Impact of Germination and Fermentation on Rheological and Thermo-Mechanical Properties of Wheat and Triticale Flours
Abstract
1. Introduction
2. Materials and Methods
2.1. Materials
2.2. Germination of Wheat and Triticale Grain
2.3. Flour Obtaining
2.4. Proximate Composition
2.5. Sourdoughs Preparation
2.6. Rheological Properties
2.7. Thermo-Mechanical Properties
2.8. Statistical Analysis
3. Results and Discussion
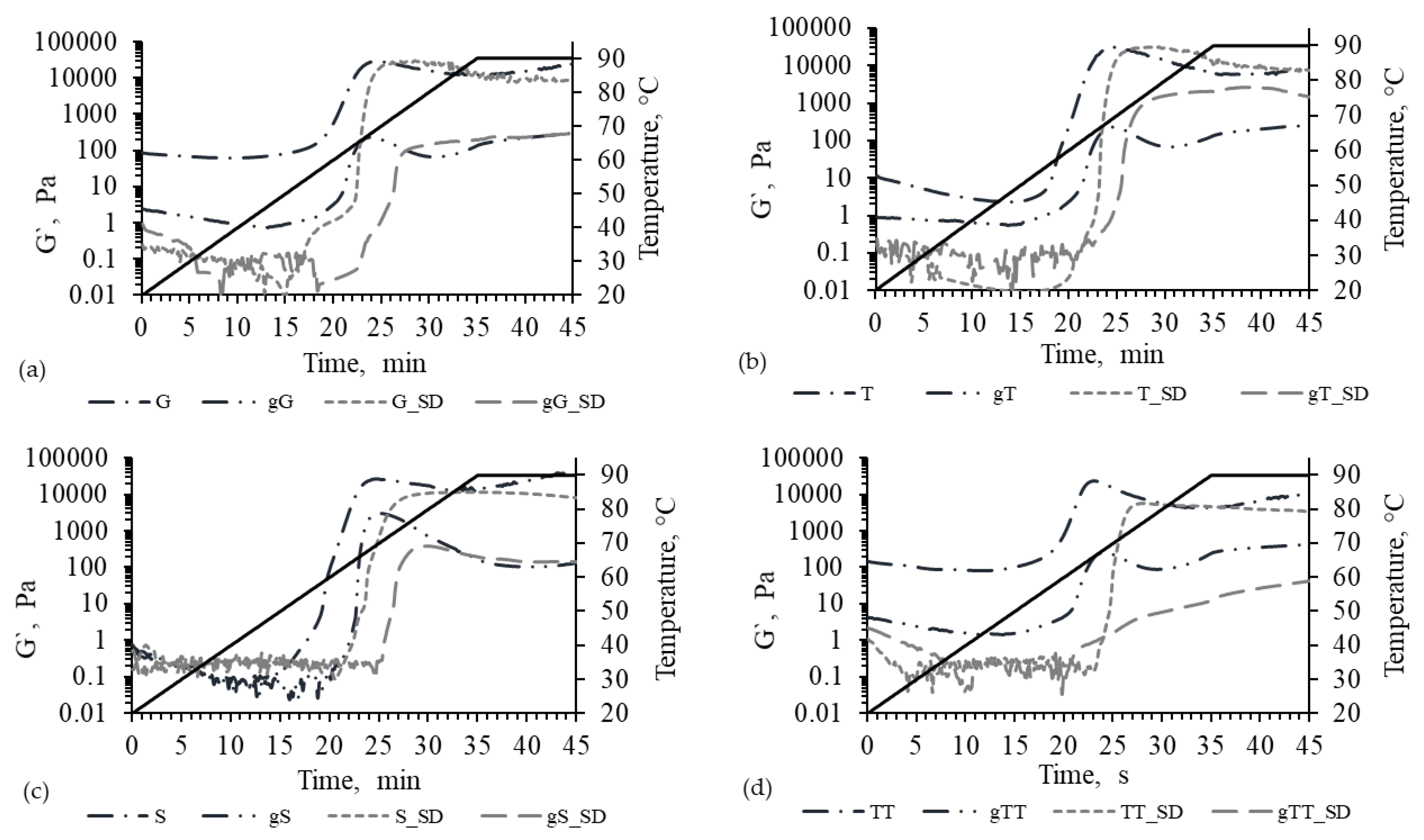
3.1. Influence of Germination and Fermentation on the Rheological Properties of Wheat and Triticale Flours
3.2. Influence of Germination and Fermentation on the Thermo-Mechanical Properties of Doughs
3.2.1. Influence of Grain Germination
3.2.2. Influence of Sourdough Addition
4. Conclusions
Author Contributions
Funding
Acknowledgments
Conflicts of Interest
References
- Dewettinck, K.; Van Bockstaele, F.; Kühne, B.; Van de Walle, D.; Courtens, T.M.; Gellynck, X. Nutritional value of bread: Influence of processing, food interaction and consumer perception. J. Cereal Sci. 2008, 48, 243–257. [Google Scholar] [CrossRef]
- Katina, K.; Liukkonen, K.H.; Kaukovirta-Norja, A.; Adlercreutz, H.; Heinonen, S.M.; Lampi, A.M.; Pihlava, J.-M.; Poutanen, K. Fermentation-induced changes in the nutritional value of native or germinated rye. J. Cereal Sci. 2007, 46, 348–355. [Google Scholar] [CrossRef]
- Banu, I.; Vasilean, I.; Aprodu, I. Effect of lactic fermentation on antioxidant capacity of rye sourdough and bread. Food Sci. Technol. Res. 2010, 16, 571–576. [Google Scholar] [CrossRef]
- Patrascu, L.; Vasilean, I.; Turtoi, M.; Garnai, M.; Aprodu, I. Pulse germination as tool for modulating their functionality in wheat flour sourdoughs. Qual. Assur. Saf. Crop. 2019, 11, 269–282. [Google Scholar] [CrossRef]
- Sibian, M.S.; Saxena, D.C.; Riar, C.S. Effect of germination on chemical, functional and nutritional characteristics of wheat, brown rice and triticale: A comparative study. J. Sci. Food Agric. 2017, 97, 4643–4651. [Google Scholar] [CrossRef] [PubMed]
- Guardianelli, L.M.; Salinas, M.V.; Puppo, M.C. Hydration and rheological properties of amaranth-wheat flour dough: Influence of germination of amaranth seeds. Food Hydrocoll. 2019, 97, 105242. [Google Scholar] [CrossRef]
- Katina, K.; Arendt, E.; Liukkonen, K.H.; Autio, K.; Flander, L.; Poutanen, K. Potential of sourdough for healthier cereal products. Trends Food Sci. Technol. 2005, 16, 104–112. [Google Scholar] [CrossRef]
- Gobbetti, M.; De Angelis, M.; Di Cagno, R.; Calasso, M.; Archetti, G.; Rizzello, C.G. Novel insights on the functional/nutritional features of the sourdough fermentation. Int. J. Food Microbiol. 2019, 302, 103–113. [Google Scholar] [CrossRef]
- Gobbetti, M.; De Angelis, M.; Di Cagno, R.; Polo, A.; Rizzello, C.G. The sourdough fermentation is the powerful process to exploit the potential of legumes, pseudo-cereals and milling by-products in baking industry. Crit. Rev. Food Sci. 2020, 60, 2158–2173. [Google Scholar] [CrossRef]
- Sadowska, J.; Blaszczak, W.; Fornal, J.; Vidal-Valverde, C.; Frias, J. Changes of wheat dough and bread quality and structure as a result of germinated pea flour addition. Eur. Food Res. Technol. 2003, 216, 46–50. [Google Scholar] [CrossRef]
- Rosales-Juarez, M.; Gonzalez-Mendoza, B.; Lopez-Guel, E.C.; Lozano-Bautista, F.; Chanona-Perez, J.; Gutierrez-Lopez, G.; Farrera-Rebollo, R.; Calderon-Domínguez, G. Changes on dough rheological characteristics and bread quality as a result of the addition of germinated and non-germinated soybean flour. Food Bioprocess Technol. 2008, 1, 152–160. [Google Scholar] [CrossRef]
- Aprodu, I.; Vasilean, I.; Muntenită, C.; Patrascu, L. Impact of broad beans addition on rheological and thermal properties of wheat flour based sourdoughs. Food Chem. 2019, 293, 520–528. [Google Scholar] [CrossRef] [PubMed]
- Singh, H.; Singh, N.; Kaur, L.; Saxena, S.K. Effect of sprouting conditions on functional and dynamic rheological properties of wheat. J. Food Eng. 2001, 47, 23–29. [Google Scholar] [CrossRef]
- Clarke, C.I.; Schober, T.J.; Arendt, E.K. Effect of single strain and traditional mixed strain starter cultures on rheological properties of wheat dough and on bread quality. Cereal Chem. 2002, 79, 640–647. [Google Scholar] [CrossRef]
- Angioloni, A.; Romani, S.; Pinnavaia, G.G.; Dalla Rosa, M. Characteristics of bread making doughs: Influence of sourdough fermentation on the fundamental rheological properties. Eur. Food Res. Technol. 2006, 222, 54–57. [Google Scholar] [CrossRef]
- AACC International. Approved Methods of Analysis, 11th ed.; Methods 44-15.02, 46-11.02, 08-01; American Association of Cereal Chemists International: St. Paul, MN, USA, 2000. [Google Scholar]
- Patraşcu, L.; Banu, I.; Vasilean, I.; Aprodu, I. Effect of gluten, egg and soy proteins on the rheological and thermo-mechanical properties of wholegrain rice flour. Food Sci. Technol. Int. 2016, 23, 142–155. [Google Scholar] [CrossRef] [PubMed]
- Ding, Y.; Liu, R.; Rong, J.; Liu, Y.; Zhao, S.; Xiong, S. Rheological behavior of heat-induced actomyosin gels from yellowcheek carp and grass carp. Eur. Food Res. Technol. 2012, 235, 245–251. [Google Scholar] [CrossRef]
- Song, Y.; Zheng, Q. Dynamic rheological properties of wheat flour dough and proteins. Trends Food Sci. Technol. 2007, 18, 132–138. [Google Scholar] [CrossRef]
- Khatkar, B.S.; Fido, R.J.; Tatham, A.S.; Schofield, J.D. Functional properties of wheat gliadins. II. Effects on dynamic rheological properties of wheat gluten. J. Cereal Sci. 2002, 35, 307–313. [Google Scholar] [CrossRef]
- Patraşcu, L.; Banu, I.; Vasilean, I.; Aprodu, I. Rheological and thermo-mechanical characterization of starch—Protein mixtures. Agric. Agric. Sci. Proc. 2016, 10, 280–288. [Google Scholar] [CrossRef][Green Version]
- Gänzle, M.G.; Loponen, J.; Gobbetti, M. Proteolysis in sourdough fermentations: Mechanisms and potential for improved bread quality. Trends Food Sci. Technol. 2008, 19, 513–521. [Google Scholar] [CrossRef]
- Jane, J.; Chen, Y.Y.; Lee, L.F.; McPherson, A.E.; Wong, K.S.; Radosavljevic, M.; Kasemsuwan, T. Effects of amylopectin branch chain length and amylose content on the gelatinization and pasting properties of starch 1. Cereal Chem. 1999, 76, 629–637. [Google Scholar] [CrossRef]
- Frias, J.; Fornal, J.; Ring, S.G.; Vidal-Valverde, C. Effect of germination on physico-chemical properties of lentil starch and its components. LWT Food Sci. Technol. 1998, 31, 228–236. [Google Scholar] [CrossRef]
- Chinma, C.E.; Adewuyi, O.; Abu, J.O. Effect of germination on the chemical, functional and pasting properties of flour from brown and yellow varieties of tigernut (Cyperus esculentus). Food Res. Int. 2009, 4, 1004–1009. [Google Scholar] [CrossRef]
- Banu, I.; Aprodu, I. Studies concerning the use of Lactobacillus helveticus and Kluyveromyces marxianus for rye sourdough fermentation. Eur. Food Res. Technol. 2012, 234, 769–777. [Google Scholar] [CrossRef]
- Bigiarini, L.; Pieri, N.; Grilli, I.; Galleschi, L.; Capocchi, A.; Fontanini, D. Hydrolysis of gliadin during germination of wheat seeds. J. Plant Physiol. 1995, 147, 161–167. [Google Scholar] [CrossRef]
- Hidalgo, A.; Brusco, M.; Plizzari, L.; Brandolini, A. Polyphenol oxidase, alpha-amylase and beta-amylase activities of Triticum monococcum, Triticum turgidum and Triticum aestivum: A two-year study. J. Cereal Sci. 2013, 58, 51–58. [Google Scholar] [CrossRef]
- Zhu, F. Triticale: Nutritional composition and food uses. Food Chem. 2018, 241, 468–479. [Google Scholar] [CrossRef]
- Dubat, A.; Boinot, N. Mixolab Applications Handbook. In Rheological and Enzymes Analyses; Chopin Technology: Villenueve, France, 2012; pp. 10–15, 114–115. [Google Scholar]
- Cornejo, F.; Rosell, C.M. Influence of germination time of brown rice in relation to flour and gluten free bread quality. J. Food Sci. Technol. 2015, 52, 6591–6598. [Google Scholar] [CrossRef]
- Patraşcu, L.; Banu, I.; Vasilean, I.; Aprodu, I. Effects of germination and fermentation on the functionality of whole soy flour. Bull. USAMV Sci. Biotechnol. 2016, 73, 126–134. [Google Scholar] [CrossRef]
- Bottari, A.; Capocchi, A.; Fontanini, D.; Galleschi, L. Major proteinase hydrolyzing gliadin during wheat germination. Phytochem 1996, 43, 39–44. [Google Scholar] [CrossRef]
- Clarke, C.I.; Schober, T.J.; Angst, E.; Arendt, E.K. Use of response surface methodology to investigate the effects of processing conditions on sourdough wheat bread quality. Eur. Food Res. Technol. 2003, 217, 23–33. [Google Scholar]





| Sample | Yield Stress, Pa | ||
|---|---|---|---|
| Suspension | Sourdough | ||
| Gabriela | Raw | 7.96 ± 4.39 | 0.03 ± 0.00 |
| Germinated | 0.37 ± 0.19 | - | |
| Trivale | Raw | 3.78 ± 0.00 | - |
| Germinated | 0.04 ± 0.00 | - | |
| Spelt | Raw | 0.71 ± 0.40 | - |
| Germinated | 0.02 ± 0.00 | - | |
| Triticale | Raw | 1.08 ± 0.16 | - |
| Germinated | 0.23 ± 0.21 | - | |
| Samples | DS, min | C2, Nm | C3, Nm | C4, Nm | C5, Nm |
|---|---|---|---|---|---|
| WF + G | 9.93 ± 0.12 a | 0.46 ± 0.01 a | 1.99 ± 0.01 a | 1.76 ± 0.01 a | 2.64 ± 0.02 a |
| WF + gG | 3.23 ± 0.10 c | 0.17 ± 0.01 c | 0.51 ± 0.01 c | 0.05 ± 0.00 c | 0.02 ± 0.00 c |
| WF + G_SD | 5.42 ± 0.10 b | 0.31 ± 0.01 b | 1.85 ± 0.01 b | 1.74 ± 0.01 a | 2.64 ± 0.01 a |
| WF + Gg_SD | 5.32 ± 0.10 b | 0.12 ± 0.01 d | 0.40 ± 0.01 d | 0.35 ± 0.01 b | 1.09 ± 0.02 b |
| WF + T | 8.83 ± 0.09 a | 0.47 ± 0.01 a | 2.20 ± 0.01 a | 1.88 ± 0.01 a | 2.83 ± 0.01 a |
| WF + gT | 2.68 ± 0.10 d | 0.16 ± 0.01 c | 0.42 ± 0.01 d | 0.03 ± 0.00 d | 0.01 ± 0.00 d |
| WF + T_SD | 5.23 ± 0.11 b | 0.32 ± 0.01 b | 1.82 ± 0.01 b | 1.65 ± 0.01 b | 2.56 ± 0.02 b |
| WF + Tg_SD | 4.68 ± 0.10 c | 0.12 ± 0.01 d | 0.55 ± 0.01 c | 0.18 ± 0.01 c | 0.18 ± 0.01 c |
| WF + S | 9.33 ± 0.10 a | 0.43 ± 0.01 a | 1.88 ± 0.01 a | 1.52 ± 0.01 b | 2.26 ± 0.02 b |
| WF + gS | 4.03 ± 0.11 d | 0.14 ± 0.01 c | 0.94 ± 0.01 c | 0.26 ± 0.01 d | 0.32 ± 0.01 d |
| WF + S_SD | 6.10 ± 0.09 b | 0.37 ± 0.01 b | 1.84 ± 0.01 b | 1.80 ± 0.01 a | 2.72 ± 0.02 a |
| WF + Sg_SD | 4.83 ± 0.09 c | 0.12 ± 0.01 c | 0.96 ± 0.01 c | 0.53 ± 0.01 c | 0.75 ± 0.01 c |
| WF + TT | 8.82 ± 0.11 a | 0.42 ± 0.01 a | 1.84 ± 0.01 a | 1.33 ± 0.01 b | 2.00 ± 0.02 b |
| WF + gTT | 3.12 ± 0.09 d | 0.12 ± 0.01 c | 0.31 ± 0.01 c | 0.01 ± 0.00 d | 0.00 ± 0.00 d |
| WF + TT_SD | 6.32 ± 0.10 b | 0.33 ± 0.01 b | 1.77 ± 0.01 b | 1.50 ± 0.01 a | 2.25 ± 0.02 a |
| WF + TTg_SD | 5.32 ± 0.12 c | 0.09 ± 0.01 d | 0.29 ± 0.01 c | 0.06 ± 0.00 c | 0.10 ± 0.00 c |
Publisher’s Note: MDPI stays neutral with regard to jurisdictional claims in published maps and institutional affiliations. |
© 2020 by the authors. Licensee MDPI, Basel, Switzerland. This article is an open access article distributed under the terms and conditions of the Creative Commons Attribution (CC BY) license (http://creativecommons.org/licenses/by/4.0/).
Share and Cite
Banu, I.; Patraşcu, L.; Vasilean, I.; Horincar, G.; Aprodu, I. Impact of Germination and Fermentation on Rheological and Thermo-Mechanical Properties of Wheat and Triticale Flours. Appl. Sci. 2020, 10, 7635. https://doi.org/10.3390/app10217635
Banu I, Patraşcu L, Vasilean I, Horincar G, Aprodu I. Impact of Germination and Fermentation on Rheological and Thermo-Mechanical Properties of Wheat and Triticale Flours. Applied Sciences. 2020; 10(21):7635. https://doi.org/10.3390/app10217635
Chicago/Turabian StyleBanu, Iuliana, Livia Patraşcu, Ina Vasilean, Georgiana Horincar, and Iuliana Aprodu. 2020. "Impact of Germination and Fermentation on Rheological and Thermo-Mechanical Properties of Wheat and Triticale Flours" Applied Sciences 10, no. 21: 7635. https://doi.org/10.3390/app10217635
APA StyleBanu, I., Patraşcu, L., Vasilean, I., Horincar, G., & Aprodu, I. (2020). Impact of Germination and Fermentation on Rheological and Thermo-Mechanical Properties of Wheat and Triticale Flours. Applied Sciences, 10(21), 7635. https://doi.org/10.3390/app10217635

