Effects of Plant Polysaccharides Combined with Boric Acid on Digestive Function, Immune Function, Harmful Gas and Heavy Metal Contents in Faeces of Fatteners
Abstract
Simple Summary
Abstract
1. Introduction
2. Materials and Methods
2.1. Experimental Products
2.2. Animals, Dietary Treatments and Experimental Design
2.3. Sample Collection
2.4. Determination of Indices
2.4.1. Growth Performance
2.4.2. Determination of Intestinal Digestive Enzyme Activity
2.4.3. Determination of Cytokine Contents
2.4.4. Determination of Antioxidant Function
2.4.5. Determination of Harmful Gases and Metallic Elements in Faeces
2.5. Statistical Analysis
3. Results
3.1. Effects of Plant Polysaccharides Combined with Boric Acid on Growth Performance of Fatteners
3.2. Effects of Plant Polysaccharides Combined with Boric Acid on Digestive Enzyme Activities of Fatteners
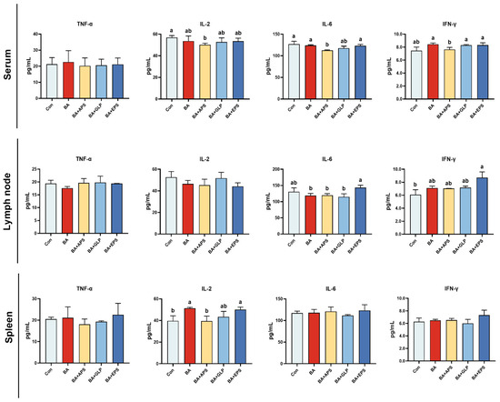
3.3. Effects of Plant Polysaccharides Combined with Boric Acid on Immune Function of Fatteners
3.4. Effects of Plant Polysaccharides Combined with Boric Acid on Antioxidant Activity of Fatteners
3.5. Effects of Plant Polysaccharides Combined with Boric Acid on the Contents of Harmful Substances in Feces and Urine of Fatteners
3.6. Correlation Analysis
3.6.1. The Correlation Analyses between Intestinal Digestive Enzymes and the Contents of Harmful Substances
3.6.2. The Correlation Analyses between Serum Immune Proteins and the Contents of Harmful Substances
3.6.3. The Correlation Analyses between Antioxidant Function and the Contents of Harmful Substances
4. Discussion
5. Conclusions
Author Contributions
Funding
Institutional Review Board Statement
Informed Consent Statement
Data Availability Statement
Conflicts of Interest
References
- Du, D.; Zhou, J.; Zhang, K.; Zhi, S. Seasonal pollution characteristics of antibiotics on pig farms of different scales. Int. J. Environ. Res. Public Health 2022, 19, 8264. [Google Scholar] [CrossRef] [PubMed]
- Pu, H.; Li, X.; Du, Q.; Cui, H.; Xu, Y. Research progress in the application of chinese herbal medicines in aquaculture: A Review. Engineering 2017, 3, 731–737. [Google Scholar] [CrossRef]
- Yang, C.M.; Han, Q.J.; Wang, K.L.; Xu, Y.L.; Lan, J.H.; Cao, G.T. Astragalus and ginseng polysaccharides improve developmental, intestinal morphological, and immune functional characters of weaned piglets. Front. Physiol. 2019, 10, 418. [Google Scholar] [CrossRef] [PubMed]
- Zhao, R.-H.; Yang, F.-X.; Bai, Y.-C.; Zhao, J.-Y.; Hu, M.; Zhang, X.-Y.; Dou, T.-F.; Jia, J.-J. Research progress on the mechanisms underlying poultry immune regulation by plant polysaccharides. Front. Vet. Sci. 2023, 10, 1175848. [Google Scholar] [CrossRef] [PubMed]
- Zhuge, Z.-Y.; Zhu, Y.-H.; Liu, P.-Q.; Yan, X.-D.; Yue, Y.; Weng, X.-G.; Zhang, R.; Wang, J.-F. Effects of astragalus polysaccharide on immune responses of porcine PBMC stimulated with PRRSV or CSFV. PLoS ONE 2012, 7, e29320. [Google Scholar] [CrossRef]
- Wang, K.L.; Zhang, H.R.; Han, Q.J.; Lan, J.H.; Chen, G.Y.; Cao, G.T.; Yang, C.M. Effects of astragalus and ginseng polysaccharides on growth performance, immune function and intestinal barrier in weaned piglets challenged with lipopolysaccharide. J. Anim. Physiol. Anim. Nutr. 2020, 104, 1096–1105. [Google Scholar] [CrossRef]
- Fu, A.K.; Wang, Y.; Wu, Y.P.; Chen, H.L.; Zheng, S.S.; Li, Y.L.; Xu, X.; Li, W.F. Echinacea purpurea extract polarizes M1 macrophages in murine bone marrow-derived macrophages through the activation of JNK. J. Cell. Biochem. 2017, 118, 2664–2671. [Google Scholar] [CrossRef]
- Pearlin, B.V.; Muthuvel, S.; Govidasamy, P.; Villavan, M.; Alagawany, M.; Ragab Farag, M.; Dhama, K.; Gopi, M. Role of acidifiers in livestock nutrition and health: A review. J. Anim. Physiol. Anim. Nutr. 2020, 104, 558–569. [Google Scholar] [CrossRef]
- Haseeb, K.; Wang, J.; Xiao, K.; Yang, K.L.; Peng, K.M. Effects of boron supplementation on expression of hsp70 in the spleen of african ostrich. Biol. Trace Elem. Res. 2018, 182, 317–327. [Google Scholar] [CrossRef]
- Wang, C.F.; Jin, E.H.; Deng, J.; Pei, Y.Q.; Ren, M.; Hu, Q.Q.; Gu, Y.F.; Li, S.H. GPR30 mediated effects of boron on rat spleen lymphocyte proliferation, apoptosis, and immune function. Food Chem. Toxicol. 2020, 146, 8. [Google Scholar] [CrossRef]
- Jin, E.; Ren, M.; Liu, W.; Liang, S.; Hu, Q.; Gu, Y.; Li, S. Effect of boron on thymic cytokine expression, hormone secretion, antioxidant functions, cell proliferation, and apoptosis potential via the ERK1/2 signaling pathway. J. Agric. Food Chem. 2017, 65, 11280–11291. [Google Scholar] [CrossRef]
- Jin, E.; Li, S.; Ren, M.; Hu, Q.; Gu, Y.; Li, K. Boron affects immune function through modulation of splenic T lymphocyte subsets, cytokine secretion, and lymphocyte proliferation and apoptosis in rats. Biol. Trace Elem. Res. 2017, 178, 261–275. [Google Scholar] [CrossRef] [PubMed]
- Lan, R.; Kim, I.H. Effects of bacillus licheniformis and bacillus subtilis complex on growth performance and faecal noxious gas emissions in growing-finishing pigs. J. Sci. Food Agric. 2018, 99, 1554–1560. [Google Scholar] [CrossRef] [PubMed]
- Chen, Y.; Shen, D.; Zhang, L.; Zhong, R.; Liu, Z.; Liu, L.; Chen, L.; Zhang, H. Supplementation of non-starch polysaccharide enzymes cocktail in a corn-miscellaneous meal diet improves nutrient digestibility and reduces carbon dioxide emissions in finishing pigs. Animals 2020, 10, 232. [Google Scholar] [CrossRef] [PubMed]
- Clark, O.G.; Moehn, S.; Edeogu, I.; Price, J.; Leonard, J. Manipulation of dietary protein and nonstarch polysaccharide to control swine manure emissions. J. Environ. Qual. 2005, 34, 1461–1466. [Google Scholar] [CrossRef] [PubMed]
- Liao, S.F.; Monegue, J.S.; Lindemann, M.D.; Cromwell, G.L.; Matthews, J.C. Dietary supplementation of boron differentially alters expression of borate transporter (NaBCl) mRNA by jejunum and kidney of growing pigs. Biol. Trace Elem. Res. 2011, 143, 901–912. [Google Scholar] [CrossRef]
- Lai, X.; Xia, W.; Wei, J.; Ding, X. Therapeutic effect of astragalus polysaccharides on hepatocellular carcinoma H22-bearing mice. Dose-Response 2017, 15, 3517–3524. [Google Scholar] [CrossRef]
- Huang, Q.; Li, L.; Chen, H.; Liu, Q.; Wang, Z. GPP (composition of Ganoderma iucidum poly-saccharides and Polyporus umbellatus poly-saccharides) enhances innate immune function in mice. Nutrients 2019, 11, 1480. [Google Scholar] [CrossRef] [PubMed]
- Li, X.L.; He, L.P.; Yang, Y.; Liu, F.J.; Cao, Y.; Zuo, J.J. Effects of extracellular polysaccharides of Ganoderma lucidum supplementation on the growth performance, blood profile, and meat quality in finisher pigs. Livest. Sci. 2015, 178, 187–194. [Google Scholar] [CrossRef]
- Gu, D.; Wang, H.; Yan, M.; Li, Y.; Yang, S.; Shi, D.; Guo, S.; Wu, L.; Liu, C. Echinacea purpurea (L.) moench extract suppresses inflammation by inhibition of C3a/C3aR signaling pathway in TNBS-induced ulcerative colitis rats. J. Ethnopharmacol. 2023, 307, 116221. [Google Scholar] [CrossRef]
- Barbosa, K.A.; Genova, J.L.; Pazdziora, M.L.; Hennig, J.F.; Azevedo, L.B.d.; Veiga, B.R.d.M.; Rodrigues, G.d.A.; Carvalho, S.T.; Paiano, D.; Saraiva, A.; et al. The role of dietary monoglycerides and tributyrin in enhancing performance and intestinal health function in nursery piglets. Ital. J. Anim. Sci. 2023, 22, 626–638. [Google Scholar] [CrossRef]
- Philippe, F.-X.; Canart, B.; Vandenheede, M.; Nicks, B. Comparison of ammonia and greenhouse gas emissions during the fattening of pigs, kept either on fully slatted floor or on deep litter. Livest. Sci. 2007, 111, 144–152. [Google Scholar] [CrossRef]
- Mohan, K.; Rajan, D.K.; Muralisankar, T.; Ganesan, A.R.; Marimuthu, K.; Sathishkumar, P. The potential role of medicinal mushrooms as prebiotics in aquaculture: A review. Rev. Aquac. 2022, 14, 1300–1332. [Google Scholar] [CrossRef]
- Wu, S.J. Effect of dietary Astragalus membranaceus polysaccharide on the growth performance and immunity of juvenile broilers. Poult. Sci. 2018, 97, 3489–3493. [Google Scholar] [CrossRef] [PubMed]
- Lee, T.T.; Chen, C.L.; Wang, C.C.; Yu, B. Growth performance and antioxidant capacity of broilers supplemented with Echinacea purpurea L. in the diet. J. Appl. Poult. Res. 2012, 21, 484–491. [Google Scholar] [CrossRef]
- Armstrong, T.A.; Spears, J.W. Effect of dietary boron on growth performance, calcium and phosphorus metabolism, and bone mechanical properties in growing barrows. J. Anim. Sci. 2001, 79, 3120–3127. [Google Scholar] [CrossRef] [PubMed]
- Liu, S.; Feng, L.; Jiang, W.-D.; Liu, Y.; Jiang, J.; Wu, P.; Zeng, Y.-Y.; Xu, S.-D.; Kuang, S.-Y.; Tang, L.; et al. Impact of exogenous lipase supplementation on growth, intestinal function, mucosal immune and physical barrier, and related signaling molecules mRNA expression of young grass carp (Ctenopharyngodon idella). Fish Shellfish Immunol. 2016, 55, 88–105. [Google Scholar] [CrossRef] [PubMed]
- Luo, C.; Wang, L.; Yuan, J. Supplemental enzymes and probiotics on the gut health of broilers fed with a newly harvested corn diet. Poult. Sci. 2023, 102, 102740. [Google Scholar] [CrossRef]
- Yi, J.Q.; Piao, X.S.; Li, Z.C.; Zhang, H.Y.; Chen, Y.; Li, Q.Y.; Liu, J.D.; Zhang, Q.; Ru, Y.J.; Dong, B. The Effects of Enzyme Complex on Performance, Intestinal Health and Nutrient Digestibility of Weaned Pigs. Asian-Australas. J. Anim. Sci. 2013, 26, 1181–1188. [Google Scholar] [CrossRef][Green Version]
- Ren, M.; Liu, C.; Zeng, X.; Yue, L.; Mao, X.; Qiao, S.; Wang, J. Amino acids modulates the intestinal proteome associated with immune and stress response in weaning pig. Mol. Biol. Rep. 2014, 41, 3611–3620. [Google Scholar] [CrossRef]
- Kyoung, H.; Lee, J.J.; Cho, J.H.; Choe, J.; Kang, J.; Lee, H.; Liu, Y.H.; Kim, Y.; Kim, H.B.; Song, M. Dietary glutamic acid modulates immune responses and gut health of weaned pigs. Animals 2021, 11, 15. [Google Scholar] [CrossRef] [PubMed]
- Ma, Y.H.; Liu, C.Y.; Qu, D.; Chen, Y.; Huang, M.M.; Liu, Y.P. Antibacterial evaluation of sliver nanoparticles synthesized by polysaccharides from Astragalus membranaceus roots. Biomed. Pharmacother. 2017, 89, 351–357. [Google Scholar] [CrossRef] [PubMed]
- Li, K.K.; Zhuo, C.; Teng, C.Y.; Yu, S.M.; Wang, X.; Hu, Y.; Ren, G.M.; Yu, M.; Qu, J.J. Effects of Ganoderma lucidum polysaccharides on chronic pancreatitis and intestinal microbiota in mice. Int. J. Biol. Macromol. 2016, 93, 904–912. [Google Scholar] [CrossRef] [PubMed]
- Matthias, A.; Banbury, L.; Bone, K.M.; Leach, D.N.; Lehmann, R.P. Echinacea alkylamides modulate induced immune responses in T-cells. Fitoterapia 2008, 79, 53–58. [Google Scholar] [CrossRef] [PubMed]
- Rahimi, S.; Zadeh, Z.T.; Torshizi, M.; Omidbaigi, R.; Rokni, H. Effect of the three herbal extracts on growth performance, immune system, blood factors and lntestinal selected bacterial population in broiler chickens. J. Agric. Sci. Technol. 2011, 13, 527–539. [Google Scholar] [CrossRef]
- Gh, G.; Toghyani, M.; Moattar, F. The effects of Echinacea purpurea L. (purple coneflower) as an antibiotic growth promoter substitution on performance, carcass characteristics and humoral immune response in broiler chickens. J. Med. Plants Res. 2011, 5, 2332–2338. [Google Scholar] [CrossRef]
- Tierra, M. Echinacea: An effective alternative to antibiotics. J. Herb. Pharmacother 2008, 7, 78–89. [Google Scholar]
- Fu, R.; Zhang, P.; Deng, Z.; Jin, G.; Guo, Y.; Zhang, Y. Diversity of antioxidant ingredients among Echinacea species. Ind. Crop. Prod. 2021, 170, 113699. [Google Scholar] [CrossRef] [PubMed]
- Ogal, M.; Johnston, S.L.; Klein, P.; Schoop, R. Echinacea reduces antibiotic usage in children through respiratory tract infection prevention: A randomized, blinded, controlled clinical trial. Eur. J. Med. Res. 2021, 26, 33. [Google Scholar] [CrossRef]
- Lin, R.Z.; Zhi, C.P.; Su, Y.L.; Chen, J.X.; Gao, D.B.; Li, S.H.; Shi, D.Y. Effect of echinacea on gut microbiota of immunosuppressed ducks. Front. Microbiol. 2023, 13, 12. [Google Scholar] [CrossRef]
- Seckin, C.; Kalayci, G.A.; Turan, N.; Yilmaz, A.; Yilmaz, H. Immunomodulatory effects of echinacea and pelargonium on the innate and adoptive immunity in calves. Food Agric. Immunol. 2018, 29, 744–761. [Google Scholar] [CrossRef]
- Zhou, X.; Liu, Z.J.; Long, T.T.; Zhou, L.J.; Bao, Y.X. Immunomodulatory effects of herbal formula of astragalus polysaccharide (APS) and polysaccharopeptide (PSP) in mice with lung cancer. Int. J. Biol. Macromol. 2018, 106, 596–601. [Google Scholar] [CrossRef] [PubMed]
- Wang, C.H.; Shi, S.S.; Chen, Q.; Lin, S.Q.; Wang, R.; Wang, S.Z.; Chen, C.M. Antitumor and immunomodulatory activities of Ganoderma lucidum polysaccharides in glioma-bearing rats. Integr. Cancer Ther. 2018, 17, 674–683. [Google Scholar] [CrossRef] [PubMed]
- Tang, X.-L.; Fu, J.-H.; Li, Z.-H.; Fang, W.-P.; Yang, J.-Y.; Zou, J.-X. Effects of a dietary administration of purple coneflower (Echinacea purpurea) on growth, antioxidant activities and 8 miRNAs expressions in crucian carp (Carassius auratus). Aquac. Res. 2016, 47, 1631–1638. [Google Scholar] [CrossRef]
- Sun, Y.; Wang, X.; Zhou, H.; Mai, K.; He, G. Dietary astragalus polysaccharides ameliorates the growth performance, antioxidant capacity and immune responses in turbot (Scophthalmus maximus L.). Fish Shellfish Immunol. 2020, 99, 603–608. [Google Scholar] [CrossRef] [PubMed]
- Jiang, G.Y.; Lei, A.T.; Chen, Y.; Yu, Q.; Xie, J.H.; Yang, Y.; Yuan, T.J.; Su, D. The protective effects of the Ganoderma atrum polysaccharide against acrylamide-induced inflammation and oxidative damage in rats. Food Funct. 2021, 12, 397–407. [Google Scholar] [CrossRef]
- Khaliq, H.; Wang, J.; Xiao, K.; Yang, K.L.; Sun, P.P.; Lei, C.; Qiu, W.W.; Lei, Z.X.; Liu, H.Z.; Song, H.; et al. Boron affects the development of the kidney through modulation of apoptosis, antioxidant capacity, and Nrf2 pathway in the african ostrich chicks. Biol. Trace Elem. Res. 2018, 186, 226–237. [Google Scholar] [CrossRef] [PubMed]
- Wang, Y.; Chen, Y.J.; Cho, J.H.; Yoo, J.S.; Huang, Y.; Kim, H.J.; Shin, S.O.; Zhou, T.X.; Kim, I.H. Effect of soybean hull supplementation to finishing pigs on the emission of noxious gases from slurry. Anim. Sci. J. 2009, 80, 316–321. [Google Scholar] [CrossRef] [PubMed]
- Joch, M.; Mrazek, J.; Skrivanova, E.; Cermak, L.; Marounek, M. Effects of pure plant secondary metabolites on methane production, rumen fermentation and rumen bacteria populations in vitro. J. Anim. Physiol. Anim. Nutr. 2018, 102, 869–881. [Google Scholar] [CrossRef]
- Yan, L.; Lim, S.U.; Kim, I.H. Effect of fermented chlorella supplementation on growth performance, nutrient digestibility, blood characteristics, fecal microbial and fecal noxious gas content in growing pigs. Asian-Australas. J. Anim. Sci. 2012, 25, 1742–1747. [Google Scholar] [CrossRef]
- Liu, C.; Jiang, W.H.; Yang, F.W.; Cheng, Y.L.; Guo, Y.H.; Yao, W.R.; Zhao, Y.; Qian, H. The combination of microbiome and metabolome to analyze the cross-cooperation mechanism of echinacea purpurea polysaccharide with the gut microbiota in vitro and in vivo. Food Funct. 2022, 13, 10069–10082. [Google Scholar] [CrossRef] [PubMed]
- Cheong, K.-L.; Zhang, Y.; Li, Z.; Li, T.; Ou, Y.; Shen, J.; Zhong, S.; Tan, K. Role of Polysaccharides from Marine Seaweed as Feed Additives for Methane Mitigation in Ruminants: A Critical Review. Polymers 2023, 15, 3153. [Google Scholar] [CrossRef]
- Sun, X.; Cheng, L.; Jonker, A.; Munidasa, S.; Pacheco, D. A review: Plant carbohydrate types—The potential impact on ruminant methane emissions. Front. Vet. Sci. 2022, 9, 880115. [Google Scholar] [CrossRef]
- Hunt, C.D.; Herbel, J.L.; Idso, J.P. Dietary boron modifies the effects of vitamin D3 nutrition on indices of energy substrate utilization and mineral metabolism in the chick. J. Bone Miner. Res. 1994, 9, 171–182. [Google Scholar] [CrossRef]
- Na, Y.; Lee, J.; Lee, S.H.; Kumar, P.; Kim, J.H.; Patel, R. Removal of heavy metals by polysaccharide: A review. Polym.-Plast. Tech. Mat. 2020, 59, 1770–1790. [Google Scholar] [CrossRef]
- Yu, Q.L.; Sun, X.H.; Zhao, J.L.; Zhao, L.; Chen, Y.F.; Fan, L.N.; Li, Z.X.; Sun, Y.Z.; Wang, M.Q.; Wang, F. The effects of zinc deficiency on homeostasis of twelve minerals and trace elements in the serum, feces, urine and liver of rats. Nutr. Metab. 2019, 16, 8. [Google Scholar] [CrossRef]
- Nordell, E.; Nilsson, B.; Nilsson Påledal, S.; Karisalmi, K.; Moestedt, J. Co-digestion of manure and industrial waste—The effects of trace element addition. Waste Manag. 2016, 47, 21–27. [Google Scholar] [CrossRef] [PubMed]
- Liu, J.B.; Cao, S.C.; Liu, J.; Pu, J.; Chen, L.; Zhang, H.F. Effects of dietary energy and lipase levels on nutrient digestibility, digestive physiology and noxious gas emission in weaning pigs. Asian-Australas. J. Anim. Sci. 2018, 31, 1963–1973. [Google Scholar] [CrossRef]
- Sydow, M.; Chrzanowski, Ł.; Leclerc, A.; Laurent, A.; Owsianiak, M. Terrestrial ecotoxic impacts stemming from emissions of Cd, Cu, Ni, Pb and Zn from manure: A spatially differentiated assessment in europe. Sustainability 2018, 10, 4094. [Google Scholar] [CrossRef]
- So, K.-M.; Lee, Y.; Bok, J.D.; Kim, E.B.; Chung, M.I. Analysis of ionomic profiles of canine hairs exposed to lipopolysaccharide (LPS)-induced stress. Biol. Trace Elem. Res. 2016, 172, 364–371. [Google Scholar] [CrossRef]
- Zhang, F.; Zheng, W.; Guo, R.; Yao, W. Effect of dietary copper level on the gut microbiota and its correlation with serum inflammatory cytokines in Sprague-Dawley rats. J. Microbiol. 2017, 55, 694–702. [Google Scholar] [CrossRef] [PubMed]
- Zhang, F.; Zheng, W.; Xue, Y.; Yao, W. Suhuai suckling piglet hindgut microbiome-metabolome responses to different dietary copper levels. Appl. Microbiol. Biotechnol. 2019, 103, 853–868. [Google Scholar] [CrossRef] [PubMed]
- Xu, Z.R.; Han, X.Y.; Wang, Y.Z. Effects on growth and cadmium residues from feeding cadmium-added diets with and without montmorillonite nanocomposite to growing pigs. Vet. Human Toxicol. 2004, 46, 238–241. [Google Scholar] [CrossRef] [PubMed]
- Jin, E.; Gu, Y.; Wang, J.; Jin, G.; Li, S. Effect of Supplementation of Drinking Water with Different Levels of Boron on Performance and Immune Organ Parameters of Broilers. Ital. J. Anim. Sci. 2014, 13, 3152. [Google Scholar] [CrossRef]
- Sun, P.; Luo, Y.; Wu, X.T.; Ansari, A.R.; Wang, J.; Yang, K.; Xiao, K.; Peng, K. Effects of Supplemental Boron on Intestinal Proliferation and Apoptosis in African Ostrich Chicks. Int. J. Morphol 2016, 34, 830–835. [Google Scholar] [CrossRef]









| Ingredients | Content (%) | Nutrients | Content |
|---|---|---|---|
| Corn | 25.75 | ME, kcal/kg | 3055.00 |
| Wheat | 24.00 | DM, % | 87.77 |
| Wheat middlings mix | 18.50 | CP, % | 13.51 |
| Wheat flour | 15.00 | EE, % | 2.97 |
| Rice bran meal | 12.50 | CF, % | 3.68 |
| Limestone (40) | 1.03 | Ca, % | 0.75 |
| Calcium hydrogen phosphate | 0.95 | Avail P, % | 0.30 |
| Soybean oil | 0.80 | Total AA, % | 12.15 |
| Sodium bicarbonate | 0.28 | Total Lys, % | 0.81 |
| NaCl | 0.20 | Total Met, % | 0.25 |
| L-Lysine HCl | 0.56 | ||
| L-threonine | 0.10 | ||
| Ethoxyquin | 0.03 | ||
| Vitamins and minerals Premix a | 0.30 | ||
| Total | 100.00 |
Disclaimer/Publisher’s Note: The statements, opinions and data contained in all publications are solely those of the individual author(s) and contributor(s) and not of MDPI and/or the editor(s). MDPI and/or the editor(s) disclaim responsibility for any injury to people or property resulting from any ideas, methods, instructions or products referred to in the content. |
© 2024 by the authors. Licensee MDPI, Basel, Switzerland. This article is an open access article distributed under the terms and conditions of the Creative Commons Attribution (CC BY) license (https://creativecommons.org/licenses/by/4.0/).
Share and Cite
Deng, J.; Zhang, F.; Fan, H.; Zheng, Y.; Zhao, C.; Ren, M.; Jin, E.; Gu, Y. Effects of Plant Polysaccharides Combined with Boric Acid on Digestive Function, Immune Function, Harmful Gas and Heavy Metal Contents in Faeces of Fatteners. Animals 2024, 14, 1515. https://doi.org/10.3390/ani14111515
Deng J, Zhang F, Fan H, Zheng Y, Zhao C, Ren M, Jin E, Gu Y. Effects of Plant Polysaccharides Combined with Boric Acid on Digestive Function, Immune Function, Harmful Gas and Heavy Metal Contents in Faeces of Fatteners. Animals. 2024; 14(11):1515. https://doi.org/10.3390/ani14111515
Chicago/Turabian StyleDeng, Juan, Feng Zhang, Haoran Fan, Yuxuan Zheng, Chunfang Zhao, Man Ren, Erhui Jin, and Youfang Gu. 2024. "Effects of Plant Polysaccharides Combined with Boric Acid on Digestive Function, Immune Function, Harmful Gas and Heavy Metal Contents in Faeces of Fatteners" Animals 14, no. 11: 1515. https://doi.org/10.3390/ani14111515
APA StyleDeng, J., Zhang, F., Fan, H., Zheng, Y., Zhao, C., Ren, M., Jin, E., & Gu, Y. (2024). Effects of Plant Polysaccharides Combined with Boric Acid on Digestive Function, Immune Function, Harmful Gas and Heavy Metal Contents in Faeces of Fatteners. Animals, 14(11), 1515. https://doi.org/10.3390/ani14111515

