A Comprehensive Review: Current Strategies for Detoxification of Deoxynivalenol in Feedstuffs for Pigs
Simple Summary
Abstract
1. Introduction
2. Materials and Methods
3. Deoxynivalenol (DON) in Pigs: Toxicity and Ingestion Fate
3.1. DON Toxicity in Pigs
3.2. The Absorption of DON in Pigs
3.3. The Distribution of DON in Pigs
3.4. The Metabolism and Excretion of DON in Pigs
3.5. Signal Transduction Mediated by DON in Pigs
4. Occurrence and Prevention of DON
4.1. Occurrence of DON
4.2. Prevention of DON Production
5. Detoxification of DON
5.1. Physical Strategies
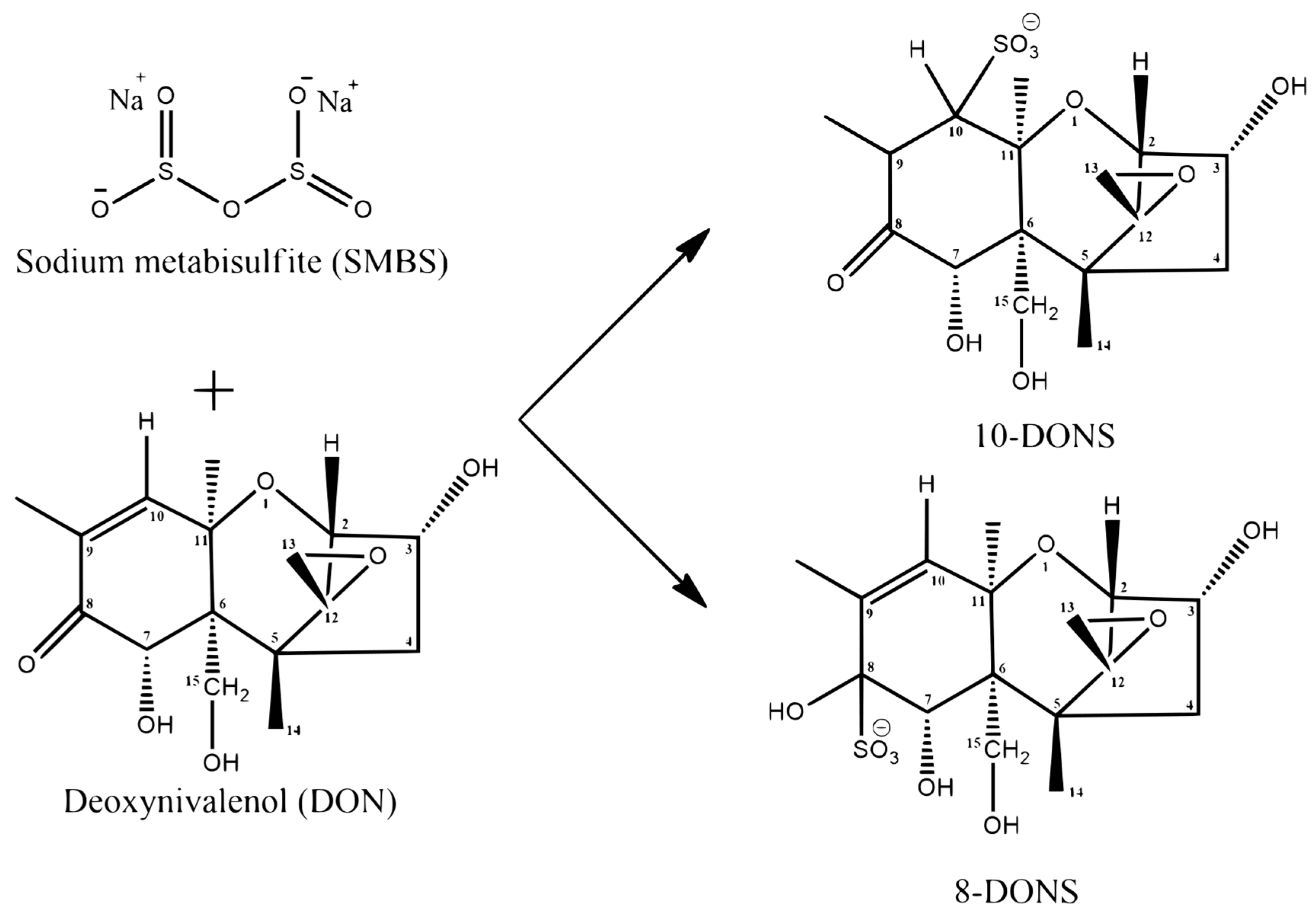
5.2. Chemical Strategies
5.3. Biological Strategies
5.4. Nutritional Strategies
5.4.1. DON Levels Below 1.0 Mg/Kg in Diets
5.4.2. DON Levels Between 1 Mg/Kg and 3 Mg/Kg in Diets
5.4.3. DON Levels Between 3 Mg/Kg and 5 Mg/Kg in Diets
5.4.4. DON Levels Exceeding 5.0 Mg/Kg in Diets
6. The Need for Generative Artificial Intelligence (AI) in DON Detoxification
Challenges and Future Directions
7. Conclusions
Author Contributions
Funding
Institutional Review Board Statement
Informed Consent Statement
Data Availability Statement
Conflicts of Interest
References
- Mukhtar, K.; Nabi, B.G.; Ansar, S.; Bhat, Z.F.; Aadil, R.M.; Khaneghah, A.M. Mycotoxins and consumers’ awareness: Recent progress and future challenges. Toxicon 2023, 232, 107227. [Google Scholar] [CrossRef]
- Qi, X.; Chen, B.; Rao, J. Natural compounds of plant origin in the control of fungi and mycotoxins in foods. Curr. Opin. Food Sci. 2023, 52, 101054. [Google Scholar] [CrossRef]
- Ramos-Diaz, J.M.; Sulyok, M.; Jacobsen, S.E.; Jouppila, K.; Nathanail, A.V. Comparative study of mycotoxin occurrence in Andean and cereal grains cultivated in South America and North Europe. Food Control 2021, 130, 108260. [Google Scholar] [CrossRef]
- Dey, D.K.; Kang, J.I.; Bajpai, V.K.; Kim, K.; Lee, H.; Sonwal, S.; Simal-Gandara, J.; Xiao, J.; Ali, S.; Huh, Y.S.; et al. Mycotoxins in food and feed: Toxicity, preventive challenges, and advanced detection techniques for associated diseases. Crit. Rev. Food Sci. Nutr. 2023, 63, 8489–8510. [Google Scholar] [CrossRef]
- Ibáñez-Vea, M.; Lizarraga, E.; González-Peñas, E.; de Cerain, A.L. Co-occurrence of type-A and type-B trichothecenes in barley from a northern region of Spain. Food Control 2012, 25, 81–88. [Google Scholar] [CrossRef]
- Chhaya, R.S.; O’Brien, J.; Cummins, E. Feed to fork risk assessment of mycotoxins under climate change influences-recent developments. Trends Food Sci. Technol. 2022, 126, 126–141. [Google Scholar] [CrossRef]
- Omotayo, O.P.; Omotayo, A.O.; Mwanza, M.; Babalola, O.O. Prevalence of mycotoxins and their consequences on human health. Toxicol. Res. 2019, 35, 1–7. [Google Scholar] [CrossRef] [PubMed]
- Adebo, O.A.; Molelekoa, T.; Makhuvele, R.; Adebiyi, J.A.; Oyedeji, A.B.; Gbashi, S.; Adefisoye, M.A.; Ogundele, O.M.; Njobeh, P.B. A review on novel non-thermal food processing techniques for mycotoxin reduction. Int. J. Food Sci. Technol. 2021, 56, 13–27. [Google Scholar] [CrossRef]
- Yang, C.; Song, G.; Lim, W. Effects of mycotoxin-contaminated feed on farm animals. J. Hazard. Mater. 2020, 389, 122087. [Google Scholar] [CrossRef] [PubMed]
- Xu, R.; Kiarie, E.G.; Yiannikouris, A.; Sun, L.; Karrow, N.A. Nutritional impact of mycotoxins in food animal production and strategies for mitigation. J. Anim. Sci. Biotechnol. 2022, 13, 69. [Google Scholar] [CrossRef]
- Hassan, Y.I.; Zhou, T. Promising detoxification strategies to mitigate mycotoxins in food and feed. Toxins 2018, 10, 116. [Google Scholar] [CrossRef]
- Morooka, N.; Uratsuji, N.; Yoshizawa, T.; Yamamoto, H. Studies on the toxic substances in barley infected with Fusariums. J. Food Hyg. Soc. Jpn. 1972, 13, 368–375. [Google Scholar] [CrossRef]
- Yoshizawa, T.; Morooka, N. Deoxynivalenol and its monoacetate: New mycotoxins from Fusarium roseum and moldy barley. Agric. Biol. Chem. 1973, 37, 2933–2934. [Google Scholar] [CrossRef]
- Vesonder, R.F.; Ciegler, A.; Jensen, A.H. Isolation of the emetic principle from Fusarium-infected corn. Appl. Microbiol. 1973, 26, 1008–1010. [Google Scholar] [CrossRef]
- He, W.J.; Zhang, L.; Yi, S.Y.; Tang, X.L.; Yuan, Q.S.; Guo, M.W.; Wu, A.B.; Qu, B.; Li, H.P.; Liao, Y.C. An aldo-keto reductase is responsible for Fusarium toxin-degrading activity in a soil Sphingomonas strain. Sci. Rep. 2017, 7, 9549. [Google Scholar] [CrossRef] [PubMed]
- He, J.W.; Bondy, G.S.; Zhou, T.; Caldwell, D.; Boland, G.J.; Scott, P.M. Toxicology of 3-epi-deoxynivalenol, a deoxynivalenol-transformation product by Devosia mutans 17-2-E-8. Food. Chem. Toxicol. 2015, 84, 250–259. [Google Scholar] [CrossRef]
- Guo, H.; Ji, J.; Wang, J.S.; Sun, X. Deoxynivalenol: Masked forms, fate during food processing, and potential biological remedies. Compr. Rev. Food Sci. Food Saf. 2020, 19, 895–926. [Google Scholar] [CrossRef]
- Sobrova, P.; Adam, V.; Vasatkova, A.; Beklova, M.; Zeman, L.; Kizek, R. Deoxynivalenol and its toxicity. Interdiscip. Toxicol. 2010, 3, 94–99. [Google Scholar] [CrossRef]
- Sun, J.; Wu, Y. Evaluation of dietary exposure to deoxynivalenol (DON) and its derivatives from cereals in China. Food Control 2016, 69, 90–99. [Google Scholar] [CrossRef]
- Wolf, C.E.; Bullerman, L.B. Heat and pH alter the concentration of deoxynivalenol in an aqueous enviroment. J. Food Prot. 1998, 61, 365–368. [Google Scholar] [CrossRef]
- Kaushik, G. Effect of processing on mycotoxin content in grains. Crit. Rev. Food Sci. Nutr. 2015, 55, 1672–1683. [Google Scholar] [CrossRef]
- Kabak, B. The fate of mycotoxins during thermal food processing. J. Sci. Food Agric. 2009, 89, 549–554. [Google Scholar] [CrossRef]
- Biomin World Mycotoxin Survey Report. 2023. Available online: https://www.biomin.net/downloads/2023-biomin-world-mycotoxin-survey-report/ (accessed on 30 June 2023).
- Tittlemier, S.A.; Roscoe, M.; Trelka, R.; Gaba, D.; Chan, J.M.; Patrick, S.K.; Sulyok, M.; Krska, R.; McKendry, T.; Gräfenhan, T. Fusarium damage in small cereal grains from Western Canada. 2. Occurrence of Fusarium toxins and their source organisms in durum wheat harvested in 2010. J. Agric. Food Chem. 2013, 61, 5438–5448. [Google Scholar] [CrossRef]
- European Commission. Commission Recommendation of 17 August 2006 on the presence of deoxynivalenol, zearalenone, ochratoxin A, T-2 and HT-2 and fumonisins in products intended for animal feeding (2006/576/EC). Off. J. Eur. Communities 2006, 229, 7–9. [Google Scholar]
- US Food and Drug Administration. Guidance for Industry and FDA: Advisory Levels for Deoxynivalenol (DON) in Finished Wheat Products for Human Consumption and Grains and Grain by-Products Used for Animal Feed; US FDA: Silver Spring, MD, USA, 2010. [Google Scholar]
- Agriculture and Agri-Food Canada. RG-8 Regulatory Guidance: Contaminants in Feed (Formerly RG-1, Chapter 7); Agriculture and Agri-Food Canada: Ottawa, ON, Canada, 2017. [Google Scholar]
- Milani, J.M. Ecological conditions affecting mycotoxin production in cereals: A review. Vet. Med. 2013, 58, 405–411. [Google Scholar] [CrossRef]
- Torres, A.M.; Palacios, S.A.; Yerkovich, N.; Palazzini, J.M.; Battilani, P.; Leslie, J.F.; Logrieco, A.F.; Chulze, S.N. Fusarium head blight and mycotoxins in wheat: Prevention and control strategies across the food chain. World Mycotoxin J. 2019, 12, 333–355. [Google Scholar] [CrossRef]
- Maresca, M. From the gut to the brain: Journey and pathophysiological effects of the food-associated trichothecene mycotoxin deoxynivalenol. Toxins 2013, 5, 784–820. [Google Scholar] [CrossRef] [PubMed]
- Bergsjø, B.; Matre, T.; Nafstad, I. Effects of diets with graded levels of deoxynivalenol on performance in growing pigs. J. Vet. Med. A 1992, 39, 752–758. [Google Scholar] [CrossRef] [PubMed]
- Bergsjø, B.; Langseth, W.; Nafstad, I.; Jansen, J.H.; Larsen, H.J.S. The effects of naturally deoxynivalenol-contaminated oats on the clinical condition, blood parameters, performance and carcass composition of growing pigs. Vet. Res. Commun. 1993, 17, 283–294. [Google Scholar] [CrossRef]
- Young, L.G.; McGirr, L.; Valli, V.E.; Lumsden, J.H.; Lun, A. Vomitoxin in corn fed to young pigs. J. Anim. Sci. 1983, 57, 655–664. [Google Scholar] [CrossRef]
- Waché, Y.J.; Valat, C.; Postollec, G.; Bougeard, S.; Burel, C.; Oswald, I.P.; Fravalo, P. Impact of deoxynivalenol on the intestinal microflora of pigs. Int. J. Mol. Sci. 2008, 10, 1–17. [Google Scholar] [CrossRef]
- Lessard, M.; Savard, C.; Deschene, K.; Lauzon, K.; Pinilla, V.A.; Gagnon, C.A.; Lapointe, J.; Guay, F.; Chorfi, Y. Impact of deoxynivalenol (DON) contaminated feed on intestinal integrity and immune response in swine. Food Chem. Toxicol. 2015, 80, 7–16. [Google Scholar] [CrossRef] [PubMed]
- Frobose, H.L.; Fruge, E.D.; Tokach, M.D.; Hansen, E.L.; DeRouchey, J.M.; Dritz, S.S.; Goodband, R.D.; Nelssen, J.L. The effects of deoxynivalenol-contaminated corn dried distillers grains with solubles in nursery pig diets and potential for mitigation by commercially available feed additives. J. Anim. Sci. 2015, 93, 1074–1088. [Google Scholar] [CrossRef]
- Pasternak, J.A.; Aiyer, V.I.A.; Hamonic, G.; Beaulieu, A.D.; Columbus, D.A.; Wilson, H.L. Molecular and physiological effects on the small intestine of weaner pigs following feeding with deoxynivalenol-contaminated feed. Toxins 2018, 10, 40. [Google Scholar] [CrossRef] [PubMed]
- Mwaniki, A.W.; Buis, Q.R.; Trott, D.; Huber, L.A.; Yang, C.; Kiarie, E.G. Comparative efficacy of commercially available deoxynivalenol detoxifying feed additives on growth performance, total tract digestibility of components, and physiological responses in nursery pigs fed diets formulated with naturally contaminated corn. Transl. Anim. Sci. 2021, 5, txab050. [Google Scholar] [CrossRef] [PubMed]
- Holanda, D.M.; Kim, S.W. Impacts of weaning weights and mycotoxin challenges on jejunal mucosa-associated microbiota, intestinal and systemic health, and growth performance of nursery pigs. J. Anim. Sci. Biotechnol. 2022, 13, 43. [Google Scholar] [CrossRef]
- Son, A.R.; Shin, S.Y.; Song, Y.S.; Hong, B.; Kim, B.G. Effects of dietary deoxynivalenol on growth performance and organ accumulation of growing pigs. Anim. Biosci. 2024, 37, 1614. [Google Scholar] [CrossRef]
- Prelusky, D.B.; Gerdes, R.G.; Underhill, K.L.; Rotter, B.A.; Jui, P.Y.; Trenholm, H.L. Effects of low-level dietary deoxynivalenol on haematological and clinical parameters of the pig. Nat. Toxins 1994, 2, 97–104. [Google Scholar] [CrossRef]
- Rotter, B.A.; Thompson, B.K.; Lessard, M. Effects of deoxynivalenol-contaminated diet on performance and blood parameters in growing swine. Can. J. Anim. Sci. 1995, 75, 297–302. [Google Scholar] [CrossRef]
- Øvernes, G.; Matre, T.; Sivertsen, T.; Larsen, H.J.S.; Langseth, W.; Reitan, L.J.; Jansen, J.H. Effects of diets with graded levels of naturally deoxynivalenol-contaminated oats on immune response in growing pigs. J. Vet. Med. A 1997, 44, 539–550. [Google Scholar] [CrossRef]
- Wu, L.; Liao, P.; He, L.; Ren, W.; Yin, J.; Duan, J.; Li, T. Growth performance, serum biochemical profile, jejunal morphology, and the expression of nutrients transporter genes in deoxynivalenol (DON)-challenged growing pigs. BMC Vet. Res. 2015, 11, 144. [Google Scholar] [CrossRef]
- Alizadeh, A.; Braber, S.; Akbari, P.; Garssen, J.; Fink-Gremmels, J. Deoxynivalenol impairs weight gain and affects markers of gut health after low-dose, short-term exposure of growing pigs. Toxins 2015, 7, 2071–2095. [Google Scholar] [CrossRef]
- Kwon, W.B.; Shin, S.Y.; Song, Y.S.; Kong, C.; Kim, B.G. Effects of mycotoxin-sequestering agents on growth performance and nutrient utilization of growing pigs fed deoxynivalenol-contaminated diets. Life 2023, 13, 1953. [Google Scholar] [CrossRef] [PubMed]
- Goyarts, T.; Dänicke, S. Effects of deoxynivalenol (DON) on growth performance, nutrient digestibility and DON metabolism in pigs. Mycotoxin Res. 2005, 21, 139–142. [Google Scholar] [CrossRef]
- Wellington, M.O.; Bosompem, M.A.; Rodrigues, L.A.; Columbus, D.A. Effect of long-term feeding of graded levels of deoxynivalenol on performance, nutrient utilization, and organ health of grower-finisher pigs (35 to 120 kg). J. Anim. Sci. 2021, 99, skab109. [Google Scholar] [CrossRef] [PubMed]
- Serviento, A.M.; Brossard, L.; Renaudeau, D. An acute challenge with a deoxynivalenol-contaminated diet has short-and long-term effects on performance and feeding behavior in finishing pigs. J. Anim. Sci. 2018, 96, 5209–5221. [Google Scholar] [CrossRef]
- Wellington, M.O.; Bosompem, M.A.; Petracek, R.; Nagl, V.; Columbus, D.A. Effect of long-term feeding of graded levels of deoxynivalenol (DON) on growth performance, nutrient utilization, and organ health in finishing pigs and DON content in biological samples. J. Anim. Sci. 2020, 98, skaa378. [Google Scholar] [CrossRef]
- Dänicke, S.; Valenta, H.; Döll, S. On the toxicokinetics and the metabolism of deoxynivalenol (DON) in the pig. Arch. Anim. Nutr. 2004, 58, 169–180. [Google Scholar] [CrossRef]
- Côté, L.M.; Dahlem, A.M.; Yoshizawa, T.; Swanson, S.P.; Buck, W.B. Excretion of deoxynivalenol and its metabolite in milk, urine, and feces of lactating dairy cows. J. Dairy Sci. 1986, 69, 2416–2423. [Google Scholar] [CrossRef]
- Prelusky, D.B.; Hartin, K.E.; Trenholm, H.L.; Miller, J.D. Pharmacokinetic fate of 14C-labeled deoxynivalenol in swine. Fundam. Appl. Toxicol. 1988, 10, 276–286. [Google Scholar] [CrossRef]
- Schelstraete, W.; Devreese, M.; Croubels, S. Comparative toxicokinetics of Fusarium mycotoxins in pigs and humans. Food Chem. Toxicol. 2020, 137, 111140. [Google Scholar] [CrossRef]
- Goyarts, T.; Dänicke, S. Bioavailability of the Fusarium toxin deoxynivalenol (DON) from naturally contaminated wheat for the pig. Toxicol. Lett. 2006, 163, 171–182. [Google Scholar] [CrossRef]
- Devreese, M.; Antonissen, G.; De Backer, P.; Croubels, S. Efficacy of active carbon towards the absorption of deoxynivalenol in pigs. Toxins 2014, 6, 2998–3004. [Google Scholar] [CrossRef] [PubMed]
- Paulick, M.; Winkler, J.; Kersten, S.; Schatzmayr, D.; Schwartz-Zimmermann, H.E.; Dänicke, S. Studies on the bioavailability of deoxynivalenol (DON) and DON sulfonate (DONS) 1, 2, and 3 in pigs fed with sodium sulfite-treated DON-contaminated maize. Toxins 2015, 7, 4622–4644. [Google Scholar] [CrossRef] [PubMed]
- Saint-Cyr, M.J.; Perrin-Guyomard, A.; Manceau, J.; Houée, P.; Delmas, J.M.; Rolland, J.G.; Laurentie, M. Risk assessment of deoxynivalenol by revisiting its bioavailability in pig and rat models to establish which is more suitable. Toxins 2015, 7, 5167–5181. [Google Scholar] [CrossRef]
- Rotter, B.A.; Thompson, B.K.; Prelusky, D.B.; Trenholm, H.L. Evaluation of potential interactions involving trichothecene mycotoxins using the chick embryotoxicity bioassay. Arch. Environ. Contam. Toxicol. 1991, 21, 621–624. [Google Scholar] [CrossRef]
- Prelusky, D.B.; Trenholm, H.L. Tissue distribution of deoxynivalenol in swine dosed intravenously. J. Agric. Food Chem. 1991, 39, 748–751. [Google Scholar] [CrossRef]
- Prelusky, D.B.; Hartin, K.E.; Trenholm, H.L. Distribution of deoxynivalenol in cerebral spinal fluid following administration to swine and sheep. J. Environ. Sci. Health B 1990, 25, 395–413. [Google Scholar] [CrossRef]
- Goyarts, T.; Dänicke, S.; Brüssow, K.P.; Valenta, H.; Ueberschär, K.H.; Tiemann, U. On the transfer of the Fusarium toxins deoxynivalenol (DON) and zearalenone (ZON) from sows to their fetuses during days 35–70 of gestation. Toxicol. Lett. 2007, 171, 38–49. [Google Scholar] [CrossRef]
- Dänicke, S.; Brüssow, K.P.; Goyarts, T.; Valenta, H.; Ueberschär, K.H.; Tiemann, U. On the transfer of the Fusarium toxins deoxynivalenol (DON) and zearalenone (ZON) from the sow to the full-term piglet during the last third of gestation. Food Chem. Toxicol. 2007, 45, 1565–1574. [Google Scholar] [CrossRef]
- Nagl, V.; Woechtl, B.; Schwartz-Zimmermann, H.E.; Hennig-Pauka, I.; Moll, W.D.; Adam, G.; Berthiller, F. Metabolism of the masked mycotoxin deoxynivalenol-3-glucoside in pigs. Toxicol. Lett. 2014, 229, 190–197. [Google Scholar] [CrossRef] [PubMed]
- Sun, Y.; Jiang, J.; Mu, P.; Lin, R.; Wen, J.; Deng, Y. Toxicokinetics and metabolism of deoxynivalenol in animals and humans. Arch. Toxicol. 2022, 96, 2639–2654. [Google Scholar] [CrossRef]
- Schwartz-Zimmermann, H.E.; Hametner, C.; Nagl, V.; Fiby, I.; Macheiner, L.; Winkler, J.; Dänicke, S.; Clark, E.; Pestka, J.J.; Berthiller, F. Glucuronidation of deoxynivalenol (DON) by different animal species: Identification of iso-DON glucuronides and iso-deepoxy-DON glucuronides as novel DON metabolites in pigs, rats, mice, and cows. Arch. Toxicol. 2017, 91, 3857–3872. [Google Scholar] [CrossRef]
- Pierron, A.; Mimoun, S.; Murate, L.S.; Loiseau, N.; Lippi, Y.; Bracarense, A.P.F.; Liaubet, L.; Schatzmayr, G.; Berthiller, F.; Moll, W.D.; et al. Intestinal toxicity of the masked mycotoxin deoxynivalenol-3-β-D-glucoside. Arch. Toxicol. 2016, 90, 2037–2046. [Google Scholar] [CrossRef]
- Broekaert, N.; Devreese, M.; Demeyere, K.; Berthiller, F.; Michlmayr, H.; Varga, E.; Adam, G.; Meyer, E.; Croubels, S. Comparative in vitro cytotoxicity of modified deoxynivalenol on porcine intestinal epithelial cells. Food Chem. Toxicol. 2016, 95, 103–109. [Google Scholar] [CrossRef]
- Eriksen, G.S.; Pettersson, H.; Lindberg, J.E. Absorption, metabolism and excretion of 3-acetyl DON in pigs. Arch. Anim. Nutr. 2003, 57, 335–345. [Google Scholar] [CrossRef]
- Pinton, P.; Tsybulskyy, D.; Lucioli, J.; Laffitte, J.; Callu, P.; Lyazhri, F.; Grosjean, F.; Bracarense, A.P.; Kolf-Clauw, M.; Oswald, I.P. Toxicity of deoxynivalenol and its acetylated derivatives on the intestine: Differential effects on morphology, barrier function, tight junction proteins, and mitogen-activated protein kinases. Toxicol. Sci. 2012, 130, 180–190. [Google Scholar] [CrossRef] [PubMed]
- Wang, S.; Yang, J.; Zhang, B.; Wu, K.; Yang, A.; Li, C.; Zhang, J.; Zhang, C.; Rajput, S.A.; Zhang, N.; et al. Deoxynivalenol impairs porcine intestinal host defense peptide expression in weaned piglets and IPEC-J2 cells. Toxins 2018, 10, 541. [Google Scholar] [CrossRef]
- Wang, S.; Wu, K.; Xue, D.; Zhang, C.; Rajput, S.A.; Qi, D. Mechanism of deoxynivalenol mediated gastrointestinal toxicity: Insights from mitochondrial dysfunction. Food Chem. Toxicol. 2021, 153, 112214. [Google Scholar] [CrossRef]
- Zhang, H.; Deng, X.; Zhou, C.; Wu, W.; Zhang, H. Deoxynivalenol induces inflammation in IPEC-J2 cells by activating P38 Mapk and Erk1/2. Toxins 2020, 12, 180. [Google Scholar] [CrossRef] [PubMed]
- Zhang, Z.; Fan, K.; Meng, J.; Nie, D.; Zhao, Z.; Han, Z. Deoxynivalenol hijacks the pathway of Janus kinase 2/signal transducers and activators of transcription 3 (JAK2/STAT-3) to drive caspase-3-mediated apoptosis in intestinal porcine epithelial cells. Sci. Total Environ. 2023, 864, 161058. [Google Scholar] [CrossRef]
- Cobb, M.H. MAP kinase pathways. Prog. Biophys. Mol. Biol. 1999, 71, 479–500. [Google Scholar] [CrossRef] [PubMed]
- Yue, J.; López, J.M. Understanding MAPK signaling pathways in apoptosis. Int. J. Mol. Sci. 2020, 21, 2346. [Google Scholar] [CrossRef]
- Lucioli, J.; Pinton, P.; Callu, P.; Laffitte, J.; Grosjean, F.; Kolf-Clauw, M.; Oswald, I.P.; Bracarense, A.P.F. The food contaminant deoxynivalenol activates the mitogen activated protein kinases in the intestine: Interest of ex vivo models as an alternative to in vivo experiments. Toxicon 2013, 66, 31–36. [Google Scholar] [CrossRef] [PubMed]
- Pestka, J.J. Mechanisms of deoxynivalenol-induced gene expression and apoptosis. Food Addit. Contam. 2008, 25, 1128–1140. [Google Scholar] [CrossRef] [PubMed]
- Lowell, C.A. Src-family kinases: Rheostats of immune cell signaling. Mol. Immunol. 2004, 41, 631–643. [Google Scholar] [CrossRef]
- Williams, B.R. Signal integration via PKR. Sci. STKE 2001, 2001, re2. [Google Scholar] [CrossRef]
- Zhang, W.; Liu, H.T. MAPK signal pathways in the regulation of cell proliferation in mammalian cells. Cell Res. 2002, 12, 9–18. [Google Scholar] [CrossRef]
- Bae, H.K.; Pestka, J.J. Deoxynivalenol induces p38 interaction with the ribosome in monocytes and macrophages. Toxicol. Sci. 2008, 105, 59–66. [Google Scholar] [CrossRef]
- Yang, G.H.; Jarvis, B.B.; Chung, Y.J.; Pestka, J.J. Apoptosis induction by the satratoxins and other trichothecene mycotoxins: Relationship to ERK, p38 MAPK, and SAPK/JNK activation. Toxicol. Appl. Pharmacol. 2000, 164, 149–160. [Google Scholar] [CrossRef]
- Moon, Y.; Pestka, J.J. Vomitoxin-induced cyclooxygenase-2 gene expression in macrophages mediated by activation of ERK and p38 but not JNK mitogen-activated protein kinases. Toxicol. Sci. 2002, 69, 373–382. [Google Scholar] [CrossRef]
- Wang, X.; Fan, M.; Chu, X.; Zhang, Y.; ur Rahman, S.; Jiang, Y.; Chen, X.; Zhu, D.; Feng, S.; Li, Y.; et al. Deoxynivalenol induces toxicity and apoptosis in piglet hippocampal nerve cells via the MAPK signaling pathway. Toxicon 2018, 155, 1–8. [Google Scholar] [CrossRef] [PubMed]
- Elmore, S. Apoptosis: A review of programmed cell death. Toxicol. Pathol. 2007, 35, 495–516. [Google Scholar] [CrossRef]
- Gozuacik, D.; Kimchi, A. Autophagy as a cell death and tumor suppressor mechanism. Oncogene 2004, 23, 2891–2906. [Google Scholar] [CrossRef] [PubMed]
- Wang, L.; Ye, X.; Zhao, T. The physiological roles of autophagy in the mammalian life cycle. Biol. Rev. 2019, 94, 503–516. [Google Scholar] [CrossRef] [PubMed]
- Prerna, K.; Dubey, V.K. Beclin1-mediated interplay between autophagy and apoptosis: New understanding. Int. J. Biol. Macromol. 2022, 204, 258–273. [Google Scholar] [CrossRef] [PubMed]
- Ma, Y.; Zhang, A.; Shi, Z.; He, C.; Ding, J.; Wang, X.; Ma, J.; Zhang, H. A mitochondria-mediated apoptotic pathway induced by deoxynivalenol in human colon cancer cells. Toxicol. Vitr. 2012, 26, 414–420. [Google Scholar] [CrossRef] [PubMed]
- Zhang, C.; Wang, Y.; Zhang, X.; Zhang, K.; Chen, F.; Fan, J.; Wang, X.; Yang, X. Maintaining the mitochondrial quality control system was a key event of tanshinone IIA against deoxynivalenol-induced intestinal toxicity. Antioxidants 2024, 13, 121. [Google Scholar] [CrossRef]
- Payros, D.; Alassane-Kpembi, I.; Pierron, A.; Loiseau, N.; Pinton, P.; Oswald, I.P. Toxicology of deoxynivalenol and its acetylated and modified forms. Arch. Toxicol. 2016, 90, 2931–2957. [Google Scholar] [CrossRef] [PubMed]
- Pizzino, G.; Irrera, N.; Cucinotta, M.; Pallio, G.; Mannino, F.; Arcoraci, V.; Squadrito, F.; Altavilla, D.; Bitto, A. Oxidative stress: Harms and benefits for human health. Oxid. Med. Cell Longev. 2017, 2017, 8416763. [Google Scholar] [CrossRef]
- Schieber, M.; Chandel, N.S. ROS function in redox signaling and oxidative stress. Curr. Biol. 2014, 24, R453–R462. [Google Scholar] [CrossRef]
- Kang, R.; Li, R.; Dai, P.; Li, Z.; Li, Y.; Li, C. Deoxynivalenol induced apoptosis and inflammation of IPEC-J2 cells by promoting ROS production. Environ. Pollut. 2019, 251, 689–698. [Google Scholar] [CrossRef]
- Ren, Z.; Guo, C.; He, H.; Zuo, Z.; Hu, Y.; Yu, S.; Zhong, Z.; Liu, H.; Zhu, L.; Xu, S.; et al. Effects of deoxynivalenol on mitochondrial dynamics and autophagy in pig spleen lymphocytes. Food Chem. Toxicol. 2020, 140, 111357. [Google Scholar] [CrossRef] [PubMed]
- Harhaji-Trajkovic, L.; Vilimanovich, U.; Kravic-Stevovic, T.; Bumbasirevic, V.; Trajkovic, V. AMPK-mediated autophagy inhibits apoptosis in cisplatin-treated tumour cells. J. Cell Mol. Med. 2009, 13, 3644–3654. [Google Scholar] [CrossRef]
- Sui, X.; Kong, N.; Ye, L.I.; Han, W.; Zhou, J.; Zhang, Q.; He, C.; Pan, H. p38 and JNK MAPK pathways control the balance of apoptosis and autophagy in response to chemotherapeutic agents. Cancer Lett. 2014, 344, 174–179. [Google Scholar] [CrossRef] [PubMed]
- Gu, X.; Guo, W.; Zhao, Y.; Liu, G.; Wu, J.; Chang, C. Deoxynivalenol-induced cytotoxicity and apoptosis in IPEC-J2 cells through the activation of autophagy by inhibiting PI3K-AKT-mTOR signaling pathway. ACS Omega 2019, 4, 18478–18486. [Google Scholar] [CrossRef] [PubMed]
- Zhao, Y.; Guo, W.; Gu, X.; Chang, C.; Wu, J. Repression of deoxynivalenol-triggered cytotoxicity and apoptosis by mannan/β-glucans from yeast cell wall: Involvement of autophagy and PI3K-AKT-mTOR signaling pathway. Int. J. Biol. Macromol. 2020, 164, 1413–1421. [Google Scholar] [CrossRef] [PubMed]
- Sumarah, M.W. The deoxynivalenol challenge. J. Agric. Food Chem. 2022, 70, 9619–9624. [Google Scholar] [CrossRef]
- Gruber-Dorninger, C.; Jenkins, T.; Schatzmayr, G. Global mycotoxin occurrence in feed: A ten-year survey. Toxins 2019, 11, 375. [Google Scholar] [CrossRef]
- Kamle, M.; Mahato, D.K.; Gupta, A.; Pandhi, S.; Sharma, B.; Dhawan, K.; Vasundhara; Mishra, S.; Kumar, M.; Tripathi, A.D.; et al. Deoxynivalenol: An overview on occurrence, chemistry, biosynthesis, health effects and its detection, management, and control strategies in food and feed. Microbiol. Res. 2022, 13, 292–314. [Google Scholar] [CrossRef]
- Zaki, M.M.; El-Midany, S.A.; Shaheen, H.M.; Rizzi, L. Mycotoxins in animals: Occurrence, effects, prevention and management. J. Toxicol. Environ. Health Sci. 2012, 4, 13–28. [Google Scholar] [CrossRef]
- Peter Mshelia, L.; Selamat, J.; Iskandar Putra Samsudin, N.; Rafii, M.Y.; Abdul Mutalib, N.A.; Nordin, N.; Berthiller, F. Effect of temperature, water activity and carbon dioxide on fungal growth and mycotoxin production of acclimatised isolates of Fusarium verticillioides and F. graminearum. Toxins 2020, 12, 478. [Google Scholar] [CrossRef] [PubMed]
- Belizán, M.M.; Gomez, A.D.L.A.; Baptista, Z.P.T.; Jimenez, C.M.; Matías, M.D.H.S.; Catalán, C.A.; Sampietro, D.A. Influence of water activity and temperature on growth and production of trichothecenes by Fusarium graminearum sensu stricto and related species in maize grains. Int. J. Food Microbiol. 2019, 305, 108242. [Google Scholar] [CrossRef] [PubMed]
- Rybecky, A.I.; Chulze, S.N.; Chiotta, M.L. Effect of water activity and temperature on growth and trichothecene production by Fusarium meridionale. Int. J. Food Microbiol. 2018, 285, 69–73. [Google Scholar] [CrossRef]
- Aoki, T.; O’Donnell, K.; Geiser, D.M. Systematics of key phytopathogenic Fusarium species: Current status and future challenges. J. Gen. Plant Pathol. 2014, 80, 189–201. [Google Scholar] [CrossRef]
- Wicklow, D.T.; Weaver, D.K.; Throne, J.E. Fungal colonists of maize grain conditioned at constant temperatures and humidities. J. Stored Prod. Res. 1998, 34, 355–361. [Google Scholar] [CrossRef]
- Thielecke, F.; Nugent, A.P. Contaminants in grain—A major risk for whole grain safety? Nutrients 2018, 10, 1213. [Google Scholar] [CrossRef] [PubMed]
- Mielniczuk, E.; Skwaryło-Bednarz, B. Fusarium head blight, mycotoxins and strategies for their reduction. Agronomy 2020, 10, 509. [Google Scholar] [CrossRef]
- Gallo, A.; Giuberti, G.; Frisvad, J.C.; Bertuzzi, T.; Nielsen, K.F. Review on mycotoxin issues in ruminants: Occurrence in forages, effects of mycotoxin ingestion on health status and animal performance and practical strategies to counteract their negative effects. Toxins 2015, 7, 3057–3111. [Google Scholar] [CrossRef]
- Mesterházy, Á.; Varga, M.; György, A.; Lehoczki-Krsjak, S.; Tóth, B. The role of adapted and non-adapted resistance sources in breeding resistance of winter wheat to Fusarium head blight and deoxynivalenol contamination. World Mycotoxin J. 2018, 11, 539–557. [Google Scholar] [CrossRef]
- Brauer, E.K.; Balcerzak, M.; Rocheleau, H.; Leung, W.; Schernthaner, J.; Subramaniam, R.; Ouellet, T. Genome editing of a deoxynivalenol-induced transcription factor confers resistance to Fusarium graminearum in wheat. Mol. Plant Microbe Interact. 2020, 33, 553–560. [Google Scholar] [CrossRef]
- Champeil, A.; Fourbet, J.F.; Doré, T.; Rossignol, L. Influence of cropping system on Fusarium head blight and mycotoxin levels in winter wheat. Crop Prot. 2004, 23, 531–537. [Google Scholar] [CrossRef]
- Jouany, J.P. Methods for preventing, decontaminating and minimizing the toxicity of mycotoxins in feeds. Anim. Feed Sci. Technol. 2007, 137, 342–362. [Google Scholar] [CrossRef]
- Blandino, M.; Scarpino, V.; Giordano, D.; Sulyok, M.; Krska, R.; Vanara, F.; Reyneri, A. Impact of sowing time, hybrid and environmental conditions on the contamination of maize by emerging mycotoxins and fungal metabolites. Ital. J. Agron. 2017, 12, 928. [Google Scholar] [CrossRef]
- Munkvold, G.P. Cultural and genetic approaches to managing mycotoxins in maize. Annu. Rev. Phytopathol. 2003, 41, 99–116. [Google Scholar] [CrossRef] [PubMed]
- Choo, T.M.; Martin, R.A.; Savard, M.E.; Blackwell, B. Effects of planting date and earliness on deoxynivalenol contamination in barley under natural epidemic conditions. Can. J. Plant Sci. 2014, 94, 1363–1371. [Google Scholar] [CrossRef]
- Arata, G.J.; Martínez, M.; Elguezábal, C.; Rojas, D.; Cristos, D.; Dinolfo, M.I.; Arata, A.F. Effects of sowing date, nitrogen fertilization, and Fusarium graminearum in an Argentinean bread wheat: Integrated analysis of disease parameters, mycotoxin contamination, grain quality, and seed deterioration. J. Food Compos. Anal. 2022, 107, 104364. [Google Scholar] [CrossRef]
- Neme, K.; Mohammed, A. Mycotoxin occurrence in grains and the role of postharvest management as a mitigation strategies. A review. Food Control 2017, 78, 412–425. [Google Scholar] [CrossRef]
- Richard, J.L. Some major mycotoxins and their mycotoxicoses—An overview. Int. J. Food Microbiol. 2007, 119, 3–10. [Google Scholar] [CrossRef] [PubMed]
- Birr, T.; Verreet, J.A.; Klink, H. Prediction of deoxynivalenol and zearalenone in winter wheat grain in a maize-free crop rotation based on cultivar susceptibility and meteorological factors. J. Plant Dis. Prot. 2019, 126, 13–27. [Google Scholar] [CrossRef]
- Kharbikar, L.L.; Dickin, E.T.; Edwards, S.G. Impact of post-anthesis rainfall, fungicide and harvesting time on the concentration of deoxynivalenol and zearalenone in wheat. Food Addit. Contam. A 2015, 32, 2075–2085. [Google Scholar] [CrossRef] [PubMed]
- Xue, A.G.; Frégeau-Reid, J.; Rowsell, J.; Babcock, C.; Hoekstra, G.J.; Sparry, E. Effect of harvesting time on incidence of seed-borne Fusarium spp. in spring wheat in eastern Ontario. Can. J. Plant Sci. 2004, 84, 757–763. [Google Scholar] [CrossRef]
- Kabak, B.; Dobson, A.D.; Var, I.I.L. Strategies to prevent mycotoxin contamination of food and animal feed: A review. Crit. Rev. Food Sci. Nutr. 2006, 46, 593–619. [Google Scholar] [CrossRef] [PubMed]
- Hay, W.T.; McCormick, S.P.; Vaughan, M.M. Effects of atmospheric CO2 and temperature on wheat and corn susceptibility to Fusarium graminearum and deoxynivalenol contamination. Plants 2021, 10, 2582. [Google Scholar] [CrossRef]
- Garcia-Cela, E.; Verheecke-Vaessen, C.; Ósk-Jónsdóttir, I.; Lawson, R.; Magan, N. Growth kinetic parameters and prediction of growth and zearalenone and deoxynivalenol production boundaries by three Fusarium asiaticum strains isolated from wheat. Fermentation 2022, 8, 577. [Google Scholar] [CrossRef]
- Schaafsma, A.W.; Hooker, D.C. Climatic models to predict occurrence of Fusarium toxins in wheat and maize. Int. J. Food Microbiol. 2007, 119, 116–125. [Google Scholar] [CrossRef] [PubMed]
- Ejaz, M.R.; Jaoua, S.; Ahmadi, M.; Shabani, F. An examination of how climate change could affect the future spread of Fusarium spp. around the world, using correlative models to model the changes. Environ. Technol. Innov. 2023, 31, 103177. [Google Scholar] [CrossRef]
- Persson, T.; Eckersten, H.; Elen, O.; Roer Hjelkrem, A.G.; Markgren, J.; Söderström, M.; Börjesson, T. Predicting deoxynivalenol in oats under conditions representing Scandinavian production regions. Food Addit. Contam. A 2017, 34, 1026–1038. [Google Scholar] [CrossRef] [PubMed]
- Delwiche, S.R.; Pearson, T.C.; Brabec, D.L. High-speed optical sorting of soft wheat for reduction of deoxynivalenol. Plant Dis. 2005, 89, 1214–1219. [Google Scholar] [CrossRef]
- Zhang, C.; Zhuang, K.; Chen, L.; Ding, W.; Chen, X.; Shao, L.; Wang, G.; Wang, Y. Reducing deoxynivalenol content in wheat by a combination of gravity separation and milling and characterization of the flours produced. J. Cereal Sci. 2022, 104, 103372. [Google Scholar] [CrossRef]
- Rotter, R.G.; Rotter, B.A.; Thompson, B.K.; Prelusky, D.B.; Trenholm, H.L. Effectiveness of density segregation and sodium carbonate treatment on the detoxification of Fusarium-contaminated corn fed to growing pigs. J. Sci. Food Agric. 1995, 68, 331–336. [Google Scholar] [CrossRef]
- Qi, Y.; Yang, Y.; Hamadou, A.H.; Li, B.; Xu, B. Gentle debranning as a technology to reduce microbial and deoxynivalenol levels in common wheat (Triticum aestivum L.) and its application in milling industry. J. Cereal Sci. 2022, 107, 103518. [Google Scholar] [CrossRef]
- Numanoglu, E.; Gökmen, V.U.R.A.L.; Uygun, U.; Koksel, H. Thermal degradation of deoxynivalenol during maize bread baking. Food Addit. Contam. A 2012, 29, 423–430. [Google Scholar] [CrossRef]
- Pleadin, J.; Babić, J.; Vulić, A.; Kudumija, N.; Aladić, K.; Kiš, M.; Jaki Tkalec, V.; Škrivanko, M.; Lolić, M.; Šubarić, D. The effect of thermal processing on the reduction of deoxynivalenol and zearalenone cereal content. Croat. J. Food Sci. Technol. 2019, 11, 44–51. [Google Scholar] [CrossRef]
- Stadler, D.; Lambertini, F.; Woelflingseder, L.; Schwartz-Zimmermann, H.; Marko, D.; Suman, M.; Berthiller, F.; Krska, R. The influence of processing parameters on the mitigation of deoxynivalenol during industrial baking. Toxins 2019, 11, 317. [Google Scholar] [CrossRef] [PubMed]
- Hole, A.S.; Rud, I.; Sahlstrøm, S.; Ivanova, L.; Eriksen, G.S.; Divon, H.H. Heat-induced reduction of deoxynivalenol and its modified forms during flaking and cooking of oat. World Mycotoxin J. 2022, 15, 45–56. [Google Scholar] [CrossRef]
- Lešnik, M.; Cencič, A.; Vajs, S.; Simončič, A. Milling and bread baking techniques significantly affect the mycotoxin (deoxynivalenol and nivalenol) level in bread. Acta Aliment. 2008, 37, 471–483. [Google Scholar] [CrossRef]
- Giménez, I.; Herrera, M.; Escobar, J.; Ferruz, E.; Lorán, S.; Herrera, A.; Ariño, A. Distribution of deoxynivalenol and zearalenone in milled germ during wheat milling and analysis of toxin levels in wheat germ and wheat germ oil. Food Control 2013, 34, 268–273. [Google Scholar] [CrossRef]
- Khatibi, P.A.; Berger, G.; Wilson, J.; Brooks, W.S.; McMaster, N.; Griffey, C.A.; Hicks, K.B.; Nghiem, N.P.; Schmale, D.G., III. A comparison of two milling strategies to reduce the mycotoxin deoxynivalenol in barley. J. Agric. Food Chem. 2014, 62, 4204–4213. [Google Scholar] [CrossRef]
- Scudamore, K.A.; Guy, R.C.; Kelleher, B.; MacDonald, S.J. Fate of the fusarium mycotoxins, deoxynivalenol, nivalenol and zearalenone, during extrusion of wholemeal wheat grain. Food Addit. Contam. 2008, 25, 331–337. [Google Scholar] [CrossRef]
- Aziz, N.H.; Attia, E.S.; Farag, S.A. Effect of gamma-irradiation on the natural occurrence of Fusarium mycotoxins in wheat, flour and bread. Food/Nahrung 1997, 41, 34–37. [Google Scholar] [CrossRef]
- Murata, H.; Mitsumatsu, M.; Shimada, N. Reduction of feed-contaminating mycotoxins by ultraviolet irradiation: An in vitro study. Food Addit. Contam. 2008, 25, 1107–1110. [Google Scholar] [CrossRef] [PubMed]
- Chen, D.; Chen, P.; Cheng, Y.; Peng, P.; Liu, J.; Ma, Y.; Liu, Y.; Ruan, R. Deoxynivalenol decontamination in raw and germinating barley treated by plasma-activated water and intense pulsed light. Food Bioprocess Technol. 2019, 12, 246–254. [Google Scholar] [CrossRef]
- Feizollahi, E.; Arshad, M.; Yadav, B.; Ullah, A.; Roopesh, M.S. Degradation of deoxynivalenol by atmospheric-pressure cold plasma and sequential treatments with heat and UV light. Food Eng. Rev. 2021, 13, 696–705. [Google Scholar] [CrossRef]
- Liu, Y.; Li, M.; Liu, Y.; Bai, F.; Bian, K. Effects of pulsed ultrasound at 20 kHz on the sonochemical degradation of mycotoxins. World Mycotoxin J. 2019, 12, 357–366. [Google Scholar] [CrossRef]
- Liu, M.; Zhao, L.; Gong, G.; Zhang, L.; Shi, L.; Dai, J.; Han, Y.; Wu, Y.; Khalil, M.M.; Sun, L. Invited review: Remediation strategies for mycotoxin control in feed. J. Anim. Sci. Biotechnol. 2022, 13, 19. [Google Scholar] [CrossRef] [PubMed]
- Pascale, M.; Logrieco, A.F.; Lippolis, V.; De Girolamo, A.; Cervellieri, S.; Lattanzio, V.M.; Ciasca, B.; Vega, A.; Reichel, M.; Graeber, M.; et al. Industrial-scale cleaning solutions for the reduction of Fusarium toxins in maize. Toxins 2022, 14, 728. [Google Scholar] [CrossRef] [PubMed]
- Shanakhat, H.; Sorrentino, A.; Raiola, A.; Romano, A.; Masi, P.; Cavella, S. Current methods for mycotoxins analysis and innovative strategies for their reduction in cereals: An overview. J. Sci. Food Agric. 2018, 98, 4003–4013. [Google Scholar] [CrossRef]
- Trenholm, H.L.; Charmley, L.L.; Prelusky, D.B.; Warner, R.M. Washing procedures using water or sodium carbonate solutions for the decontamination of three cereals contaminated with deoxynivalenol and zearalenone. J. Agric. Food Chem. 1992, 40, 2147–2151. [Google Scholar] [CrossRef]
- Yener, S.; Köksel, H. Effects of washing and drying applications on deoxynivalenol and zearalenone levels in wheat. World Mycotoxin J. 2013, 6, 335–341. [Google Scholar] [CrossRef]
- Schaafsma, A.W.; Frégeau-Reid, J.; Phibbs, T. Distribution of deoxynivalenol in Gibberella-infected food-grade corn kernels. Can. J. Plant Sci. 2004, 84, 909–913. [Google Scholar] [CrossRef]
- Vučković, J.; Bodroža-Solarov, M.; Vujić, Đ.; Bočarov-Stančić, A.; Bagi, F. The protective effect of hulls on the occurrence of Alternaria mycotoxins in spelt wheat. J. Sci. Food Agric. 2013, 93, 1996–2001. [Google Scholar] [CrossRef]
- Trenholm, H.L.; Charmley, L.L.; Prelusky, D.B.; Warner, R.M. Two physical methods for the decontamination of four cereals contaminated with deoxynivalenol and zearalenone. J. Agric. Food Chem. 1991, 39, 356–360. [Google Scholar] [CrossRef]
- Mousia, Z.; Edherly, S.; Pandiella, S.S.; Webb, C. Effect of wheat pearling on flour quality. Food Res. Int. 2004, 37, 449–459. [Google Scholar] [CrossRef]
- Rios, G.; Pinson-Gadais, L.; Abécassis, J.; Zakhia-Rozis, N.; Lullien-Pellerin, V. Assessment of dehulling efficiency to reduce deoxynivalenol and Fusarium level in durum wheat grains. J. Cereal Sci. 2009, 49, 387–392. [Google Scholar] [CrossRef]
- Yumbe-Guevara, B.E.; Imoto, T.; Yoshizawa, T. Effects of heating procedures on deoxynivalenol, nivalenol and zearalenone levels in naturally contaminated barley and wheat. Food Addit. Contam. 2003, 20, 1132–1140. [Google Scholar] [CrossRef] [PubMed]
- Pronyk, C.; Cenkowski, S.; Abramson, D. Superheated steam reduction of deoxynivalenol in naturally contaminated wheat kernels. Food Control 2006, 17, 789–796. [Google Scholar] [CrossRef]
- Liu, Y.; Li, M.; Bian, K.; Guan, E.; Liu, Y.; Lu, Y. Reduction of deoxynivalenol in wheat with superheated steam and its effects on wheat quality. Toxins 2019, 11, 414. [Google Scholar] [CrossRef] [PubMed]
- Kushiro, M. Effects of milling and cooking processes on the deoxynivalenol content in wheat. Int. J. Mol. Sci. 2008, 9, 2127–2145. [Google Scholar] [CrossRef]
- Young, J.C.; Fulcher, R.G.; Hayhoe, J.H.; Scott, P.M.; Dexter, J.E. Effect of milling and baking on deoxynivalenol (vomitoxin) content of eastern Canadian wheats. J. Agric. Food Chem. 1984, 32, 659–664. [Google Scholar] [CrossRef]
- Abbas, H.K.; Mirocha, C.J.; Pawlosky, R.J.; Pusch, D.J. Effect of cleaning, milling, and baking on deoxynivalenol in wheat. Appl. Environ. Microbiol. 1985, 50, 482–486. [Google Scholar] [CrossRef] [PubMed]
- Zhang, H.; Wang, B. Fate of deoxynivalenol and deoxynivalenol-3-glucoside during wheat milling and Chinese steamed bread processing. Food Control 2014, 44, 86–91. [Google Scholar] [CrossRef]
- Wu, Q.; Lohrey, L.; Cramer, B.; Yuan, Z.; Humpf, H.U. Impact of physicochemical parameters on the decomposition of deoxynivalenol during extrusion cooking of wheat grits. J. Agric. Food Chem. 2011, 59, 12480–12485. [Google Scholar] [CrossRef]
- Wolf-Hall, C.E.; Hanna, M.A.; Bullerman, L.B. Stability of deoxynivalenol in heat-treated foods. J. Food Prot. 1999, 62, 962–964. [Google Scholar] [CrossRef]
- Cetin, Y.; Bullerman, L.B. Confirmation of reduced toxicity of deoxynivalenol in extrusion-processed corn grits by the MTT bioassay. J. Agric. Food Chem. 2006, 54, 1949–1955. [Google Scholar] [CrossRef] [PubMed]
- Hajnal, E.J.; Babič, J.; Pezo, L.; Banjac, V.; Čolović, R.; Kos, J.; Krulj, J.; Pavšič-Vrtač, K.; Jakovac-Strajn, B. Effects of extrusion process on Fusarium and Alternaria mycotoxins in whole grain triticale flour. LWT 2022, 155, 112926. [Google Scholar] [CrossRef]
- Alam, M.S.; Kaur, J.; Khaira, H.; Gupta, K. Extrusion and extruded products: Changes in quality attributes as affected by extrusion process parameters: A review. Crit. Rev. Food Sci. Nutr. 2016, 56, 445–473. [Google Scholar] [CrossRef]
- Hooshmand, H.; Klopfenstein, C.F. Effects of gamma irradiation on mycotoxin disappearance and amino acid contents of corn, wheat, and soybeans with different moisture contents. Plant Foods Hum. Nutr. 1995, 47, 227–238. [Google Scholar] [CrossRef]
- Li, M.; Guan, E.; Bian, K. Detoxification of Deoxynivalenol by 60Co γ-ray irradiation and toxicity analyses of radiolysis products. J. AOAC Int. 2019, 102, 1749–1755. [Google Scholar] [CrossRef]
- Stepanik, T.; Kost, D.; Nowicki, T.; Gaba, D. Effects of electron beam irradiation on deoxynivalenol levels in distillers dried grain and solubles and in production intermediates. Food Addit. Contam. 2007, 24, 1001–1006. [Google Scholar] [CrossRef] [PubMed]
- Kottapalli, B.; Wolf-Hall, C.E.; Schwarz, P. Effect of electron-beam irradiation on the safety and quality of Fusarium-infected malting barley. Int. J. Food Microbiol. 2006, 110, 224–231. [Google Scholar] [CrossRef]
- Feizollahi, E.; Roopesh, M.S. Mechanisms of deoxynivalenol (DON) degradation during different treatments: A review. Crit. Rev. Food Sci. Nutr. 2022, 62, 5903–5924. [Google Scholar] [CrossRef] [PubMed]
- Yang, K.; Li, K.; Pan, L.; Luo, X.; Xing, J.; Wang, J.; Wang, L.; Wang, R.; Zhai, Y.; Chen, Z. Effect of ozone and electron beam irradiation on degradation of zearalenone and ochratoxin A. Toxins 2020, 12, 138. [Google Scholar] [CrossRef] [PubMed]
- Morehouse, K.; Komolprasert, V. Overview of Irradiation of Food and Packaging. US. Food & Drug Administration (FDA). Available online: https://www.fda.gov/food/irradiation-food-packaging/overview-irradiation-food-and-packaging (accessed on 7 July 2020).
- Murata, H.; Yamaguchi, D.; Nagai, A.; Shimada, N. Reduction of deoxynivalenol contaminating corn silage by short-term ultraviolet irradiation: A pilot study. J. Vet. Med. Sci. 2011, 73, 1059–1060. [Google Scholar] [CrossRef] [PubMed]
- Popović, V.; Fairbanks, N.; Pierscianowski, J.; Biancaniello, M.; Zhou, T.; Koutchma, T. Feasibility of 3D UV-C treatment to reduce fungal growth and mycotoxin loads on maize and wheat kernels. Mycotoxin Res. 2018, 34, 211–221. [Google Scholar] [CrossRef]
- Wang, H.; Mao, J.; Zhang, Z.; Zhang, Q.; Zhang, L.; Zhang, W.; Li, P. Photocatalytic degradation of deoxynivalenol over dendritic-like α-Fe2O3 under visible light irradiation. Toxins 2019, 11, 105. [Google Scholar] [CrossRef] [PubMed]
- He, P.; Zhao, Z.; Tan, Y.; E, H.; Zuo, M.; Wang, J.; Yang, J.; Cui, S.; Yang, X. Photocatalytic degradation of deoxynivalenol using cerium doped titanium dioxide under ultraviolet light irradiation. Toxins 2021, 13, 481. [Google Scholar] [CrossRef] [PubMed]
- Hojnik, N.; Cvelbar, U.; Tavčar-Kalcher, G.; Walsh, J.L.; Križaj, I. Mycotoxin decontamination of food: Cold atmospheric pressure plasma versus “classic” decontamination. Toxins 2017, 9, 151. [Google Scholar] [CrossRef] [PubMed]
- Drishya, C.; Yoha, K.S.; Perumal, A.B.; Moses, J.A.; Anandharamakrishnan, C.; Balasubramaniam, V.M. Impact of nonthermal food processing techniques on mycotoxins and their producing fungi. Int. J. Food Sci. Technol. 2022, 57, 2140–2148. [Google Scholar] [CrossRef]
- Ott, L.C.; Appleton, H.J.; Shi, H.; Keener, K.; Mellata, M. High voltage atmospheric cold plasma treatment inactivates Aspergillus flavus spores and deoxynivalenol toxin. Food Microbiol. 2021, 95, 103669. [Google Scholar] [CrossRef]
- Hojnik, N.; Modic, M.; Tavčar-Kalcher, G.; Babič, J.; Walsh, J.L.; Cvelbar, U. Mycotoxin decontamination efficacy of atmospheric pressure air plasma. Toxins 2019, 11, 219. [Google Scholar] [CrossRef] [PubMed]
- Zhang, M.; Ye, Z.; Xing, C.; Chen, H.; Zhang, J.; Yan, W. Degradation of deoxynivalenol in wheat by double dielectric barrier discharge cold plasma: Identification and pathway of degradation products. J. Sci. Food Agric. 2023, 103, 2347–2356. [Google Scholar] [CrossRef]
- Feizollahi, E.; Iqdiam, B.; Vasanthan, T.; Thilakarathna, M.S.; Roopesh, M.S. Effects of atmospheric-pressure cold plasma treatment on deoxynivalenol degradation, quality parameters, and germination of barley grains. Appl. Sci. 2020, 10, 3530. [Google Scholar] [CrossRef]
- Herianto, S.; Arcega, R.D.; Hou, C.Y.; Chao, H.R.; Lee, C.C.; Lin, C.M.; Mahmudiono, T.; Chen, H.L. Chemical decontamination of foods using non-thermal plasma-activated water. Sci. Total Environ. 2023, 874, 162235. [Google Scholar] [CrossRef]
- Herianto, S.; Hou, C.Y.; Lin, C.M.; Chen, H.L. Nonthermal plasma-activated water: A comprehensive review of this new tool for enhanced food safety and quality. Compr. Rev. Food Sci. Food Saf. 2021, 20, 583–626. [Google Scholar] [CrossRef] [PubMed]
- Qiu, Y.; Chen, X.; Zhang, J.; Ding, Y.; Lyu, F. Effects of tempering with plasma activated water on the degradation of deoxynivalenol and quality properties of wheat. Food Res. Int. 2022, 162, 112070. [Google Scholar] [CrossRef] [PubMed]
- Feizollahi, E.; Basu, U.; Fredua-Agyeman, R.; Jeganathan, B.; Tonoyan, L.; Strelkov, S.E.; Vasanthan, T.; Siraki, A.G.; Roopesh, M.S. Effect of plasma-activated water bubbles on Fusarium graminearum, deoxynivalenol, and germination of naturally infected barley during steeping. Toxins 2023, 15, 124. [Google Scholar] [CrossRef] [PubMed]
- Patra, A.; Prasath, V.A.; Pandiselvam, R.; Sutar, P.P.; Jeevarathinam, G. Effect of plasma activated water (PAW) on physicochemical and functional properties of foods. Food Control 2022, 142, 109268. [Google Scholar] [CrossRef]
- Peng, W.X.; Marchal, J.L.M.; Van der Poel, A.F.B. Strategies to prevent and reduce mycotoxins for compound feed manufacturing. Anim Feed Sci. Technol. 2018, 237, 129–153. [Google Scholar] [CrossRef]
- Young, J.C.; Subryan, L.M.; Potts, D.; McLaren, M.E.; Gobran, F.H. Reduction in levels of deoxynivalenol in contaminated wheat by chemical and physical treatment. J. Agric. Food Chem. 1986, 34, 461–465. [Google Scholar] [CrossRef]
- Borràs-Vallverdú, B.; Ramos, A.J.; Marín, S.; Sanchis, V.; Rodríguez-Bencomo, J.J. Deoxynivalenol degradation in wheat kernels by exposition to ammonia vapours: A tentative strategy for detoxification. Food Control 2020, 118, 107444. [Google Scholar] [CrossRef]
- Young, J.C.; Trenholm, H.L.; Friend, D.W.; Prelusky, D.B. Detoxification of deoxynivalenol with sodium bisulfite and evaluation of the effects when pure mycotoxin or contaminated corn was treated and given to pigs. J. Agric. Food Chem. 1987, 35, 259–261. [Google Scholar] [CrossRef]
- Dänicke, S.; Valenta, H.; Gareis, M.; Lucht, H.W.; Von Reichenbach, H. On the effects of a hydrothermal treatment of deoxynivalenol (DON)-contaminated wheat in the presence of sodium metabisulphite (Na2S2O5) on DON reduction and on piglet performance. Anim. Feed Sci. Technol. 2005, 118, 93–108. [Google Scholar] [CrossRef]
- Lake, J.; Browers, M.; Yin, X.S.; Speers, R.A. Use of sodium bisulfite as a method to reduce DON levels in barley during malting. J. Am. Soc. Brew. Chem. 2007, 65, 172–176. [Google Scholar] [CrossRef]
- Dänicke, S.; Pahlow, G.; Goyarts, T.; Rohweder, D.; Wilkerling, K.; Breves, G.; Valenta, H.; Döll, S. Effects of increasing concentrations of sodium metabisulphite (Na2S2O5, SBS) on deoxynivalenol (DON) concentration and microbial spoilage of triticale kernels preserved without and with propionic acid at various moisture contents. Mycotoxin Res. 2009, 25, 215–223. [Google Scholar] [CrossRef] [PubMed]
- Rempe, I.; Brezina, U.; Kersten, S.; Dänicke, S. Effects of a Fusarium toxin-contaminated maize treated with sodium metabisulphite, methylamine and calcium hydroxide in diets for female piglets. Arch. Anim. Nutr. 2013, 67, 314–329. [Google Scholar] [CrossRef] [PubMed]
- Paulick, M.; Rempe, I.; Kersten, S.; Schatzmayr, D.; Schwartz-Zimmermann, H.E.; Dänicke, S. Effects of increasing concentrations of sodium sulfite on deoxynivalenol and deoxynivalenol sulfonate concentrations of maize kernels and maize meal preserved at various moisture content. Toxins 2015, 7, 791–811. [Google Scholar] [CrossRef] [PubMed]
- Paulick, M.; Winkler, J.; Kersten, S.; Schatzmayr, D.; Frahm, J.; Kluess, J.; Schwartz-Zimmermann, H.E.; Dänicke, S. Effects of oral exposure to sodium sulphite-treated deoxynivalenol (DON)-contaminated maize on performance and plasma concentrations of toxins and metabolites in piglets. Arch. Anim. Nutr. 2018, 72, 42–57. [Google Scholar] [CrossRef]
- Tran, A.T.; Kluess, J.; Kersten, S.; Berk, A.; Paulick, M.; Schatzmayr, D.; Dänicke, S.; Frahm, J. Sodium sulfite (SoS) as decontamination strategy for Fusarium-toxin contaminated maize and its impact on immunological traits in pigs challenged with lipopolysaccharide (LPS). Mycotoxin Res. 2020, 36, 429–442. [Google Scholar] [CrossRef]
- Abramson, D.; House, J.D.; Nyachoti, C.M. Reduction of deoxynivalenol in barley by treatment with aqueous sodium carbonate and heat. Mycopathologia 2005, 160, 297–301. [Google Scholar] [CrossRef] [PubMed]
- Li, M.M.; Guan, E.Q.; Bian, K. Effect of ozone treatment on deoxynivalenol and quality evaluation of ozonised wheat. Food Addit. Contam. A 2015, 32, 544–553. [Google Scholar] [CrossRef] [PubMed]
- Wang, L.; Luo, Y.; Luo, X.; Wang, R.; Li, Y.; Li, Y.; Shao, H.; Chen, Z. Effect of deoxynivalenol detoxification by ozone treatment in wheat grains. Food Control 2016, 66, 137–144. [Google Scholar] [CrossRef]
- Alexandre, A.P.; Castanha, N.; Calori-Domingues, M.A.; Augusto, P.E. Ozonation of whole wheat flour and wet milling effluent: Degradation of deoxynivalenol (DON) and rheological properties. J. Environ. Sci. Health B 2017, 52, 516–524. [Google Scholar] [CrossRef] [PubMed]
- Piemontese, L.; Messia, M.C.; Marconi, E.; Falasca, L.; Zivoli, R.; Gambacorta, L.; Perrone, G.; Solfrizzo, M. Effect of gaseous ozone treatments on DON, microbial contaminants and technological parameters of wheat and semolina. Food Addit. Contam. A 2018, 35, 761–772. [Google Scholar] [CrossRef]
- Ren, D.; Diao, E.; Hou, H.; Xie, P.; Mao, R.; Dong, H.; Qian, S. Cytotoxicity of deoxynivalenol after being exposed to gaseous ozone. Toxins 2019, 11, 639. [Google Scholar] [CrossRef] [PubMed]
- Zhuang, K.; Zhang, C.; Zhang, W.; Xu, W.; Tao, Q.; Wang, G.; Wang, Y.; Ding, W. Effect of different ozone treatments on the degradation of deoxynivalenol and flour quality in Fusarium-contaminated wheat. Cyta-J. Food 2020, 18, 776–784. [Google Scholar] [CrossRef]
- Chen, S.; Li, L.; Hao, Y.; Wang, J.; Liao, Z.; Shan, X.; Zhang, Y.; Chen, J. Study on the degradation of deoxynivalenol in corn and wheat both in the lab and barn by low concentration ozone. J. Food Process. Preserv. 2022, 46, e15833. [Google Scholar]
- Dänicke, S.; Kersten, S.; Valenta, H.; Breves, G. Inactivation of deoxynivalenol-contaminated cereal grains with sodium metabisulfite: A review of procedures and toxicological aspects. Mycotoxin Res. 2012, 28, 199–218. [Google Scholar] [CrossRef]
- Dänicke, S.; Hegewald, A.K.; Kahlert, S.; Kluess, J.; Rothkötter, H.J.; Breves, G.; Döll, S. Studies on the toxicity of deoxynivalenol (DON), sodium metabisulfite, DON-sulfonate (DONS) and de-epoxy-DON for porcine peripheral blood mononuclear cells and the Intestinal Porcine Epithelial Cell lines IPEC-1 and IPEC-J2, and on effects of DON and DONS on piglets. Food Chem. Toxicol. 2010, 48, 2154–2162. [Google Scholar]
- US Food and Drug Administration. Temperatures and Chilling and Freezing Procedures. In Code of Federal Regulations, Title 9, Part 381.66, Poultry Products; US Food and Drug Administration: Silver Spring, MD, USA, 1997. [Google Scholar]
- McKenzie, K.S.; Kubena, L.F.; Denvir, A.J.; Rogers, T.D.; Hitchens, G.D.; Bailey, R.H.; Harvey, R.B.; Buckley, S.A.; Phillips, T.D. Aflatoxicosis in turkey poults is prevented by treatment of naturally contaminated corn with ozone generated by electrolysis. Poul. Sci. 1998, 77, 1094–1102. [Google Scholar] [CrossRef]
- Sun, C.; Ji, J.; Wu, S.; Sun, C.; Pi, F.; Zhang, Y.; Tang, L.; Sun, X. Saturated aqueous ozone degradation of deoxynivalenol and its application in contaminated grains. Food Control 2016, 69, 185–190. [Google Scholar] [CrossRef]
- Santos Alexandre, A.P.; Vela-Paredes, R.S.; Santos, A.S.; Costa, N.S.; Canniatti-Brazaca, S.G.; Calori-Domingues, M.A.; Augusto, P.E.D. Ozone treatment to reduce deoxynivalenol (DON) and zearalenone (ZEN) contamination in wheat bran and its impact on nutritional quality. Food Addit. Contam. A 2018, 35, 1189–1199. [Google Scholar] [CrossRef]
- Wang, L.; Shao, H.; Luo, X.; Wang, R.; Li, Y.; Li, Y.; Luo, Y.; Chen, Z. Effect of ozone treatment on deoxynivalenol and wheat quality. PLoS ONE 2016, 11, e0147613. [Google Scholar] [CrossRef]
- Krstović, S.; Krulj, J.; Jakšić, S.; Bočarov-Stančić, A.; Jajić, I. Ozone as decontaminating agent for ground corn containing deoxynivalenol, zearalenone, and ochratoxin A. Cereal Chem. 2021, 98, 135–143. [Google Scholar] [CrossRef]
- Dubois, M.; Coste, C.; Despres, A.G.; Efstathiou, T.; Nio, C.; Dumont, E.; Parent-Massin, D. Safety of Oxygreen®, an ozone treatment on wheat grains. Part 2. Is there a substantial equivalence between Oxygreen-treated wheat grains and untreated wheat grains? Food Addit. Contam. 2006, 23, 1–15. [Google Scholar] [CrossRef] [PubMed]
- Martínez-Gallegos, J.F.; Jurado-Alameda, E.; Carrasquilla-Carmona, J.L.; Jiménez-Pérez, J.L.; Romero-Pareja, P.M. Characterization of the ozone effect over an α-amylase from Bacillus licheniformis. Biochem. Eng. J. 2014, 85, 119–124. [Google Scholar] [CrossRef]
- Méndez-Albores, A.; Martínez-Bustos, F.; Gaytán-Martínez, M.; Moreno-Martínez, E. Effect of lactic and citric acid on the stability of B-aflatoxins in extrusion-cooked sorghum. Lett. Appl. Microbiol. 2008, 47, 1–7. [Google Scholar] [CrossRef] [PubMed]
- Safara, M.; Zaini, F.; Hashemi, S.J.; Mahmoudi, M.; Khosravi, A.R.; Shojai-Aliabadi, F. Aflatoxin detoxification in rice using citric acid. Iran. J. Public Health 2010, 39, 24. [Google Scholar] [PubMed]
- Humer, E.; Lucke, A.; Harder, H.; Metzler-Zebeli, B.U.; Böhm, J.; Zebeli, Q. Effects of citric and lactic acid on the reduction of deoxynivalenol and its derivatives in feeds. Toxins 2016, 8, 285. [Google Scholar] [CrossRef]
- Fuchs, E.; Binder, E.M.; Heidler, D.; Krska, R. Structural characterization of metabolites after the microbial degradation of type A trichothecenes by the bacterial strain BBSH 797. Food Addit. Contam. 2002, 19, 379–386. [Google Scholar] [CrossRef]
- Sayyari, A.; Fæste, C.K.; Hansen, U.; Uhlig, S.; Framstad, T.; Schatzmayr, D.; Sivertsen, T. Effects and biotransformation of the mycotoxin deoxynivalenol in growing pigs fed with naturally contaminated pelleted grains with and without the addition of Coriobacteriaceum DSM 11798. Food Addit. Contam. A 2018, 35, 1394–1409. [Google Scholar] [CrossRef] [PubMed]
- Guan, S.; He, J.; Young, J.C.; Zhu, H.; Li, X.Z.; Ji, C.; Zhou, T. Transformation of trichothecene mycotoxins by microorganisms from fish digesta. Aquaculture 2009, 290, 290–295. [Google Scholar] [CrossRef]
- Yu, H.; Zhou, T.; Gong, J.; Young, C.; Su, X.; Li, X.Z.; Zhu, H.; Tsao, R.; Yang, R. Isolation of deoxynivalenol-transforming bacteria from the chicken intestines using the approach of PCR-DGGE guided microbial selection. BMC Microbiol. 2010, 10, 182. [Google Scholar] [CrossRef]
- Li, F.; Wang, J.; Huang, L.; Chen, H.; Wang, C. Effects of adding Clostridium sp. WJ06 on intestinal morphology and microbial diversity of growing pigs fed with natural deoxynivalenol contaminated wheat. Toxins 2017, 9, 383. [Google Scholar] [CrossRef]
- Gao, X.; Mu, P.; Wen, J.; Sun, Y.; Chen, Q.; Deng, Y. Detoxification of trichothecene mycotoxins by a novel bacterium, Eggerthella sp. DII-9. Food Chem. Toxicol. 2018, 112, 310–319. [Google Scholar] [CrossRef] [PubMed]
- Gao, X.; Mu, P.; Zhu, X.; Chen, X.; Tang, S.; Wu, Y.; Miao, X.; Wang, X.; Wen, J.; Deng, Y. Dual function of a novel bacterium, Slackia sp. D-G6: Detoxifying deoxynivalenol and producing the natural estrogen analogue, equol. Toxins 2020, 12, 85. [Google Scholar] [CrossRef]
- Wu, Y.; Zhao, C.; Song, G.; Shen, H.; Li, X.; Ma, X.; Tan, B.; Yin, Y.; Jiang, Q. YM-1: A novel deoxynivalenol-detoxifying bacterial consortium from intestines of free-range chickens. Ann. Agric. Sci. 2023, 68, 87–95. [Google Scholar] [CrossRef]
- Islam, R.; Zhou, T.; Christopher Young, J.; Goodwin, P.H.; Peter Pauls, K. Aerobic and anaerobic de-epoxydation of mycotoxin deoxynivalenol by bacteria originating from agricultural soil. World J. Microbiol. Biotechnol. 2012, 28, 7–13. [Google Scholar] [CrossRef]
- He, W.J.; Yuan, Q.S.; Zhang, Y.B.; Guo, M.W.; Gong, A.D.; Zhang, J.B.; Wu, A.B.; Huang, T.; Qu, B.; Li, H.P.; et al. Aerobic de-epoxydation of trichothecene mycotoxins by a soil bacterial consortium isolated using in situ soil enrichment. Toxins 2016, 8, 277. [Google Scholar] [CrossRef] [PubMed]
- He, W.J.; Shi, M.M.; Peng, Y.; Tao, H.; Yuan, Q.S.; Yi, S.Y.; Wu, A.B.; Li, H.P.; Gao, C.B.; Zhang, J.B.; et al. Novel soil bacterium strain Desulfitobacterium sp. PGC-3-9 detoxifies trichothecene mycotoxins in wheat via de-epoxidation under aerobic and anaerobic conditions. Toxins 2020, 12, 363. [Google Scholar] [CrossRef] [PubMed]
- Völkl, A.; Vogler, B.; Schollenberger, M.; Karlovsky, P. Microbial detoxification of mycotoxin deoxynivalenol. J. Basic Microbiol. 2004, 44, 147–156. [Google Scholar] [CrossRef] [PubMed]
- Wang, G.; Wang, Y.; Ji, F.; Xu, L.; Yu, M.; Shi, J.; Xu, J. Biodegradation of deoxynivalenol and its derivatives by Devosia insulae A16. Food Chem. 2019, 276, 436–442. [Google Scholar] [CrossRef]
- Zhang, J.; Qin, X.; Guo, Y.; Zhang, Q.; Ma, Q.; Ji, C.; Zhao, L. Enzymatic degradation of deoxynivalenol by a novel bacterium, Pelagibacterium halotolerans ANSP101. Food Chem. Toxicol. 2020, 140, 111276. [Google Scholar] [CrossRef]
- Wang, Y.; Wang, G.; Dai, Y.; Wang, Y.; Lee, Y.W.; Shi, J.; Xu, J. Biodegradation of deoxynivalenol by a novel microbial consortium. Front. Microbiol. 2020, 10, 2964. [Google Scholar] [CrossRef]
- Wang, G.; Wang, Y.; Man, H.; Lee, Y.W.; Shi, J.; Xu, J. Metabolomics-guided analysis reveals a two-step epimerization of deoxynivalenol catalyzed by the bacterial consortium IFSN-C1. Appl. Microbiol. Biotechnol. 2020, 104, 6045–6056. [Google Scholar] [CrossRef] [PubMed]
- Tang, Y.; Xiao, D.; Liu, C. Two-step epimerization of deoxynivalenol by quinone-dependent dehydrogenase and Candida parapsilosis ACCC 20221. Toxins 2023, 15, 286. [Google Scholar] [CrossRef] [PubMed]
- Wang, Y.; Hu, J.; Dai, Y.; Wang, Y.; Shi, J.; Wang, G.; Xu, J.; De Saeger, S. Design and characterization of an artificial two-strain bacterial consortium for the efficient biodegradation of deoxynivalenol. Biol. Control 2023, 179, 105172. [Google Scholar] [CrossRef]
- Wang, Y.; Zhao, D.; Zhang, W.; Wang, S.; Huang, K.; Guo, B. Biotransformation of deoxynivalenol by a dual-member bacterial consortium isolated from Tenebrio molitor larval feces. Toxins 2023, 15, 492. [Google Scholar] [CrossRef]
- Wang, Y.; Zhao, D.; Zhang, W.; Wang, S.; Wu, Y.; Wang, S.; Yang, Y.; Guo, B. Four PQQ-dependent alcohol dehydrogenases responsible for the oxidative detoxification of deoxynivalenol in a novel bacterium Ketogulonicigenium vulgare D3_3 originated from the feces of Tenebrio molitor Larvae. Toxins 2023, 15, 367. [Google Scholar] [CrossRef]
- Murtaza, B.; Li, X.; Dong, L.; Saleemi, M.K.; Iqbal, M.; Majeed, S.; Ali, A.; Li, G.; Jin, B.; Wang, L.; et al. In-vitro assessment of a novel plant rhizobacterium, Citrobacter freundii, for degrading and biocontrol of food mycotoxin deoxynivalenol. Toxicon 2023, 227, 107095. [Google Scholar] [CrossRef]
- Ikunaga, Y.; Sato, I.; Grond, S.; Numaziri, N.; Yoshida, S.; Yamaya, H.; Hiradate, S.; Hasegawa, M.; Toshima, H.; Koitabashi, M.; et al. Nocardioides sp. strain WSN05-2, isolated from a wheat field, degrades deoxynivalenol, producing the novel intermediate 3-epi-deoxynivalenol. Appl. Microbiol. Biotechnol. 2011, 89, 419–427. [Google Scholar] [CrossRef]
- He, J.W.; Hassan, Y.I.; Perilla, N.; Li, X.Z.; Boland, G.J.; Zhou, T. Bacterial epimerization as a route for deoxynivalenol detoxification: The influence of growth and environmental conditions. Front. Microbiol. 2016, 7, 572. [Google Scholar] [CrossRef] [PubMed]
- Wang, Y.; Zhang, H.H.; Zhao, C.; Han, Y.T.; Liu, Y.C.; Zhang, X.L. Isolation and characterization of a novel deoxynivalenol-transforming strain Paradevosia shaoguanensis DDB001 from wheat field soil. Lett. Appl. Microbiol. 2017, 65, 414–422. [Google Scholar] [CrossRef]
- Wilson, N.M.; McMaster, N.; Gantulga, D.; Soyars, C.; McCormick, S.P.; Knott, K.; Senger, R.S.; Schmale, D.G. Modification of the mycotoxin deoxynivalenol using microorganisms isolated from environmental samples. Toxins 2017, 9, 141. [Google Scholar] [CrossRef]
- Zhai, Y.; Zhong, L.; Gao, H.; Lu, Z.; Bie, X.; Zhao, H.; Zhang, C.; Lu, F. Detoxification of deoxynivalenol by a mixed culture of soil bacteria with 3-epi-deoxynivalenol as the main intermediate. Front. Microbiol. 2019, 10, 2172. [Google Scholar] [CrossRef]
- Zhang, H.; Zhang, H.; Qin, X.; Wang, X.; Wang, Y.; Bin, Y.; Xie, X.; Zheng, F.; Luo, H. Biodegradation of deoxynivalenol by Nocardioides sp. ZHH-013: 3-keto-deoxynivalenol and 3-epi-deoxynivalenol as intermediate products. Front. Microbiol. 2021, 12, 658421. [Google Scholar] [CrossRef]
- Gao, H.; Niu, J.; Yang, H.; Lu, Z.; Zhou, L.; Meng, F.; Lu, F.; Chen, M. Epimerization of deoxynivalenol by the Devosia strain A6-243 assisted by pyrroloquinoline quinone. Toxins 2021, 14, 16. [Google Scholar] [CrossRef] [PubMed]
- Tian, Y.; Tan, Y.; Liu, N.; Yan, Z.; Liao, Y.; Chen, J.; De Saeger, S.; Yang, H.; Zhang, Q.; Wu, A. Detoxification of deoxynivalenol via glycosylation represents novel insights on antagonistic activities of Trichoderma when confronted with Fusarium graminearum. Toxins 2016, 8, 335. [Google Scholar] [CrossRef] [PubMed]
- Demissie, Z.A.; Witte, T.; Robinson, K.A.; Sproule, A.; Foote, S.J.; Johnston, A.; Harris, L.J.; Overy, D.P.; Loewen, M.C. Transcriptomic and exometabolomic profiling reveals antagonistic and defensive modes of Clonostachys rosea action against Fusarium graminearum. Mol. Plant Microbe Interact. 2020, 33, 842–858. [Google Scholar] [CrossRef]
- He, C.; Fan, Y.; Liu, G.; Zhang, H. Isolation and identification of a strain of Aspergillus tubingensis with deoxynivalenol biotransformation capability. Int. J. Mol. Sci. 2008, 9, 2366–2375. [Google Scholar] [CrossRef]
- Wang, S.; Hou, Q.; Guo, Q.; Zhang, J.; Sun, Y.; Wei, H.; Shen, L. Isolation and characterization of a deoxynivalenol-degrading bacterium Bacillus licheniformis YB9 with the capability of modulating intestinal microbial flora of mice. Toxins 2020, 12, 184. [Google Scholar] [CrossRef]
- Jia, R.; Cao, L.; Liu, W.; Shen, Z. Detoxification of deoxynivalenol by Bacillus subtilis ASAG 216 and characterization the degradation process. Eur. Food Res. Technol. 2021, 247, 67–76. [Google Scholar] [CrossRef]
- Li, B.; Duan, J.; Ren, J.; Francis, F.; Li, G. Isolation and characterization of two new deoxynivalenol-degrading strains, Bacillus sp. HN117 and Bacillus sp. N22. Toxins 2022, 14, 781. [Google Scholar] [CrossRef] [PubMed]
- Guo, C.; Wen, J.; Sun, Y.; Liang, G.; Wang, Z.; Pan, L.; Huang, J.; Liao, Y.; Wang, Z.; Chen, Q.; et al. Pyrroloquinoline quinone production defines the ability of Devosia species to degrade deoxynivalenol. Food Funct. 2024, 15, 6134–6146. [Google Scholar] [CrossRef]
- Carere, J.; Hassan, Y.I.; Lepp, D.; Zhou, T. The enzymatic detoxification of the mycotoxin deoxynivalenol: Identification of DepA from the DON epimerization pathway. Microbial. Biotechnol. 2018, 11, 1106–1111. [Google Scholar] [CrossRef]
- He, W.J.; Shi, M.M.; Yang, P.; Huang, T.; Zhao, Y.; Wu, A.B.; Dong, W.B.; Li, H.P.; Zhang, J.B.; Liao, Y.C. A quinone-dependent dehydrogenase and two NADPH-dependent aldo/keto reductases detoxify deoxynivalenol in wheat via epimerization in a Devosia strain. Food Chem. 2020, 321, 126703. [Google Scholar] [CrossRef] [PubMed]
- Qin, X.; Zhang, J.; Liu, Y.; Guo, Y.; Tang, Y.; Zhang, Q.; Ma, Q.; Ji, C.; Zhao, L. A quinoprotein dehydrogenase from Pelagibacterium halotolerans ANSP101 oxidizes deoxynivalenol to 3-keto-deoxynivalenol. Food Control 2022, 136, 108834. [Google Scholar] [CrossRef]
- Li, D.; Liang, G.; Mu, P.; Lin, J.; Huang, J.; Guo, C.; Li, Y.; Lin, R.; Jiang, J.; Wu, J.; et al. Improvement of catalytic activity of sorbose dehydrogenase for deoxynivalenol degradation by rational design. Food Chem. 2023, 423, 136274. [Google Scholar] [CrossRef]
- Shi, Y.; Xu, W.; Ni, D.; Zhang, W.; Guang, C.; Mu, W. Identification and application of a novel deoxynivalenol-degrading enzyme from Youhaiella tibetensis. Food Chem. 2024, 435, 137609. [Google Scholar] [CrossRef]
- Carere, J.; Hassan, Y.I.; Lepp, D.; Zhou, T. The identification of DepB: An enzyme responsible for the final detoxification step in the deoxynivalenol epimerization pathway in Devosia mutans 17-2-E-8. Front. Microbiol. 2018, 9, 1573. [Google Scholar] [CrossRef]
- Abraham, N.; Schroeter, K.L.; Zhu, Y.; Chan, J.; Evans, N.; Kimber, M.S.; Carere, J.; Zhou, T.; Seah, S.Y. Structure–function characterization of an aldo–keto reductase involved in detoxification of the mycotoxin, deoxynivalenol. Sci. Rep. 2022, 12, 14737. [Google Scholar] [CrossRef] [PubMed]
- Hu, Y.; Li, H.; Min, J.; Yu, Y.; Liu, W.; Huang, J.W.; Zhang, L.; Yang, Y.; Dai, L.; Chen, C.C.; et al. Crystal structure and biochemical analysis of the specialized deoxynivalenol–detoxifying glyoxalase SPG from Gossypium hirsutum. Int. J. Biol. Macromol. 2022, 200, 388–396. [Google Scholar] [CrossRef] [PubMed]
- Liu, Y.; Xu, L.; Shi, Z.; Wang, R.; Liu, Y.; Gong, Y.; Tian, Y.; Kang, X.; Sun, X.; Wang, Y. Identification of an Acinetobacter pittii acyltransferase involved in transformation of deoxynivalenol to 3-acetyl-deoxynivalenol by transcriptomic analysis. Ecotoxicol. Environ. Saf. 2023, 263, 115395. [Google Scholar] [CrossRef]
- Ito, M.; Sato, I.; Ishizaka, M.; Yoshida, S.I.; Koitabashi, M.; Yoshida, S.; Tsushima, S. Bacterial cytochrome P450 system catabolizing the Fusarium toxin deoxynivalenol. Appl. Environ. Microbiol. 2013, 79, 1619–1628. [Google Scholar] [CrossRef]
- Wang, H.; Sun, S.; Ge, W.; Zhao, L.; Hou, B.; Wang, K.; Lyu, Z.; Chen, L.; Xu, S.; Guo, J.; et al. Horizontal gene transfer of Fhb7 from fungus underlies Fusarium head blight resistance in wheat. Science 2020, 368, eaba5435. [Google Scholar] [CrossRef] [PubMed]
- Hou, B.; Wang, D.; Yan, F.; Cheng, X.; Xu, Y.; Xi, X.; Ge, W.; Sun, S.; Su, P.; Zhao, L.; et al. Fhb7-GST catalyzed glutathionylation effectively detoxifies the trichothecene family. Food Chem. 2024, 439, 138057. [Google Scholar] [CrossRef]
- Poppenberger, B.; Berthiller, F.; Lucyshyn, D.; Sieberer, T.; Schuhmacher, R.; Krska, R.; Kuchler, K.; Glössl, J.; Luschnig, C.; Adam, G. Detoxification of the Fusarium mycotoxin deoxynivalenol by a UDP-glucosyltransferase from Arabidopsis thaliana. J. Biol. Chem. 2003, 278, 47905–47914. [Google Scholar] [CrossRef]
- Schweiger, W.; Steiner, B.; Ametz, C.; Siegwart, G.; Wiesenberger, G.; Berthiller, F.; Lemmens, M.; Jia, H.; Adam, G.; Muehlbauer, G.J.; et al. Transcriptomic characterization of two major Fusarium resistance quantitative trait loci (QTLs), Fhb1 and Qfhs.ifa-5A, identifies novel candidate genes. Mol. Plant Pathol. 2013, 14, 772–785. [Google Scholar] [CrossRef]
- Li, X.; Shin, S.; Heinen, S.; Dill-Macky, R.; Berthiller, F.; Nersesian, N.; Clemente, T.; McCormick, S.; Muehlbauer, G.J. Transgenic wheat expressing a barley UDP-glucosyltransferase detoxifies deoxynivalenol and provides high levels of resistance to Fusarium graminearum. Mol. Plant Microbe Interact. 2015, 28, 1237–1246. [Google Scholar] [CrossRef]
- Ma, X.; Du, X.Y.; Liu, G.J.; Yang, Z.D.; Hou, W.Q.; Wang, H.W.; Feng, D.S.; Li, A.F.; Kong, L.R. Cloning and characterization of a novel UDP-glycosyltransferase gene induced by DON from wheat. J. Integr. Agric. 2015, 14, 830–838. [Google Scholar] [CrossRef][Green Version]
- Pasquet, J.C.; Changenet, V.; Macadré, C.; Boex-Fontvieille, E.; Soulhat, C.; Bouchabké-Coussa, O.; Dalmais, M.; Atanasova-Pénichon, V.; Bendahmane, A.; Saindrenan, P.; et al. A Brachypodium UDP-glycosyltransferase confers root tolerance to deoxynivalenol and resistance to Fusarium infection. Plant Physiol. 2016, 172, 559–574. [Google Scholar] [CrossRef] [PubMed]
- Wetterhorn, K.M.; Newmister, S.A.; Caniza, R.K.; Busman, M.; McCormick, S.P.; Berthiller, F.; Adam, G.; Rayment, I. Crystal structure of Os79 (Os04g0206600) from Oryza sativa: A UDP-glucosyltransferase involved in the detoxification of deoxynivalenol. Biochemistry 2016, 55, 6175–6186. [Google Scholar] [CrossRef]
- Li, X.; Michlmayr, H.; Schweiger, W.; Malachova, A.; Shin, S.; Huang, Y.; Dong, Y.; Wiesenberger, G.; McCormick, S.; Lemmens, M.; et al. A barley UDP-glucosyltransferase inactivates nivalenol and provides Fusarium Head Blight resistance in transgenic wheat. J. Exp. Bot. 2017, 68, 2187–2197. [Google Scholar] [CrossRef] [PubMed]
- Gatti, M.; Choulet, F.; Macadre, C.; Guerard, F.; Seng, J.M.; Langin, T.; Dufresne, M. Identification, molecular cloning, and functional characterization of a wheat UDP-glucosyltransferase involved in resistance to Fusarium head blight and to mycotoxin accumulation. Front. Plant Sci. 2018, 9, 1853. [Google Scholar] [CrossRef]
- Sharma, P.; Gangola, M.P.; Huang, C.; Kutcher, H.R.; Ganeshan, S.; Chibbar, R.N. Single nucleotide polymorphisms in B-genome specific UDP-glucosyl transferases associated with Fusarium Head Blight resistance and reduced deoxynivalenol accumulation in wheat grain. Phytopathology 2018, 108, 124–132. [Google Scholar] [CrossRef]
- Zhao, L.; Ma, X.; Su, P.; Ge, W.; Wu, H.; Guo, X.; Li, A.; Wang, H.; Kong, L. Cloning and characterization of a specific UDP-glycosyltransferase gene induced by DON and Fusarium graminearum. Plant Cell Rep. 2018, 37, 641–652. [Google Scholar] [CrossRef]
- He, Y.; Wu, L.; Liu, X.; Jiang, P.; Yu, L.; Qiu, J.; Wang, G.; Zhang, X.; Ma, H. TaUGT6, a novel UDP-glycosyltransferase gene enhances the resistance to FHB and DON accumulation in wheat. Front. Plant Sci. 2020, 11, 574775. [Google Scholar] [CrossRef]
- Khairullina, A.; Tsardakas Renhuldt, N.; Wiesenberger, G.; Bentzer, J.; Collinge, D.B.; Adam, G.; Bülow, L. Identification and functional characterisation of two oat UDP-glucosyltransferases involved in deoxynivalenol detoxification. Toxins 2022, 14, 446. [Google Scholar] [CrossRef] [PubMed]
- Bethke, G.; Huang, Y.; Hensel, G.; Heinen, S.; Liu, C.; Wyant, S.R.; Li, X.; Quin, M.B.; McCormick, S.; Morrell, P.L.; et al. UDP-glucosyltransferase HvUGT13248 confers type II resistance to Fusarium graminearum in barley. Plant Physiol. 2023, 193, 2691–2710. [Google Scholar] [CrossRef]
- Robinson, K.A.; St-Jacques, A.D.; Shields, S.W.; Sproule, A.; Demissie, Z.A.; Overy, D.P.; Loewen, M.C. Multiple Clonostachys rosea UDP-glycosyltransferases contribute to the production of 15-acetyl-deoxynivalenol-3-O-glycoside when confronted with Fusarium graminearum. J. Fungi 2023, 9, 723. [Google Scholar] [CrossRef]
- Yang, S.; Wu, Y.; Yang, J.; Yan, R.; Bao, Y.; Wang, K.; Liu, G.; Wang, W. Isolation and identification of an extracellular enzyme from Aspergillus Niger with deoxynivalenol biotransformation capability. Emir. J. Food Agric. 2017, 29, 742. [Google Scholar] [CrossRef]
- Zhou, T.; He, J.; Gong, J. Microbial transformation of trichothecene mycotoxins. World Mycotoxin J. 2008, 1, 23–30. [Google Scholar] [CrossRef]
- Eriksen, G.S.; Pettersson, H.; Lundh, T. Comparative cytotoxicity of deoxynivalenol, nivalenol, their acetylated derivatives and de-epoxy metabolites. Food Chem. Toxicol. 2004, 42, 619–624. [Google Scholar] [CrossRef]
- Pierron, A.; Mimoun, S.; Murate, L.S.; Loiseau, N.; Lippi, Y.; Bracarense, A.P.F.; Schatzmayr, G.; He, J.W.; Zhou, T.; Moll, W.D.; et al. Microbial biotransformation of DON: Molecular basis for reduced toxicity. Sci. Rep. 2016, 6, 29105. [Google Scholar] [CrossRef]
- Shima, J.; Takase, S.; Takahashi, Y.; Iwai, Y.; Fujimoto, H.; Yamazaki, M.; Ochi, K. Novel detoxification of the trichothecene mycotoxin deoxynivalenol by a soil bacterium isolated by enrichment culture. Appl. Environ. Microbiol. 1997, 63, 3825–3830. [Google Scholar] [CrossRef]
- Berthiller, F.; Dall’Asta, C.; Schuhmacher, R.; Lemmens, M.; Adam, G.; Krska, R. Masked mycotoxins: Determination of a deoxynivalenol glucoside in artificially and naturally contaminated wheat by liquid chromatography-tandem mass spectrometry. J. Agric. Food Chem. 2005, 53, 3421–3425. [Google Scholar] [CrossRef] [PubMed]
- Accensi, F.; Pinton, P.; Callu, P.; Abella-Bourges, N.; Guelfi, J.F.; Grosjean, F.; Oswald, I.P. Ingestion of low doses of deoxynivalenol does not affect hematological, biochemical, or immune responses of piglets. J. Anim. Sci. 2006, 84, 1935–1942. [Google Scholar] [CrossRef]
- Cheng, Y.H.; Weng, C.F.; Chen, B.J.; Chang, M.H. Toxicity of different Fusarium mycotoxins on growth performance, immune responses and efficacy of a mycotoxin degrading enzyme in pigs. Anim. Res. 2006, 55, 579–590. [Google Scholar] [CrossRef]
- Shi, D.; Zhou, J.; Zhao, L.; Rong, X.; Fan, Y.; Hamid, H.; Li, W.; Ji, C.; Ma, Q. Alleviation of mycotoxin biodegradation agent on zearalenone and deoxynivalenol toxicosis in immature gilts. J. Anim. Sci. Biotechnol. 2018, 9, 42. [Google Scholar] [CrossRef]
- Shawk, D.J.; Dritz, S.S.; Goodband, R.D.; Tokach, M.D.; Woodworth, J.C.; DeRouchey, J.M. Effects of sodium metabisulfite additives on nursery pig growth. Transl. Anim. Sci. 2019, 3, 103–112. [Google Scholar] [CrossRef] [PubMed]
- Liao, S.; Tang, S.; Tan, B.; Li, J.; Qi, M.; Cui, Z.; Zha, A.; Wang, Y.; Yin, Y.; Sun, P.; et al. Chloroquine improves deoxynivalenol-induced inflammatory response and intestinal mucosal damage in piglets. Oxid. Med. Cell Longev. 2020, 2020, 9834813. [Google Scholar] [CrossRef] [PubMed]
- Grenier, B.; Loureiro-Bracarense, A.P.; Lucioli, J.; Pacheco, G.D.; Cossalter, A.M.; Moll, W.D.; Schatzmayr, G.; Oswald, I.P. Individual and combined effects of subclinical doses of deoxynivalenol and fumonisins in piglets. Mol. Nutr. Food Res. 2011, 55, 761–771. [Google Scholar] [CrossRef] [PubMed]
- Li, X.; Guo, Y.; Zhao, L.; Fan, Y.; Ji, C.; Zhang, J.; Ma, Q. Protective effects of Devosia sp. ANSB714 on growth performance, immunity function, antioxidant capacity and tissue residues in growing-finishing pigs fed with deoxynivalenol contaminated diets. Food Chem. Toxicol. 2018, 121, 246–251. [Google Scholar] [CrossRef]
- Liu, M.; Zhang, L.; Chu, X.H.; Ma, R.; Wang, Y.W.; Liu, Q.; Zhang, N.Y.; Karrow, N.A.; Sun, L.H. Effects of deoxynivalenol on the porcine growth performance and intestinal microbiota and potential remediation by a modified HSCAS binder. Food Chem. Toxicol. 2020, 141, 111373. [Google Scholar] [CrossRef]
- Dänicke, S.; Döll, S. A probiotic feed additive containing spores of Bacillus subtilis and B. licheniformis does not prevent absorption and toxic effects of the Fusarium toxin deoxynivalenol in piglets. Food Chem. Toxicol. 2010, 48, 152–158. [Google Scholar] [CrossRef] [PubMed]
- Xu, X.; Yan, G.; Chang, J.; Wang, P.; Yin, Q.; Liu, C.; Zhu, Q.; Lu, F. Comparative transcriptome analysis reveals the protective mechanism of glycyrrhinic acid for deoxynivalenol-induced inflammation and apoptosis in IPEC-J2 cells. Oxid. Med. Cell Longev. 2020, 2020, 5974157. [Google Scholar] [CrossRef] [PubMed]
- Xu, X.; Chang, J.; Wang, P.; Liu, C.; Liu, M.; Zhou, T.; Yin, Q.; Yan, G. Glycyrrhizic acid and compound probiotics supplementation alters the intestinal transcriptome and microbiome of weaned piglets exposed to deoxynivalenol. Toxins 2022, 14, 856. [Google Scholar] [CrossRef]
- Xu, X.; Chang, J.; Wang, P.; Liu, C.; Liu, M.; Zhou, T.; Yin, Q.; Yan, G. Combination of glycyrrhizic acid and compound probiotics alleviates deoxynivalenol-induced damage to weaned piglets. Ecotoxicol. Environ. Saf. 2023, 256, 114901. [Google Scholar] [CrossRef]
- Liu, M.; Yan, G.; Chang, J.; Wang, P.; Liu, C.; Yin, Q.; Xu, X. Compound probiotics and glycyrrhizic acid alleviate DON-induced liver damage linked to the alteration of lipid metabolism in piglets. J. Funct. Foods 2024, 120, 106390. [Google Scholar] [CrossRef]
- Wielogórska, E.; MacDonald, S.; Elliott, C.T. A review of the efficacy of mycotoxin detoxifying agents used in feed in light of changing global environment and legislation. World Mycotoxin J. 2016, 9, 419–433. [Google Scholar] [CrossRef]
- Vila-Donat, P.; Marín, S.; Sanchis, V.; Ramos, A.J. A review of the mycotoxin adsorbing agents, with an emphasis on their multi-binding capacity, for animal feed decontamination. Food Chem. Toxicol. 2018, 114, 246–259. [Google Scholar] [CrossRef]
- Di Gregorio, M.C.; Neeff, D.V.D.; Jager, A.V.; Corassin, C.H.; Carão, Á.C.D.P.; Albuquerque, R.D.; Azevedo, A.C.D.; Oliveira, C.A.F. Mineral adsorbents for prevention of mycotoxins in animal feeds. Toxin Rev. 2014, 33, 125–135. [Google Scholar] [CrossRef]
- Kolosova, A.; Stroka, J. Substances for reduction of the contamination of feed by mycotoxins: A review. World Mycotoxin J. 2011, 4, 225–256. [Google Scholar] [CrossRef]
- Shin, S.Y.; Yoo, S.B.; Song, Y.S.; Park, N.; Kim, B.G. Effects of a bentonite clay product and a preservative blend on ileal and fecal nutrient digestibility in pigs fed wheat naturally contaminated with deoxynivalenol. Animals 2023, 13, 3752. [Google Scholar] [CrossRef] [PubMed]
- Harper, A.F.; Estienne, M.J.; Meldrum, J.B.; Harrell, R.J.; Diaz, D.E. Assessment of a hydrated sodium calcium aluminosilicate agent and antioxidant blend for mitigation of aflatoxin-induced physiological alterations in pigs. J. Swine Health Prod. 2010, 18, 282–289. [Google Scholar] [CrossRef]
- Zhang, L.; Ma, R.; Zhu, M.X.; Zhang, N.Y.; Liu, X.L.; Wang, Y.W.; Qin, T.; Zheng, L.Y.; Liu, Q.; Zhang, W.P.; et al. Effect of deoxynivalenol on the porcine acquired immune response and potential remediation by a novel modified HSCAS adsorbent. Food Chem. Toxicol. 2020, 138, 111187. [Google Scholar] [CrossRef] [PubMed]
- Dong, W.; Li, Y.; Xue, S.; Wen, F.; Meng, D.; Zhang, Y.; Yang, R. Yeast polysaccharides: The environmentally friendly polysaccharides with broad application potentials. Compr. Rev. Food Sci. Food Saf. 2024, 23, e70003. [Google Scholar] [CrossRef] [PubMed]
- Shetty, P.H.; Jespersen, L. Saccharomyces cerevisiae and lactic acid bacteria as potential mycotoxin decontaminating agents. Trends Food Sci. Technol. 2006, 17, 48–55. [Google Scholar] [CrossRef]
- Pereyra, C.M.; Cavaglieri, L.R.; Chiacchiera, S.M.; Dalcero, A. The corn influence on the adsorption levels of aflatoxin B1 and zearalenone by yeast cell wall. J. Appl. Microbiol. 2013, 114, 655–662. [Google Scholar] [CrossRef] [PubMed]
- Vartiainen, S.; Yiannikouris, A.; Apajalahti, J.; Moran, C.A. Comprehensive evaluation of the efficiency of yeast cell wall extract to adsorb ochratoxin A and mitigate accumulation of the toxin in broiler chickens. Toxins 2020, 12, 37. [Google Scholar] [CrossRef]
- Shehata, S.; Richter, W.; Schuster, M.; Lindermayer, H.J.M.R. Effect of deoxynivalenol (DON) on growing pigs and its modification by modified yeast cell wall or modified yeast cell wall and bentonite. Mycotoxin Res. 2004, 20, 42–48. [Google Scholar] [CrossRef] [PubMed]
- Holanda, D.M.; Kim, S.W. Investigation of the efficacy of mycotoxin-detoxifying additive on health and growth of newly-weaned pigs under deoxynivalenol challenges. Anim. Biosci. 2020, 34, 405. [Google Scholar] [CrossRef]
- Holanda, D.M.; Yiannikouris, A.; Kim, S.W. Investigation of the efficacy of a postbiotic yeast cell wall-based blend on newly-weaned pigs under a dietary challenge of multiple mycotoxins with emphasis on deoxynivalenol. Toxins 2020, 12, 504. [Google Scholar] [CrossRef] [PubMed]
- Frobose, H.L.; Fruge, E.D.; Tokach, M.D.; Hansen, E.L.; DeRouchey, J.M.; Dritz, S.S.; Goodband, R.D.; Nelssen, J.L. The influence of pelleting and supplementing sodium metabisulfite (Na2S2O5) on nursery pigs fed diets contaminated with deoxynivalenol. Anim. Feed Sci. Technol. 2015, 210, 152–164. [Google Scholar] [CrossRef]
- Aoudia, N.; Callu, P.; Grosjean, F.; Larondelle, Y. Effectiveness of mycotoxin sequestration activity of micronized wheat fibres on distribution of ochratoxin A in plasma, liver and kidney of piglets fed a naturally contaminated diet. Food Chem. Toxicol. 2009, 47, 1485–1489. [Google Scholar] [CrossRef] [PubMed]
- Gutzwiller, A.; Czegledi, L.; Stoll, P.; Bruckner, L. Effects of Fusarium toxins on growth, humoral immune response and internal organs in weaner pigs, and the efficacy of apple pomace as an antidote. J. Anim. Physiol. Anim. Nutr. 2007, 91, 432–438. [Google Scholar] [CrossRef] [PubMed]
- Papaioannou, D.; Katsoulos, P.D.; Panousis, N.; Karatzias, H. The role of natural and synthetic zeolites as feed additives on the prevention and/or the treatment of certain farm animal diseases: A review. Micropor. Mesopor. Mat. 2005, 84, 161–170. [Google Scholar] [CrossRef] [PubMed]
- Frobose, H.L.; Erceg, J.A.; Fowler, S.Q.; Tokach, M.D.; DeRouchey, J.M.; Woodworth, J.C.; Dritz, S.S.; Goodband, R.D. The progression of deoxynivalenol-induced growth suppression in nursery pigs and the potential of an algae-modified montmorillonite clay to mitigate these effects. J. Anim. Sci. 2016, 94, 3746–3759. [Google Scholar] [CrossRef]
- Wang, P.; Yao, Q.; Meng, X.; Yang, X.; Wang, X.; Lu, Q.; Liu, A. Effective protective agents against organ toxicity of deoxynivalenol and their detoxification mechanisms: A review. Food Chem. Toxicol. 2023, 182, 114121. [Google Scholar] [CrossRef]
- Wu, G.; Bazer, F.W.; Davis, T.A.; Jaeger, L.A.; Johnson, G.A.; Kim, S.W.; Knabe, D.A.; Meininger, C.J.; Spencer, T.E.; Yin, Y.L. Important roles for the arginine family of amino acids in swine nutrition and production. Livest. Sci. 2007, 112, 8–22. [Google Scholar] [CrossRef]
- Tan, B.; Li, X.G.; Kong, X.; Huang, R.; Ruan, Z.; Yao, K.; Deng, Z.; Xie, M.; Shinzato, I.; Yin, Y.; et al. Dietary L-arginine supplementation enhances the immune status in early-weaned piglets. Amino Acids 2009, 37, 323–331. [Google Scholar] [CrossRef] [PubMed]
- Perez-Palencia, J.Y.; Ramirez-Camba, C.D.; Haydon, K.; Urschel, K.L.; Levesque, C.L. Effects of increasing dietary arginine supply during the three first weeks after weaning on pig growth performance, plasma amino acid concentrations, and health status. Transl. Anim. Sci. 2024, 8, txae047. [Google Scholar] [CrossRef]
- Yin, J.; Ren, W.; Duan, J.; Wu, L.; Chen, S.; Li, T.; Yin, Y.; Wu, G. Dietary arginine supplementation enhances intestinal expression of SLC7A7 and SLC7A1 and ameliorates growth depression in mycotoxin-challenged pigs. Amino Acids 2014, 46, 883–892. [Google Scholar] [CrossRef]
- Duan, J.; Yin, J.; Wu, M.; Liao, P.; Deng, D.; Liu, G.; Wen, Q.; Wang, Y.; Qiu, W.; Liu, Y.; et al. Dietary glutamate supplementation ameliorates mycotoxin-induced abnormalities in the intestinal structure and expression of amino acid transporters in young pigs. PLoS ONE 2014, 9, e112357. [Google Scholar] [CrossRef] [PubMed]
- Rais, N.; Ved, A.; Shadab, M.; Ahmad, R.; Shahid, M. Taurine, a non-proteinous essential amino acid for human body systems: An overview. Arab Gulf J. Sci. Res. 2023, 41, 48–66. [Google Scholar] [CrossRef]
- Ji, X.; Tang, Z.; Zhang, F.; Zhou, F.; Wu, Y.; Wu, D. Dietary taurine supplementation counteracts deoxynivalenol-induced liver injury via alleviating oxidative stress, mitochondrial dysfunction, apoptosis, and inflammation in piglets. Ecotoxicol. Environ. Saf. 2023, 253, 114705. [Google Scholar] [CrossRef]
- Ye, Q.; Wu, X.; Zhang, X.; Wang, S. Organic selenium derived from chelation of soybean peptide-selenium and its functional properties in vitro and in vivo. Food Funct. 2019, 10, 4761–4770. [Google Scholar] [CrossRef] [PubMed]
- Chao, Y.; Yu, B.; He, J.; Huang, Z.; Mao, X.; Luo, J.; Luo, Y.; Zheng, P.; Yu, J.; Chen, D. Effects of different levels of dietary hydroxy-analogue of selenomethionine on growth performance, selenium deposition and antioxidant status of weaned piglets. Arch. Anim. Nutr. 2019, 73, 374–383. [Google Scholar] [CrossRef] [PubMed]
- Zhong, H.; Huang, Z.; Li, L.; Chen, X.; Zou, T.; Chen, J.; You, J. Selenomethionine supplementation mitigates liver dysfunction, oxidative injury and apoptosis through enhancing antioxidant capacity and inhibiting JNK MAPK pathway in piglets fed deoxynivalenol-contaminated diets. Antioxidants 2024, 13, 295. [Google Scholar] [CrossRef]
- Liu, Y.; Espinosa, C.D.; Abelilla, J.J.; Casas, G.A.; Lagos, L.V.; Lee, S.A.; Kwon, W.B.; Mathai, J.K.; Navarro, D.M.; Jaworski, N.W.; et al. Non-antibiotic feed additives in diets for pigs: A review. Anim. Nutr. 2018, 4, 113–125. [Google Scholar] [CrossRef] [PubMed]
- Mahfuz, S.; Shang, Q.; Piao, X. Phenolic compounds as natural feed additives in poultry and swine diets: A review. J. Anim. Sci. Biotechnol. 2021, 12, 48. [Google Scholar] [CrossRef]
- Hong, Q.; Li, X.; Lin, Q.; Shen, Z.; Feng, J.; Hu, C. Resveratrol improves intestinal morphology and anti-oxidation ability in deoxynivalenol-challenged piglets. Animals 2022, 12, 311. [Google Scholar] [CrossRef]
- Choi, S.S.; Lee, S.H.; Lee, K.A. A comparative study of hesperetin, hesperidin and hesperidin glucoside: Antioxidant, anti-inflammatory, and antibacterial activities in vitro. Antioxidants 2022, 11, 1618. [Google Scholar] [CrossRef]
- Li, X.; Lin, Q.; Gou, F.; Zhu, J.; Yu, M.; Hong, Q.; Hu, C. Effects of hesperidin on mitochondrial function, mitochondria-associated endoplasmic reticulum membranes and IP3R–MCU calcium axis in the intestine of piglets exposed to deoxynivalenol. Food Funct. 2024, 15, 6459. [Google Scholar] [CrossRef]
- Kühnert, M.; Fuchs, V.; Golbs, S. Pharmacologic and toxicologic properties of humic acids and their activity profile for veterinary medicine therapy. DTW. Dtsch. Tierarzti. Wochenschr. 1989, 96, 3–10. [Google Scholar]
- Dänicke, S.; Valenta, H.; Kersten, S. Humic substances failed to prevent the systemic absorption of deoxynivalenol (DON) and its adverse effects on piglets. Mycotoxin Res. 2012, 28, 253–260. [Google Scholar] [CrossRef]
- Dersjant-Li, Y.; Verstegen, M.W.; Gerrits, W.J. The impact of low concentrations of aflatoxin, deoxynivalenol or fumonisin in diets on growing pigs and poultry. Nutr. Res. Rev. 2003, 16, 223–239. [Google Scholar] [CrossRef] [PubMed]
- Mao, X.; Gu, C.; Hu, H.; Tang, J.; Chen, D.; Yu, B.; He, J.; Yu, J.; Luo, J.; Tian, G. Dietary Lactobacillus rhamnosus GG supplementation improves the mucosal barrier function in the intestine of weaned piglets challenged by porcine rotavirus. PLoS ONE 2016, 11, e0146312. [Google Scholar] [CrossRef] [PubMed]
- Bai, Y.; Ma, K.; Li, J.; Ren, Z.; Zhang, J.; Shan, A. Lactobacillus rhamnosus GG ameliorates DON-induced intestinal damage depending on the enrichment of beneficial bacteria in weaned piglets. J. Anim. Sci. Biotechnol. 2022, 13, 90. [Google Scholar] [CrossRef] [PubMed]
- Ma, K.; Bai, Y.; Li, J.; Ren, Z.; Li, J.; Zhang, J.; Shan, A. Lactobacillus rhamnosus GG ameliorates deoxynivalenol-induced kidney oxidative damage and mitochondrial injury in weaned piglets. Food Funct. 2022, 13, 3905–3916. [Google Scholar] [CrossRef]
- Jia, R.; Sadiq, F.A.; Liu, W.; Cao, L.; Shen, Z. Protective effects of Bacillus subtilis ASAG 216 on growth performance, antioxidant capacity, gut microbiota and tissues residues of weaned piglets fed deoxynivalenol contaminated diets. Food Chem. Toxicol. 2021, 148, 111962. [Google Scholar] [CrossRef]
- Dänicke, S.; Goyarts, T.; Valenta, H. On the specific and unspecific effects of a polymeric glucomannan mycotoxin adsorbent on piglets when fed with uncontaminated or with Fusarium toxins contaminated diets. Arch. Anim. Nutr. 2007, 61, 266–275. [Google Scholar] [CrossRef]
- Patience, J.F.; Myers, A.J.; Ensley, S.; Jacobs, B.M.; Madson, D. Evaluation of two mycotoxin mitigation strategies in grow-finish swine diets containing corn dried distillers grains with solubles naturally contaminated with deoxynivalenol. J. Anim. Sci. 2014, 92, 620–626. [Google Scholar] [CrossRef]
- Holanda, D.M.; Kim, S.W. Efficacy of mycotoxin detoxifiers on health and growth of newly-weaned pigs under chronic dietary challenge of deoxynivalenol. Toxins 2020, 12, 311. [Google Scholar] [CrossRef] [PubMed]
- Weaver, A.C.; See, M.T.; Kim, S.W. Protective effect of two yeast based feed additives on pigs chronically exposed to deoxynivalenol and zearalenone. Toxins 2014, 6, 3336–3353. [Google Scholar] [CrossRef] [PubMed]
- Santos, E.V.; Fontes, D.O.; Benfato, M.D.S.; Hackenhaar, F.S.; Salomon, T.; Jacob, D.V.; Prévéraud, D.; Araujo, W.A.G.; da Glória, E.M.; Domingos, R.L.; et al. Mycotoxin deactivator improves performance, antioxidant status, and reduces oxidative stress in nursery pigs fed diets containing mycotoxins. J. Anim. Sci. 2021, 99, skab277. [Google Scholar] [CrossRef] [PubMed]
- Huang, Y.; Zheng, C.; Song, B.; Wang, L.; Xiao, H.; Jiang, Z. Resveratrol ameliorates intestinal damage challenged with deoxynivalenol through mitophagy in vitro and in vivo. Front. Vet. Sci. 2022, 8, 807301. [Google Scholar] [CrossRef]
- Qiu, Y.; Yang, J.; Wang, L.; Yang, X.; Gao, K.; Zhu, C.; Jiang, Z. Dietary resveratrol attenuation of intestinal inflammation and oxidative damage is linked to the alteration of gut microbiota and butyrate in piglets challenged with deoxynivalenol. J. Anim. Sci. Biotechnol. 2021, 12, 71. [Google Scholar] [CrossRef]
- Qiu, Y.; Nie, X.; Yang, J.; Wang, L.; Zhu, C.; Yang, X.; Jiang, Z. Effect of resveratrol supplementation on intestinal oxidative stress, immunity and gut microbiota in weaned piglets challenged with deoxynivalenol. Antioxidants 2022, 11, 1775. [Google Scholar] [CrossRef] [PubMed]
- Tang, M.; Yuan, D.; Liao, P. Berberine improves intestinal barrier function and reduces inflammation, immunosuppression, and oxidative stress by regulating the NF-κB/MAPK signaling pathway in deoxynivalenol-challenged piglets. Environ. Pollut. 2021, 289, 117865. [Google Scholar] [CrossRef] [PubMed]
- Liao, P.; Li, Y.; Li, M.; Chen, X.; Yuan, D.; Tang, M.; Xu, K. Baicalin alleviates deoxynivalenol-induced intestinal inflammation and oxidative stress damage by inhibiting NF-κB and increasing mTOR signaling pathways in piglets. Food Chem. Toxicol. 2020, 140, 111326. [Google Scholar] [CrossRef] [PubMed]
- Zha, A.; Yuan, D.; Cui, Z.; Qi, M.; Liao, S.; Liao, P.; Tan, B. The evaluation of the antioxidant and intestinal protective effects of baicalin-copper in deoxynivalenol-challenged piglets. Oxid. Med. Cell Longev. 2020, 2020, 5363546. [Google Scholar] [CrossRef] [PubMed]
- Zha, A.; Tu, R.; Cui, Z.; Qi, M.; Liao, S.; Wang, J.; Tan, B.; Liao, P. Baicalin–zinc complex alleviates inflammatory responses and hormone profiles by microbiome in deoxynivalenol induced piglets. Front. Nutr. 2021, 8, 738281. [Google Scholar] [CrossRef] [PubMed]
- Liu, J.; Zhou, M.; Xu, Q.; Lv, Q.; Guo, J.; Qin, X.; Xu, X.; Chen, S.; Zhao, J.; Xiao, K.; et al. Quercetin ameliorates deoxynivalenol-induced intestinal injury and barrier dysfunction associated with inhibiting necroptosis signaling pathway in weaned pigs. Int. J. Mol. Sci. 2023, 24, 15172. [Google Scholar] [CrossRef]
- Xiao, H.; Wu, M.M.; Tan, B.E.; Yin, Y.L.; Li, T.J.; Xiao, D.F.; Li, L. Effects of composite antimicrobial peptides in weanling piglets challenged with deoxynivalenol: I. Growth performance, immune function, and antioxidation capacity. J. Anim. Sci. 2013, 91, 4772–4780. [Google Scholar] [CrossRef]
- Xiao, H.; Tan, B.E.; Wu, M.M.; Yin, Y.L.; Li, T.J.; Yuan, D.X.; Li, L. Effects of composite antimicrobial peptides in weanling piglets challenged with deoxynivalenol: II. Intestinal morphology and function. J. Anim. Sci. 2013, 91, 4750–4756. [Google Scholar] [CrossRef]
- McCue, M.; Reichert, J.L.; Crenshaw, T.D. Impact of dietary vitamin D3 supplements in nursery diets on subsequent growth and bone responses of pigs during an immune challenge. J. Anim. Sci. 2019, 97, 4895–4903. [Google Scholar] [CrossRef]
- Sauvé, B.; Chorfi, Y.; Montminy, M.P.L.; Guay, F. Vitamin D supplementation impacts calcium and phosphorus metabolism in piglets fed a diet contaminated with deoxynivalenol and challenged with lipopolysaccharides. Toxins 2023, 15, 394. [Google Scholar] [CrossRef] [PubMed]
- Frankič, T.; Salobir, J.; Rezar, V. The effect of vitamin E supplementation on reduction of lymphocyte DNA damage induced by T-2 toxin and deoxynivalenol in weaned pigs. Anim. Feed Sci. Technol. 2008, 141, 274–286. [Google Scholar] [CrossRef]
- Van Le Thanh, B.; Lemay, M.; Bastien, A.; Lapointe, J.; Lessard, M.; Chorfi, Y.; Guay, F. The potential effects of antioxidant feed additives in mitigating the adverse effects of corn naturally contaminated with Fusarium mycotoxins on antioxidant systems in the intestinal mucosa, plasma, and liver in weaned pigs. Mycotoxin Res. 2016, 32, 99–116. [Google Scholar] [CrossRef]
- Xiao, Y.; Guo, Z.; Li, Z.; Ling, H.; Song, C. Role and mechanism of action of butyrate in atherosclerotic diseases: A review. J. Appl. Microbiol. 2021, 131, 543–552. [Google Scholar] [CrossRef]
- Wang, S.; Zhang, C.; Yang, J.; Wang, X.; Wu, K.; Zhang, B.; Zhang, J.; Yang, A.; Rajput, S.A.; Qi, D. Sodium butyrate protects the intestinal barrier by modulating intestinal host defense peptide expression and gut microbiota after a challenge with deoxynivalenol in weaned piglets. J. Agric. Food Chem. 2020, 68, 4515–4527. [Google Scholar] [CrossRef]
- Barnes, J.A.; DeRouchey, J.M.; Tokach, M.D.; Goodband, R.D.; Nelssen, J.L.; Dritz, S.S. Effects of vomitoxin concentration in nursery pig diets and the effectiveness of commercial products to mitigate its effects. Kansas Agric. Exp. Station Res. Rep. 2010, 1, 79–85. [Google Scholar] [CrossRef]
- Van Le Thanh, B.; Lessard, M.; Chorfi, Y.; Guay, F. Antioxidant capacity in the intestinal mucosa of weanling piglets fed diets containing Fusarium mycotoxins and the efficacy of commercial supplements sold as detoxifiers. Can. J. Anim. Sci. 2015, 95, 569–575. [Google Scholar] [CrossRef]
- Bouchard, M.J.; Chorfi, Y.; Létourneau-Montminy, M.P.; Guay, F. Effects of deoxynivalenol and sodium meta-bisulphite on nutrient digestibility in growing pigs. Arch. Anim. Nutr. 2019, 73, 360–373. [Google Scholar] [CrossRef] [PubMed]
- Yu, C.; Xu, H.; Zhao, X.; Litke, Q.; Gong, J.; Yang, C.; Liu, S. Developing sodium metabisulfite (SMBS)-containing Eudragit L100-55 microparticles for controlled intestinal release of SMBS to detoxify deoxynivalenol. Food Biosci. 2023, 54, 102859. [Google Scholar] [CrossRef]
- Goyarts, T.; Dänicke, S.; Rothkötter, H.J.; Spilke, J.; Tiemann, U.; Schollenberger, M. On the effects of a chronic deoxynivalenol intoxication on performance, haematological and serum parameters of pigs when diets are offered either for ad libitum consumption or fed restrictively. J. Vet. Med. A 2005, 52, 305–314. [Google Scholar] [CrossRef]
- Reddy, K.E.; Song, J.; Lee, H.J.; Kim, M.; Kim, D.W.; Jung, H.J.; Kim, B.; Lee, Y.; Yu, D.; Kim, D.W.; et al. Effects of high levels of deoxynivalenol and zearalenone on growth performance, and hematological and immunological parameters in pigs. Toxins 2018, 10, 114. [Google Scholar] [CrossRef] [PubMed]
- Dänicke, S.; Valenta, H.; Döll, S.; Ganter, M.; Flachowsky, G. On the effectiveness of a detoxifying agent in preventing fusario-toxicosis in fattening pigs. Anim. Feed Sci. Technol. 2004, 114, 141–157. [Google Scholar] [CrossRef]
- Döll, S.; Gericke, S.; Dänicke, S.; Raila, J.; Ueberschär, K.H.; Valenta, H.; Schnurrbusch, U.; Schweigert, F.J.; Flachowsky, G. The efficacy of a modified aluminosilicate as a detoxifying agent in Fusarium toxin contaminated maize containing diets for piglets. J. Anim. Physiol. Anim. Nutr. 2005, 89, 342–358. [Google Scholar] [CrossRef]
- Erceg, J.A.; Frobose, H.L.; Tokach, M.D.; DeRouchey, J.M.; Dritz, S.S.; Goodband, R.D.; Nelssen, J.L. Evaluating the effects of an algae-modified montmorillonite clay in diets contaminated with deoxynivalenol on nursery pig growth performance. Kansas Agric. Exp. Stn. Res. Rep. 2013, 1, 73–80. [Google Scholar] [CrossRef]
- Swamy, H.V.L.N.; Smith, T.K.; MacDonald, E.J.; Boermans, H.J.; Squires, E.J. Effects of feeding a blend of grains naturally contaminated with Fusarium mycotoxins on swine performance, brain regional neurochemistry, and serum chemistry and the efficacy of a polymeric glucomannan mycotoxin adsorbent. J. Anim. Sci. 2002, 80, 3257–3267. [Google Scholar] [CrossRef] [PubMed]
- Diaz-Llano, G.; Smith, T.K. Effects of feeding grains naturally contaminated with Fusarium mycotoxins with and without a polymeric glucomannan mycotoxin adsorbent on reproductive performance and serum chemistry of pregnant gilts. J. Anim. Sci. 2006, 84, 2361–2366. [Google Scholar] [CrossRef]
- Wu, L.; Wang, W.; Yao, K.; Zhou, T.; Yin, J.; Li, T.; Yang, L.; He, L.; Yang, X.; Zhang, H.; et al. Effects of dietary arginine and glutamine on alleviating the impairment induced by deoxynivalenol stress and immune relevant cytokines in growing pigs. PLoS ONE 2013, 8, e69502. [Google Scholar] [CrossRef] [PubMed]
- Wu, L.; Liao, P.; He, L.; Feng, Z.; Ren, W.; Yin, J.; Duan, J.; Li, T.; Yin, Y. Dietary L-arginine supplementation protects weanling pigs from deoxynivalenol-induced toxicity. Toxins 2015, 7, 1341–1354. [Google Scholar] [CrossRef] [PubMed]
- Zhang, D.; Xing, H.; Liu, D.; Han, M.; Cai, P.; Lin, H.; Tian, Y.; Guo, Y.; Sun, B.; Tian, Y.; et al. Deep learning enables rapid identification of mycotoxin-degrading enzymes. ChemRxiv 2023, 1, 1–43. [Google Scholar]
- Zhang, D.; Xing, H.; Liu, D.; Han, M.; Cai, P.; Lin, H.; Tian, Y.; Guo, Y.; Sun, B.; Le, Y.; et al. Discovery of toxin-degrading enzymes with positive unlabeled deep learning. ACS Catal. 2024, 14, 3336–3348. [Google Scholar] [CrossRef]
- Tian, Y.; Zhang, D.; Cai, P.; Lin, H.; Ying, H.; Hu, Q.N.; Wu, A. Elimination of Fusarium mycotoxin deoxynivalenol (DON) via microbial and enzymatic strategies: Current status and future perspectives. Trends Food Sci. Technol. 2022, 124, 96–107. [Google Scholar] [CrossRef]
- Verdonk, M.L.; Cole, J.C.; Hartshorn, M.J.; Murray, C.W.; Taylor, R.D. Improved protein–ligand docking using GOLD. Proteins Struct. Funct. Bioinf. 2003, 52, 609–623. [Google Scholar] [CrossRef]
- McGann, M. FRED and HYBRID docking performance on standardized datasets. J. Comput. Aided Mol. Des. 2012, 26, 897–906. [Google Scholar] [CrossRef]
- Das, S.; Shimshi, M.; Raz, K.; Nitoker Eliaz, N.; Mhashal, A.R.; Ansbacher, T.; Major, D.T. Enzydock: Protein–ligand docking of multiple reactive states along a reaction coordinate in enzymes. J. Chem. Theory Comput. 2019, 15, 5116–5134. [Google Scholar] [CrossRef]
- Boulahrouf, K.; Aliouane, S.E.; Chehili, H.; Skander Daas, M.; Belbekri, A.; Hamidechi, M.A. EZYDeep: A deep learning tool for enzyme function prediction based on sequence information. Open Bioinform. J. 2023, 16, 1–8. [Google Scholar] [CrossRef]
- Li, F.; Chen, Y.; Anton, M.; Nielsen, J. GotEnzymes: An extensive database of enzyme parameter predictions. Nucleic Acids Res. 2023, 51, D583–D586. [Google Scholar] [CrossRef]
- Wang, X.; Quinn, D.; Moody, T.S.; Huang, M. ALDELE: All-purpose deep learning toolkits for predicting the biocatalytic activities of enzymes. J. Chem. Inf. Model 2024, 64, 3123–3139. [Google Scholar] [CrossRef] [PubMed]
- Yang, J.; Li, F.Z.; Arnold, F.H. Opportunities and challenges for machine learning-assisted enzyme engineering. ACS Cent. Sci. 2024, 10, 226–241. [Google Scholar] [CrossRef] [PubMed]
- Visani, G.M.; Hughes, M.C.; Hassoun, S. Enzyme promiscuity prediction using hierarchy-informed multi-label classification. Bioinformatics 2021, 37, 2017–2024. [Google Scholar] [CrossRef] [PubMed]
- Mou, Z.; Eakes, J.; Cooper, C.J.; Foster, C.M.; Standaert, R.F.; Podar, M.; Doktycz, M.J.; Parks, J.M. Machine learning-based prediction of enzyme substrate scope: Application to bacterial nitrilases. Proteins Struct. Funct. Bioinf. 2021, 89, 336–347. [Google Scholar] [CrossRef]
- Ding, S.; Tian, Y.; Cai, P.; Zhang, D.; Cheng, X.; Sun, D.; Yuan, L.; Chen, J.; Tu, W.; Wei, D.Q.; et al. novoPathFinder: A webserver of designing novel-pathway with integrating GEM-model. Nucleic Acids Res. 2020, 48, W477–W487. [Google Scholar] [CrossRef] [PubMed]




| Stage | Level of DON in Diet | Source | Effects | Reference |
|---|---|---|---|---|
| Weaning | 2.88 mg/kg | Naturally contaminated wheats | Reduced BW | [34] |
| Weaning | 3.5 mg/kg | Naturally contaminated wheats | Reduced ADG, impaired intestinal barrier and immunological functions | [35] |
| Weaning | 3.0, 4.0 mg/kg | Naturally contaminated corn DDGS | Decreased ADG, ADFI, and BW | [36] |
| Weaning | 3.3–3.8 mg/kg | Naturally contaminated wheats | Decreased BW | [37] |
| Weaning | 5.5 mg/kg | Naturally contaminated corns | Decreased ADG and ADFI | [38] |
| Weaning | 2.0 mg/kg | Naturally contaminated corn DDGS | Decreased ADG, ADFI, and G/F | [39] |
| Weaning | 1.8 mg/kg | Naturally contaminated corn DDGS | Decreased G/F | [40] |
| Growing | 1.0 and 3.0 mg/kg | Naturally contaminated corns | Reduced feed intake and weight gain | [41] |
| Growing | 4.0 mg/kg | Naturally contaminated corns | Decreased feed intake and lose weight | [42] |
| Growing | 0.6, 1.8, 4.7 mg/kg | Naturally contaminated oats | Decreased feed intake | [43] |
| Growing | 3.0, 6.0, and 12.0 mg/kg | Naturally mouldy corns | Weight loss, live injury, oxidation stress, and malabsorption of nutrients | [44] |
| Growing | 0.9 mg/kg | Commercial | Decreased weight gain and induced histomorphological alterations | [45] |
| Growing | 6.89 mg/kg | Naturally contaminated barley | Reduced ADFI and ADG | [46] |
| Growing-Finishing | 5.65–6.15 mg/kg | Naturally contaminated wheats | Reduced feed consumption and live weight gain | [47] |
| Growing-Finishing | 1.0, 3.0, and 5.0 mg/kg | Naturally contaminated wheats | Reduced growth performance | [48] |
| Finishing | 3.02 mg/kg | Naturally contaminated corns | Decreased ADG and ADFI | [49] |
| Finishing | 1.0, 3.0, and 5.0 mg/kg | Naturally contaminated wheats | Decreased BW | [50] |
| Methods | Used Measures and Reagents | Detoxification Efficiency | Reference |
|---|---|---|---|
| Sorting | Multiple high speed optical sorting | The 0.6–20 mg/kg DON in the sorted wheat was reduced to 51% of its original level using one-pass sorting. | [132] |
| Sorting | Gravity separation | A reduction of 30.85% in 899.1–2442.4 µg/kg DON in unseparated wheat was found. | [133] |
| Washing | Water and sodium carbonate solution | A single water rinsing step decreased 40.3 mg/kg DON and 0.94 mg/kg ZEA concentrations by 44% in corn, and further reduction by 35% was achieved through additional soaking in a 0.1 mol/L aqueous sodium carbonate solution. | [134] |
| Dehulling | Gentle debranning technology | Gentle debranning technology resulted in the removal of 80.01% of 4.66 Log CFU/g microorganisms and 15.82% of 6.88 µg/kg DON. | [135] |
| Heating | Baking | Baking maize samples containing 3905–4286 ng/g DON at 240 °C for 15 min, 200 °C for 30 min, and 150 °C for 180 min resulted in reductions of 31.8%, 35.7%, and 37.3%, respectively. | [136] |
| Heating | Cooking, roasting, and extrusion cooking | Cooking reduced to 428–875 µg/kg DON and 59–182 µg/kg ZEA in grain samples by 8% and 11% at 200 °C for 30 min, whereas roasting and extrusion cooking at the same condition achieved more substantial reductions of 40% for DON and 46% for ZEA and 75% for DON and 80% for ZEA, respectively. | [137] |
| Heating | Baking | The degradation of DON ranged from 0 to 21% in crackers (691–1429 µg/kg DON), 4 to 16% in biscuits (872–1036 µg/kg DON), and 2 to 5% in bread (1114–1435 µg/kg DON) under varied processing conditions. | [138] |
| Heating | Steam-softening | Steam-softening led to the reduction in DON, DON-3-G, and total DON in flakes, retaining 41%, 60%, and 46%, respectively. | [139] |
| Milling | Industrial roller-grinder | The industrial roller-grinder yielded a reduction of 77.8% to 80.5% in 1400–1900 µg/kg DON after milling the wheat grain. | [140] |
| Milling | Dry milling | A 53% decrease in 294 µg/kg DON was observed in wheat germ following the dry milling of cleaned whole grain. | [141] |
| Milling | Roller milling and precision milling | The roller mill reduced 14.3–38.9 µg/g DON by 36.7% from the kernel, while the precision mill decreased 14.3–38.9 µg/g DON by 85.1% from the dehulled kernel. | [142] |
| Milling | Laboratory mill machine | Milling yields a reduction of 58.02% in total bacteria and 32.62% in 899.1–2442.4 µg/kg DON in wheat. | [133] |
| Extrusion | Twin screw extruder | At temperatures of 140, 160, and 180 °C, each with a moisture content of 15%, there was a reduction in 1000 µg/kg DON by 18.9%, 23.4%, and 20.5%, respectively, in wheat. | [143] |
| Irradiation | Gamma-ray irradiation | The 103–287 µg/kg of DON in wheat was reduced by 41% following 2 kGy gamma-ray irradiation. | [144] |
| Light | Ultraviolet irradiation | In dry grain samples, the UV treatment (24 mW/cm2 at 254 nm UV-C) completely eliminated 30 mg/kg of ZEA in 15 min and 30 mg/kg of DON in 20 min. | [145] |
| Light | Intense pulsed light | The application of intense pulsed light treatment resulted in a significant reduction of 35.5% in 1.45 mg/kg DON within barley samples following the administration of 180 pulses within 1 min. | [146] |
| Cold atmospheric plasma | Dielectric barriers discharge atmospheric pressure cold plasma | Dielectric barriers discharge atmospheric pressure cold plasma, applied at 30 kV, led to a 100% reduction of 37.0 µg/mL DON solution within 5 min, surpassing the 75.9% reduction observed in dry conditions in 60 min. | [147] |
| Ultrasound | Pulsed ultrasound | Applying ultrasound at power intensity of 4.4 W/cm3 and a duty cycle of 66.7% led to a 43.2% decrease in the content of 250–4000 µg/L DON. | [148] |
| Methods | Products | DON Concentration | Assay Conditions | Efficiency | Reference |
|---|---|---|---|---|---|
| Ammonization, oxidation, and reduction | Wheat | 1000 mg/kg | 30% chlorine for 0.5 h, 100% ammonia carbonate at 132 °C for 18 h, and 1% sodium bisulfite solution for 6 days | 100%, 85%, and 100% | [194] |
| Ammonization | Wheat kernels | 11.3 μg/kg | 4.8% ammonia vapours at 115 °C for 2 h | 72.4% | [195] |
| Reduction | Corn | 7.2 mg/kg | Autoclave at 121 °C for 1 h with 8.33% aqueous sodium bisulfite | 95% | [196] |
| Reduction | Wheat | 7.6 mg/kg | 10 g/kg of sodium metabisulfite at 100 °C with 22% moisture for 15 min | 96.3% | [197] |
| Reduction | Barley | 1.4 mg/kg | 200 g/L of sodium bisulfite solutions under soaking for 0.5 h | 92.9% | [198] |
| Reduction | Triticale kernels | 6.63 mg/kg | 5 g/kg of sodium metabisulfite and 10 g/kg of propionic acid at 15% moisture for 63 days | 96% | [199] |
| Reduction and alkaline hydrolysis | Maize | 43.4 mg/kg | 5 g/kg of sodium metabisulfite, 10 g/kg of methylamine, and 20 g/kg of calcium hydroxide at 20% moisture for 30 min at 80 °C | 91% | [200] |
| Reduction | Maize kernels and maize meal | 51.6 mg/kg | 10 g/kg of sodium bisulfite and 30% moisture for 79 days | 100% | [201] |
| Reduction | Maize | 63.93 mg/kg | 5 g/kg of sodium metabisulfite and 15 g/kg propionic acid for 9 weeks | 85.6% | [202] |
| Reduction | Maize | 5.36 mg/kg | 5 g/kg of sodium metabisulfite and 15 g/kg propionic acid with 20% moisture for 79 days | 84.5% | [203] |
| Alkaline hydrolysis | Barley | 16.1 mg/kg | 1 mol/L sodium carbonate solution at 22 °C for 30 min | 72–74% | [152] |
| Alkaline hydrolysis | Barley | 18.4 mg/kg | 1 mol/L sodium carbonate solution at 80 °C for 8 days | 100% | [204] |
| Ozone | Wheat | 1000 mg/kg | Moist ozone (1.1 mol %) and dry ozone (1.1 mol %) for 1 h | 90% and 70% | [194] |
| Ozone | DON solution wheat | 1 μg/mL; 10 mg/kg | 10 mg/L of gaseous ozone for 30 s; 10 mg/L of gaseous ozone with 17% moisture content for 12 h | 93.6%; 57.3% | [205] |
| Ozone | Whole wheat flour | 3.89 mg/kg | 100 mg/L of ozone level with 20% moisture content for 60 min | 78.7% | [206] |
| Ozone | Whole wheat flour | 2748 μg/kg | 65 mg/L of gaseous ozone with 25% moisture content for 180 min | 80% | [207] |
| Ozone | Wheat | 247–294 μg/kg | 55 g/h of ozone for 6 h | 44% | [208] |
| Ozone | DON solution | 10.76 mg/L | 14.5 mg/L of aqueous ozone at a flow rate of 80 mL/min for 20 min | 97.95% | [209] |
| Ozone | Wheat kernels | 1.29 mg/kg | 60 mg/L of ozone gas for 2 h | 33.33% | [210] |
| Ozone | Corn and wheat | 488–2211 μg/kg | 3 mg/L of ozone for 8 h in the lab and 96 h in the bran | 40% and 50% | [211] |
| Microbes | Source | Mechanism | Product | Detoxification Efficiency | Reference |
|---|---|---|---|---|---|
| A bacterial strain BBSH797 | Bovine rumen | Anaerobic de-epoxidation at C12-C13 | DOM-1 | - | [225] |
| Coriobacteriaceum DSM 11798 | Bovine rumen | Anaerobic de-epoxidation at C12-C13 | DOM-1 | - | [226] |
| Microbioal culture C133 | Fish digesta | Anaerobic de-epoxidation at C12-C13 | DOM-1 | Culture C133 converted 50 µg/mL of DON to DOM-1 in full growth medium for 96 h at 15 °C. | [227] |
| Bacillus sp. LS100 | Chicken digesta | Anaerobic de-epoxidation at C12-C13 | DOM-1 | Under anerobic conditions for 24 h at 37 °C, the Bacillus sp. LS100 completely transformed 1000 mg/mL of DON into DOM-1. | [228] |
| Clostridium sp. WJ06 | Chicken intestines | Anaerobic de-epoxidation at C12-C13 | DOM-1 | Twenty mg/kg of DON can undergo transformation into DOM-1 with a degradation rate over 90% by WJ06. | [229] |
| Eggerthella sp. DII-9 | Chicken intestines | Anaerobic de-epoxidation at C12-C13 | DOM-1 | Bacterium DII-9 eliminated 100 µg/mL DON into DOM-1 at 20–45 °C and pH 5–10. | [230] |
| Slackia sp. D-G6 | Chicken intestines | Anaerobic de-epoxidation at C12-C13 | DOM-1 | Slackia sp. D-G6 converted 25 µg/mL of DON into DOM-1 at 37–47 °C and pH 6–10. | [231] |
| A bacterial consortium YM-1 | Chickens | Anaerobic de-epoxidation at C12-C13 | DOM-1 | Under anaerobic conditions for 24 h, 50 μg/L of DON experienced a 99.2% de-epoxidation. | [232] |
| Serratia, Clostridium, Citrobacter, Enterococcus, Stenotrophomonas, and Streptomyces | Soil | Aerobic de-epoxidation at C12-C13 | DOM-1 | Under aerobic conditions for 60 h at 12–40 °C and pH 6.0–7.5, the enriched culture completely converted 50 µg/mL DON into DOM-1. | [233] |
| A bacterial consortium PGC-3 | Soil | Aerobic de-epoxidation at C12-C13 | DOM-1 | PGC-3 converted 100 µg/mL DON into DOM-1 under aerobic conditions at 20–37 °C and pH 5–10. | [234] |
| Desulfitobacterium sp. PGC-3-9 | Soil | Aerobic and anaerobic de-epoxidation at C12-C13 | DOM-1 | PGC-3-9 degraded 168.74 μM of DON into DOM-1 ability at 5–10 °C and pH 5–10. | [235] |
| Mixed culture D107 | Soil | Aerobic oxidation of C3 | 3-keto-DON | D107 oxidated 200 µg/mL of DON into 3-keto-DON for 5 days at 20 °C in aerobic conditions. | [236] |
| Devosia insulae A16 | Soil | Aerobic oxidation of C3 | 3-keto-DON | Under neutral pH and at 35 °C, the bacterial strain A16 degraded 88% of 20 mg/L DON into 3-keto-DON within 48 h. | [237] |
| Pelagibacterium halotolerans ANSP101 | Ocean | Oxidation of C3 | 3-keto-DON | The bacterial strain ANSP101 could oxidate 50 μg/mL of DON into 3-keto-DON by 80% at 40 °C and pH 8 for 24 h. | [238] |
| Bacterial consortium C20 | Wheat | Aerobic oxidation of C3 | 3-keto-DON | Under aerobic condition for 5 days at 30 °C and pH 8, the bacterial consortium 20 could highly degrade 70 μg/mL of DON into 3-keto-DON. | [239] |
| Bacterial consortium IFSN-C1 | Soil | Oxidation of C3 | 3-keto-DON | The bacterial consortium IFSN-C1 could degrade 10 μg/mL of DON into 3-keto-DON by 86.5% at pH 8 and 37 °C. | [240] |
| Recombinant plasmid pPIC9K-QDDH | - | Oxidation of C3 | 3-keto-DON | Within 12 h, the recombinant QDDH transformed 78.46% of 20 μg/mL DON into 3-keto-DON. | [241] |
| A synthetic bacterial consortium consisting of Devosia sp. A8 and Paracoccus yeei A9 | Soil | Oxidation of C3 | 3-keto-DON | The synthetic bacteria A8 and A9 could detoxify 10, 100, and 200 μg/mL of DON into 3-keto-DON within 6, 36, and 84 h by 92.48%, 93.68%, and 77.15%, respectively. | [242] |
| A bacterial consortium consisting Pseudomonas sp. SD17-1 and Devosia sp. SD17-2 | Tenebrio molitor larval feces | Oxidation of C3 | 3-keto-DON | The microbial consortium efficiently oxidized 50 μg/mL of DON to 3-keto-DON within 72 h at 30 °C and a pH range of 8.0–9.0. | [243] |
| Ketogulonicigenium vulgare D3_3 | Tenebrio molitor larval feces | Anaerobic oxidation of C3 | 3-keto-DON | The bacterial isolate D3_3 achieved complete oxidation of 50 μg/mL of DON to 3-keto-DON within 12 h at 30 °C and pH 7.0–9.0. | [244] |
| Citrobacter freundii | Rice root-linked soil | De-epoxidation at C12-C13 and oxidation of C3 | DOM-1 and 3-keto-DON | Under conditions of pH 7 and 37 °C within 72 h, C. freundii exhibited the ability to degrade over 90% of DON. | [245] |
| Nocardioides. WSN05-2 | Soil | Epimerization of C3 | 3-epi-DON | The isolate bacterium WSN05-2 completely eliminated 1000 μg/mL of DON in 10 days. | [246] |
| Devosia mutans 17-2-E-8 | Soil | Aerobic epimerization of C3 | 3-epi-DON | In an aerobic condition at 25–37 °C and neutral pH for 72 h, 100 μg/mL of DON was converted into 3-epi-DON by 95%. | [247] |
| Paradevosia shaoguanensis DDB001 | Soil | Epimerization of C3 | 3-epi-DON | Strain DDB001 showed complete elimination of 200 mg/L of DON in the full growth medium. | [248] |
| Acinetobacter, Leadbetterella, and Gemmata | Plant and soil | Epimerization of C3 | 3-epi-DON | The incubation of the mixed culture with wheat samples (7.1 μg/mL DON) revealed almost total conversion of DON to the less toxic 3-epi-DON. | [249] |
| A mixed culture Pseudomonas sp. Y1 and Lysobacter sp. S1 | Soil | Epimerization of C3 | 3-epi-DON | The mixed culture Y1 and S1 completely converted 50 μg/mL of DON into 3-epi-DON in 48 h. | [250] |
| Nocardioides sp. ZHH-013 | Soil | Epimerization of C3 | 3-epi-DON | ZZH-013 converted 168.74 μM of DON into 3-epi-DON at 30 °C for 14 days. | [251] |
| A mixed culture Pseudomonas sp. B6-24 and Devosia strain A6-243 | Soil | Epimerization of C3 | 3-epi-DON | The mixed culture B6-24 and A6-243 could biotransform 50 μg/mL of DON in 72 h. | [252] |
| Candida parapsilosisACCC 20221 | Yeast | Epimerization of C3 | 3-epi-DON | ACCC 20,221 demonstrated an 86.59% reduction of 20 μg/mL 3-keto-DON to 3-epi-DON in 48 h. | [241] |
| Trichoderma spp. | - | Glycosylation | D3G | In the presence of Trichoderma spp., over 90% degradation of 57 μg/g DON was achieved. | [253] |
| Clonostachys rosea ACM941 | - | Glycosylation (15-ADON) | 15-ADON-G | ACM941 converted 125–500 μg/mL of 15A-DON into 15A-D3G at 25–28 °C for 10 days. | [254] |
| Aspergillus (NJA-1) | Soil | Unknown | Unknown | After 14 days cultivation, the rate of 40 mg/L DON biotransformation reached 94.4% at 30 °C. | [255] |
| Bacillus licheniformis YB9 | Soil | Unknown | Unknown | YB9 could efficiently detoxify 82.67% of 1 mg/L DON at 37 °C for 48 h. | [256] |
| Bacillus subtilis ASAG 216 | Donkey intestine | Unknown | Unknown | ASAG 216 could detoxify 81.1% of 100 mg/L of DON at 35–50 °C and pH 6.5–9.0 for 8 h. | [257] |
| Bacillus sp. HN117 and N22, | Soil and wheat | Unknown | M-DOM | HN117 eliminated 29.0% of 1000 mg/L DON in 72 h, while N22 exhibited a notable increase in DON degradation rate from 7.41% to 21.21% within 120 h at 500 mg/L DON. | [258] |
| Devosia sp. D-G15 | Soil | Oxidation and epimerization of C3, unknown | 3-keto-DON, 3-epi-DON, Unknown compound C | Devosia sp. D-G15 could completely detoxify 100 μg/mL of DON at pH 7.0 and 30 °C for 60 h. | [259] |
| Enzyme | Biological Origin | Source | Mechanism | Product | Reference |
|---|---|---|---|---|---|
| AKR18A1 | Sphingomonas S3-4 | Soil | Oxidation | 3-keto-DON | [15] |
| Dep A | Devosia mutans 17-2-E-8 | Soil | Oxidation | 3-keto-DON | [260] |
| QDDH | a Devosia strain D6-9 | Wheat field | Oxidation | 3-keto-DON | [261] |
| DDH | Pelagibacterium halotolerans ANSP101 | Ocean | Oxidation | 3-keto-DON | [262] |
| Sorbose dehydrogenase | Ketogulonicigenium vulgare Y25 | - | Oxidation | 3-keto-DON | [263] |
| YoDDH | Youhaiella tibetensis | - | Oxidation | 3-keto-DON | [264] |
| Dep B | Devosia mutans 17-2-E-8 | Soil | Epimerization | 3-epi-DON | [265] |
| AKR13B2 and AKR6D1 | a Devosia strain D6-9 | Wheat field | Epimerization | 3-epi-DON | [261] |
| DepBRleg (AKR18) | Rhizobium leguminosarum | - | Epimerization | 3-epi-DON | [266] |
| SPG | Gossypium hirsutum cv. CCRI12 | - | Isomerization | 3-ADON and 15-ADON | [267] |
| DLK06_RS13370 | Acinetobacter pittii | Soil | Acetylation | 3-ADON | [268] |
| A cytochrome P450 system | Sphingomonas sp. strain KSM1 | Lake water | Hydroxylation | 16H-DON | [269] |
| Fhb7 | Th. elongatum | - | Glutathionylation | DON-GSH | [270] |
| Glutathione S-transferase (GST) Fhb7-GST | Thinopyrum ponticum | Wheat | Glutathionylation | DON-13-GSH | [271] |
| UDP-Glycosyltransferases UGT73C5 | Arabidopsis thaliana | Plants | Glycosylation | D3G | [272] |
| UDP-Glycosyltransferases UGT12887 | Tricum aestivum | Wheat | Glycosylation | D3G | [273] |
| UDP-Glycosyltransferases HvUGT13248 | Hordeum vulgare | Barley | Glycosylation | D3G | [274] |
| UDP-Glycosyltransferases TaUGT4 | Tricum aestivum | Wheat | Glycosylation | D3G | [275] |
| UDP-Glycosyltransferases Bradi5g03300 | Brachypodium distachyon | Plants | Glycosylation | D3G | [276] |
| UDP-Glycosyltransferases Os79 (Os04g0206600) | Oryza sativa | Rice | Glycosylation | D3G | [277] |
| UDP-Glycosyltransferases HvUGT13248 | Hordeum vulgare | Barley | Glycosylation | D3G | [278] |
| UDP-Glycosyltransferases Traes_2BS_14CA35D5D | Tricum aestivum | Wheat | Glycosylation | D3G | [279] |
| UDP-Glycosyltransferases TaUGT-2B and TaUGT-3B | Tricum aestivum | Wheat | Glycosylation | D3G | [280] |
| UDP-Glycosyltransferases TaUGT5 | Arabidopsis thaliana | Chinese spring | Glycosylation | D3G | [281] |
| UDP-Glycosyltransferases TaUGT6 | Tricum aestivum | Wheat | Glycosylation | D3G | [282] |
| UDP-Glycosyltransferases AsUGT1 and AsUGT2 | Avena sativa | Oat | Glycosylation | D3G | [283] |
| UDP-Glycosyltransferases UGT13248 | Hordeum vulgare | Barley | Glycosylation | D3G | [284] |
| UDP-Glycosyltransferases (CrUGT3, CrUGT6 and CrUGT9) | Clonostachys rosea | - | Glycosylation | 15A-D3G | [285] |
| Extracellular enzyme from Aspergillus niger | Aspergillus niger | Soil | Unknown | Unknown | [286] |
Disclaimer/Publisher’s Note: The statements, opinions and data contained in all publications are solely those of the individual author(s) and contributor(s) and not of MDPI and/or the editor(s). MDPI and/or the editor(s) disclaim responsibility for any injury to people or property resulting from any ideas, methods, instructions or products referred to in the content. |
© 2025 by the authors. Licensee MDPI, Basel, Switzerland. This article is an open access article distributed under the terms and conditions of the Creative Commons Attribution (CC BY) license (https://creativecommons.org/licenses/by/4.0/).
Share and Cite
Yu, C.; Plaizier, P.; Gong, J.; Yang, C.; Liu, S. A Comprehensive Review: Current Strategies for Detoxification of Deoxynivalenol in Feedstuffs for Pigs. Animals 2025, 15, 2739. https://doi.org/10.3390/ani15182739
Yu C, Plaizier P, Gong J, Yang C, Liu S. A Comprehensive Review: Current Strategies for Detoxification of Deoxynivalenol in Feedstuffs for Pigs. Animals. 2025; 15(18):2739. https://doi.org/10.3390/ani15182739
Chicago/Turabian StyleYu, Changning, Peter Plaizier, Joshua Gong, Chengbo Yang, and Song Liu. 2025. "A Comprehensive Review: Current Strategies for Detoxification of Deoxynivalenol in Feedstuffs for Pigs" Animals 15, no. 18: 2739. https://doi.org/10.3390/ani15182739
APA StyleYu, C., Plaizier, P., Gong, J., Yang, C., & Liu, S. (2025). A Comprehensive Review: Current Strategies for Detoxification of Deoxynivalenol in Feedstuffs for Pigs. Animals, 15(18), 2739. https://doi.org/10.3390/ani15182739

