Experimental Study on Uniform and Mixed Bed-Load Sediment Transport under Unsteady Flow
Abstract
1. Introduction
2. Laboratory Experiments
2.1. Experimental Setup
2.2. Instrumentations
2.3. Experimental Procedures
3. Bed-Load Sediment Transport under Uniform Sand Conditions
3.1. Effect of Velocity Skewness on Sediment Transport Rate
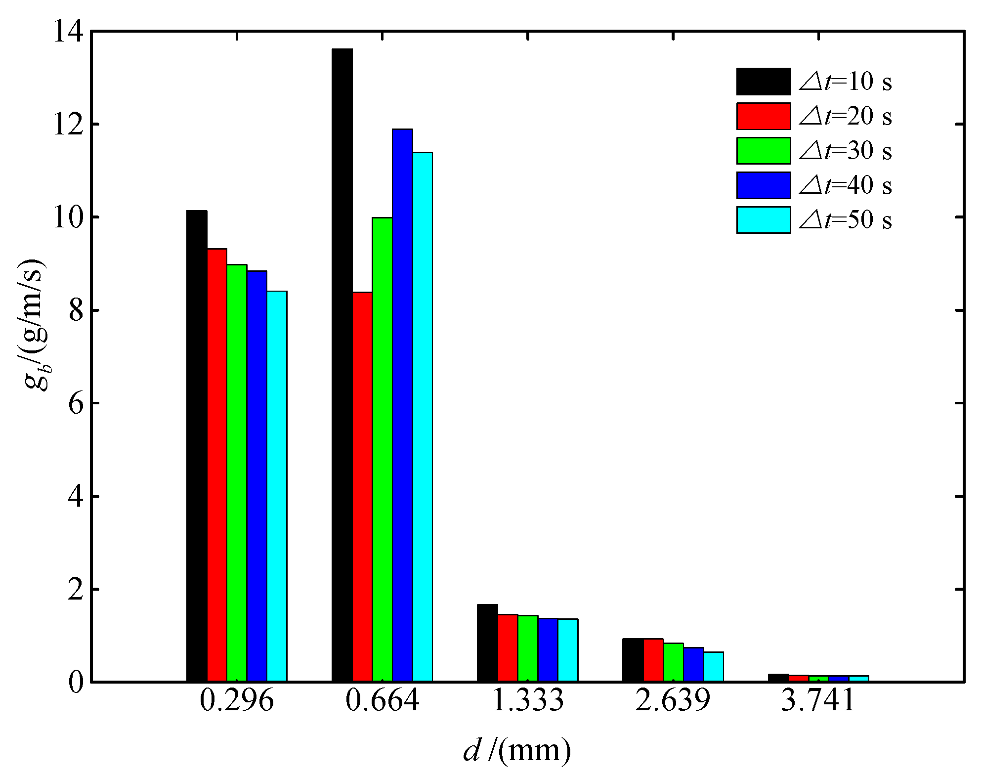
3.2. Effect of Particle Size on Sediment Transport Rate
3.3. Effect of Unsteady Flow Characteristics on Sediment Transport Rate
4. Bed-Load Transport under Non-Uniform Sand Condition
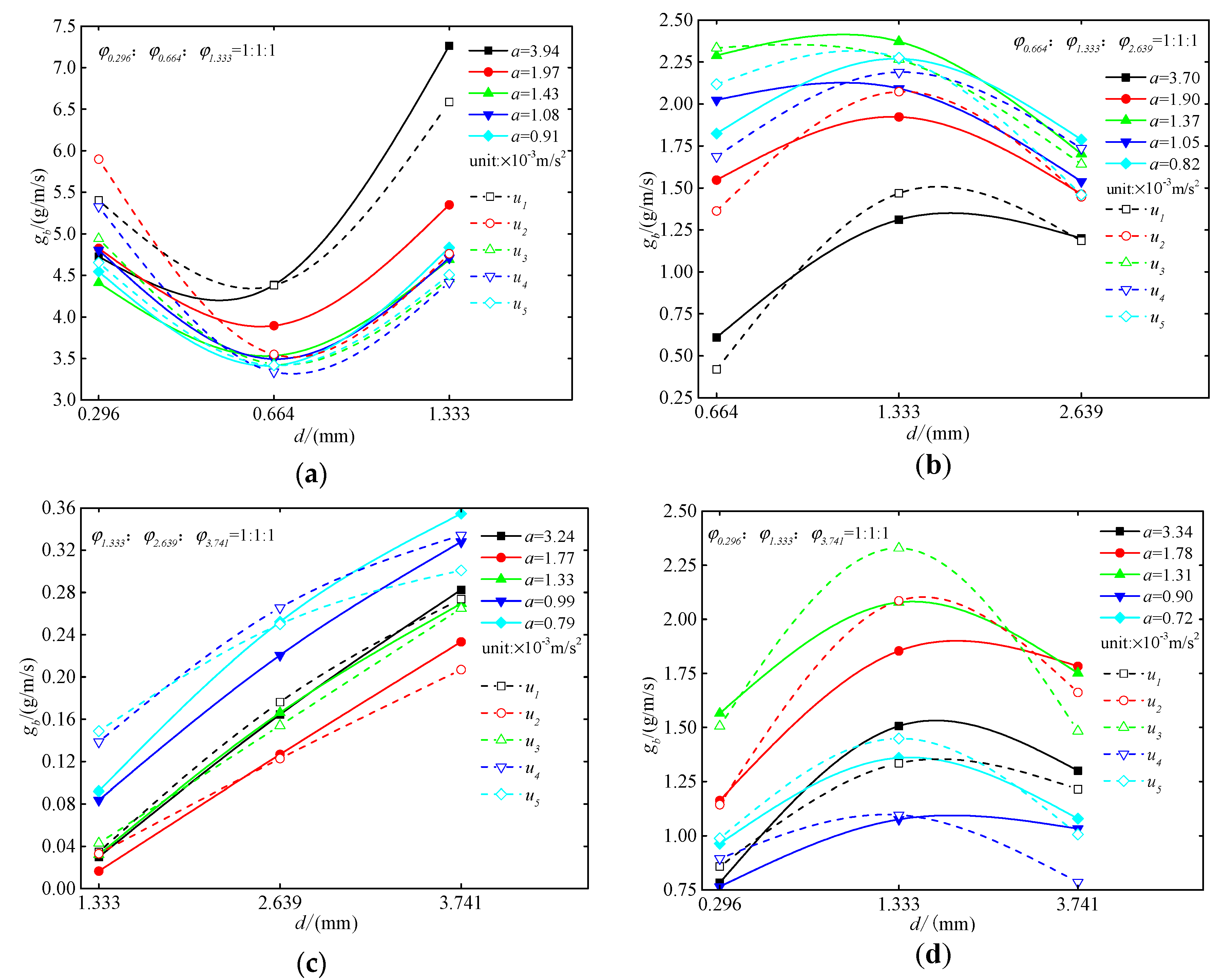
4.1. Effect of Velocity Skewness on Sediment Transport Rate
4.2. Effect of Unsteady Flow Characteristics on Sediment Transport Rate
4.3. Effect of Particle Size on Sediment Transport Rate
5. Theory Analysis and Discussion
5.1. Analysis of Incipient Sediment Movement
5.2. Effect of Velocity Skewness on Sediment Incipient Motion
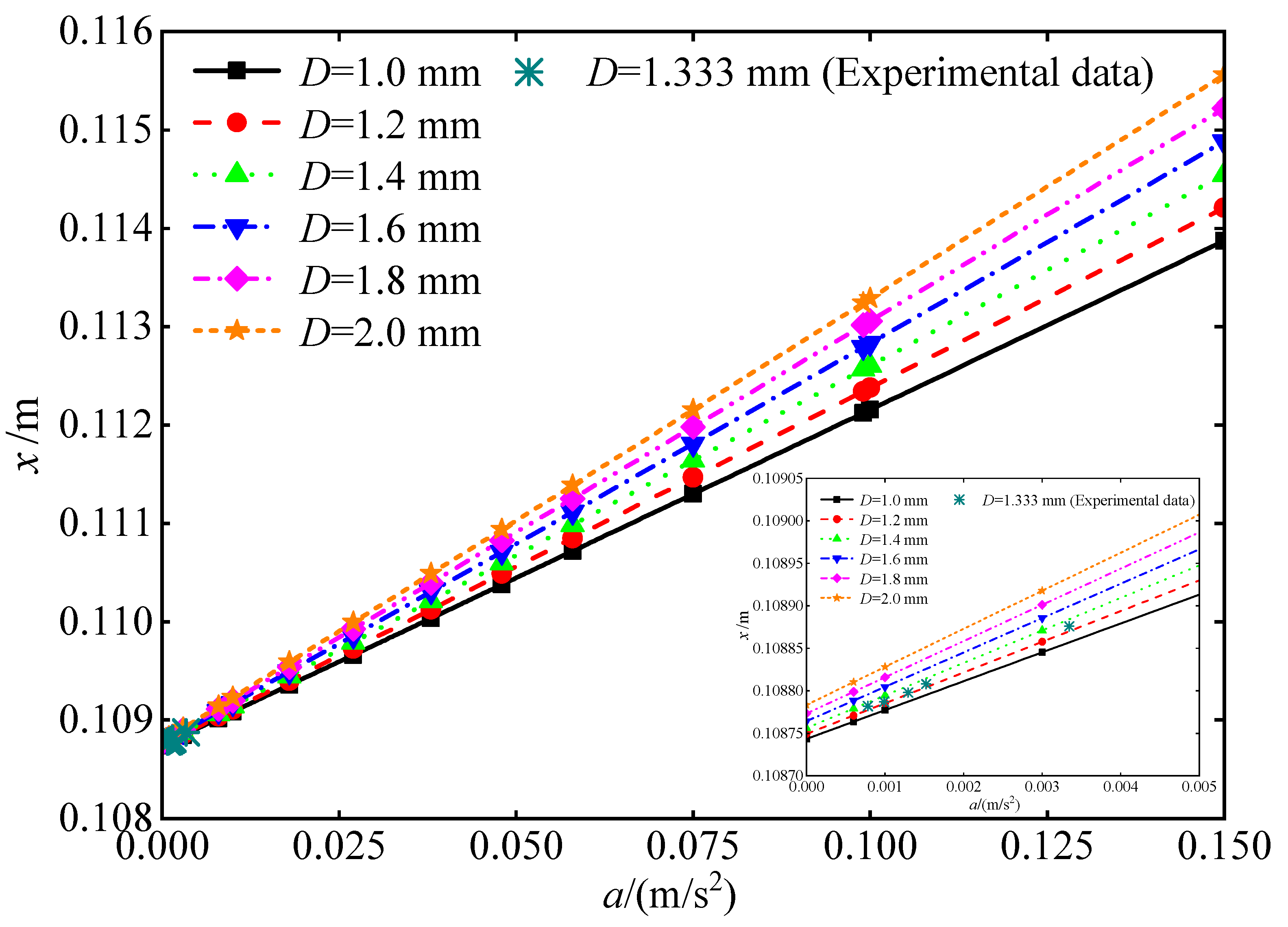
5.3. Effect of Velocity Skewness on the Travel Distance
6. Conclusions
Author Contributions
Funding
Conflicts of Interest
References
- Wu, Z.; Jiang, C.; Chen, J.; Long, Y.; Deng, B.; Liu, X. Three-Dimensional Temperature Field Change in the South China Sea during Typhoon Kai-Tak (1213) Based on a Fully Coupled Atmosphere–Wave–Ocean Model. Water 2019, 11, 140. [Google Scholar] [CrossRef]
- Wu, Z.; Chen, J.; Jiang, C.; Liu, X.; Deng, B.; Qu, K.; He, Z.; Xie, Z. Numerical investigation of Typhoon Kai-tak (1213) using a mesoscale coupled WRF-ROMS model—Part II: Wave effects. Ocean Eng. 2020, 196, 106805. [Google Scholar] [CrossRef]
- Chen, J.; Duan, Z.; Jiang, C. Laboratory study on tsunami erosion and deposition under protection of rigid emergent vegetation. Nat. Hazards 2018, 92, 995–1010. [Google Scholar] [CrossRef]
- Yang, S.Q. Formula for sediment transport in rivers, estuaries, and coastal waters. J. Hydraul. Eng. 2005, 131, 968–979. [Google Scholar] [CrossRef]
- Yang, S.Q. Formula for sediment transport subject to vertical flows. J. Hydraul. Eng. 2019, 145, 04019013. [Google Scholar] [CrossRef]
- Park, H.; Cox, D.T.; Lynett, P.J. Tsunami inundation modeling in constructed environments: A physical and numerical comparison of free-surface elevation, velocity, and momentum flux. Coast. Eng. 2013, 79, 9–21. [Google Scholar] [CrossRef]
- Alsina, J.M.; Van der Zanden, J.; Caceres, I. The influence of wave groups and wave-swash interactions on sediment transport and bed evolution in the swash zone. Coast. Eng. 2018, 140, 23–42. [Google Scholar] [CrossRef]
- Wainwright, J.; Parsons, A.J.; Cooper, J.R. The concept of transport capacity in geomorphology. Rev. Geophys. 2015, 53, 1155–1202. [Google Scholar] [CrossRef]
- Li, Z.; Cao, Z.; Liu, H. Graded and uniform bed load sediment transport in a degrading channel. Int. J. Sediment Res. 2016, 31, 376–385. [Google Scholar] [CrossRef]
- Nelson, P.A.; Morgan, J.A. Flume experiments on flow and sediment supply controls on gravel bedform dynamics. Geomorphology 2018, 323, 98–105. [Google Scholar] [CrossRef]
- Sharma, A.; Kumar, B. Sheet flow hydrodynamics over a non-uniform sand bed channel. Int. J. Sediment Res. 2018, 33, 313–326. [Google Scholar] [CrossRef]
- Zhang, Y.; Chen, D.; Garrard, R. Influence of bed clusters and size gradation on operational time distribution for non-uniform bed-load transport. Hydrol. Process. 2016, 30, 3030–3045. [Google Scholar] [CrossRef]
- Kuai, K.Z.; Tsai, C.W. Discrete-time markov chain model for transport of mixed-size sediment particles under unsteady flow conditions. J. Hydrol. Eng. 2016, 21, 04016039. [Google Scholar] [CrossRef]
- Chen, X.; Li, Y.; Chen, G. Generation of net sediment transport by velocity skewness in oscillatory sheet flow. Adv. Water Resour. 2018, 111, 395–405. [Google Scholar] [CrossRef]
- Chen, X.; Wang, F.; Chen, G. Sediment transport in pure acceleration-skewed oscillatory sheet flow. J. Hydrodyn. 2018, 30, 1045–1054. [Google Scholar] [CrossRef]
- Memarzadeh, R.; Barani, G.; Ghaeini-Hessaroeyeh, M. Numerical modeling of sediment transport based on unsteady and steady flows by incompressible smoothed particle hydrodynamics method. J. Hydrodyn. 2018, 30, 928–942. [Google Scholar] [CrossRef]
- Redolfi, M.; Bertoldi, W.; Tubino, M. Bed load variability and morphology of gravel bed rivers subject to unsteady flow: A laboratory investigation. Water Resour. Res. 2018, 54, 842–862. [Google Scholar] [CrossRef]
- Ren, D.G.; Dou, X.; Li, T. Incipient motion of sediment by waves. Sci. China Ser. E Technol. Sci. 2001, 44, 309–318. [Google Scholar]
- Wang, L.; Cuthbertson, A.J.; Pender, G.; Cao, Z. Experimental investigations of graded sediment transport under unsteady flow hydrographs. Int. J. Sediment Res. 2015, 30, 306–320. [Google Scholar] [CrossRef][Green Version]
- Ma, A.; Lu, Y.; Lu, Y. Experimental study on gravel bed-load transport in unsteady flow. J. Hydraul. Eng. 2013, 44, 800–809. [Google Scholar]
- Wu, W.; Wang, S.S.Y.; Jia, Y. Nonuniform sediment transport in alluvial rivers. J. Hydraul. Res. 2000, 38, 427–434. [Google Scholar] [CrossRef]
- Bombar, G.; Elci, Ş.; Tayfur, G. Experimental and Numerical Investigation of Bed-Load Transport under Unsteady Flows. J. Hydraul. Eng. 2011, 137, 1276–1282. [Google Scholar] [CrossRef]
- Phillips, C.B.; Hill, K.M.; Paola, C. Effect of flood hydrograph duration, magnitude, and shape on bed load transport dynamics. Geophys. Res. Lett. 2018, 45, 8264–8271. [Google Scholar] [CrossRef]
- Phillips, C.B.; Martin, R.L.; Jerolmack, D.J. Impulse framework for unsteady flows reveals super diffusive bed load transport. Geophys. Res. Lett. 2013, 40, 1328–1333. [Google Scholar] [CrossRef]
- Imhoff, K.S.; Wilcox, A.C. Coarse bedload routing and dispersion through tributary confluences. Earth Surf. Dyn. 2016, 4, 591–605. [Google Scholar] [CrossRef]
- Mrokowska, M.M.; Rowiński, P.M.; Książek, L. Laboratory studies on bedload transport under unsteady flow conditions. J. Hydrol. Hydromech. 2018, 66, 23–31. [Google Scholar] [CrossRef]
- Diplas, P.; Dancey, C.L.; Celik, A.O. The role of impulse on the initiation of particle movement under turbulent flow conditions. Science 2008, 322, 717–720. [Google Scholar] [CrossRef]
- Valyrakis, M.; Diplas, P.; Dancey, C.L. Entrainment of coarse particles in turbulent flows: An energy approach. J. Geophys. Res. Earth Surf. 2013, 118, 42–53. [Google Scholar] [CrossRef]
- Mao, J.; Dai, H.; He, W. Calculating incipient velocity of non-uniform sediment through stress analysis. Int. Symp. Water Resour. Environ. Prot. 2011, 1, 607–609. [Google Scholar]
- Patel, S.B.; Patel, P.L.; Porey, P.D. Threshold for initiation of motion of unimodal and bimodal sediments. Int. J. Sediment Res. 2013, 28, 24–33. [Google Scholar] [CrossRef]
- Almedeij, J.H.; Diplas, P. Bedload transport in gravel-bed streams with unimodal sediment. J. Hydraul. Eng. 2003, 129, 896–904. [Google Scholar] [CrossRef]
- Kleinhans, M.G.; van Rijn, L.C. Stochastic prediction of sediment transport in sand-gravel bed rivers. J. Hydraul. Eng. 2002, 128, 412–425. [Google Scholar] [CrossRef]
- Almedeij, J.H.; Diplas, P.; Al-Ruwaih, F. Approach to separate sand from gravel for bed-load transport calculations in streams with bimodal sediment. J. Hydraul. Eng. 2006, 132, 1176–1185. [Google Scholar] [CrossRef]
- Patel, S.B.; Patel, P.L.; Porey, P.D. Fractional bed load transport model for nonuniform unimodal and bimodal sediments. J. Hydro Environ. Res. 2015, 9, 104–119. [Google Scholar] [CrossRef]
- Elhakeem, M.; Imran, J. Bed load model for nonuniform sediment. J. Hydraul. Eng. 2016, 142, 06016004. [Google Scholar] [CrossRef]
- Yang, F.; Liu, X.; Yang, K. Study on the angle of repose of nonuniform sediment. J. Hydrodyn. B 2009, 21, 685–691. [Google Scholar] [CrossRef]
- Parker, G.; Marwan, H.; Peter, W. 10 Adjustment of the bed surface size distribution of gravel-bed rivers in response to cycled hydrographs. Dev. Earth Surf. Process. 2007, 11, 241–285. [Google Scholar]
- Humphries, R.; Venditti, J.G.; Sklar, L.S.; Wooster, J.K. Experimental evidence for the effect of hydrographs on sediment pulse dynamics in gravel-bedded rivers. Water Resour. Res. 2012, 48, 1. [Google Scholar] [CrossRef]
- Einstein, H.A. The Bed-Load Function for Sediment Transportation in Open Channel Flows; US Department of Agriculture: Washington, DC, USA, 1950.
- Kalinske, A.A. Movement of sediment as bed load in rivers. Eos Trans. Am. Geophys. Union 1947, 28, 615–620. [Google Scholar] [CrossRef]
- Yalin, M.S. An expression for bed-load transportation. J. Hydraul. Div. 1963, 89, 221–250. [Google Scholar]
- Einstein, H.A. Bed Load Transportation in Mountain Creek. In Technical Paper No.55, Soil Conservation Service; United States Department of Agriculture: Washington, DC, USA, 1944. [Google Scholar]
- Ackers, P.; White, W.R. Sediment transport: New approach and analysis. J. Hydraul. Div. 1973, 99, 621–625. [Google Scholar]
- Maddock, T. The Behavior of Straight Open Channels with Movable Beds; U.S. Geological Survey Professional Paper 622-A: Washington, DC, USA, 1969; pp. 1–70.
- White, W.R.; Day, T.J. Transport of graded gravel bed material. In Gravel-Bed Rivers, Fluvial Process, Engineering and Mangement; Hey, R.D., Bathurst, J.C., Thorne, C.R., Eds.; John Wiley and Sons: Chichester, UK, 1982; pp. 181–233. [Google Scholar]
- Zhou, Y.R.; Chen, Y.P.; Ma, Q.N. Threshold of sediment movement in different wave boundary layers. China Ocean Eng. 2001, 15, 509–520. [Google Scholar]
- Zhang, S.; Chen, Y.; Zhang, B. A study on incipient sediment motion and the stability conditions of rubble. Eng. Lett. 2015, 23, 49–54. [Google Scholar]















| No. | Sediment Composition | |
|---|---|---|
| Uniform Sand, d/mm | Non-Uniform Sand | |
| 1 | 0.296 | φ0.296:φ0.664:φ1.333 = 1:1:1, A |
| 2 | 0.664 | φ0.664:φ1.333:φ2.639 = 1:1:1, B |
| 3 | 1.333 | φ1.333:φ2.639:φ3.741 = 1:1:1, C |
| 4 | 2.639 | φ0.296:φ1.333:φ3.741 = 1:1:1, D |
| 5 | 3.741 | |
© 2020 by the authors. Licensee MDPI, Basel, Switzerland. This article is an open access article distributed under the terms and conditions of the Creative Commons Attribution (CC BY) license (http://creativecommons.org/licenses/by/4.0/).
Share and Cite
Duan, Z.; Chen, J.; Jiang, C.; Liu, X.; Zhao, B. Experimental Study on Uniform and Mixed Bed-Load Sediment Transport under Unsteady Flow. Appl. Sci. 2020, 10, 2002. https://doi.org/10.3390/app10062002
Duan Z, Chen J, Jiang C, Liu X, Zhao B. Experimental Study on Uniform and Mixed Bed-Load Sediment Transport under Unsteady Flow. Applied Sciences. 2020; 10(6):2002. https://doi.org/10.3390/app10062002
Chicago/Turabian StyleDuan, Zihao, Jie Chen, Changbo Jiang, Xiaojian Liu, and Bingbing Zhao. 2020. "Experimental Study on Uniform and Mixed Bed-Load Sediment Transport under Unsteady Flow" Applied Sciences 10, no. 6: 2002. https://doi.org/10.3390/app10062002
APA StyleDuan, Z., Chen, J., Jiang, C., Liu, X., & Zhao, B. (2020). Experimental Study on Uniform and Mixed Bed-Load Sediment Transport under Unsteady Flow. Applied Sciences, 10(6), 2002. https://doi.org/10.3390/app10062002

