Parameter Analysis and Optimization of Annular Jet Pump Based on Kriging Model
Abstract
1. Introduction
2. The Performance Function of the Jet Pump
3. CFD Modeling and Verification
3.1. CFD Model
- (1)
- the mixing process is considered as a steady and incompressible state;
- (2)
- the heat transfer of the external environment and the fluid medium is ignored;
- (3)
- the solid wall is considered smooth;
- (4)
- the buoyancy effect is ignored.
3.2. Verification of CFD Simulation
4. Hybrid Algorithm and Optimization Process
4.1. Optimization Algorithm Design
- In the design space, the space-filling sample points are generated by OSF.
- According to the sampling point, the CFD software Fluent is used to simulate the model with different structural parameters. Based on numerical simulation, the annular jet pump efficiency is evaluated.
- The Kriging approximate model is constructed by determining the type and parameters of the regression model. The structural parameters of the annular jet pump obtained at the sampling point in step one are input variables, and the efficiency η of the jet pump obtained in step two is the output variable.
- The Kriging approximate model constructed in step three is checked by analyzing the errors of the simulated values and the predicted values: if the error meets the requirements, transfer to step five; otherwise, transfer to step three and continue to update the Kriging model.
- Based on the Kriging approximate model, the MMFD is used to obtain the structural parameters optimal solution in the annular jet pump;
- According to the design parameters of the optimal solution, a physical prototype is generated. Then the CFD simulation and optimization results of the physical prototype are verified with each other.
4.2. Sampling Method
4.3. Approximate Model
4.4. Objectives and Constraints
5. Results and Discussion
5.1. Results of Experimental Design
5.2. Approximate Model and Verification
5.3. Response Surface Analysis
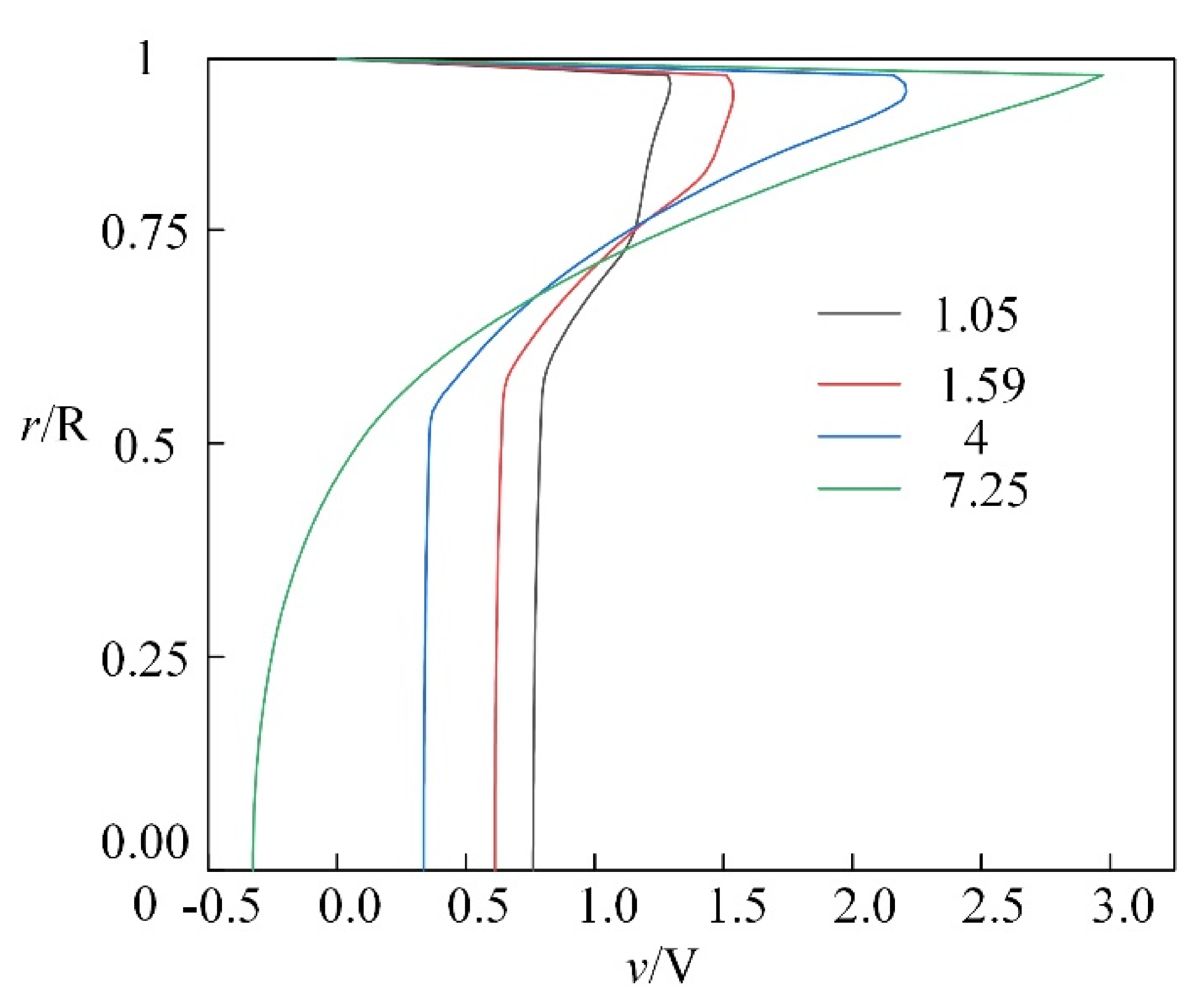
5.4. The Effect of m on Jet Pump
6. Conclusions
- (1)
- The R2 of the Kriging approximate model constructed based on OSF sampling method is more than 0.9, so the proposed modeling method meets the accuracy requirements.
- (2)
- The optimal efficiency of the annular jet pump is 33.89% predicted in optimization and 34.15% by simulation with the combination of pump parameters: α = 26.6°, β = 4.12°, m = 2.11, q = 0.6.
- (3)
- The area ratio m is a key parameter affecting the efficiency of the jet pump, and an analysis of the flow field and performance with different m was performed. By decreasing the area ratio, m, the jet mixing effect at the outlet of the suction chamber can be improved, but leads to the frictional resistance increase. In this case the optimal value of m is 2.11.
Author Contributions
Funding
Conflicts of Interest
References
- Yapıcı, R.; Aldas, K. Optimization of water jet pumps using numerical simulation. Proc. Inst. Mech. Eng. Part A J. Power Energy 2013, 227, 438–449. [Google Scholar] [CrossRef]
- Meakhail, T.; Teaima, I. Experimental and numerical studies of the effect of area ratio and driving pressure on the performance of water and slurry jet pumps. Proc. Inst. Mech. Eng. Part C J. Mech. Eng. Sci. 2012, 226, 2250–2266. [Google Scholar] [CrossRef]
- Long, X.; Xu, M.; Wang, J.; Zou, J.; Bin, J. An experimental study of cavitation damage on tissue of Carassius auratus in a jet fish pump. Ocean Eng. 2019, 174, 43–50. [Google Scholar] [CrossRef]
- Shimizu, Y.; Nakamura, S.; Kuzuhara, S. Studies of the Configuration and Performance of Annular Type Jet Pumps. J. Fluid Eng. 1987, 3, 205–212. [Google Scholar] [CrossRef]
- Kwon, O.B.; Kim, M.K.; Kwon, H.C.; Bae, D.S. Two-dimensional Numerical Simulations on the Performance of an Annular Jet Pump. J. Vis. Jpn. 2002, 5, 21–28. [Google Scholar] [CrossRef]
- Long, X.; Yan, H.; Zhang, S.; Yao, X. Numerical simulation for influence of throat length on annular jet pump performance. J. Drain. Irrig. Mach. Eng. 2010, 3, 198–201. [Google Scholar] [CrossRef]
- Yang, X.; Long, X.; Yao, X. Numerical investigation on the mixing process in a steam ejector with different nozzle structures. Int. J. Therm. Sci. 2012, 56, 95–106. [Google Scholar] [CrossRef]
- Lyu, Q.; Xiao, Z.; Zeng, Q.; Xiao, L.; Long, X. Implementation of design of experiment for structural optimization of annular jet pumps. J. Mech. Sci. Technol. 2016, 30, 585–592. [Google Scholar] [CrossRef]
- Deng, X.; Dong, J.; Wang, Z.; Tu, J. Numerical analysis of an annular water–air jet pump with self-induced oscillation mixing chamber. J. Comput. Multiph. Flows. 2017, 9, 47–53. [Google Scholar] [CrossRef]
- Xiao, L.; Long, X.; Lyu, Q.; Hu, Y.; Wang, Q. Numerical Investigation on the Cavitating Flow in Annular Jet Pump under Different Flow Rate Ratio; Symposium on Hydraulic Machinery and Systems (IAHR): Montreal, QC, Canada, 2014. [Google Scholar] [CrossRef]
- Xu, M.; Yang, X.; Long, X.; Lyu, Q. Large eddy simulation of turbulent flow structure and characteristics in an annular jet pump. J. Hydrodyn. 2017, 2, 702–715. [Google Scholar] [CrossRef]
- Zou, C.H.; Li, H.; Tang, P.; Xu, D.H. Effect of Structural Forms on the Performance of a Jet Pump for A Deep Well Jet Pump. Computational Methods and Experimental Measurements XVII. In Proceedings of the International Conference on Computational Methods and Experimental Measurements 17th, Opatija, Croatia, 5–7 May 2015. [Google Scholar] [CrossRef]
- Barthelemy, J.; Haftka, R. Approximation concepts for optimum structural design—A review. Struct Multidiscip. Optim. 1993, 5, 129–144. [Google Scholar] [CrossRef]
- Gholap, A.; Khan, J. Design and multi-objective optimization of heat exchangers for refrigerators. Appl. Energ. 2007, 84, 1226–1239. [Google Scholar] [CrossRef]
- Alexandras, A. Stochastic subset optimization incorporating moving least squares response surface methodologies for stochastic sampling. Adv. Eng. Softw. 2012, 44, 3–14. [Google Scholar] [CrossRef]
- Verstraete, T.; Alsalihi, Z.; Braembussche, R. Multidisciplinary Optimization of a Radial Compressor for Microgas Turbine Applications. J. Turbomach. 2010, 132, 031004. [Google Scholar] [CrossRef]
- Naseri, M.; Othman, F. Determination of the length of hydraulic jumps using artificial neural networks. Adv. Eng. Softw. 2012, 48, 27–31. [Google Scholar] [CrossRef]
- Frédéric, M.; Luis, A.; Ichiro, H. Efficient preconditioning for image reconstruction with radial basis functions. Adv. Eng. Softw. 2007, 38, 320–327. [Google Scholar] [CrossRef]
- Sun, H.; Schafer, M. Reduced order model assisted evolutionary algorithms for multi-objective flow design optimization. Eng. Optimiz. 2011, 43, 97–114. [Google Scholar] [CrossRef]
- Zhang, Y.; Hu, S.; Wu, J. Multi-objective optimization of double suction centrifugal pump using Kriging metamodels. Adv. Eng. Softw. 2014, 74, 16–26. [Google Scholar] [CrossRef]
- Safikhani, H.; Khalkhali, A.; Farajpoor, M. Pareto Based Multi-Objective Optimization of Centrifugal Pumps Using CFD, Neural Networks and Genetic Algorithms. Eng. Appl. Comp. Fluid. 2011, 5, 37–48. [Google Scholar] [CrossRef]
- Zhao, A.; Lai, Z.; Wu, P. Multi-objective optimization of a low specific speed centrifugal pump using an evolutionary algorithm. Eng. Optimiz. 2016, 48, 1251–1274. [Google Scholar] [CrossRef]
- Sheha, A.A.A.; Nasr, M.; Hosien, M.A.; Wahba, E.M. Computational and Experimental Study on the Water-Jet Pump Performance. J. Appl. Fluid Mech. 2018, 11, 1013–1020. [Google Scholar] [CrossRef]
- Yang, X.; Long, X.; Xiao, L.; Lu, Q. Influence of different turbulence models on simulation of internal flow field of jet pump. J. Drain. Irrig. Mach. Eng. 2013, 31, 98–102. [Google Scholar] [CrossRef]
- Shih, T.; Liou, W.; Shabbir, A.; Yang, Z.; Zhu, J. A new k-ε eddy viscosity model for high reynolds number turbulent flows. Comput. Fluids 1995, 24, 227–238. [Google Scholar] [CrossRef]
- Jin, R.; Chen, W.; Sudjianto, A. An efficient algorithm for constructing optimal design of computer experiments. J. Stat. Plan. Infer. 2005, 134, 268–287. [Google Scholar] [CrossRef]
- Vanderplaats, G. An efficient feasible directions algorithm for design synthesis. AIAA J. 1984, 22, 1633–1640. [Google Scholar] [CrossRef]
- Simpson, T.; Mauery, F.; Korte, J.; Mauery, T. Comparison of Response Surface and Kriging Models for Multidisciplinary Design Optimization. In Proceedings of the Symposium on Multidisciplinary Analysis and Optimization (AIAA), St. Louis, MO, USA, 2–4 September 1998. [Google Scholar] [CrossRef]
- Matta, A.; Pezzoni, M.; Semeraro, Q. A Kriging-based algorithm to optimize production systems approximated by analytical models. J. Intell. Manuf. 2012, 23, 587–597. [Google Scholar] [CrossRef]











| q | m | α (°) | β (°) |
|---|---|---|---|
| 0.5835 | 4.256 | 20.22 | 9.164 |
| 0.7259 | 1.789 | 30.54 | 7.646 |
| 0.538 | 2.454 | 18.84 | 8.178 |
| 0.4013 | 4.078 | 20.5 | 8.936 |
| 0.3899 | 4.876 | 20.22 | 9.164 |
| … | … | … | … |
| 0.8 | 3.616 | 39.44 | 4.912 |
| 0.7146 | 5.675 | 18 | 5.518 |
| 0.4525 | 2.779 | 35.26 | 6.43 |
| 0.6405 | 2.347 | 39.72 | 6.354 |
| 0.4924 | 2.417 | 21.06 | 4.456 |
| Parameter | Value |
|---|---|
| β0 | −0.0747 |
| σ | 0.06742 |
| θ | (1.2707 1.201 0.5417 0.2051) |
Publisher’s Note: MDPI stays neutral with regard to jurisdictional claims in published maps and institutional affiliations. |
© 2020 by the authors. Licensee MDPI, Basel, Switzerland. This article is an open access article distributed under the terms and conditions of the Creative Commons Attribution (CC BY) license (http://creativecommons.org/licenses/by/4.0/).
Share and Cite
Xu, K.; Wang, G.; Wang, L.; Yun, F.; Sun, W.; Wang, X.; Chen, X. Parameter Analysis and Optimization of Annular Jet Pump Based on Kriging Model. Appl. Sci. 2020, 10, 7860. https://doi.org/10.3390/app10217860
Xu K, Wang G, Wang L, Yun F, Sun W, Wang X, Chen X. Parameter Analysis and Optimization of Annular Jet Pump Based on Kriging Model. Applied Sciences. 2020; 10(21):7860. https://doi.org/10.3390/app10217860
Chicago/Turabian StyleXu, Kai, Gang Wang, Liquan Wang, Feihong Yun, Wenhao Sun, Xiangyu Wang, and Xi Chen. 2020. "Parameter Analysis and Optimization of Annular Jet Pump Based on Kriging Model" Applied Sciences 10, no. 21: 7860. https://doi.org/10.3390/app10217860
APA StyleXu, K., Wang, G., Wang, L., Yun, F., Sun, W., Wang, X., & Chen, X. (2020). Parameter Analysis and Optimization of Annular Jet Pump Based on Kriging Model. Applied Sciences, 10(21), 7860. https://doi.org/10.3390/app10217860

