Medical Professionalism and Its Association with Dropout Intention in Peruvian Medical Students during the COVID-19 Pandemic
Abstract
1. Introduction
1.1. Professionalism in Medicine
1.2. Dropout in Medical Education
1.3. Dropout Intention during the COVID-19 Pandemic
1.4. Study Purpose
2. Methods
2.1. Participants
2.2. Procedures
2.3. Measures of Medical Professionalism
2.4. Other Psychometric Measures
2.5. Dropout Intention
2.6. Other Measures
2.7. Data Analysis
3. Results
3.1. Descriptive Analyses
3.2. Preliminary Analysis Based on Bivariate Analyses
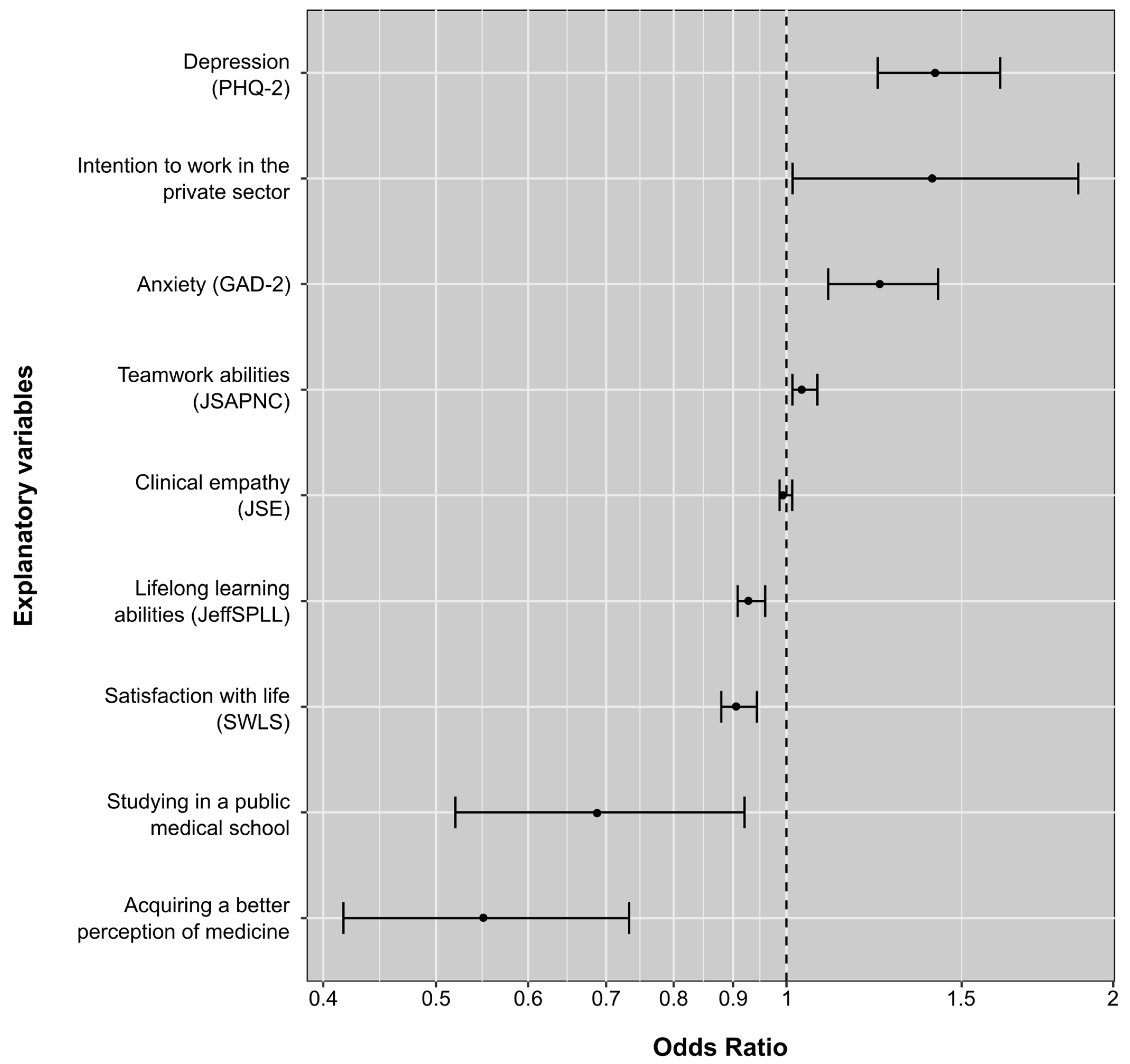
3.3. Explanatory Model of Dropout Intention
4. Discussion
4.1. Conditions Associated with a Greater Dropout Intention
4.2. Conditions Associated with a Lower Dropout Intention
4.3. Clinical Empathy and Dropout Intention
4.4. Limitations and Strengths
5. Conclusions
Supplementary Materials
Author Contributions
Funding
Institutional Review Board Statement
Informed Consent Statement
Data Availability Statement
Acknowledgments
Conflicts of Interest
References
- Vivanco, L.; Bolton, R.C.D. Professionalism and Medical Practice—Introduction. In The Bridge between Bioethics and Medical Practice: Medical Professionalism; Ćurković, M., Borovečki, A., Eds.; Springer International Publishing: Cham, Switzerland, 2022; pp. 3–16. ISBN 978-3-031-09733-1. [Google Scholar]
- Arnold, L. Assessing Professional Behavior: Yesterday, Today, and Tomorrow. Acad. Med. 2002, 77, 502–515. [Google Scholar] [CrossRef] [PubMed]
- Veloski, J.J.; Hojat, M. Measuring Specific Elements of Professionalism: Empathy, Teamwork, and Lifelong Learning. In Measuring Medical Professionalism; Stern, D.T., Ed.; Oxford University Press: New York, NY, USA, 2006; pp. 117–146. ISBN 9780195172263. [Google Scholar]
- San-Martín, M.; Delgado-Bolton, R.; Vivanco, L. Professionalism and Occupational Well-Being: Similarities and Differences among Latin American Health Professionals. Front. Psychol. 2017, 8, 63. [Google Scholar] [CrossRef] [PubMed]
- López-Morales, H.; Rivera-Diaz, E.; Ore-Zuñiga, A.; Vera-Portilla, A.; San-Martín, M.; Delgado Bolton, R.C.; Vivanco, L. Positive Impact of Professionalism on the Perception of Global Well-Being: A Study in Healthcare Professionals Starting Their First Working Experience in Peruvian Rural Areas. Front. Public Health 2020, 8, 575774. [Google Scholar] [CrossRef]
- Gonnella, J.S.; Hojat, M. Medical Education, Social Accountability and Patient Outcomes. Med. Educ. 2012, 46, 3–4. [Google Scholar] [CrossRef]
- Pohl, C.A.; Hojat, M.; Arnold, L. Peer Nominations as Related to Academic Attainment, Empathy, Personality, and Specialty Interest. Acad. Med. 2011, 86, 747–751. [Google Scholar] [CrossRef]
- Gradiski, I.P.; Borovecki, A.; Ćurković, M.; San-Martín, M.; Delgado Bolton, R.C.; Vivanco, L. Burnout in International Medical Students: Characterization of Professionalism and Loneliness as Predictive Factors of Burnout. Int. J. Environ. Res. Public Health 2022, 19, 1385. [Google Scholar] [CrossRef] [PubMed]
- Sattar, K.; Yusoff, M.S.B.; Arifin, W.N.; Mohd Yasin, M.A.; Mat Nor, M.Z. A Scoping Review on the Relationship between Mental Wellbeing and Medical Professionalism. Med. Educ. Online 2023, 28, 2165892. [Google Scholar] [CrossRef] [PubMed]
- Brazeau, C.M.L.R.L.R.; Schroeder, R.; Rovi, S.; Boyd, L. Relationships between Medical Student Burnout, Empathy, and Professionalism Climate. Acad. Med. 2010, 85, S33–S36. [Google Scholar] [CrossRef] [PubMed]
- O’Neill, L.D.; Wallstedt, B.; Eika, B.; Hartvigsen, J. Factors Associated with Dropout in Medical Education: A Literature Review. Med. Educ. 2011, 45, 440–454. [Google Scholar] [CrossRef]
- Ellaway, R.H.; Chou, C.L.; Kalet, A.L. Situating Remediation: Accommodating Success and Failure in Medical Education Systems. Acad. Med. 2018, 93, 391–398. [Google Scholar] [CrossRef]
- Hefny, A.F.; Albawardi, A.; Khan, M.A.; Fathi, M.A.; Mansour, N.A. Students’ Perspectives on Their Early Dropout of Medical School. J. Educ. Health Promot. 2024, 13, 36. [Google Scholar] [CrossRef] [PubMed]
- Peng, P.; Chen, S.; Hao, Y.; He, L.; Wang, Q.; Zhou, Y.; Tang, Y.-Y.; Yang, W.F.; Wu, Q.; Liu, T. Network of Burnout, Depression, Anxiety, and Dropout Intention in Medical Undergraduates. Int. J. Soc. Psychiatry 2023, 69, 1520–1531. [Google Scholar] [CrossRef] [PubMed]
- Dyrbye, L.N.; Thomas, M.R.; Power, D.V.; Durning, S.; Moutier, C.; Massie, F.S.; Harper, W.; Eacker, A.; Szydlo, D.W.; Sloan, J.A.; et al. Burnout and Serious Thoughts of Dropping Out of Medical School: A Multi-Institutional Study. Acad. Med. 2010, 85, 94–102. [Google Scholar] [CrossRef] [PubMed]
- Abreu Alves, S.; Sinval, J.; Lucas Neto, L.; Marôco, J.; Gonçalves Ferreira, A.; Oliveira, P. Burnout and Dropout Intention in Medical Students: The Protective Role of Academic Engagement. BMC Med. Educ. 2022, 22, 83. [Google Scholar] [CrossRef] [PubMed]
- Delgado Bolton, R.C.; San-Martín, M.; Vivanco, L. Role of Empathy and Lifelong Learning Abilities in Physicians and Nurses Who Work in Direct Contact with Patients in Adverse Working Conditions. Int. J. Environ. Res. Public Health 2022, 19, 3012. [Google Scholar] [CrossRef] [PubMed]
- Viruez-Soto, J.; Delgado Bolton, R.C.; San-Martín, M.; Vivanco, L. Inter-Professional Collaboration and Occupational Well-Being of Physicians Who Work in Adverse Working Conditions. Healthcare 2021, 9, 1210. [Google Scholar] [CrossRef] [PubMed]
- Peng, P.; Yang, W.F.; Liu, Y.; Chen, S.; Wang, Y.; Yang, Q.; Wang, X.; Li, M.; Wang, Y.; Hao, Y.; et al. High Prevalence and Risk Factors of Dropout Intention among Chinese Medical Postgraduates. Med. Educ. Online 2022, 27, 2058866. [Google Scholar] [CrossRef]
- Cai, C.Z.; Lin, Y.; Alias, H.; Hu, Z.; Wong, L.P. Effect of the COVID-19 Pandemic on Medical Student Career Perceptions: Perspectives from Medical Students in China. Int. J. Environ. Res. Public Health 2021, 18, 5071. [Google Scholar] [CrossRef]
- Deng, J.; Que, J.; Wu, S.; Zhang, Y.; Liu, J.; Chen, S.; Wu, Y.; Gong, Y.; Sun, S.; Yuan, K.; et al. Effects of COVID-19 on Career and Specialty Choices among Chinese Medical Students. Med. Educ. Online 2021, 26, 1913785. [Google Scholar] [CrossRef]
- Valladares-Garrido, D.; Quiroga-Castañeda, P.P.; Berrios-Villegas, I.; Zila-Velasque, J.P.; Anchay-Zuloeta, C.; Chumán-Sánchez, M.; Vera-Ponce, V.J.; Pereira-Victorio, C.J.; Failoc-Rojas, V.E.; Díaz-Vélez, C.; et al. Depression, Anxiety, and Stress in Medical Students in Peru: A Cross-Sectional Study. Front. Psychiatry 2023, 14, 1268872. [Google Scholar] [CrossRef]
- Grados-Espinoza, P.; Zila-Velasque, J.P.; Soriano-Moreno, D.R.; Regalado-Rodríguez, K.M.; Sosa-Nuñez, F.; Barzola-Farfán, W.; Gronerth, J.; Guizado, L.; Mejia, C.R. A Cross-Sectional Study to Assess the Level of Satisfaction with Virtual Education in Peruvian Medical Students. Front. Public Health 2022, 10, 1004902. [Google Scholar] [CrossRef] [PubMed]
- Serdar, C.C.; Cihan, M.; Yücel, D.; Serdar, M.A. Sample Size, Power and Effect Size Revisited: Simplified and Practical Approaches in Pre-Clinical, Clinical and Laboratory Studies. Biochem. Medica 2021, 31, 010502. [Google Scholar] [CrossRef] [PubMed]
- Bartlett, J.E.; Kotrlik, J.; Higgins, C.C. Organizational Research: Determining Organizational Research: Determining Appropriate Sample Size in Survey Research Appropriate Sample Size in Survey Research. Inf. Technol. Learn. Perform. J. 2001, 19, 43–50. [Google Scholar]
- Cummings, S.M.; Savitz, L.A.; Konrad, T.R. Reported Response Rates to Mailed Physician Questionnaires. Health Serv. Res. 2001, 35, 1347–1355. [Google Scholar] [CrossRef]
- Cull, W.L.; O’Connor, K.G.; Sharp, S.; Tang, S.S. Response Rates and Response Bias for 50 Surveys of Pediatricians. Health Serv. Res. 2005, 40, 213–226. [Google Scholar] [CrossRef] [PubMed]
- Hojat, M.; Gonnella, J.S.; Nasca, T.J.; Mangione, S.; Vergare, M.; Magee, M. Physician Empathy: Definition, Components, Measurement, and Relationship to Gender and Specialty. Am. J. Psychiatry 2002, 159, 1563–1569. [Google Scholar] [CrossRef] [PubMed]
- Hojat, M. Empathy in Health Professions Education and Patient Care; Springer International Publishing: Cham, Switzerland, 2016; Volume 15, ISBN 978-3-319-27624-3. [Google Scholar]
- Hojat, M.; Fields, S.K.; Veloski, J.J.; Griffiths, M.; Cohen, M.J.M.; Plumb, J.D. Psychometric Properties of an Attitude Scale Measuring Physician-Nurse Collaboration. Eval. Health Prof. 1999, 22, 208–220. [Google Scholar] [CrossRef]
- Wetzel, A.P.; Mazmanian, P.E.; Hojat, M.; Kreutzer, K.O.; Carrico, R.J.; Carr, C.; Veloski, J.; Rafiq, A. Measuring Medical Students’ Orientation Toward Lifelong Learning: A Psychometric Evaluation. Acad. Med. 2010, 85, S41–S44. [Google Scholar] [CrossRef] [PubMed]
- Hojat, M.; Veloski, J.J.; Gonnella, J.S. Measurement and Correlates of Physicians’ Lifelong Learning. Acad. Med. 2009, 84, 1066–1074. [Google Scholar] [CrossRef]
- Berduzco-Torres, N.; Medina, P.; Choquenaira-Callañaupa, B.; San-Martín, M.; Delgado Bolton, R.C.R.C.; Vivanco, L. Family Loneliness: Its Effects in the Development of Empathy, Teamwork and Lifelong Learning Abilities in Medical Students. Front. Psychol. 2020, 11, 2046. [Google Scholar] [CrossRef]
- San-Martín, M.; Rivera, E.M.; Alcorta-Garza, A.; Vivanco, L. Moral Perception, Educational Environment, and Development of Medical Professionalism in Medical Students during the Clinical Rotations in Peru. Int. J. Ethics Educ. 2016, 1, 163–172. [Google Scholar] [CrossRef]
- Berduzco-Torres, N.; Choquenaira-Callañaupa, B.; Medina, P.; Chihuantito-Abal, L.A.; Caballero, S.; Gallegos, E.; San-Martín, M.; Delgado Bolton, R.C.; Vivanco, L. Factors Related to the Differential Development of Inter-Professional Collaboration Abilities in Medicine and Nursing Students. Front. Psychol. 2020, 11, 432. [Google Scholar] [CrossRef] [PubMed]
- DiTommaso, E.; Brannen, C.; Best, L.A. Measurement and Validity Characteristics of the Short Version of the Social and Emotional Loneliness Scale for Adults. Educ. Psychol. Meas. 2004, 64, 99–119. [Google Scholar] [CrossRef]
- Diener, E.; Emmons, R.A.; Larsen, R.J.; Griffin, S. The Satisfaction with Life Scale. J. Pers. Assess. 1985, 49, 71–75. [Google Scholar] [CrossRef] [PubMed]
- Kroenke, K.; Spitzer, R.L.; Williams, J.B.W.; Monahan, P.O.; Löwe, B. Anxiety Disorders in Primary Care: Prevalence, Impairment, Comorbidity, and Detection. Ann. Intern. Med. 2007, 146, 317–325. [Google Scholar] [CrossRef] [PubMed]
- Plummer, F.; Manea, L.; Trepel, D.; McMillan, D. Screening for Anxiety Disorders with the GAD-7 and GAD-2: A Systematic Review and Diagnostic Metaanalysis. Gen. Hosp. Psychiatry 2016, 39, 24–31. [Google Scholar] [CrossRef] [PubMed]
- Kroenke, K.; Spitzer, R.L.; Williams, J.B.W. The Patient Health Questionnaire-2: Validity of a Two-Item Depression Screener. Med. Care 2003, 41, 1284–1292. [Google Scholar] [CrossRef] [PubMed]
- Vanderweele, T.J.; Hawkley, L.C.; Cacioppo, J.T. On the Reciprocal Association between Loneliness and Subjective Well-Being. Am. J. Epidemiol. 2012, 176, 777–784. [Google Scholar] [CrossRef] [PubMed]
- Marilaf Caro, M.; San-Martín, M.; Delgado-Bolton, R.; Vivanco, L. Empathy, Loneliness, Burnout, and Life Satisfaction in Chilean Nurses of Palliative Care and Homecare Services|Empatía, Soledad, Desgaste y Satisfacción Personal En Enfermeras de Cuidados Paliativos y Atención Domiciliaria de Chile. Enfermería Clínica 2017, 27, 379–386. [Google Scholar] [CrossRef]
- Nakazawa, M. Fmsb: Functions for Medical Statistics Book with Some Demographic Data. Available online: https://cran.r-project.org/web/packages/fmsb/index.html (accessed on 13 February 2022).
- Gross, J.; Ligges, U. Nortest: Tests for Normality. Available online: https://cran.r-project.org/web/packages/nortest/index.html (accessed on 22 January 2021).
- Kassambara, A. Rstatix: Pipe-Friendly Framework for Basic Statistical Tests. Available online: https://cran.r-project.org/package=rstatix (accessed on 20 April 2021).
- Hutson, G. OddsPlotty: Odds Plot to Visualise a Logistic Regression Model. Available online: https://cran.r-project.org/package=OddsPlotty (accessed on 10 February 2022).
- Tuirán-Gutiérrez, G.J.; San-Martín, M.; Delgado-Bolton, R.; Bartolomé, B.; Vivanco, L. Improvement of Inter-Professional Collaborative Work Abilities in Mexican Medical and Nursing Students: A Longitudinal Study. Front. Psychol. 2019, 10, 5. [Google Scholar] [CrossRef]
- Fernández-Rodríguez, L.J.; Bardales-Zuta, V.H.; San-Martín, M.; Delgado Bolton, R.C.; Vivanco, L. Empathy Enhancement Based on a Semiotics Training Program: A Longitudinal Study in Peruvian Medical Students. Front. Psychol. 2020, 11, 567663. [Google Scholar] [CrossRef] [PubMed]
- Tacuri, E.; Gonzales, M.; Berduzco, N.; Vivanco, L. Soledad, Felicidad y Empatía Clínica En Estudiantes Que Inician Los Estudios de Medicina. Educ. Médica 2024, 25, 100917. [Google Scholar] [CrossRef]
- Siegrist, J. Effort-Reward Imbalance Model. In Stress: Concepts, Cognition, Emotion, and Behavior; Fink, G., Ed.; Elsevier: Amsterdam, The Netherlands, 2016; pp. 81–86. ISBN 9780128009512. [Google Scholar]
- Diener, E. Assessing Well-Being. The Collected Works of Ed Diener; Springer: Berlin/Heidelberg, Germany, 2009; pp. 101–102. [Google Scholar] [CrossRef]
- Berduzco-Torres, N.; Medina, P.; San-Martín, M.; Delgado Bolton, R.C.; Vivanco, L. Non-Academic Factors Influencing the Development of Empathy in Undergraduate Nursing Students: A Cross-Sectional Study. BMC Nurs. 2021, 20, 245. [Google Scholar] [CrossRef] [PubMed]
- Hernández-Gálvez, D.C.; Roldán-Valadez, E. Mexican ENARM: Performance Comparison of Public vs. Private Medical Schools, Geographic and Socioeconomic Regions. Salud Publica Mex. 2019, 61, 637–647. [Google Scholar] [CrossRef]
- Gutiérrez-Cirlos, C.; Naveja, J.J.; Sánchez-Mendiola, M. Factores Relacionados Con La Elección de Una Especialidad En Medicina. Investig. Educ. Médica 2017, 6, 206–214. [Google Scholar] [CrossRef]
- Fronteira, I.; Freitas, H.; Guimarães, N.; Fresta, M.; Ferrinho, P. Medical Faculty Profile Is an Important Determinant of Student Profile and Future Practice Expectations of Medical Students in Angola. BMC Med. Educ. 2021, 21, 465. [Google Scholar] [CrossRef] [PubMed]
- Li, J.; Dow, W.H.; Kariv, S. Social Preferences of Future Physicians. Proc. Natl. Acad. Sci. USA 2017, 114, E10291–E10300. [Google Scholar] [CrossRef]
- Matiz-Moya, E.; Delgado Bolton, R.C.; García-Gómez, E.; Vivanco, L. Empathy and Occupational Health and Well-Being in Ecuadorian Physicians Working with COVID-19 Patients: A Mixed-Method Study. Healthcare 2023, 11, 1177. [Google Scholar] [CrossRef]

| Female Group (n = 717) | Male Group (n = 390) | Entire Sample (n = 1107) | |
|---|---|---|---|
| Age | |||
| Mean (SD) | 21.6 (3.35) | 22.3 (3.97) | 21.8 (3.59) |
| Median [Min, Max] | 21 [17, 44] | 22 [17, 43] | 21 [17, 44] |
| Missing data | 7 (1.0%) | 4 (1.0%) | 11 (1.0%) |
| University (sector) | |||
| Public | 371 (51.7%) | 255 (65.3%) | 626 (56.5%) |
| Private | 346 (48.3%) | 135 (34.6%) | 481 (43.5%) |
| Academic stage | |||
| Clinics | 433 (60.4%) | 237 (60.8%) | 670 (60.5%) |
| Pre-clinics | 284 (39.6%) | 153 (39.2%) | 437 (39.5%) |
| Scale | [Min, Max] | Mdn | M (SD) | IQR | Alpha |
|---|---|---|---|---|---|
| JSE-S | [32, 140] | 114 | 114 (13) | 17 | 0.81 |
| JSAPNC | [24, 60] | 47 | 47 (6) | 9 | 0.83 |
| JeffSPLL-MS | [25, 56] | 45 | 45 (6) | 8 | 0.84 |
| SELSA-S | [15, 104] | 44 | 45 (16) | 22 | 0.84 |
| SELSA-S/f | [5, 35] | 10 | 11 (6) | 9 | 0.88 |
| SELSA-S/s | [5, 35] | 12 | 14 (7) | 10 | 0.87 |
| SELSA-S/r | [5, 35] | 23 | 20 (9) | 14 | 0.78 |
| SWLS | [5, 25] | 17 | 17 (5) | 6 | 0.86 |
| GAD-2 | [0, 6] | 2 | 2.21 (1.74) | 2 | 0.87 |
| PHQ-2 | [0, 6] | 2 | 2.17 (1.62) | 2 | 0.80 |
| Variables | Dropout Intention | Χ2 | |
|---|---|---|---|
| Never | At Least Once | ||
| Gender (Male) | 223 | 167 | 6.85 ** |
| Female | 351 | 366 | |
| University (Public) | 376 | 250 | 38.92 *** |
| Private | 198 | 283 | |
| Academic stage (Clinics) | 353 | 317 | 0.47 |
| Pre-clinics | 221 | 216 | |
| Working sector of preference (Public) | 363 | 272 | 16.84 *** |
| Private | 211 | 261 | |
| Specialty interest (Specialty care) | 510 | 453 | 3.98 * |
| Primary care or other | 62 | 79 | |
| Career choice (Personal decision) | 316 | 262 | 3.6 |
| External factors | 258 | 269 | |
| Career choice perception (Better) | 322 | 169 | 66.61 *** |
| Same or worse | 252 | 364 | |
| Anxiety previously diagnosed (No) | 487 | 382 | 28.42 *** |
| Yes | 87 | 151 | |
| Anxiety cut-off screened (No) | 458 | 294 | 76.97 *** |
| Yes | 116 | 239 | |
| Depression previously diagnosed (No) | 494 | 409 | 16.00 *** |
| Yes | 80 | 124 | |
| Depression cut-off screened (No) | 472 | 291 | 98.53 *** |
| Yes | 102 | 242 | |
| Internet connection (Home Wi-Fi) | 384 | 376 | 1.71 |
| Other: external Wi-Fi or smartphone | 190 | 157 | |
| Digital device (PC exclusive) | 338 | 342 | 3.25 |
| PC shared, smartphone, or Tablet | 236 | 191 | |
| Scale | Never | At Least Once | p | r | ||
|---|---|---|---|---|---|---|
| Mdn | M (SD) | Mdn | M (SD) | |||
| JSE-S | 115 | 114.1 (12.8) | 113 | 112.9 (12.7) | 0.10 | 0.05 |
| JSAPNC | 47 | 46.8 (6.66) | 47 | 47.4 (6.0) | 0.15 | 0.04 |
| JeffSPLL-MS | 46 | 46.1 (5.5) | 43 | 43.2 (5.7) | <0.001 | 0.25 |
| SELSA-S | 40 | 40.8 (15.0) | 49 | 49.5 (15.7) | <0.001 | 0.28 |
| SELSA-S/f | 8 | 9.5 (5.3) | 11 | 13.0 (6.9) | <0.001 | 0.29 |
| SELSA-S/s | 11 | 12.6 (7.0) | 14 | 15.0 (7.3) | <0.001 | 0.18 |
| SELSA-S/r | 22 | 18.7 (8.5) | 23 | 21.5 (8.4) | <0.001 | 0.16 |
| SWLS | 19 | 18.4 (4.2) | 15 | 15.0 (4.4) | <0.001 | 0.37 |
| GAD-2 | 2 | 1.6 (1.5) | 2 | 2.9 (1.8) | <0.001 | 0.36 |
| PHQ-2 | 2 | 1.6 (1.4) | 2 | 2.8 (1.6) | <0.001 | 0.40 |
Disclaimer/Publisher’s Note: The statements, opinions and data contained in all publications are solely those of the individual author(s) and contributor(s) and not of MDPI and/or the editor(s). MDPI and/or the editor(s) disclaim responsibility for any injury to people or property resulting from any ideas, methods, instructions or products referred to in the content. |
© 2024 by the authors. Licensee MDPI, Basel, Switzerland. This article is an open access article distributed under the terms and conditions of the Creative Commons Attribution (CC BY) license (https://creativecommons.org/licenses/by/4.0/).
Share and Cite
Hancco-Monrroy, D.E.; Caballero-Apaza, L.M.; Abarca-Fernández, D.; Castagnetto, J.M.; Condori-Cardoza, F.A.; De-Lama Moran, R.; Carhuancho-Aguilar, J.R.; Gutierrez, S.; Gonzales, M.; Berduzco, N.; et al. Medical Professionalism and Its Association with Dropout Intention in Peruvian Medical Students during the COVID-19 Pandemic. Behav. Sci. 2024, 14, 641. https://doi.org/10.3390/bs14080641
Hancco-Monrroy DE, Caballero-Apaza LM, Abarca-Fernández D, Castagnetto JM, Condori-Cardoza FA, De-Lama Moran R, Carhuancho-Aguilar JR, Gutierrez S, Gonzales M, Berduzco N, et al. Medical Professionalism and Its Association with Dropout Intention in Peruvian Medical Students during the COVID-19 Pandemic. Behavioral Sciences. 2024; 14(8):641. https://doi.org/10.3390/bs14080641
Chicago/Turabian StyleHancco-Monrroy, Dante E., Luz M. Caballero-Apaza, Denices Abarca-Fernández, Jesus M. Castagnetto, Fany A. Condori-Cardoza, Raul De-Lama Moran, Jose R. Carhuancho-Aguilar, Sandra Gutierrez, Martha Gonzales, Nancy Berduzco, and et al. 2024. "Medical Professionalism and Its Association with Dropout Intention in Peruvian Medical Students during the COVID-19 Pandemic" Behavioral Sciences 14, no. 8: 641. https://doi.org/10.3390/bs14080641
APA StyleHancco-Monrroy, D. E., Caballero-Apaza, L. M., Abarca-Fernández, D., Castagnetto, J. M., Condori-Cardoza, F. A., De-Lama Moran, R., Carhuancho-Aguilar, J. R., Gutierrez, S., Gonzales, M., Berduzco, N., Delgado Bolton, R. C., San-Martín, M., & Vivanco, L. (2024). Medical Professionalism and Its Association with Dropout Intention in Peruvian Medical Students during the COVID-19 Pandemic. Behavioral Sciences, 14(8), 641. https://doi.org/10.3390/bs14080641

