High-Tech Classroom Management: Effects of the Use of an App on Disruptive and On-Task Classroom Behaviours for Students with Emotional and Behavioural Disorder
Abstract
1. Introduction
2. Method
2.1. Participants
2.2. Setting
2.3. Materials
2.4. Teacher Training
2.5. Experimental Design and Dependent Variables
2.6. Data Recording System
2.7. Inter-Observer Agreement
2.8. Social Validity
2.9. Intervention Phases
2.10. Treatment Fidelity
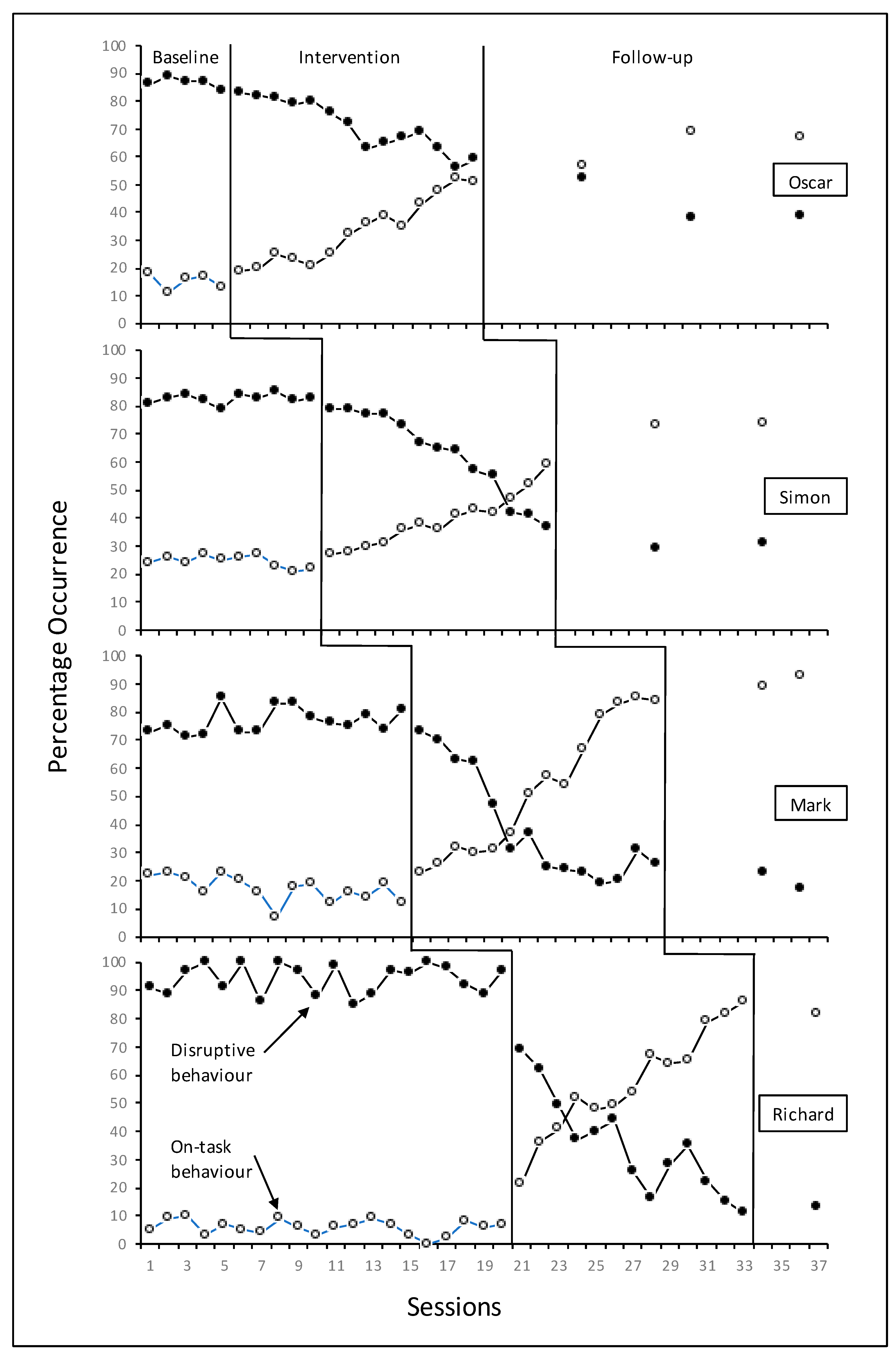
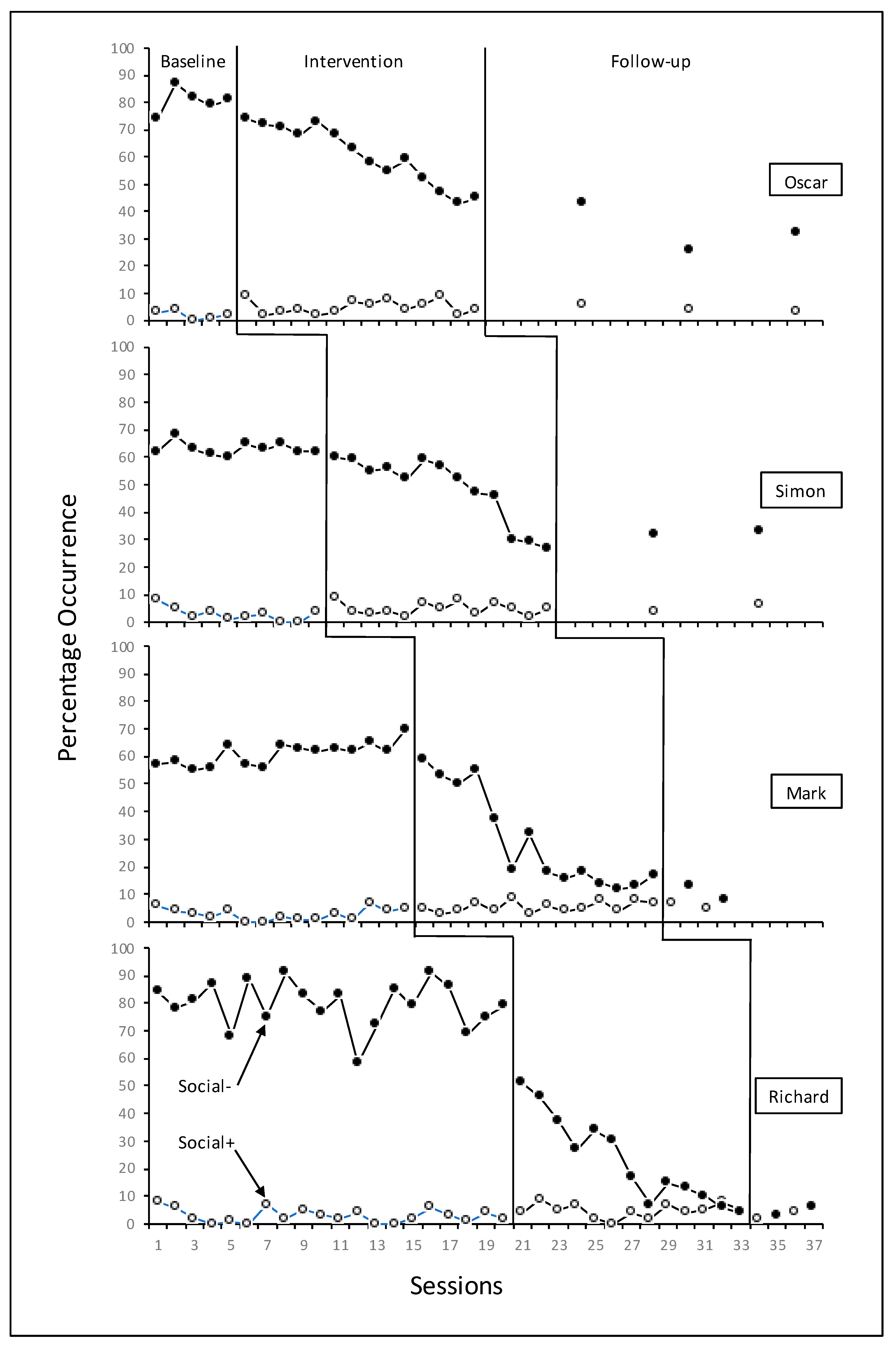
3. Results
Social Validity
4. Discussion
Author Contributions
Funding
Institutional Review Board Statement
Informed Consent Statement
Data Availability Statement
Conflicts of Interest
References
- Kaufman, J.M.; Landrum, T.J. Characteristics of Emotional and Behavioral Disorders of Children and Youth, 10th ed.; Pearson: Upper Saddle River, NJ, USA, 2013. [Google Scholar]
- Markelz, A.M.; Taylor, J.C. Effects of Teacher Praise on Attending Behaviours and Academic Achievement of Students with Emotional and Behavioural Disabilities. J. Spec. Educ. Apprenticesh. 2016, 1, 2–15. [Google Scholar]
- Ogundele, M.O. Behavioural and emotional disorders in childhood: A brief overview for paediatricians. World J. Clin. Pediatr. 2018, 7, 9–26. [Google Scholar] [CrossRef] [PubMed]
- Smith, D.D. Emotional and Behavioural Disorders: Causes and Prevention; St. Paul Public Schools: Federal Instructional Settings. 2010. Available online: http://www.education.com/reference/article/emotional-behavioral-disorders-prevention (accessed on 29 October 2022).
- Smith, C.R.; Katsiyannis, A.; Ryan, J.B. Challenges of serving students with emotional and behavioural disorders: Legal and policy considerations. Behav. Disord. 2011, 36, 185–194. [Google Scholar] [CrossRef]
- Steiner, N.J.; Sidhu, T.K.; Pop, P.G.; Frenette, E.C.; Perrin, E.C. Yoga in an urban school for children with emotional and behavioural disorders: A feasibility study. J. Child Fam. Stud. 2013, 22, 815–826. [Google Scholar] [CrossRef]
- Bradley, R.; Doolittle, J.; Bartolotta, R. Building on the data and adding to the discussion: The experiences and outcomes of students with emotional disturbance. J. Behav. Educ. 2008, 17, 4–23. [Google Scholar] [CrossRef]
- Lane, K.L.; Harris, K.R.; Graham, S.; Weisenbach, J.L.; Brindle, M.; Morphy, P. The effects of self-regulated strategy development on the writing performance of second-grade students with behavioral and writing difficulties. J. Spec. Educ. 2008, 41, 234–253. [Google Scholar] [CrossRef]
- Ling, S.; Hawkins, R.O.; Weber, D. Effects of a classwide interdependent group contingency designed to improve the behavio of an at-risk student. J. Behav. Educ. 2011, 20, 103–116. [Google Scholar] [CrossRef]
- U.S. Department of Education. IDEA Section 618 Data Products: Static Tables. 2016. Available online: http://www2.ed.gov/programs/osepidea/618-data/static-tables/index.html#part-b (accessed on 29 October 2022).
- U.S. Department of Education. Once for Civil Rights: Dear Colleague Letter: Nondiscriminatory Administration of School Discipline. 2014. Available online: https://www2.ed.gov/about/offices/list/ocr/letters/colleague-201401-title-vi.pdf (accessed on 29 October 2022).
- Newman, L.; Wagner, M.; Cameto, R.; Knokey, A. The Post-High School Outcomes of Youth with Disabilities up to 4 Years after High School: A Report from the National Longitudinal Transition Study-2; SRI International: Menlo Park, CA, USA, 2009. [Google Scholar]
- Sanford, C.; Newman, L.; Wagner, M.; Cameto, R.; Knokey, A.M.; Shaver, D. The Post-High School Outcomes of Young Adults with Disabilities up to 6 Years after High School. Key Findings from the National Longitudinal Transition Study-2; SRI International: Menlo Park, CA, USA, 2011. [Google Scholar]
- Neece, C.L.; Kraemer, B.R.; Blacher, J. Transition Satisfaction and Family Well Being Among Parents of Young Adults With Severe Intellectual Disability. Intellectual and Developmental Disabilities. 2009, 47: 31-43. Intellect. Dev. Disabil. 2009, 47, 31–43. [Google Scholar] [CrossRef]
- VanAcker, R. Current status of public education and likely future directions for students with emotional and behavioural disorders. In Quality Personnel Preparation in Emotional/Behavioural Disorders: Current Perspectives and Future Directions; Bullock, L.M., Gable, R.A., Eds.; Denton: Dallas, TX, USA, 2004. [Google Scholar]
- Sutherland, K.S.; Lewis-Palmer, T.; Stichter, J.; Morgan, P.L. Examining the influence of teacher behaviour and classroom context on the behavioural and academic outcomes for students with learning and behaviour problems. J. Spec. Educ. 2008, 41, 209–222. [Google Scholar] [CrossRef]
- Sugai, G.; Horner, R.R. A Promising Approach for Expanding and Sustaining School-Wide Positive Behaviour Support. Sch. Psychol. 2006, 35, 245–259. [Google Scholar]
- Borgen, N.T.; Kirkeboen, L.J.; Ogden, T.; Raaum, O.; Sorlie, M.A. Impacts of school-wide positive behaviour support: Results from national longitudinal register data. Int. J. Psychol. 2020, 55, 4–15. [Google Scholar] [CrossRef]
- Gage, N.A.; Whitford, D.K.; Katsiyannis, A. A review of schoolwide positive behavior interventions and supports as a framework for reducing disciplinary exclusions. J. Spec. Educ. 2018, 52, 142–151. [Google Scholar] [CrossRef]
- Lewis, T.J.; Mitchell, B.S.; Bruntmeyer, D.T.; Sugai, G. School-wide positive behaviour support and response to intervention: System similarities, distinctions, and research to date at the universal level of support. In Handbook of Response to Intervention: The Science and Practice of Assessment and Intervention, 2nd ed.; Jimerson, S.R., Burns, M.K., VanDerHeyden, A.M., Eds.; Springer: New York, NY, USA, 2016; pp. 703–718. [Google Scholar]
- Sorlie, M.A.; Ogden, T. School-Wide Positive Behaviour Support-Norway: Impacts on Problem Behaviour and Classroom Climate. Int. J. Sch. Educ. Psychol. 2015, 3, 202–217. [Google Scholar] [CrossRef]
- Evertson, C.M.; Weinstein, C.S. Classroom management as a field of inquiry. In Handbook of Classroom Management: Research, Practice and Contemporary Issues; Erlbaum: Mahwah, NJ, USA, 2006; pp. 3–17. [Google Scholar]
- Korpershoek, H.; Harms, T.; de Boer, H.; van Kuijk, M.; Doolaard, S. Effective Classroom Management Strategies and Classroom Management Programs for Educational Practice: A Meta-Analysis of the Effects of Classroom Management Strategies and Classroom Management Programs on Students’ Academic, Behavioural, Emotional, and Motivational Outcomes; RUG/GION: Groningen, The Netherlands, 2014. [Google Scholar]
- Kellough, R.D.; Kellough, N.G. Secondary School Teaching: A Guide to Methods and Resources; Pearson: Prentice Hall, CA, USA, 2011. [Google Scholar]
- Henley, M. Classroom Management: A Proactive Approach; Pearson: Upper Saddle River, NJ, USA, 2010. [Google Scholar]
- Wong, H.; Wong, R. The Classroom Management Book; Harry K. Wong Publications, Inc.: Mountain View, CA, USA, 2014. [Google Scholar]
- McDonald, T. Positive learning framework: Creating learning environments in which all children thrive. Reclaiming Child. Youth 2010, 19, 16–20. Available online: https://www.scribd.com/document/57868340/Positive-Learning-Framework-Creating-Learning-Environments-in-Which-All-Children-Thrive (accessed on 29 October 2022).
- Doyle, O.; McGlanaghy, E.; O’Farrelly, C.; Tremblay, R.E. Can targeted intervention mitigate early behavioral and emotional problems?: Generating robust evidence within randomized control trials. PLoS ONE 2016, 11, e0156397. [Google Scholar]
- Cheney, D.; Flower, A.; Templeton, T. Applying response to intervention metrics in the social domain for students at risk of developing emotional or behavioral disorders. J. Spec. Educ. 2008, 42, 108–126. [Google Scholar] [CrossRef]
- Willis, H.; Kamps, D.; Abbott, M.; Bannister, H.; Kaufman, J. Classroom observations and effects of reading interventions for students at risk for emotional and behavioural disorders. Behav. Disord. 2010, 35, 103–119. [Google Scholar] [CrossRef]
- Ness, B.M.; Sohlberg, M.M.; Albin, R.W. Evaluation of a second-tier classroom-based assignment completion strategy for middle school students in a resource context. Remedial Spec. Educ. 2011, 32, 406–416. [Google Scholar] [CrossRef]
- Little, M.A.; Lane, K.L.; Harris, K.R.; Graham, S.; Story, M.; Sandmel, K. Self-regulated strategies development for persuasive writing in tandem with schoolwide positive behavioural support: Effects for second-grade students with behavioural and writing difficulties. Behav. Disord. 2010, 35, 157–179. [Google Scholar] [CrossRef]
- Marchant, M.R.; Solano, B.R.; Young, K.R.; Renshaw, T.L.; Fisher, A.K.; Caldarella, P. Modifying socially with- drawn behaviour: A playground intervention for students with internalizing behaviours. Psychol. Sch. 2017, 44, 779–794. [Google Scholar] [CrossRef]
- McDaniel, S.C.; Robinson, C.; Houchins, D.E. The effects of Check, Connect, and Expect on behavioural and academic growth. J. Emot. Behav. Disord. 2016, 24, 42–53. [Google Scholar] [CrossRef]
- Kamps, D.; Wills, H.P.; Heitzman-Powell, L.; Laylin, J.; Szoke, C.; Petrillo, T.; Culey, A. Class-wide function-related intervention teams: Effects of group contingency programs in urban classrooms. J. Posit. Behav. Interv. 2011, 13, 154–167. [Google Scholar] [CrossRef]
- Lane, K.L.; Graham, S.; Harris, K.R.; Little, M.A.; Sandmel, K.; Brindle, M. Story writing: The effects of self- regulated strategy development for second-grade students with writing and behavioral difficulties. J. Spec. Educ. 2010, 44, 107–128. [Google Scholar] [CrossRef]
- Bradshaw, C.P.; Waasdorp, T.E.; Leaf, P.J. Examining variation in the impact of school-wide positive behavioural interventions and supports: Findings from a randomized controlled effectiveness trial. J. Educ. Psychol. 2015, 107, 546–557. [Google Scholar] [CrossRef]
- Hickey, G.; McGilloway, S.; Hyland, L.; Leckey, Y.; Kelly, P.; Bywater, T.; O’Neill, D. Exploring the effects of a universal classroom management training programme on teacher and child behaviour: A group randomised controlled trial and cost analysis. J. Early Child. Res. 2017, 15, 174–194. [Google Scholar] [CrossRef]
- Reinke, W.M.; Stormont, M.; Herman, K.C. Supporting children’s mental health in schools: Teacher perceptions of needs, roles, and barriers. Sch. Psychol. Q. 2011, 26, 1–13. [Google Scholar] [CrossRef]
- Reinke, W.M.; Stormont, M.; Herman, K.C. Use of coaching and behaviour support planning for students with disruptive behaviour within a universal classroom management program. J. Emot. Behav. Disord. 2014, 22, 74–82. [Google Scholar] [CrossRef]
- Webster-Stratton, C.; Reid, J.M.; Stoolmiller, M. Preventing conduct problems and improving school readiness: Evaluation of the Incredible Years teacher and child training programs in high-risk schools. J. Child Psychol. Psychiatry 2008, 49, 471–488. [Google Scholar] [CrossRef]
- Brady, L.; Padden, C.; McGill, P. Improving procedural fidelity of behavioural interventions for people with intellectual and developmental disabilities: A systematic review. J. Appl. Res. Intellect. Disabil. 2019, 32, 762–778. [Google Scholar] [CrossRef]
- Stolz, S.B. Evaluation of therapeutic efficacy of behavior modification in a community setting. Behav. Res. Ther. 1976, 14, 479–481. [Google Scholar] [CrossRef]
- Curran, V.; Fleet, L.; Simmons, K.; Lannon, H.; Gustafson, D.L.; Wang, C.; Wetsch, L. Adoption and Use of Mobile Learning in Continuing Professional Development by Health and Human Services Professionals. J. Contin. Educ. Health Prof. 2019, 39, 76–85. [Google Scholar] [CrossRef]
- Wang, J.; Gao, F.; Li, J.; Zhang, J.; Li, S.; Xu, G.T.; Lu, L. The usability of WeChat as a mobile and interactive medium in student-centered medical teaching. Biochem. Mol. Biol. Educ. 2017, 45, 421–425. [Google Scholar] [CrossRef]
- Prateek, K.; Yogesh, K.D.; Angel, A.D. Cellulographics: A novel smartphone user classification metrics. J. Innov. Knowl. 2022, 7, 100179. [Google Scholar] [CrossRef]
- Tu, S.; Yan, X.; Jie, K.; Ying, M.; Huang, C. WeChat: An applicable and flexible social app software for mobile teaching. Biochem. Mol. Biol. Educ. 2018, 46, 555–560. [Google Scholar] [CrossRef]
- Skillings, J. Apple Reveals Details of 50 Billionth App Store Download. CNET. 16 May 2013. Available online: http://www.cnet.com/news/apple-reveals-details-of-50-billionth-app-store-download/ (accessed on 29 October 2022).
- Dash, S. Google classroom as a learning management system to teach biochemistry in a medical school. Biochem. Mol. Biol. Educ. 2019, 47, 404–407. [Google Scholar] [CrossRef]
- Xiangming, L.; Song, S. Mobile technology affordance and its social implications: A case of ‘Rain Classroom’. Br. J. Educ. Technol. 2018, 2, 276–291. [Google Scholar] [CrossRef]
- Schuck, S.; Kearney, M.; Burden, K. Exploring mobile learning in the Third Space. Technol. Pedagog. Educ. 2017, 26, 121–137. [Google Scholar] [CrossRef]
- Dangwal, R.; Kapur, P. Children’s learning processes using unsupervised ‘hole in the wall’ computers in shared public spaces. Australas. J. Educ. Technol. 2008, 24, 339–354. [Google Scholar] [CrossRef][Green Version]
- Gabriel, E.; Matthews, L. Choice theory: An effective approach to classroom discipline and management. J. Advent. Educ. 2011, 20–23. [Google Scholar]
- Mitra, S.; Dangwal, R. Limits to self-organising systems of learning—The Kalikuppam experiment. Br. J. Educ. Technol. 2010, 41, 672–688. [Google Scholar] [CrossRef]
- Lopes, J.; Oliveira, C. Classroom discipline: Theory and practice. In Classrooms: Academic Content and Behaviour Strategy Instruction for Students with and without Disabilities; Bakken, J.P., Ed.; Nova Science Publishers: New York, NY, USA, 2017; Volume 2, pp. 231–253. [Google Scholar]
- Freeman, R.; Smith, C.; Zarcone, J.; Kimbrough, P.; Tieghi-Benet, M.; Wickham, D.; Reese, M.; Hine, K. Building a statewide plan for embedding positive behaviour support in human service organization. J. Posit. Behav. Interv. 2005, 7, 109–119. [Google Scholar] [CrossRef]
- Glasser, W. Choice Theory; Harper Collins: New York, NY, USA, 1998. [Google Scholar]
- Praveen, M.G.; Anoop, T.A. Classroom Management: A theoretical overview. Sch. Res. J. Interdiscip. Stud. 2018, 6/29, 8089–8102. [Google Scholar]
- Panksepp, J. Chapter 8 Fear and anxiety mechanisms of the brain: Clinical implications. Princ. Med. Biol. 2000, 14, 155–177. [Google Scholar]
- Kazdin, A.E. Single Case Research Designs, 2nd ed.; Oxford University Press: New York, NY, USA, 2011; xi+452p. [Google Scholar]
- Bramlett, R.K.; Murphy, J.J.; Johnson, J.; Wallingsford, L.; Hall, J.D. Contemporary practices in school psychology: A national survey of roles and referral problems. Psychol. Sch. 2002, 39, 327–335. [Google Scholar] [CrossRef]
- Beck, M.; Burns, M.K.; Lau, M. The Effects of Pre-Teaching Reading Skills on the On-Task Behaviour of Children Identified with Behavioral Disorders. Behav. Disord. 2009, 34, 91–99. [Google Scholar] [CrossRef]
- Damon, S.; Riley-Tillman, T.C.; Fiorello, C. Comparing Methods of Identifying Reinforcing Stimuli in School Consultation. J. Educ. Psychol. Consult. 2008, 18, 31–53. [Google Scholar] [CrossRef]
- Gilbertson, D.; Duhon, G.; Witt, J.C.; Dufrene, B. Effects of Academic Response Rates on Time-On-Task in the Classroom for Students at Academic and Behavioral Risk. Educ. Treat. Child. 2008, 31, 153–165. [Google Scholar] [CrossRef]
- Sutherland, K.S.; Wehby, J.H.; Copeland, S.R. Effect of Varying Rates of Behaviour-Specific Praise on the On-Task Behaviour of Students with EBD. J. Emot. Behav. Disord. 2000, 8, 2–8. [Google Scholar] [CrossRef]
- Moore, D.W.; Prebble, S.; Robertson, J.; Watford, R.; Anderson, A. Self-Recording with Goal Setting: A self-management programme for the classroom. Educ. Psychol. 2001, 21, 255–259. [Google Scholar] [CrossRef]
- Moore, D.W.; Anderson, A.; Glassenbury, M.; Lang, R.; Didden, R. Increasing On-Task Behaviour in Students in a Regular Classroom: Effectiveness of a self-management procedure using a tactile prompt. J. Behav. Educ. 2013, 22, 302–311. [Google Scholar] [CrossRef]
- Dufrene, B.; Allen, L.L.; Zoder-Martell, K. Direct behavioral consultation: Effects on teachers’ praise and student disruptive behavior. Psychol. Sch. 2014, 51, 567–580. [Google Scholar] [CrossRef]
- Hall, R.; Lund, D.; Jackson, D. Effects of Teacher Attention on Study Behaviour. J. Appl. Behav. Analysis. 1968, 1, 1–12. [Google Scholar] [CrossRef]
- Sasso, G.M.; Reimers, T.M.; Cooper, L.J.; Wacker, D.; Berg, W.; Steege, M.; Kelly, L.; Allaire, A. Use of descriptive and experimental analyses to identify the functional properties of aberrant behavior in school settings. J. Appl. Behav. Anal. 1992, 25, 809–821. [Google Scholar] [CrossRef]
- Ferguson, J.L.; Cihon, J.H.; Leaf, J.B.; Van Meter, S.M.; McEachin, J.; Leaf, R. Assessment of social validity trends in the journal of applied behavior analysis. Eur. J. Behav. Anal. 2019, 20, 146–157. [Google Scholar] [CrossRef]
- Scheithauer, M.; Schebell, S.M.; Mevers, J.L.; Martin, C.P.; Noell, G.; Suiter, K.C.; Call, N.A. A comparison of sources of baseline data for treatments of problem behavior following a functional analysis. J. Appl. Behav. Anal. 2020, 53, 102–120. [Google Scholar] [CrossRef]
- Kelly, J.R.; Shorgen, K.A. The Impact of Teaching Self-Determination Skills on the On-Task and Off-Task Behaviours of Students with Emotional and Behavioural Disorders. J. Emot. Behav. Disord. 2014, 1, 27–40. [Google Scholar] [CrossRef]
- Engel, R.J.; Schutt, R.K. The Practice of Research in Social Work; Sage: Thousand Oaks, CA, USA, 2008. [Google Scholar]
- Tasky, K.K.; Rudrud, E.H.; Schulze, K.A.; Rapp, J.T. Using choice to increase on-task behaviour in individuals with traumatic brain injury. J. Appl. Behav. Anal. 2018, 41, 261–265. [Google Scholar] [CrossRef]
- Clair, E.; Bahr, M.; Quach, H.; LeDuc, J. The Positive Plus Program: Affirmative classroom management to improve student behaviour. Behav. Interv. 2018, 33, 221–236. [Google Scholar] [CrossRef]


| On-Task Behaviours | |
| 1 | Listen to teacher’s instructions (the participants oriented toward the teacher with eyes open and not talking). |
| 2 | Raising hand (left or right). |
| 3 | Writing on their notebook or booklet. |
| 4 | Reading written work (own quiet reading or loud to the class). |
| 5 | Talking to the teacher. |
| 6 | Discussing set work with a neighbour. |
| 7 | Having the teacher check work. |
| 8 | Talking to a group in a group discussion task. |
| 9 | Reading from the whiteboard. |
| 10 | Researching on the computer. |
| 11 | Looking up words in the computer/hard copy dictionary. |
| 12 | Complying with other verbal instructions given by the teacher/assistants. |
| 13 | Look up the 60” flat screen. |
| 14 | Disruptive behaviours |
| 15 | Noncompliance. |
| 16 | Yelling. |
| 17 | Out of seat behaviours included students sitting on their feet, standing up, lying down, and moving locations and seat without permission. |
| 18 | Making inappropriate noises included any vocal noise when the teacher had not indicated that the student may speak. |
| 19 | Getting out of seat. |
| 20 | Swinging on the chair. |
| 21 | Talking none relatedly to other students. |
| 22 | Making inappropriate contact with other students and objects included tapping other students, playing with other students’ hair, pushing other students with hands or feet, and touching materials not related to the current activity (e.g., nearby chairs, jewellery, shoelaces). |
| # | Item | 1 | 2 | 3 | 4 | 5 |
| 1 | I find this App to be an acceptable way of increasing on-task and decreasing disruptive classroom behaviours. | |||||
| 2 | I would be willing for this App to be used again, to increase other appropriate and reduce other inappropriate classroom behaviours. | |||||
| 3 | I believe it would be acceptable to use this App without the consent of the participants. | |||||
| 4 | I like the App used in this study. | |||||
| 5 | I believe this App is likely to be effective in other educational environments and with other teachers, to increase on-task and decrease disruptive classroom behaviours. | |||||
| 6 | I experienced discomfort using this App. | |||||
| 7 | I believe this App is likely to result in permanent improvement in my teaching skills. | |||||
| 8 | I believe this App does not require many resources, and thus is affordable. | |||||
| 9 | Overall, I had a positive reaction to this method. | |||||
| 10 | Overall, I was satisfied from this App procedure. |
| Item # | I find this App to be an acceptable way of increasing on-task and decreasing disruptive classroom behaviours | I would be willing for this App to be used again to increase other appropriate and decrease other inappropriate classroom behaviours | I believe it to be acceptable to use this App without the consent of the participants | I like the App used in this study | I believe this App is likely to be effective in other educational environments and with other teachers, to increase on-task and decrease disruptive classroom behaviours | I experienced discomfort using this App | I believe this App is likely to result in permanent aaimprovement in my teaching skills | I believe this App does not require many resources, and thus is affordable | Overall, I had a positive reaction to this App | Everyone overall satisfaction from the entire App procedure |
| O | 100 | 100 | 100 | 100 | 80 | 100 | 80 | 100 | 100 | 100 |
| S | 100 | 80 | 100 | 100 | 100 | 80 | 100 | 100 | 100 | 100 |
| M | 100 | 100 | 100 | 100 | 100 | 100 | 100 | 80 | 100 | 100 |
| R | 80 | 100 | 100 | 100 | 80 | 100 | 100 | 100 | 100 | 100 |
| O’s Teacher | 100 | 100 | 100 | 100 | 100 | 100 | 100 | 100 | 100 | 100 |
| S’s Teacher | 100 | 100 | 80 | 100 | 80 | 100 | 80 | 80 | 100 | 100 |
| M’s Teacher | 100 | 100 | 80 | 100 | 100 | 100 | 100 | 100 | 100 | 100 |
| R’s Teacher | 100 | 100 | 80 | 100 | 80 | 100 | 100 | 100 | 100 | 100 |
| O’s Tea. Assis. | 100 | 100 | 80 | 100 | 100 | 100 | 100 | 100 | 100 | 100 |
| S’s Tea. Assis. | 100 | 100 | 80 | 100 | 40 | 100 | 80 | 40 | 100 | 100 |
| M’s Tea. Assis. | 100 | 100 | 80 | 100 | 100 | 100 | 100 | 100 | 100 | 100 |
| R’s Tea. Assis. | 100 | 100 | 80 | 100 | 60 | 100 | 100 | 100 | 100 | 100 |
| O’s Parents | 100 | 100 | 60 | 100 | 100 | 100 | 80 | 100 | 100 | 100 |
| S’s Parents | 100 | 100 | 100 | 100 | 60 | 100 | 100 | 40 | 100 | 100 |
| M’s Parents | 100 | 100 | 80 | 100 | 100 | 100 | 100 | 100 | 100 | 100 |
| R’s Parents | 100 | 100 | 60 | 100 | 100 | 100 | 100 | 10 | 100 | 100 |
Disclaimer/Publisher’s Note: The statements, opinions and data contained in all publications are solely those of the individual author(s) and contributor(s) and not of MDPI and/or the editor(s). MDPI and/or the editor(s) disclaim responsibility for any injury to people or property resulting from any ideas, methods, instructions or products referred to in the content. |
© 2022 by the authors. Licensee MDPI, Basel, Switzerland. This article is an open access article distributed under the terms and conditions of the Creative Commons Attribution (CC BY) license (https://creativecommons.org/licenses/by/4.0/).
Share and Cite
Cohen, G.; Martin, N. High-Tech Classroom Management: Effects of the Use of an App on Disruptive and On-Task Classroom Behaviours for Students with Emotional and Behavioural Disorder. Behav. Sci. 2023, 13, 23. https://doi.org/10.3390/bs13010023
Cohen G, Martin N. High-Tech Classroom Management: Effects of the Use of an App on Disruptive and On-Task Classroom Behaviours for Students with Emotional and Behavioural Disorder. Behavioral Sciences. 2023; 13(1):23. https://doi.org/10.3390/bs13010023
Chicago/Turabian StyleCohen, Gabriel, and Neil Martin. 2023. "High-Tech Classroom Management: Effects of the Use of an App on Disruptive and On-Task Classroom Behaviours for Students with Emotional and Behavioural Disorder" Behavioral Sciences 13, no. 1: 23. https://doi.org/10.3390/bs13010023
APA StyleCohen, G., & Martin, N. (2023). High-Tech Classroom Management: Effects of the Use of an App on Disruptive and On-Task Classroom Behaviours for Students with Emotional and Behavioural Disorder. Behavioral Sciences, 13(1), 23. https://doi.org/10.3390/bs13010023

