| 6 | 100 | 400 | 4 | 1 | 8 | 8 | 0.1399 | ||
| 7 | 100 | 450 | 4 | 1 | 9 | 9 | 0.1685 | ||
| 8 | 100 | 500 | 4 | 1 | 10 | 10 | 0.1878 |
| at | at | at | ||
|---|---|---|---|---|
| 1 | 6 | |||
| 2 | 8 | |||
| 3 | 10 | |||
| 4 | 11 |
Publisher’s Note: MDPI stays neutral with regard to jurisdictional claims in published maps and institutional affiliations. |
© 2021 by the authors. Licensee MDPI, Basel, Switzerland. This article is an open access article distributed under the terms and conditions of the Creative Commons Attribution (CC BY) license (http://creativecommons.org/licenses/by/4.0/).
Share and Cite
Rajaram, A.; Jayakody, D.N.K.; Dinis, R.; Beko, M. Energy Efficient Secure Communication Model against Cooperative Eavesdropper. Appl. Sci. 2021, 11, 1563. https://doi.org/10.3390/app11041563
Rajaram A, Jayakody DNK, Dinis R, Beko M. Energy Efficient Secure Communication Model against Cooperative Eavesdropper. Applied Sciences. 2021; 11(4):1563. https://doi.org/10.3390/app11041563
Chicago/Turabian StyleRajaram, Akashkumar, Dushnatha Nalin K. Jayakody, Rui Dinis, and Marko Beko. 2021. "Energy Efficient Secure Communication Model against Cooperative Eavesdropper" Applied Sciences 11, no. 4: 1563. https://doi.org/10.3390/app11041563
APA StyleRajaram, A., Jayakody, D. N. K., Dinis, R., & Beko, M. (2021). Energy Efficient Secure Communication Model against Cooperative Eavesdropper. Applied Sciences, 11(4), 1563. https://doi.org/10.3390/app11041563

