Sign in to use this feature.

Years

Between: -

Subjects

remove_circle_outline
remove_circle_outline
remove_circle_outline
remove_circle_outline
remove_circle_outline
remove_circle_outline
remove_circle_outline
remove_circle_outline
remove_circle_outline

Journals

Article Types

Countries / Regions

Search Results (68)

Search Parameters:
Keywords = baseline decorrelation

Order results
Result details
Results per page
Select all
Export citation of selected articles as:
22 pages, 40180 KB  
Article
A Sentinel-1 Based Hybrid Interferometric Approach to Complement EGMS for Landslides Identification
by Matteo Mantovani, Federica Ceccotto, Angelo Ballaera, Emilia Bertorelle, Giulia Bossi, Gianluca Marcato and Alessandro Pasuto
Remote Sens. 2025, 17(23), 3849; https://doi.org/10.3390/rs17233849 - 27 Nov 2025
Viewed by 292
Abstract
This study introduces a Hybrid Interferometric Approach (HIA) tailored for the detection, mapping, and measurement of landslides using Sentinel-1 satellite data. The HIA is specifically designed to identify ground displacements that exceed the detection thresholds of the European Ground Motion Service (EGMS), offering [...] Read more.
This study introduces a Hybrid Interferometric Approach (HIA) tailored for the detection, mapping, and measurement of landslides using Sentinel-1 satellite data. The HIA is specifically designed to identify ground displacements that exceed the detection thresholds of the European Ground Motion Service (EGMS), offering an enhanced capacity for monitoring faster-moving landslides. The methodology integrates multi-baseline interferometric analysis, utilizing backscattered signals from both point-like and distributed radar targets at full spatial resolution. The approach utilizes ten interferometric datasets acquired between 2017 and 2021 from both ascending and descending orbits. Each annual dataset is restricted to a six-month observation window to reduce temporal decorrelation effects. The HIA was implemented in a landslide-prone sector of the Dolomites, a UNESCO World Heritage Site located in the Eastern Italian Alps. Comparative evaluation against EGMS ground motion products demonstrates that the HIA significantly broadens the range of detectable slope instabilities, thus providing a valuable supplement to existing ground motion monitoring services and contributing meaningfully to landslide hazard assessment and risk reduction efforts. Full article
Show Figures

Figure 1

38 pages, 6756 KB  
Article
Generator of Aperiodic Pseudorandom Pulse Trains with Variable Parameters Based on Arduino
by Nebojša Andrijević, Zoran Lovreković, Marina Milovanović, Dragana Božilović Đokić and Vladimir Tomašević
Electronics 2025, 14(23), 4577; https://doi.org/10.3390/electronics14234577 - 22 Nov 2025
Viewed by 277
Abstract
Aperiodic pseudo-random impulse (APPI) trains represent deterministic yet reproducible sequences that mimic the irregularity of natural processes. They allow complete control over inter-spike intervals (ISIs) and pulse widths (PWs). Such signals are increasingly relevant for low-probability-of-intercept (LPI) communications, radar testing, and biomedical applications, [...] Read more.
Aperiodic pseudo-random impulse (APPI) trains represent deterministic yet reproducible sequences that mimic the irregularity of natural processes. They allow complete control over inter-spike intervals (ISIs) and pulse widths (PWs). Such signals are increasingly relevant for low-probability-of-intercept (LPI) communications, radar testing, and biomedical applications, where controlled variability mitigates adaptation and enhances stimulation efficiency. This paper presents a modular APPI generator implemented on an Arduino Mega platform, featuring programmable statistical models for ISI (exponential distribution) and PW (uniform distribution), dual-timing mechanisms (baseline loop and Timer/ISR, clear-timer on compare (CTC)), a real-time telemetry and software interface, and a safe output chain with opto-isolation and current limitation. The generator provides both reproducibility and tunable stochastic dynamics. Experimental validation includes jitter analysis, Kolmogorov–Smirnov tests, Q–Q plots, spectral and autocorrelation analysis, and load integration using a constant-current source with compliance margins. The results demonstrate that the Timer/ISR (CTC) implementation achieves significantly reduced jitter compared to the baseline loop, while maintaining the statistical fidelity of ISI and PW distributions, broad spectral characteristics, and fast decorrelation. Experimental verification was extended across a wider parameter space (λ = 0.1–100 Hz, PW = 10 µs–100 ms, 10 repetitions per condition), confirming robustness and repeatability. Experimental validation confirmed accurate Poisson/Uniform ISI generation, sub-millisecond jitter stability in the timer-controlled mode, robustness across λ = 0.1–100 Hz and PW = 10 µs–100 ms, and preliminary compliance with isolation and leakage limits. The accompanying Python GUI provides real-time control, telemetry, and data-logging capabilities. This work establishes a reproducible, low-cost, and open-source framework for APPI generation, with direct applicability in laboratory and field environments. Full article
Show Figures

Figure 1

26 pages, 17411 KB  
Article
FR3 Path Loss in Outdoor Corridors: Physics-Guided Two-Ray Residual Learning
by Jorge Celades-Martínez, Jorge Rojas-Vivanco, Melissa Diago-Mosquera, Alvaro Peña and Jose García
Mathematics 2025, 13(17), 2713; https://doi.org/10.3390/math13172713 - 23 Aug 2025
Viewed by 788
Abstract
Accurate path-loss characterization in the upper mid-band is critical for 5G/6G outdoor planning, yet classical deterministic expressions lose fidelity at 18 GHz, and purely data-driven regressors offer limited physical insight. We present a physics-guided residual learner that couples a calibrated two-ray model with [...] Read more.
Accurate path-loss characterization in the upper mid-band is critical for 5G/6G outdoor planning, yet classical deterministic expressions lose fidelity at 18 GHz, and purely data-driven regressors offer limited physical insight. We present a physics-guided residual learner that couples a calibrated two-ray model with an XGBoost regressor trained on the deterministic residuals. To enlarge the feature space without promoting overfitting, synthetic samples obtained by perturbing antenna height and ground permittivity within realistic bounds are introduced with a weight of w=0.3. The methodology is validated with narrowband measurements collected along two straight 25 m corridors. Under cross-corridor transfer, the hybrid predictor attains 0.590.62 dB RMSE and R20.996, reducing the error of a pure-ML baseline by half and surpassing deterministic formulas by a factor of four. Small-scale analysis yields decorrelation lengths of 0.23 m and 0.41 m; a cross-correlation peak of unity at Δ=0.10 m confirms the physical coherence of both corridors. We achieve <1 dB error using a small set of field measurements plus simple synthetic data. The method keeps a clear mathematical core and can be extended to other priors, NLOS cases, and semi-open hotspots. Full article
(This article belongs to the Special Issue Machine Learning: Mathematical Foundations and Applications)
Show Figures

Figure 1

25 pages, 17505 KB  
Article
A Hybrid Spatio-Temporal Graph Attention (ST D-GAT Framework) for Imputing Missing SBAS-InSAR Deformation Values to Strengthen Landslide Monitoring
by Hilal Ahmad, Yinghua Zhang, Hafeezur Rehman, Mehtab Alam, Zia Ullah, Muhammad Asfandyar Shahid, Majid Khan and Aboubakar Siddique
Remote Sens. 2025, 17(15), 2613; https://doi.org/10.3390/rs17152613 - 28 Jul 2025
Cited by 2 | Viewed by 1391
Abstract
Reservoir-induced landslides threaten infrastructures and downstream communities, making continuous deformation monitoring vital. Time-series InSAR, notably the SBAS algorithm, provides high-precision surface-displacement mapping but suffers from voids due to layover/shadow effects and temporal decorrelation. Existing deep-learning approaches often operate on fixed-size patches or ignore [...] Read more.
Reservoir-induced landslides threaten infrastructures and downstream communities, making continuous deformation monitoring vital. Time-series InSAR, notably the SBAS algorithm, provides high-precision surface-displacement mapping but suffers from voids due to layover/shadow effects and temporal decorrelation. Existing deep-learning approaches often operate on fixed-size patches or ignore irregular spatio-temporal dependencies, limiting their ability to recover missing pixels. With this objective, a hybrid spatio-temporal Graph Attention (ST-GAT) framework was developed and trained on SBAS-InSAR values using 24 influential features. A unified spatio-temporal graph is constructed, where each node represents a pixel at a specific acquisition time. The nodes are connected via inverse distance spatial edges to their K-nearest neighbors, and they have bidirectional temporal edges to themselves in adjacent acquisitions. The two spatial GAT layers capture terrain-driven influences, while the two temporal GAT layers model annual deformation trends. A compact MLP with per-map bias converts the fused node embeddings into normalized LOS estimates. The SBAS-InSAR results reveal LOS deformation, with 48% of missing pixels and 20% located near the Dasu dam. ST D-GAT reconstructed fully continuous spatio-temporal displacement fields, filling voids at critical sites. The model was validated and achieved an overall R2 (0.907), ρ (0.947), per-map R2 ≥ 0.807 with RMSE ≤ 9.99, and a ROC-AUC of 0.91. It also outperformed the six compared baseline models (IDW, KNN, RF, XGBoost, MLP, simple-NN) in both RMSE and R2. By combining observed LOS values with 24 covariates in the proposed model, it delivers physically consistent gap-filling and enables continuous, high-resolution landslide monitoring in radar-challenged mountainous terrain. Full article
Show Figures

Graphical abstract

22 pages, 5800 KB  
Article
Maximum Likelihood Curved Surface Estimation of Multi-Baseline InSAR for DEM Generation in Mountainous Environments
by Dehao Liang, Yugang Tian, Xinbo Liu, Haijing Ren and Huifan Liu
Sensors 2025, 25(11), 3371; https://doi.org/10.3390/s25113371 - 27 May 2025
Viewed by 692
Abstract
Digital elevation model (DEM) generation using Interferometric Synthetic Aperture Radar (InSAR) in mountainous environments encounters challenges including signal acquisition difficulties, decorrelation, and highly variable topography. To address these challenges, we propose a novel approach termed maximum likelihood curved surface estimation (MLCSE), utilizing multi-baseline [...] Read more.
Digital elevation model (DEM) generation using Interferometric Synthetic Aperture Radar (InSAR) in mountainous environments encounters challenges including signal acquisition difficulties, decorrelation, and highly variable topography. To address these challenges, we propose a novel approach termed maximum likelihood curved surface estimation (MLCSE), utilizing multi-baseline InSAR to enhance DEM accuracy in mountainous regions. First, multi-baseline InSAR with Sentinel-1 images is employed to acquire more accurate interferometric phases. Second, two strategies are implemented to improve maximum likelihood elevation estimation, which is particularly susceptible to topographic relief and decorrelation. These strategies include replacing fixed neighborhood size with adaptive neighborhood size selection and estimating parameters of the maximum likelihood local curved surface. Finally, the mean error of the MLCSE DEM results and the proportion of errors less than 10 m are 7.89 m and 70.32%, respectively. The results demonstrate that MLCSE surpasses other InSAR methods, achieving higher elevation estimation accuracy. MLCSE exhibits stable performance across the study areas, reducing elevation errors in hilly, mountainous, and alpine regions. Additionally, hydrological analysis of the elevation results reveals that MLCSE, using the adaptive neighborhood size selection strategy, outperforms other methods in both visual inspection and quantitative comparisons. Moreover, the elevation accuracy achieved by MLCSE meets the standards of the American DTED-2, the Level 2 standard of the 1:50,000 DEM (Mountain), and the Level 1 standard of the 1:50,000 DEM (alpine region) for spatial resolution and height accuracy. Full article
(This article belongs to the Section Radar Sensors)
Show Figures

Figure 1

19 pages, 9445 KB  
Article
The Stepwise Multi-Temporal Interferometric Synthetic Aperture Radar with Partially Coherent Scatterers for Long-Time Series Deformation Monitoring
by Jinbao Zhang, Wei Duan, Xikai Fu, Ye Yun and Xiaolei Lv
Remote Sens. 2025, 17(8), 1374; https://doi.org/10.3390/rs17081374 - 11 Apr 2025
Cited by 3 | Viewed by 1070
Abstract
In recent decades, the interferometric synthetic aperture radar (InSAR) technique has emerged as a powerful tool for monitoring ground subsidence and geohazards. Various satellite SAR systems with different modes, such as Sentinel-1 and Lutan-1, have produced abundant SAR datasets with wide coverage and [...] Read more.
In recent decades, the interferometric synthetic aperture radar (InSAR) technique has emerged as a powerful tool for monitoring ground subsidence and geohazards. Various satellite SAR systems with different modes, such as Sentinel-1 and Lutan-1, have produced abundant SAR datasets with wide coverage and large historical archives, which have significantly influenced long-term deformation monitoring applications. However, large-scale InSAR data have posed significant challenges to conventional InSAR methods. These issues include the computational burden and storage of multi-temporal InSAR (MT-InSAR) methods, as well as temporal decorrelation for coherent scatterers with long temporal baselines. In this study, we propose a stepwise MT-InSAR with a temporal coherent scatterer method to address these problems. First, a batch sequential method is introduced in the algorithm by grouping the SAR dataset in the time domain based on the average coherence distribution and then applying permanent scatterer interferometry to each temporal subset. Second, a multi-layer network is employed to estimate deformation for partially coherent scatterers using small baseline subset interferograms, with permanent scatterer deformation parameters as the reference. Finally, the final deformation rate and displacement time series were obtained by incorporating all the temporal subsets. The proposed method efficiently generates high-density InSAR deformation measurements for long-time series analysis. The proposed method was validated using 9 years of Sentinel-1 data with 229 SAR images from Jakarta, Indonesia. The deformation results were compared with those of conventional methods and global navigation satellite system data to confirm the effectiveness of the proposed method. Full article
Show Figures

Figure 1

12 pages, 2699 KB  
Technical Note
Accuracy Assessment of a Digital Elevation Model Constructed Using the KOMPSAT-5 Dataset
by Je-Yun Lee, Sang-Hoon Hong, Kwang-Jae Lee and Joong-Sun Won
Remote Sens. 2025, 17(5), 826; https://doi.org/10.3390/rs17050826 - 27 Feb 2025
Cited by 1 | Viewed by 1573
Abstract
The Interferometric Synthetic Aperture Radar (InSAR) has significantly advanced in its usage for analyzing surface information such as displacement or elevation. In this study, we evaluated a digital elevation model (DEM) constructed using X-band KOMPSAT-5 interferometric datasets provided by the Korea Aerospace Research [...] Read more.
The Interferometric Synthetic Aperture Radar (InSAR) has significantly advanced in its usage for analyzing surface information such as displacement or elevation. In this study, we evaluated a digital elevation model (DEM) constructed using X-band KOMPSAT-5 interferometric datasets provided by the Korea Aerospace Research Institute (KARI). The 28-day revisit cycle of KOMPSAT-5 poses challenges in maintaining interferometric correlation. To address this, four KOMPSAT-5 images were employed in a multi-baseline interferometric approach to mitigate temporal decorrelation effects. Despite the slightly longer temporal baselines, the analysis revealed sufficient coherence (>0.8) in three interferograms. The height of ambiguity ranged from 59 to 74 m, which is a moderate height of sensitivity to extract topography over the study area of San Francisco in the USA. Unfortunately, only ascending acquisition mode datasets were available for this study. The derived DEM was validated against three reference datasets: Copernicus GLO-30 DEM, ICESat-2, and GEDI altimetry. A high coefficient of determination (R2 > 0.9) demonstrates the feasibility of the interferometric application of KOMPSAT-5. Full article
Show Figures

Figure 1

29 pages, 4808 KB  
Article
Multi-Baseline Bistatic SAR Three-Dimensional Imaging Method Based on Phase Error Calibration Combining PGA and EB-ISOA
by Jinfeng He, Hongtu Xie, Haozong Liu, Zhitao Wu, Bin Xu, Nannan Zhu, Zheng Lu and Pengcheng Qin
Remote Sens. 2025, 17(3), 363; https://doi.org/10.3390/rs17030363 - 22 Jan 2025
Viewed by 1044
Abstract
Tomographic synthetic aperture radar (TomoSAR) is an advanced three-dimensional (3D) synthetic aperture radar (SAR) imaging technology that can obtain multiple SAR images through multi-track observations, thereby reconstructing the 3D spatial structure of targets. However, due to system limitations, the multi-baseline (MB) monostatic SAR [...] Read more.
Tomographic synthetic aperture radar (TomoSAR) is an advanced three-dimensional (3D) synthetic aperture radar (SAR) imaging technology that can obtain multiple SAR images through multi-track observations, thereby reconstructing the 3D spatial structure of targets. However, due to system limitations, the multi-baseline (MB) monostatic SAR (MonoSAR) encounters temporal decorrelation issues when observing the scene such as forests, affecting the accuracy of the 3D reconstruction. Additionally, during TomoSAR observations, the platform jitter and inaccurate position measurement will contaminate the MB SAR data, which may result in the multiplicative noise with phase errors, thereby leading to the decrease in the imaging quality. To address the above issues, this paper proposes a MB bistatic SAR (BiSAR) 3D imaging method based on the phase error calibration that combines the phase gradient autofocus (PGA) and energy balance intensity-squared optimization autofocus (EB-ISOA). Firstly, the signal model of the MB one-stationary (OS) BiSAR is established and the 3D imaging principle is presented, and then the phase error caused by platform jitter and inaccurate position measurement is analyzed. Moreover, combining the PGA and EB-ISOA methods, a 3D imaging method based on the phase error calibration is proposed. This method can improve the accuracy of phase error calibration, avoid the vertical displacement, and has the noise robustness, which can obtain the high-precision 3D BiSAR imaging results. The experimental results are shown to verify the effectiveness and practicality of the proposed MB BiSAR 3D imaging method. Full article
(This article belongs to the Section Engineering Remote Sensing)
Show Figures

Figure 1

18 pages, 14524 KB  
Article
Evaluating the Impact of Interferogram Networks on the Performance of Phase Linking Methods
by Saeed Haji Safari and Yasser Maghsoudi
Remote Sens. 2024, 16(21), 3954; https://doi.org/10.3390/rs16213954 - 23 Oct 2024
Viewed by 1819
Abstract
In recent years, phase linking (PL) methods in radar time-series interferometry (TSI) have proven to be powerful tools in geodesy and remote sensing, enabling the precise monitoring of surface displacement and deformation. While these methods are typically designed to operate on a complete [...] Read more.
In recent years, phase linking (PL) methods in radar time-series interferometry (TSI) have proven to be powerful tools in geodesy and remote sensing, enabling the precise monitoring of surface displacement and deformation. While these methods are typically designed to operate on a complete network of interferograms, generating such networks is often challenging in practice. For instance, in non-urban or vegetated regions, decorrelation effects lead to significant noise in long-term interferograms, which can degrade the time-series results if included. Additionally, practical issues such as gaps in satellite data, poor acquisitions, or systematic errors during interferogram generation can result in incomplete networks. Furthermore, pre-existing interferogram networks, such as those provided by systems like COMET-LiCSAR, often prioritize short temporal baselines due to the vast volume of data generated by satellites like Sentinel-1. As a result, complete interferogram networks may not always be available. Given these challenges, it is critical to understand the applicability of PL methods on these incomplete networks. This study evaluated the performance of two PL methods, eigenvalue decomposition (EVD) and eigendecomposition-based maximum-likelihood estimator of interferometric phase (EMI), under various network configurations including short temporal baselines, randomly sparsified networks, and networks where low-coherence interferograms have been removed. Using two sets of simulated data, the impact of different network structures on the accuracy and quality of the results was assessed. These patterns were then applied to real data for further comparison and analysis. The findings demonstrate that while both methods can be effectively used on short temporal baselines, their performance is highly sensitive to network sparsity and the noise introduced by low-coherence interferograms, requiring careful parameter tuning to achieve optimal results across different study areas. Full article
(This article belongs to the Special Issue Analysis of SAR/InSAR Data in Geoscience)
Show Figures

Figure 1

21 pages, 23010 KB  
Article
Three-Dimensional Reconstruction of Partially Coherent Scatterers Using Iterative Sub-Network Generation Method
by Xiantao Wang, Zhen Dong, Youjun Wang, Xing Chen and Anxi Yu
Remote Sens. 2024, 16(19), 3707; https://doi.org/10.3390/rs16193707 - 5 Oct 2024
Cited by 2 | Viewed by 1194
Abstract
Synthetic aperture radar tomography (TomoSAR) has gained significant attention for three-dimensional (3D) imaging in urban environments. A notable limitation of traditional TomoSAR approaches is their primary focus on persistent scatterers (PSs), disregarding targets with temporal decorrelated characteristics. Temporal variations in coherence, especially in [...] Read more.
Synthetic aperture radar tomography (TomoSAR) has gained significant attention for three-dimensional (3D) imaging in urban environments. A notable limitation of traditional TomoSAR approaches is their primary focus on persistent scatterers (PSs), disregarding targets with temporal decorrelated characteristics. Temporal variations in coherence, especially in urban areas due to the dense population of buildings and artificial structures, can lead to a reduction in detectable PSs and suboptimal 3D reconstruction performance. The concept of partially coherent scatterers (PCSs) has been proven effective by capturing the partial temporal coherence of targets across the entire time baseline. In this study, an novel approach based on an iterative sub-network generation method is introduced to leverage PCSs for enhanced 3D reconstruction in dynamic environments. We propose a coherence constraint iterative variance analysis approach to determine the optimal temporal baseline range that accurately reflects the interferometric coherence of PCSs. Utilizing the selected PCSs, a 3D imaging technique that incorporates the iterative generation of sub-networks into the SAR tomography process is developed. By employing the PS reference network as a foundation, we accurately invert PCSs through the iterative generation of local star-shaped networks, ensuring a comprehensive coverage of PCSs in study areas. The effectiveness of this method for the height estimation of PCSs is validated using the TerraSAR-X dataset. Compared with traditional PS-based TomoSAR, the proposed approach demonstrates that PCS-based elevation results complement those from PSs, significantly improving 3D reconstruction in evolving urban settings. Full article
(This article belongs to the Special Issue Synthetic Aperture Radar Interferometry Symposium 2024)
Show Figures

Figure 1

28 pages, 23537 KB  
Article
Airborne Short-Baseline Millimeter Wave InSAR System Analysis and Experimental Results
by Luhao Wang, Yabo Liu, Qingxin Chen, Xiaojie Zhou, Shuang Zhu and Shilong Chen
Remote Sens. 2024, 16(6), 1020; https://doi.org/10.3390/rs16061020 - 13 Mar 2024
Cited by 2 | Viewed by 2340
Abstract
For the challenges of high-precision mapping in complex terrain, a novel airborne Interferometric Synthetic Aperture Radar (InSAR) system is designed. This system, named ASMIS (Airborne Short-Baseline Millimeter-Wave InSAR System), adopts the coplanar antenna and a pod-type structure. This design makes the system lightweight [...] Read more.
For the challenges of high-precision mapping in complex terrain, a novel airborne Interferometric Synthetic Aperture Radar (InSAR) system is designed. This system, named ASMIS (Airborne Short-Baseline Millimeter-Wave InSAR System), adopts the coplanar antenna and a pod-type structure. This design makes the system lightweight and highly integrated. It can be compatible with small general aviation flight platforms. The baseline is millimeters in size, which greatly simplifies the unwrapping process. The coplanar antennas have two advantages: they maximize the baseline utilization and minimize the Doppler decorrelation and the motion error inconsistency. Acquisition campaigns of the system have been carried out in Boao, Bayannur, and Chengde, China. In the Chengde experimental area, we designed an antiparallel flight experiment to account for the topographic relief. High-precision Digital Orthophoto Maps (DOMs) and Digital Surface Models (DSMs) at a scale of 1:5000 were obtained. The coordinate Root Mean Square Error (RMSE) of the checkpoints within the obtained DSM is less than 0.82 m in altitude and 3 m horizontally. The RMSE of the Sparse Ground Control Points (GCPs) within the obtained DSM is less than 0.3 m in altitude. Experimental results from different areas, including plains, mountains, and coastlines, demonstrate the system’s performance. Full article
(This article belongs to the Special Issue Imaging Geodesy and Infrastructure Monitoring II)
Show Figures

Graphical abstract

20 pages, 5054 KB  
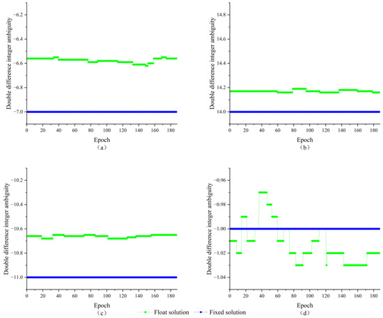
Article
Single-Frequency GNSS Integer Ambiguity Solving Based on Adaptive Genetic Particle Swarm Optimization Algorithm
by Ying-Qing Guo, Yan Zhang, Zhao-Dong Xu, Yu Fang and Zhi-Wei Zhang
Sensors 2023, 23(23), 9353; https://doi.org/10.3390/s23239353 - 23 Nov 2023
Cited by 2 | Viewed by 1834
Abstract
Carrier phase measurements currently play a crucial role in achieving rapid and highly accurate positioning of global navigation satellite systems (GNSS). Resolving the integer ambiguity correctly is one of the key steps in this process. To address the inefficiency and slow search problem [...] Read more.
Carrier phase measurements currently play a crucial role in achieving rapid and highly accurate positioning of global navigation satellite systems (GNSS). Resolving the integer ambiguity correctly is one of the key steps in this process. To address the inefficiency and slow search problem during ambiguity solving, we propose a single-frequency GNSS integer ambiguity solving based on an adaptive genetic particle swarm optimization (AGPSO) algorithm. Initially, we solve for the floating-point solution and its corresponding covariance matrix using the carrier-phase double difference equation. Subsequently, we decorrelate it using the inverse integer Cholesky algorithm. Furthermore, we introduce an improved fitness function to enhance convergence and search performance. Finally, we combine a particle swarm optimization algorithm with adaptive weights to conduct an integer ambiguity search, where each generation selectively undergoes half-random crossover and mutation operations to facilitate escaping local optima. Comparative studies against traditional algorithms and other intelligent algorithms demonstrate that the AGPSO algorithm exhibits faster convergence rates, improved stability in integer ambiguity search results, and in practical experiments the baseline accuracy of the solution is within 0.02 m, which has some application value in the practical situation of short baselines. Full article
(This article belongs to the Section Navigation and Positioning)
Show Figures

Figure 1

18 pages, 18917 KB  
Article
Sequential DS-ISBAS InSAR Deformation Parameter Dynamic Estimation and Quality Evaluation
by Baohang Wang, Chaoying Zhao, Qin Zhang, Xiaojie Liu, Zhong Lu, Chuanjin Liu and Jianxia Zhang
Remote Sens. 2023, 15(8), 2097; https://doi.org/10.3390/rs15082097 - 16 Apr 2023
Cited by 7 | Viewed by 3130
Abstract
Today, synthetic aperture radar (SAR) satellites provide large amounts of SAR data at unprecedented temporal resolutions, which promotes hazard dynamic monitoring and disaster mitigation with interferometric SAR (InSAR) technology. This study focuses on big InSAR data dynamical processing in areas of serious decorrelation [...] Read more.
Today, synthetic aperture radar (SAR) satellites provide large amounts of SAR data at unprecedented temporal resolutions, which promotes hazard dynamic monitoring and disaster mitigation with interferometric SAR (InSAR) technology. This study focuses on big InSAR data dynamical processing in areas of serious decorrelation and large gradient deformation. A new stepwise temporal phase optimization method is proposed to alleviate the decorrelation, customized for deformation parameter dynamical estimation. Subsequently, the sequential estimation theory is introduced to the intermittent small baseline subset (ISBAS) approach to dynamically obtain deformation time series with dense coherent targets. Then, we analyze the reason for the unstable accuracy of deformation parameters using sequential distributed scatterers-ISBAS technology, and construct five indices to describe the quality of deformation parameters pixel-by-pixel. Finally, real data of the post-failure Baige landslide at the Jinsha River in China is used to demonstrate the validity of the proposed approach. Full article
(This article belongs to the Special Issue Rockfall Hazard Analysis Using Remote Sensing Techniques)
Show Figures

Figure 1

20 pages, 4531 KB  
Article
Dielectric Fluctuation and Random Motion over Ground Model (DF-RMoG): An Unsupervised Three-Stage Method of Forest Height Estimation Considering Dielectric Property Changes
by Chang Liu, Qi Zhang, Linlin Ge, Samad M. E. Sepasgozar and Ziheng Sheng
Remote Sens. 2023, 15(7), 1877; https://doi.org/10.3390/rs15071877 - 31 Mar 2023
Viewed by 2011
Abstract
Polarimetric Synthetic Aperture Radar Interferometry (Pol-InSAR) based forest height estimation for ecosystem monitoring and management has been developing rapidly in recent years. Spaceborne Pol-InSAR systems with long temporal baselines of several days always lead to severe temporal decorrelation, which can cause a forest [...] Read more.
Polarimetric Synthetic Aperture Radar Interferometry (Pol-InSAR) based forest height estimation for ecosystem monitoring and management has been developing rapidly in recent years. Spaceborne Pol-InSAR systems with long temporal baselines of several days always lead to severe temporal decorrelation, which can cause a forest height overestimation error. However, most forest height estimation studies have not considered the change in dielectric property as a factor that may cause temporal decorrelation with a long temporal baseline. Therefore, it is necessary to propose a new method that considers dielectric fluctuations and random motions of scattering elements to compensate for the temporal decorrelation effect. The lack of ground truth for forest canopy also needs a solution. Unsupervised methods could be a solution because they do not require the use of true values of tree heights as the ground truth to calculate their estimation accuracies. This paper aims to present an unsupervised forest height estimation method called Dielectric Fluctuation and Random Motion over Ground (DF-RMoG) to improve accuracy by considering the dielectric fluctuations and random motions. Its performance is investigated using Advanced Land Observing Satellite (ALOS)-1 Pol-InSAR data acquired over a German forest site with temporal intervals of 46 and 92 days. The authors analyze the relationship between forest height and different parameters with DF-RMoG and conventional models. Compared with conventional models, the proposed DF-RMoG model significantly reduces the overestimation error due to temporal decorrelation in forest height estimation according to its lowest average forest height. Full article
(This article belongs to the Special Issue Remote Sensing of Urban Forests and Landscape Ecology)
Show Figures

Figure 1

26 pages, 8580 KB  
Article
Combining Multi-Dimensional SAR Parameters to Improve RVoG Model for Coniferous Forest Height Inversion Using ALOS-2 Data
by Rula Sa, Yonghui Nei and Wenyi Fan
Remote Sens. 2023, 15(5), 1272; https://doi.org/10.3390/rs15051272 - 25 Feb 2023
Cited by 10 | Viewed by 2200
Abstract
This paper considers extinction coefficient changes with height caused by the inhomogeneous distribution of scatterers in heterogeneous forests and uses the InSAR phase center height histogram and Gaussian function to fit the normalized extinction coefficient curve so as to reflect the vertical structure [...] Read more.
This paper considers extinction coefficient changes with height caused by the inhomogeneous distribution of scatterers in heterogeneous forests and uses the InSAR phase center height histogram and Gaussian function to fit the normalized extinction coefficient curve so as to reflect the vertical structure of the heterogeneous forest. Combining polarization decomposition based on the physical model and the PolInSAR parameter inversion method, the ground and volume coherence matrices can be separated based on the polarization characteristics and interference coherence diversity. By combining the new abovementioned parameters, the semi-empirical improved RVoG inversion model can be used to both quantify the effects of temporal decorrelation on coherence and phase errors and avoid the effects of small vertical wavenumbers on the large temporal baseline of spaceborne data. The model provided robust inversion for the height of the coniferous forest and enhanced the parameter estimation of the forest structure. This study addressed the influence of vertical structure differences on the extinction coefficient, though the coherence of the ground and volume in sparse vegetation areas could not be accurately estimated, and the oversensitivity of temporal decorrelation caused by inappropriate vertical wavenumbers. According to this method we used spaceborne L-band ALOS-2 PALSAR data on the Saihanba forest in Hebei Province acquired in 2020 for the purpose of height inversion, with a temporal baseline range of 14–70 days and the vertical wavenumber range of 0.01–0.03 rad/m. The results are further validated using sample data, with R2 reaching 0.67. Full article
Show Figures

Graphical abstract

Back to TopTop