Energy Demand in Surface Soils for Earthquake Engineering by Vertical Array Strong Motion Records
Abstract
:1. Introduction
2. Energy Flow of One-Directionally Propagating SH Wave
2.1. Energy Flow at Media Boundary
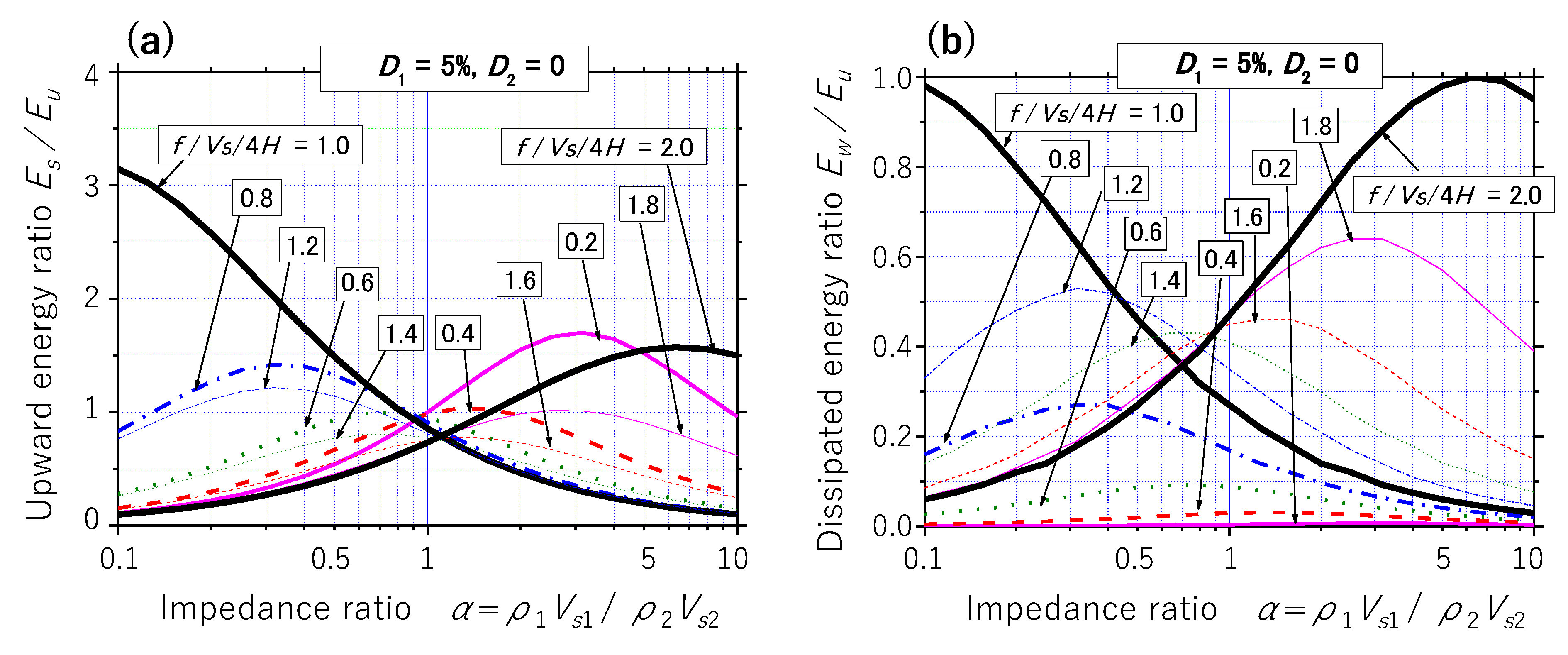
2.2. Energy Flow of Harmonic Wave in Two-Layer System
2.3. Energy Flow of Transient Irregular Wave in Two-Layer System
3. Energy Flow Calculated by Vertical Array Records
3.1. Energy Flow Calculation Procedure
3.2. Typical Energy Flows in Two Vertical Array Sites
3.3. General Trends of Energy Flow Observed in Vertical Arrays
4. Empirical Formulas for Upward Energy
4.1. Correlation of Upward Energy Ratio with Impedance Ratio
4.2. Upward Energy at Vertical Array Base and Seismological Bedrock
5. Seismic Design Considerations in View of Energy
5.1. Energy-Based Structure Design
5.2. Upward Wave Energy in View of Structural and Geotechnical Damage
6. Summary
- (1)
- The seismic wave energy or the energy demand is dependent not only on the particle velocity amplitude, but also on the soil impedance where the ground motion is recorded. It is meaningless to define design motions only in terms of acceleration or velocity without specifying the associated impedance value. Hence, in view of the wave energy, when a design motion is discussed, it is essential to identify the soil condition where the motion is defined.
- (2)
- The energy flow in upward and downward waves and the energy dissipation as their difference can be calculated assuming one-dimensional SH wave propagation in a horizontally layered ground. The upward wave energy as well as energy flux always tends to decrease at layer boundaries of different soil properties depending on the wave impedance ratio because a part of the energy is diverted to the wave reflected there.
- (3)
- SH wave propagation through a boundary in a two-layer model with no upper boundary in the top layer can theoretically determine the upper limit of energy supply to an overlying perfect energy absorber or ultimate earthquake energy absorbed in complete destruction of a superstructure.
- (4)
- Basic studies in simplified two-layer systems indicate that it is not easy for a soft surface layer to temporarily store large wave energy even in resonance because of large energy dissipation occurring in the soft soil during strong shaking.
- (5)
- The energy flow calculation by a number of vertical array strong motion records indicates that the upward energy tends to decrease considerably toward the ground surface in most sites mainly due to wave reflections at intermediate layer boundaries, where a large part of the energy is carried back to the earth again. The energy ratio between two arbitrary layers is approximately in proportion to the power of 0.7 of the corresponding impedance ratio.
- (6)
- Another cause of the upward energy reduction with decreasing depth is attributed to energy dissipation in near surface soft layers. High material damping values exhibited in soft soils during strong earthquakes tend to dissipate wave energy and make it difficult for the soft layers to vibrate with large energy, even in resonance.
- (7)
- In the above observation, the upward energy at the ground surface tends to be smaller in softer soils than stiffer soils. This finding seems to be incompatible with a perception widely accepted that soft-soil sites tend to suffer heavier earthquake damage than stiff-soil sites. However, the smaller upward energy in softer soils still tends to induce larger soil strains and can reasonably account for greater geotechnical damage among various earthquake damage. In this context, in statistically assessing earthquake damage, it is essential to differentiate them into direct inertial effects on structures and geotechnical effects on foundations.
- (8)
- Upward energies at the deepest levels calculated from vertical array records or those further extrapolated to seismological bedrock show a certain degree of compatibility with the well-known empirical formula, despite considerable data scatters and some gaps due to different definitions of earthquake magnitudes. Hence, the simple energy formula may be used to determine the energy demand for the energy-based design, preferably with future modifications considering fault rupture and path mechanisms specific to individual earthquakes.
- (9)
- In a performance-based design using energy, the energy demand of an earthquake may be compared directly with the energy capacity corresponding to induced strain in critical structure members. In a structure with low material damping, the degree of resonance or predominant frequency of the earthquake is another key parameter in addition to the energy flux to determine the induced strain. If the structure is ductile and of high damping, such as massive soil or concrete structures, the cumulative energy may be almost decisive in uniquely determining the performance.
- (10)
- There have been several design methodologies already developed, particularly in geotechnical engineering, wherein cumulative wave energy determines liquefaction-induced strain/settlement or slope displacement during earthquakes almost uniquely without resorting to acceleration time–histories.
Funding
Institutional Review Board Statement
Informed Consent Statement
Data Availability Statement
Acknowledgments
Conflicts of Interest
References
- Sano, T. Earthquake resistant structures of building, Report of Earthquake Disaster Mitigation Committee No.83-Ko2. 1917. Available online: https://dl.ndl.go.jp/info:ndljp/pid/974342?tocOpened=1 (accessed on 9 January 2022). (In Japanese).
- Housner, G.W. Spectrum Intensities of Strong-Motion Earthquakes. In Symposium on Earthquake and Blast Effects on Structures: Los Angeles, California, June 1952; Earthquake Engineering Research Institute: Los Angeles, CA, USA, 1952; pp. 20–36. Available online: https://resolver.caltech.edu/CaltechAUTHORS:20161010-155126031 (accessed on 9 January 2022).
- NIED: National Research Institute for Earth Science and Disaster Resilience. Available online: https://www.bosai.go.jp/ (accessed on 20 December 2021).
- Gutenberg, B.; Richter, C.F. Earthquake magnitude, intensity, energy and acceleration. Bull. Seismol. Soc. Am. 1942, 32, 163–191. [Google Scholar] [CrossRef]
- Gutenberg, B.; Richter, C.F. Earthquake magnitude, intensity, energy and acceleration (Second paper). Bull. Seismol. Soc. Am. 1956, 46, 105–145. [Google Scholar] [CrossRef]
- Gutenberg, B. The energy of earthquakes. Q. J. Geol. Soc. Lond. 1956, CXII, 1–14. [Google Scholar] [CrossRef]
- Sarma, S.K. Energy Flux of Strong Earthquakes, Techtonophysics; Elsevier Publishing Company: Amsterdam, The Netherlands, 1971; pp. 159–173. [Google Scholar]
- Davis, R.O.; Berrill, J.B. Energy dissipation and seismic liquefaction of sands. In Earthquake Engineering and Structural Dynamics; Elsevier: Amsterdam, The Netherlands, 1982; No. 10; pp. 59–68. [Google Scholar]
- Kokusho, T.; Motoyama, R. Energy dissipation in surface layer due to vertically propagating SH wave. J. Geotech. Geoenviron. Eng. ASCE 2002, 128, 309–318. [Google Scholar] [CrossRef]
- Kokusho, T.; Motoyama, R.; Motoyama, H. Wave energy in surface layers for energy-based damage evaluation. Soil Dyn. Earthq. Eng. 2007, 27, 354–366. [Google Scholar] [CrossRef]
- Kokusho, T.; Suzuki, T. Energy flow in shallow depth based on vertical array records during recent strong earthquakes. Soil Dyn. Earthq. Eng. 2011, 31, 1540–1550. [Google Scholar] [CrossRef]
- Kokusho, T.; Suzuki, T. Energy flow in shallow depth based on vertical array records during recent strong earthquakes (Supplement). Soil Dyn. Earthq. Eng. 2012, 42, 138–142. [Google Scholar] [CrossRef]
- Kokusho, T. Innovative Earthquake Soil Dynamics; CRC Press, Taylor and Francis Group: Leiden, The Netherlands, 2017; Chapter 1, Section 1.2; pp. 4–10. [Google Scholar]
- Timoshenko, S.; Goodier, J.N. Theory of Elasticity; McGraw-Hill: New York, NY, USA, 1951; Chapter 14, Section 167; pp. 487–492. [Google Scholar]
- Bath, M. Earthquake energy and magnitude. Phys. Chem. Earth 1956, 23, 115–165. [Google Scholar]
- Kokusho, T.; Matsumoto, M. Nonlinearity in Site Amplification and Soil Properties during the 1995 Hyogoken-Nambu Earthquake; Special Issue of Soils and Foundations; Japanese Geotechnical Society: Tokyo, Japan, 1998; pp. 1–9. [Google Scholar]
- Schnabel, P.B.; Lysmer, J.; Seed, H.B. SHAKE—A Computer Program for Earthquake Response Analysis of Horizontally Layered Sites; Report EERC 72–12; University of California, Berkeley: Berkeley, CA, USA, 1972. [Google Scholar]
- Ishihara, K. Soil Behaviour in Earthquake Geotechnics; Oxford Science Publications: New York, NY, USA, 1996; Chapter 3, Section 3.1.3; pp. 22–28. [Google Scholar]
- Inagaki, H.; Iai, S.; Sugano, T.; Yamazaki, H.; Inatomi, T. Performance of caisson type quay walls at Kobe Port. Soils Found. 1996, 36, 119–136. [Google Scholar] [CrossRef] [Green Version]
- Kokusho, T.; Tanimoto, S. Energy capacity versus liquefaction strength investigated by cyclic triaxial tests on intact soils. J. Geotech. Geoenviron. Eng. ASCE 2021, 147, 1–13. [Google Scholar] [CrossRef]
- Joyner, W.B.; Fumal, T.E. Use of measured shear-wave velocity for predicting geologic site effects on strong ground motion. In Proceedings of the 8th World Conference on Earthquake Engineering, San Francisco, CA, USA, 21–28 July 1984; Volume 2, pp. 777–783. [Google Scholar]
- Somerville, P. Forward rupture directivity in the Kobe and Northridge earthquakes and implications for structural engineering. In Proceedings of the International Workshop on Site Response subjected to Strong Earthquake Motions, Yokosuka, Japan, 16–17 January 1996; Volume 2, pp. 324–342. [Google Scholar]
- Utsu, T. Relationships between Earthquake Magnitude Scales, Bull; ERI Earthquake Research Institute the University of Tokyo: Tokyo, Japan, 1982; Volume 57, pp. 465–497. [Google Scholar]
- Towhata, I.; Ishihara, K. Shear work and pore water pressure in undrained shear. Soils Found. 1985, 25, 73–84. [Google Scholar] [CrossRef] [Green Version]
- Yanagisawa, E.; Sugano, T. Undrained shear behaviors of sand in view of shear work. In Proceedings of the International Conference on SMFE (Special Volume on Performance of Ground and Soil Structures during Earthquakes); Balkema Publishers: New Delhi, India, 1994; pp. 155–158. [Google Scholar]
- Figueroa, J.L.; Saada, A.S.; Liang, L.; Dahisaria, N.M. Evaluation of soil liquefaction by energy principles. J. Geotech. Eng. ASCE 1994, 120, 1554–1569. [Google Scholar] [CrossRef]
- Kokusho, T. Liquefaction potential evaluation –energy-based method versus stress-based method-. Can. Geotech. J. 2013, 50, 1–12. [Google Scholar] [CrossRef]
- Kokusho, T.; Kaneko, Y. Energy evaluation for liquefaction-induced strain of loose sands by harmonic and irregular loading tests. Soil Dyn. Earthq. Eng. 2018, 114, 362–377. [Google Scholar] [CrossRef]
- Green, R.A.; Mitchell, J.K.; Polito, C.P. An energy-based excess pore pressure generation model for cohesionless soils. In Proceedings of John Booker Memorial Symposium; Balkema Publishers; Sydney, Australia, 2000. [Google Scholar]
- Law, K.T.; Cao, Y.L.; He, G.N. An energy approach for assessing seismic liquefaction potential. Can. Geotech. J. 1990, 27, 320–329. [Google Scholar] [CrossRef]
- Kayen, R.E.; Mitchell, J.K. Assessment of Liquefaction Potential During Earthquakes by Arias Intensity. J. Geotech. Geoenvironmental Eng. 1997, 123, 1162–1174. [Google Scholar] [CrossRef]
- Arias, A. A measure of earthquake intensity. In Seismic Design of Nuclear Power Plants; Hansen, R.J., Ed.; MIT Press: Cambridge, MA, USA, 1970; pp. 438–483. [Google Scholar]
- Kokusho, T.; Mimori, Y. Liquefaction potential evaluations by energy-based method and stress-based method for various ground motions. Soil Dyn. Earthq. Eng. 2015, 75, 130–146. [Google Scholar] [CrossRef]
- Kokusho, T. Liquefaction potential evaluations by energy-based method and stress-based method for various ground motions: Supplement. Soil Dyn. Earthq. Eng. 2017, 95, 40–47. [Google Scholar] [CrossRef]
- Kokusho, T. Seismic base-isolation mechanism in liquefied sand in terms of energy. Soil Dyn. Earthq. Eng. 2014, 63, 92–97. [Google Scholar] [CrossRef]
- Kokusho, T. Energy-based liquefaction evaluation for induced strain and surface settlement—Evaluation steps and case studies. Soil Dyn. Earthq. Eng. 2020, 143, 106552. [Google Scholar] [CrossRef]
- Kokusho, T.; Ishizawa, T. Energy approach to earthquake-induced slope failures and its implications. J. Geotech. Geoenviron. Eng. ASCE 2007, 133, 828–840. [Google Scholar] [CrossRef]
- Kokusho, T.; Ishizawa, T.; Koizumi, K. Energy approach to seismically induced slope failure and its application to case histories. Eng. Geol. 2007, 122, 115–128. [Google Scholar] [CrossRef]
- Kokusho, T.; Koyanagi, T.; Yamada, T. Energy approach to seismically induced slope failure and its application to case histories –Supplement. Eng. Geol. 2014, 181, 290–296. [Google Scholar] [CrossRef]
- Newmark, N.M. Effects of earthquakes on dams and embankments, Fifth Rankine Lecture. Geotechnique 1965, 15, 139–159. [Google Scholar] [CrossRef] [Green Version]
- Kokusho, T. Energy-based Newmark method for earthquake-induced slope displacements. Soil Dyn. Earthq. Eng. 2019, 121, 121–134. [Google Scholar] [CrossRef]
- Akiyama, H. Earthquake-Resistant Design Method for Buildings Based on Energy Balance; Giho-do Publishing Co.: Tokyo, Japan, 1999. (In Japanese) [Google Scholar]
- Matsui, T.; Oda, K. Foundation damage of structures, Special Issue on Geotechnical Aspects of the January 17 1995 Hyogo-ken Nambu Earthquake. Soils Found. 1996, 36, 189–200. [Google Scholar] [CrossRef] [Green Version]
- Tokimatsu, K.; Asada, Y. Effects of liquefaction-induced ground displacements on pile performance in the 1995 Hyogoken-Nambu earthquake. Soils Found. 1998, 38, 163–177. [Google Scholar] [CrossRef] [Green Version]
- Suetomi, I.; Yoshida, N. Nonlinear behavior of surface deposit during the 1995 Hyogoken-Nambu earthquake. Soils Found. 1998, 38, 11–22. [Google Scholar] [CrossRef] [Green Version]
- Trifunac, M.D.; Todorovska, M.I. 1971 San Fernando and 1994 Northridge, California, earthquakes: Did the zones with severely damaged buildings reoccur? Soil Dyn. Earthq. Eng. 2004, 24, 225–239. [Google Scholar] [CrossRef]
- Bakir, B.S.; Yilmaz, M.T.; Yakut, A.; Gulkan, P. Re-examination of damage distribution in Adapazari: Geotechnical considerations. Eng. Struct. 2005, 27, 1002–1013. [Google Scholar] [CrossRef]



















| EQ NO. | Earthquake | Momt. Mag. (MW) | JMA Mag. (MJ) | Focal Depth (km) | Array Site | Epic. Distance (km) | Hypoc. Distance (km) | Acc. Meter Install Depth (m) | Low Strain Vs at Base (m/s) | Low Strain Vs at Surf. (m/s) | Up-Energy at Base Eu (kJ/m2) | Surf. Energy Es (kJ/m2) | Incident Energy Esb at Seism. Base (kJ/m2) |
|---|---|---|---|---|---|---|---|---|---|---|---|---|---|
| 1995 Kobe | 6.9 | 7.2 | 16 | PI | 18 | 24 | 0/32.4/83.4 | 380 | 170 | 308.3 | 50.3 | 1671.8 | |
| SGK | 44 | 46 | 0/24.9/97 | 480 | 120 | 167.6 | 43.4 | 828.4 | |||||
| TKS | 32 | 36 | 0/25/100 | 420 | 120 | 15.1 | 3.9 | 76.3 | |||||
| KNK | 53 | 55 | 0/25/100 | 1630 | 238 | 3.0 | 2.7 | 4.6 | |||||
| EQ1 | 2000 Tottoriken Seibu | 6.8 | 7.3 | 11 | OKYH14 | 45 | 46 | 0/100 | 2250 | 120 | 22.7 | 1.0 | 27.9 |
| SMNH01 | 8 | 14 | 0/101 | 2800 | 290 | 203.2 | 26.6 | 227.8 | |||||
| TTRH02 | 10 | 15 | 0/100 | 790 | 210 | 235.8 | 117.6 | 746.4 | |||||
| EQ2 | 2001 Geiyo | 6.8 | 6.7 (old: 6.4) | 46 | EHMH02 | 54 | 71 | 0/110 | 2195 | 151 | 11.2 | 1.2 | 15.5 |
| EHMH05 | 48 | 66 | 0/134 | 2419 | 164 | 14.6 | 2.0 | 17.4 | |||||
| HRSH01 | 40 | 61 | 0/205 | 2523 | 180 | 24.1 | 3.8 | 28.9 | |||||
| HRSH03 | 59 | 75 | 0/200 | 2600 | 370 | 42.4 | 15.1 | 48.1 | |||||
| EQ3 | 2003 Tokachi-Oki | 7.9 | 8.0 | 42 | TKCH08 | 109 | 117 | 0/100 | 2800 | 130 | 337.1 | 14.9 | 363.3 |
| KSRH07 | 152 | 158 | 0/222 | 510 | 100 | 443.7 | 41.5 | 1795.0 | |||||
| NMRH02 | 223 | 227 | 0/103 | 870 | 110 | 36.4 | 7.1 | 94.0 | |||||
| KSRH10 | 180 | 185 | 0/255 | 1700 | 90 | 66.2 | 5.6 | 101.2 | |||||
| EQ4 | 2004 Niigataken Chuetsu | 6.6 | 6.8 | 13 | FKSH21 | 40 | 42 | 0/200 | 1600 | 200 | 13.4 | 3.2 | 21.4 |
| NIGH06 | 44 | 46 | 0/100 | 740 | 100 | 50.4 | 6.0 | 164.8 | |||||
| NIGH09 | 36 | 38 | 0/100 | 1380 | 150 | 31.9 | 2.5 | 58.0 | |||||
| NIGH11 | 17 | 21 | 0/205 | 850 | 200 | 215.7 | 23.5 | 566.3 | |||||
| NIGH12 | 13 | 18 | 0/110 | 780 | 240 | 35.8 | 6.6 | 102.8 | |||||
| EQ5 | 2005 Fukuokaken Seiho-Oki | 6.7 | 7.0 | 10 | FKOH03 | 50 | 51 | 0/100 | 2030 | 250 | 17.1 | 2.0 | 23.0 |
| FKOH08 | 76 | 77 | 0/100 | 1600 | 180 | 8.0 | 0.9 | 12.7 | |||||
| SAGH03 | 55 | 56 | 0/103 | 1980 | 160 | 7.7 | 1.0 | 10.6 | |||||
| EQ6 | 2007 Noto-Hanto | 6.7 | 6.9 | 11 | ISKH01 | 63 | 64 | 0/200 | 630 | 240 | 43.7 | 8.3 | 138.3 |
| ISKH02 | 36 | 38 | 0/102 | 530 | 420 | 115.5 | 25.1 | 433.3 | |||||
| EQ7 | 2007 Niigataken Chetsu-Oki | 6.6 | 6.8 | 17 | KKNPS-SH | 13 | 21 | 2.4/50.8/99.4/250 | 640 | 310 | 442.8 | 370.3 | 1734.3 |
| EQ8 | 2008 Iwate-Miyagi Nairiku | 6.9 | 7.2 | 8 | AKTH04 | 22 | 23 | 0/100 | 1500 | 150 | 128.2 | 28.3 | 204.4 |
| IWTH24 | 22 | 23 | 0/150 | 540 | 180 | 588.3 | 76.1 | 2255.1 | |||||
| IWTH25 | 3 | 9 | 0/260 | 1810 | 430 | 1285.8 | 164.0 | 1887.7 | |||||
| IWTH26 | 12 | 14 | 0/108 | 680 | 130 | 258.5 | 33.2 | 821.6 |
| (a) | Port Island | 1995 Kobe EQ. | ||||||
| Layer | Depth | Layer Thickness | Soil Density | Small-Strain | Properties | Main-Shock Properties | Seismo-Meter Depth | |
| No. | (m) | (m) | p (t/m3) | Vs | D (%) | Vs (m/s) | D (%) | (m) |
| 1 | GL. −0 | 4 | 1.7 | 170 | 2 | 79 | 42 | A: GL. −0 |
| 2 | GL. −4.0 GL. −16.4 | 12.4 | 2 | 210 | 2 | 47 | 42 | |
| 3 | GL −17.5 | 1.1 | 2 | 210 | 2 | 47 | 42 | |
| 4 | GL. −29.0 | 11.5 | 1.7 | 180 | 1 | 134 | 30 | |
| 5 | GL. −32.4 | 3.4 | 2 | 245 | 1 | 165 | 6.3 | B: GL. −32.4 |
| 6 | 3.6 | 2 | 245 | 1 | 165 | 6.3 | ||
| 7 | GL −36.0 GL. −49.0 | 13 | 2.2 | 305 | 1 | 245 | 6.3 | |
| 8 | GL. −60.5 | 11.5 | 2.2 | 350 | 1 | 282 | 6.3 | |
| 9 | GL. −82.0 | 21.5 | 1.8 | 303 | 1 | 253 | 6.3 | |
| 10 | GL. −83.4 | 1.4 | 2.2 | 380 | 1 | 328 | 6.3 | C: GL. −83.4 |
| 11 | Base | 2.2 | 380 | 1 | 329 | 6.3 | ||
| (b) | KiK-NetTaiki | 2003 Tokachi-Oki EQ. (EQ.3) | ||||||
| Layer | Depth | Layer Thickness | Soil Density | Small-Strain | Properties | Main-Shock Properties | Seismo-Meter Depth | |
| No. | (m) | (m) | p (t/m3) | Vs | D (%) | Vs (m/s) | D (%) | (m) |
| 1 | GL. −0 GL. −4.0 | 4 | 1.8 | 130 | 2.5 | 86 | 6.8 | A: GL. −0 |
| 2 | GL. −36.0 | 32 | 2.1 | 480 | 2.5 | 398 | 4.8 | |
| 3 | GL. −78.0 | 42 | 2.2 | 590 | 1 | 559 | 2.2 | |
| 4 | GL. −100 | 22 | 2.6 | 2800 | 1 | 2800 | 1 | B: GL. −100 |
| 5 | Base | 2.6 | 2800 | 1 | 2800 | 1 |
Publisher’s Note: MDPI stays neutral with regard to jurisdictional claims in published maps and institutional affiliations. |
© 2022 by the author. Licensee MDPI, Basel, Switzerland. This article is an open access article distributed under the terms and conditions of the Creative Commons Attribution (CC BY) license (https://creativecommons.org/licenses/by/4.0/).
Share and Cite
Kokusho, T. Energy Demand in Surface Soils for Earthquake Engineering by Vertical Array Strong Motion Records. Geosciences 2022, 12, 102. https://doi.org/10.3390/geosciences12020102
Kokusho T. Energy Demand in Surface Soils for Earthquake Engineering by Vertical Array Strong Motion Records. Geosciences. 2022; 12(2):102. https://doi.org/10.3390/geosciences12020102
Chicago/Turabian StyleKokusho, Takaji. 2022. "Energy Demand in Surface Soils for Earthquake Engineering by Vertical Array Strong Motion Records" Geosciences 12, no. 2: 102. https://doi.org/10.3390/geosciences12020102
APA StyleKokusho, T. (2022). Energy Demand in Surface Soils for Earthquake Engineering by Vertical Array Strong Motion Records. Geosciences, 12(2), 102. https://doi.org/10.3390/geosciences12020102
