Assessing the Performance of the Multi-Beam Echo-Sounder Bathymetric Uncertainty Prediction Model
Abstract
1. Introduction
2. Modeling and Measuring Bathymetric Uncertainties
2.1. Modeling Approach
- Echosounder contribution, , due to the non-zero beam opening angle in the along-track direction, uncertainties in the measurements of the range (between the transducer and a point on the seafloor), and the angle of impact of the incoming sound at the transducer. The latter depends on the method used within the MBES processing chain for bottom detection, i.e., using the amplitude and phase of the received signal. The former is obtained either from the maximum amplitude of the received signal or the center of gravity of the signal envelope after beamforming [26]. As for the phase detection, the full MBES receiving array is divided into two sub-arrays [4]. First, the received signals on both sub-arrays are beamformed focusing the two sub-arrays in a desired direction. The time at which the two signals are in phase (zero phase difference between the two beams formed in a chosen direction) is then taken as the arrival time [4].
- Angular motion sensor contribution, , due to the uncertainties in roll and pitch measurements and the imperfectness of their corrections.
- Motion sensor and echosounder alignment contribution, , due to the discrepancies between roll and pitch angle measurements at the motion sensor and the transducer.
- Sound speed contribution, , due to the sound speed uncertainties at the transducer array and in the water column.
- Heave contribution, , due to the uncertainties in the heave measurements and those induced due to the vertical motion of the transducer with respect to the vertical reference unit caused by the angular motions of the vessel.
2.2. Determining the Bathymetric Uncertainties from the Measurements
3. Description of the Dataset
4. Results and Discussion
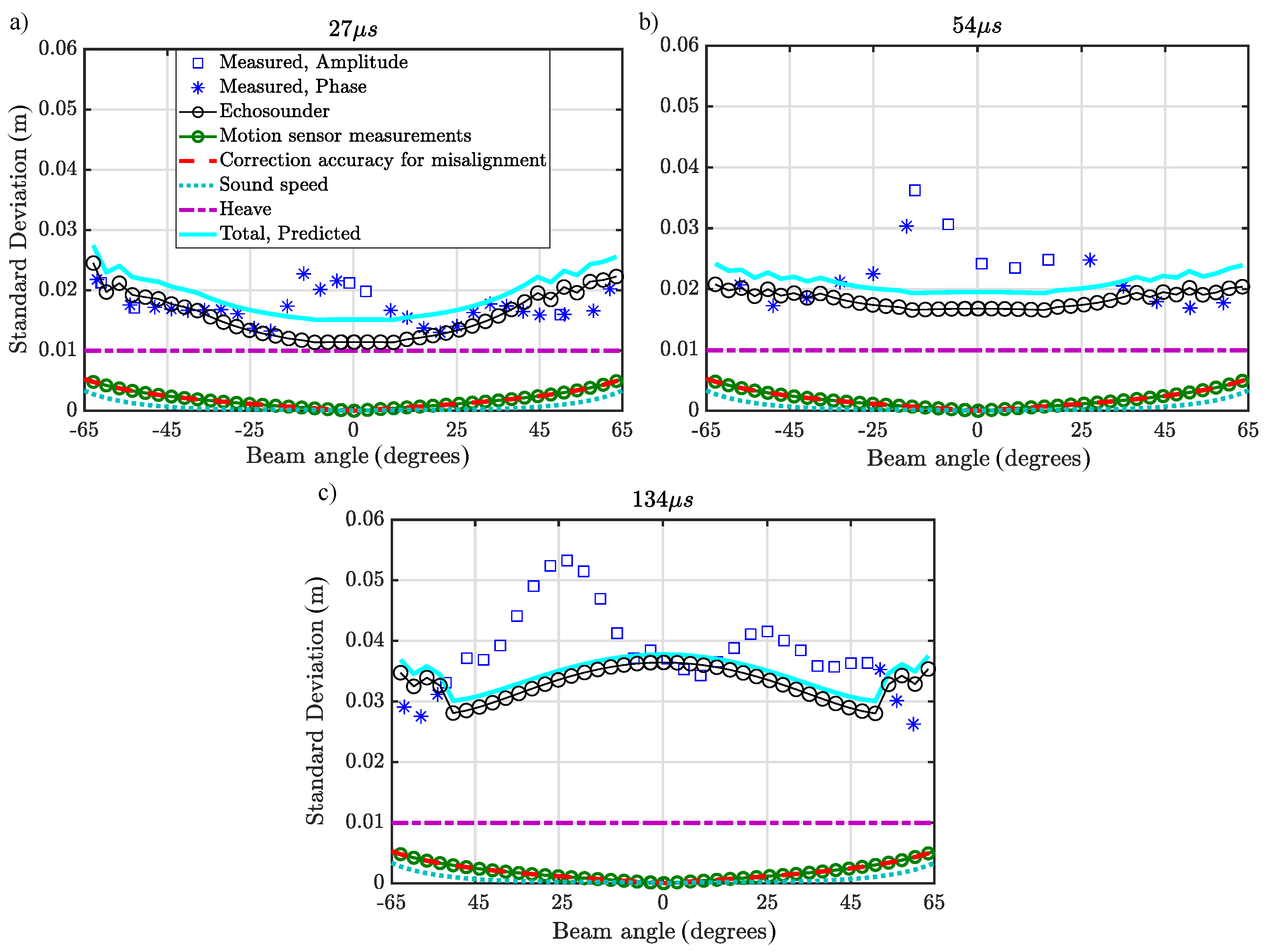
4.1. Trends Visible in the Measured Standard Deviation
- An increase in the pulse length leads to an increase in the depth uncertainty due to the deterioration of the range resolution and the increase in the contribution of the baseline decorrelation; see [21].
- In general, lengthening the pulse results in using the amplitude detection for a larger range of beam angles around nadir. As an example, compare the transition point of around ± 15 for a water depth of 30 and a pulse length of 134 to that of around ± 4 for the same water depth and a pulse length of 54 . The reason for this change in the transition point for varying pulse length is the changing nature of the phenomenon referred to as the baseline decorrelation with the pulse length [21]. For beam angles close to nadir and long pulse lengths, the entire main beam is ensonified at any one instant implying that the scattered return is received from a wide range of angular directions corresponding at least to the width of the main beam. Thus, the estimate of the phase difference zero-crossing (in the interferometry step) becomes uncertain. Therefore, the amplitude detection is used for the bottom detection. Another contributing factor to the quality of the zero-crossing estimate is the Signal-to-Noise Ratio (SNR) where longer pulse lengths has higher values of the SNR due to the increased energy of the transmitted signal. Based on the results presented, it could be seen that the increased SNR for longer pulse lengths did not compensate for the increased uncertainty due to the baseline decorrelation (blue markers are always above the others).
4.2. Comparison between Modeled and Measured Uncertainties
- Uncertainties in the range measurements,
- Uncertainties in the angle of impact of the incoming sound wave with the MBES,
- non-zero along-track beam opening angle.
4.3. Improving Model-Data Agreement by Accounting for the Most Recent Insights into the Contributors to MBES Depth Uncertainties
- Doppler effect: Since the MBES is constantly moving, the received signal is affected by a Doppler frequency shift. This frequency shift has an impact on the beam steering, resulting in uncertainties in the steering angle. An uncertainty in the steering angle gives rise to uncertainty in the estimated depths. As such, an underestimation of the contribution of the Doppler effect potentially leads to an optimistic expectation of the depth uncertainties; see [21]. This contribution increases with water depth and beam angle.
- Baseline decorrelation: As shown by Mohammadloo et al. [21], the phenomenon of baseline decorrelation occurs in the MBES interferometry step for phase detection due to slightly different received signals by the two sub-arrays resulting from different angular directions. Thus, the coherence between the two received signals is affected. As the water depth increases, this coherence is reduced (due to a larger signal footprint and consequently a more fluctuating directivity pattern), and thus, the quality of the phase estimates is negatively, affected resulting in an increase in the bathymetric uncertainty.
5. Conclusions
- The size of the bottom surface patches, used for the calculation of the measured bathymetric uncertainty accounting for the potential presence of the small-scale depth variations, has to be chosen carefully. If a too large surface patch is used, the bottom morphology might change within a patch to an extent that cannot be captured by the fitting process. Therefore, the derived bathymetric uncertainty does not solely depend on the uncertainties inherent to the MBES. On the other hand, if a too small surface patch is used, the number of soundings within a patch might not be enough to to give a robust estimate of the required statistics. The optimal size of the surface patch varies with water depth and was found by comparing the bathymetric uncertainty corresponding to different patch sizes.
- The number of phase samples within each beam is required for the calculation of the bathymetric uncertainty induced due to the phase bottom detection technique. The comparison between the theoretical number of samples and those obtained in practice revealed large discrepancies, and thus, the latter was used for a realistic comparison between the measured and predicted bathymetric uncertainties.
- In general, the magnitude of the bathymetric uncertainties derived from the prediction model were in good agreement with those measured. However, discrepancies were observed with increasing water depth and for the outer beams.
- The model tends to underestimate the measured uncertainties for the beams where the amplitude detection was used as the bottom detection method. As the pulse length increases, a larger range of beam angles around nadir uses this bottom detection method, and hence, the underestimation occurs for a wider portion of the swath.
- The most dominant contributor to the depth uncertainty was found to be the echosounder contribution, and hence, as a first step toward improving the model, the contributions of the baseline decorrelation and Doppler effect were added to this contribution. The comparison between the situations with and without accounting for these error sources indicated a decrease in the contribution of the echosounder in the case of the former. The effect on the total bathymetric uncertainty depended also on the magnitude of the Doppler effect (as the reduction in the contribution of the baseline decorrelation with the beam angle was counteracted by an increase in the Doppler induced depth uncertainty).
- Accounting for the contributions of the Doppler effect and baseline decorrelation in general improves the performance of the prediction model in capturing the variations of the uncertainty with the beam angle. The agreement between the modeled and measured uncertainties for the outer parts of the swath is further improved by accounting for the decreased SNR. Accounting for these considerations, however, requires knowledge of the pulse shape, speed of the array at reception, and transmission of the signal and sediment characteristics, which might not be always available.
- Based on the insights obtained by accounting for the contribution of the baseline decorrelation and Doppler effect, one can conclude that the good model-data agreement obtained without accounting for these contributions might have been a coincidence. This occurred as a consequence of accounting for the baseline decorrelation in an approximate manner and discarding the contribution of the Doppler effect; for the situations considered here, it was found that the contributions of the baseline decorrelation when accounting for the pulse shape and Doppler effect counteracted each other. However, for a different environmental condition, survey configuration, or pulse shape, this might not occur. Consequently, not accounting for these contributions in the uncertainty prediction model can lead to incorrect predictions.
- Overall, this paper showed that the current capabilities of modeling the MBES bathymetric uncertainties in a computationally efficient way (error propagation) provided estimates that were in good agreement with those obtained experimentally.
Author Contributions
Funding
Acknowledgments
Conflicts of Interest
References
- Komatsu, T.; Igarashi, C.; Tatsukawa, K.; Sultana, S.; Matsuoka, Y.; Harada, S. Use of multi-beam sonar to map seagrass beds in Otsuchi Bay on the Sanriku Coast of Japan. Aquat. Living Resour. 2003, 16, 223–230. [Google Scholar] [CrossRef]
- Anderson, T.J.; Syms, C.; Roberts, D.A.; Howard, D.F. Multi-scale fish-habitat associations and the use of habitat surrogates to predict the organisation and abundance of deep-water fish assemblages. J. Exp. Mar. Biol. Ecol. 2009, 379, 34–42. [Google Scholar] [CrossRef]
- Di Maida, G.; Tomasello, A.; Luzzu, F.; Scannavino, A.; Pirrotta, M.; Orestano, C.; Calvo, S. Discriminating between Posidonia oceanica meadows and sand substratum using multibeam sonar. ICES J. Mar. Sci. 2011, 68, 12–19. [Google Scholar] [CrossRef]
- Lurton, X.; Augustin, J.M. A measurement quality factor for swath bathymetry sounders. IEEE J. Ocean. Eng. 2010, 35, 852–862. [Google Scholar] [CrossRef]
- Hellequin, L.; Boucher, J.M.; Lurton, X. Processing of high-frequency multibeam echo sounder data for seafloor characterization. IEEE J. Ocean. Eng. 2003, 28, 78–89. [Google Scholar] [CrossRef]
- Hare, R. Depth and position error budgets for multibeam echosounding. Int. Hydrogr. Rev. 2003, LXXII, 37–69. [Google Scholar]
- Hare, R. Error Budget Analysis for US Naval Oceanographic Office (NAVOCEANO) Hydrographic Survey Systems; Technical Report; Hydrographic Science Research Center (HSRC): Hattiesburg, MS, USA, 2001. [Google Scholar]
- Calder, B.R.; Mayer, L.A. Robust Automatic Multi-beam Bathymetric Processing. In Proceedings of the U.S. Hydrographic Conference, Norfolk, VA, USA, 21–24 May 2001; pp. 1–20. [Google Scholar]
- Calder, B.R.; Mayer, L.A. Automatic processing of high-rate, high-density multibeam echosounder data. Geochem. Geophys. Geosyst. 2003, 4. [Google Scholar] [CrossRef]
- Calder, B.R. Distribution-free, Variable Resolution Depth Estimation with Composite Uncertainty. In Proceedings of the U.S. Hydrographic Conference, New Orleans, LA, USA, 25–27 March 2013; pp. 1–8. [Google Scholar]
- Eakins, B.W.; Taylor, L.A. Seamlessly Integrating Bathymetric and Topographic Data to Support Tsunami Modeling and Forecasting Efforts. In Ocean Globe; Esri Press: Redlands, CA, USA, 2010; Chapter 2; pp. 37–56. [Google Scholar]
- Hare, R.; Eakins, B.W.; Amante, C.; Taylor, L.A. Modeling bathymetric uncertainty. Int. Hydrogr. Rev. 2011, 6, 31–42. [Google Scholar]
- Lundblad, E.R.; Wright, D.J.; Miller, J.; Larkin, E.M.; Rinehart, R.; Naar, D.F.; Donahue, B.T.; Anderson, S.M.; Battista, T. A benthic terrain classification scheme for American Samoa. Mar. Geod. 2006, 29, 89–111. [Google Scholar] [CrossRef]
- Wilson, M.F.J.; O’Connell, B.; Brown, C.; Guinan, J.C.; Grehan, A.J. Multiscale terrain analysis of multibeam bathymetry data for habitat mapping on the continental slope. Mar. Geod. 2007, 30, 3–35. [Google Scholar] [CrossRef]
- Eleftherakis, D.; Amiri-Simkooei, A.; Snellen, M.; Simons, D.G. Improving riverbed sediment classification using backscatter and depth residual features of multi-beam echo-sounder systems. J. Acoust. Soc. Am. 2012, 131, 3710–3725. [Google Scholar] [CrossRef]
- Eleftherakis, D.; Snellen, M.; Amiri-Simkooei, A.; Simons, D.G.; Siemes, K. Observations regarding coarse sediment classification based on multi-beam echo-sounder’s backscatter strength and depth residuals in Dutch rivers. J. Acoust. Soc. Am. 2014, 135, 3305–3315. [Google Scholar] [CrossRef]
- Snellen, M.; Gaida, T.C.; Koop, L.; Alevizos, E.; Simons, D.G. Performance of multibeam echosounder backscatter-based classification for monitoring sediment distributions using multitemporal large-scale ocean datasets. IEEE J. Ocean. Eng. 2018, 44, 142–155. [Google Scholar] [CrossRef]
- Gaida, T.C.; Mohammadloo, T.H.; Snellen, M.; Simons, D.G. Mapping the seabed and shallow subsurface with multi-frequency multibeam echosounders. Remote Sens. 2020, 12, 52. [Google Scholar] [CrossRef]
- Kongsberg Maritime. EM Technical Note: Filters and Gains for EM 2040, EM 710, EM 302 and EM 122. 2017. Available online: https://www.kongsberg.com/globalassets/maritime/km-products/product-documents/kongsberg-em-technical-note-em-runtime-parameters-filters-and-gains-basic.pdf (accessed on 6 July 2020).
- Kongsberg Maritime. EM Technical Note: Advanced Filters and Gains for EM 2040, EM 710, EM 302 and EM 122. 2017. Available online: https://www.kongsberg.com/globalassets/maritime/km-products/product-documents/kongsberg-em-technical-note-em-runtime-parameters-filters-and-gains-advanced.pdf (accessed on 6 July 2020).
- Mohammadloo, T.H.; Snellen, M.; Simons, D.G. Multi-beam echo-sounder bathymetric measurements: Implications of using frequency modulated pulses. J. Acoust. Soc. Am. 2018, 144, 842–860. [Google Scholar] [CrossRef] [PubMed]
- Mohammadloo, T.H.; Snellen, M.; Amiri-Simkooei, A.; Simons, D.G. Comparing Modeled and Measured Bathymetric Uncertainties: Effect of Doppler and Baseline Decorrelation. In Proceedings of the OCEANS 2019, Marseille, France, 17–20 June 2019; pp. 1–8. [Google Scholar]
- Maleika, W. The influence of track configuration and multibeam echosounder parameters on the accuracy of seabed DTMs obtained in shallow water. Earth Sci. Inform. 2013, 6, 47–69. [Google Scholar] [CrossRef]
- Mohammadloo, T.H.; Snellen, M.; Simons, D.G.; Dierikx, B.; Bicknese, S. Using alternatives to determine the shallowest depth for bathymetric charting: Case study. J. Surv. Eng. 2019, 145, 05019004. [Google Scholar] [CrossRef]
- Mohammadloo, T.H.; Snellen, M.; Amiri-Simkooei, A.; Simons, D.G. Assessment of Reliability of Multi-beam Echo-sounder Bathymetric Uncertainty Prediction Models. In Proceedings of the 5th Underwater Acoustics Conference and Exhibition, Crete, Greece, 30 June–5 July 2019; pp. 783–790. [Google Scholar]
- Ladroit, Y.; Lurton, X.; Sintès, C.; Augustin, J.; Garello, R. Definition and Application of a Quality Estimator for Multibeam Echosounders. In Proceedings of the 2012 Oceans—Yeosu, Yeosu, Korea, 21–24 May 2012; pp. 1–7. [Google Scholar]
- Amiri-Simkooei, A.; Snellen, M.; Simons, D.G. Riverbed sediment classification using multi-beam echo-sounder backscatter data. J. Acoust. Soc. Am. 2009, 126, 1724–1738. [Google Scholar] [CrossRef]
- Teunissen, P.J.G.; Simons, D.G.; Tiberius, C.C.J.M. Probability and Observation Theory: An Introduction; Lecture Notes AE2-E01; Faculty of Aerospace Engineering, Delft University of Technology, Delft University: Delft, The Netherlands, 2006. [Google Scholar]
- Kongsberg Maritime. EM2040C MKII. 2019. Available online: https://www.kongsberg.com/globalassets/maritime/km-products/product-documents/em-2040c-compact-multibeam-echosounder.pdf (accessed on 6 July 2020).
- Kongsberg Maritime. EM Technical Note: Sector Coverage and Beam Spacing Modes for Multibeam Echosounders. 2019. Available online: https://www.kongsberg.com/globalassets/maritime/km-products/product-documents/em-sector-coverage-beam-spacing-modes.pdf (accessed on 6 July 2020).
- National Oceanic and Atmospheric Administration. Hydrographic Survey Specifications and Deliverables; Technical Report; U.S. Department of Commerce, National Oceanic and Atmospheric Administration: Washington, DC, USA, 2018. Available online: https://nauticalcharts.noaa.gov/publications/docs/standards-and-requirements/specs/hssd-2018.pdf (accessed on 6 July 2020).
- AML Oceanographic. SV & CTD Profilers: Base.X2 and Minos.X. 2016. Available online: http://www.mdsys.co.kr/down/AML/Base%20X2.pdf (accessed on 6 July 2020).
- QINSy. How-to Height—Tide and RTK. 2020. Available online: https://confluence.qps.nl/qinsy/9.0/en/how-to-height-tide-and-rtk-128680602.html (accessed on 6 July 2020).
- iXblue. Phins Subsea: FOG-Based High-Performance Inertial Navigation System. 2020. Available online: https://www.ixblue.com/sites/default/files/2019-10/PhinsSubsea_2019.pdf (accessed on 6 July 2020).
- Godin, A. The Calibration of Shallow Water Multibean Echo-Sounding Systems. Master’s Thesis, Department of Geodesy and Geomatics Engineering, University of New Brunswick, Fredericton, NB, Canada, 1998. [Google Scholar]
- Hughes Clarke, J.E. Dynamic motion residuals in swath sonar data: Ironing out the creases. Int. Hydrogr. Rev. 2003, 4, 6–23. [Google Scholar]
- Herlihy, D.; Hillard, B.; Rulon, T. National oceanic and atmospheric administration SEA BEAM system “patch test”. Int. Hydrogr. Rev. 1989, LXVI, 119–139. [Google Scholar]
- Mohammadloo, T.H.; Snellen, M.; Renoud, W.; Beaudoin, J.D.; Simons, D.G. Correcting multibeam echosounder bathymetric measurements for errors induced by inaccurate water column sound speeds. IEEE Access 2019, 7, 122052–122068. [Google Scholar] [CrossRef]
- Burdic, W.S. Underwater Acoustic System Analysis, 2nd ed.; Englewood Cliffs: Prentice-Hall, NJ, USA, 1991. [Google Scholar]
- Simons, D.G.; Snellen, M. A Bayesian approach to seafloor classification using multi-beam echo-sounder backscatter data. Appl. Acoust. 2009, 70, 1258–1268. [Google Scholar] [CrossRef]
- Kongsberg Maritime Instruction Manual: EM Series Multibeam Echo Sounder, Datagram Formats. 2015. Available online: http://www3.mbari.org/products/mbsystem/formatdoc/Kongsberg/EM_Datagram_Formats_RevS.pdf?OpenElement (accessed on 6 July 2020).
- Tough, J.A.; Balcknell, D.; Quegan, S. A statistical description of polarimetric and interferometric synthetic aperture radar data. Proc. R. Soc. Lond. A Math. Phys. Eng. Sci. 1995, 449, 567–589. [Google Scholar]
- Vincent, P. Modulated Signal Impact on Multibeam Echosounder Bathymetry. Ph.D. Thesis, Télécom Bretagne Sous En habilitation conjointe avec ĺUniversité de Rennes 1, Rennes, France, 2013. [Google Scholar]
- Urick, R.G. Principles of Underwater Sound, 3rd ed.; Peninsula Publishing: Westport, CT, USA, 1983. [Google Scholar]
- Jackson, D.R.; Richardson, M.D. High-Frequency Seafloor Acoustics; Springer: New York, NY, USA, 2006. [Google Scholar]
- Sternlicht, D.D.; de Moustier, C.P. Time-dependent seafloor acoustic backscatter (10–100 kHz). J. Acoust. Soc. Am. 2003, 114, 2709–2725. [Google Scholar] [CrossRef]
- Simons, D.G.; Snellen, M. A comparison between modeled and measured high frequency bottom backscattering. J. Acoust. Soc. Am. 2008, 123, 3895. [Google Scholar] [CrossRef]
- Applied Physics Laboratory, University of Washington. APL-UW High-Frequency Ocean Environmental Acoustic Models Handbook; Technical Report APL-UW TR9407; Applied Physics Laboratory, University of Washington: Seattle, WA, USA, 1994. [Google Scholar]








| Parameter | Value |
|---|---|
| Center frequency ( ) | 300 |
| Theoretical array length ( ) | 0.407 |
| Number of beams (dual swath) (#) | 800 |
| Beam spacing mode | equiangular |
| Maximum swath width () | 130 |
| Mounting angle of transducer () | 39.89 for Starboard, 40.57 for Port |
| Beam steering reference angle () | 0 |
| Along-track opening angle () | 0.9 |
| Across-track opening angle at nadir () | 0.9 |
| Range resolution ( ) | 0.02525 |
© 2020 by the authors. Licensee MDPI, Basel, Switzerland. This article is an open access article distributed under the terms and conditions of the Creative Commons Attribution (CC BY) license (http://creativecommons.org/licenses/by/4.0/).
Share and Cite
H. Mohammadloo, T.; Snellen, M.; G. Simons, D. Assessing the Performance of the Multi-Beam Echo-Sounder Bathymetric Uncertainty Prediction Model. Appl. Sci. 2020, 10, 4671. https://doi.org/10.3390/app10134671
H. Mohammadloo T, Snellen M, G. Simons D. Assessing the Performance of the Multi-Beam Echo-Sounder Bathymetric Uncertainty Prediction Model. Applied Sciences. 2020; 10(13):4671. https://doi.org/10.3390/app10134671
Chicago/Turabian StyleH. Mohammadloo, Tannaz, Mirjam Snellen, and Dick G. Simons. 2020. "Assessing the Performance of the Multi-Beam Echo-Sounder Bathymetric Uncertainty Prediction Model" Applied Sciences 10, no. 13: 4671. https://doi.org/10.3390/app10134671
APA StyleH. Mohammadloo, T., Snellen, M., & G. Simons, D. (2020). Assessing the Performance of the Multi-Beam Echo-Sounder Bathymetric Uncertainty Prediction Model. Applied Sciences, 10(13), 4671. https://doi.org/10.3390/app10134671

