Shedding Kinetics of Infectious Hematopoietic Necrosis Virus (IHNV) in Juvenile Spring- and Fall-Run Chinook Salmon of the Columbia River Basin
Abstract
:Simple Summary
Abstract
1. Introduction
2. Materials and Methods
2.1. Experimental Fish Populations
2.2. Experimental Virus Strains
2.3. Virus Exposure and Monitoring
2.4. RNA Extraction and Quantification of Shed Viral RNA
2.5. Statistical Analyses
2.5.1. Number of Fish Shedding over Days 2–5 (Fish Shedding-Days)
2.5.2. Viral Shedding Kinetics
2.5.3. Survival of Experimental Fish Populations
3. Results
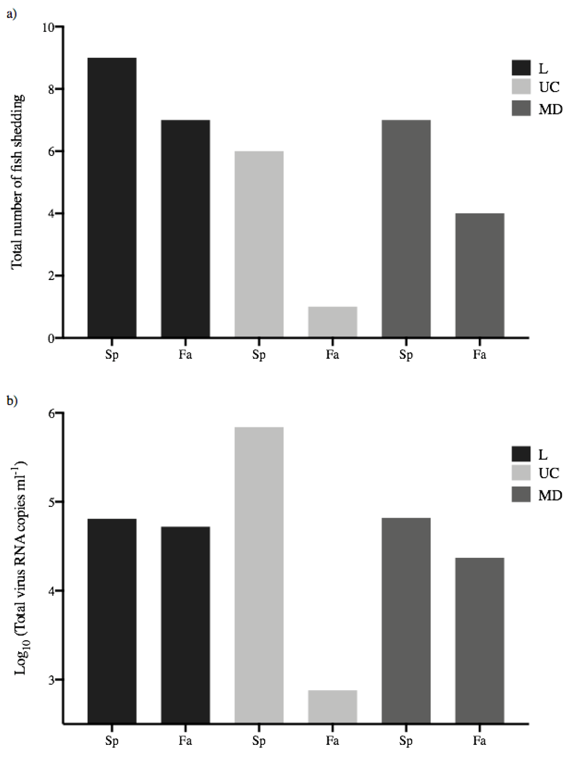
3.1. Number of Fish Shedding Virus
3.2. Kinetics and Magnitude of Viral Shedding
3.3. Total Virus Shed by Individual Fish
3.4. Total Virus Shed by Each Treatment Group
3.5. Correlation of Duration and Total Magnitude of Shedding
3.6. Survival of Experimental Fish Populations
4. Discussion
5. Conclusions
Supplementary Materials
Author Contributions
Funding
Institutional Review Board Statement
Informed Consent Statement
Data Availability Statement
Acknowledgments
Conflicts of Interest
References
- Wolf, K. Infectious Hematopoietic Necrosis. In Fish Viruses and Fish Viral Diseases; Cornell University Press: Ithaca, NY, USA, 1988; pp. 83–114. [Google Scholar]
- Bootland, L.M.; Leong, J.C. Infectious Haematopoietic Necrosis Virus (IHNV), In Fish Diseases and Disorders: Viral, Bacterial, and Fungal Infections; Woo, P.T.K., Leatherland, J.F., Bruno, D.W., Eds.; CAB International Publishing: Poole, UK, 2011; Volume 3, pp. 66–109. [Google Scholar]
- Kurath, G. Fish novirhabdoviruses. In Rhabdoviruses: Molecular Taxonomy, Evolution, Genomics, Ecology, Host-Vector Interactions, Cytopathology, and Control; Dietzgen, R.G., Kuzman, I.V., Eds.; Caister Academic Press: Norfolk, UK, 2012; pp. 89–117. [Google Scholar]
- Kurath, G.; Garver, K.A.; Troyer, R.M.; Emmenegger, E.J.; Einer-Jensen, K.; Anderson, E.D. Phylogeography of infectious hematopoietic necrosis virus in North America. J. Gen. Virol. 2003, 84, 803–814. [Google Scholar] [CrossRef] [PubMed]
- Troyer, R.M.; LaPatra, S.E.; Kurath, G. Genetic analyses reveal usually high diversity of infectious hematopoietic necrosis virus in rainbow trout aquaculture. J. Gen. Virol. 2003, 81, 2823–2832. [Google Scholar] [CrossRef] [PubMed]
- Kelley, G.O.; Bendorf, C.M.; Yun, S.C.; Kurath, G.; Hedrick, R.P. Genotypes and phylogeographical relationships of infectious hematopoietic necrosis virus in California, USA. Dis. Aquat. Org. 2007, 77, 29–40. [Google Scholar] [CrossRef] [Green Version]
- Black, A.; Breyta, R.; Bedford, T.; Kurath, G. Geography and host species shape the evolutionary dynamics of U genogroup infectious hematopoietic necrosis virus. Virus Evol. 2016, 2, vew034. [Google Scholar] [CrossRef] [PubMed] [Green Version]
- Breyta, R.; Black, A.; Kaufman, J.; Kurath, G. Spatial and temporal heterogeneity of infectious hematopoietic necrosis virus in Pacific Northwest salmonids. Infect. Genet. Evol. 2016, 45, 347–358. [Google Scholar] [CrossRef] [PubMed] [Green Version]
- Garver, K.; Troyer, R.; Kurath, G. Two distinct phylogenetic clades of infectious hematopoietic necrosis virus overlap within the Columbia River basin. Dis. Aquat. Org. 2003, 55, 187–203. [Google Scholar] [CrossRef] [PubMed] [Green Version]
- Breyta, R.; Brito, I.; Ferguson, P.; Kurath, G.; Naish, K.; Purcell, M.K.; Wargo, A.; LaDeau, S. Transmission routes maintaining a viral pathogen of steelhead trout within a complex multi-host assemblage. Ecol. Evol. 2017, 7, 8187–8200. [Google Scholar] [CrossRef] [Green Version]
- Bendorf, C.M.; Kelley, G.O.; Yun, S.C.; Kurath, G.; Andree, K.B.; Hedrick, R.P. Genetic diversity of infectious hematopoietic necrosis virus from Feather River and Lake Oroville, California, and virulence of selected isolates for Chinook salmon and rainbow trout. J. Aquat. Anim. Health 2007, 19, 254–269. [Google Scholar] [CrossRef]
- Bendorf, C.M.; Yun, S.C.; Kurath, G.; Hedrick, R.P. Comparative susceptibilities of selected California Chinook salmon and steelhead populations to isolates of L genogroups infectious hematopoietic necrosis virus (IHNV). Animals 2022, 12, 1733. [Google Scholar] [CrossRef]
- Wargo, A.R.; Scott, R.J.; Kerr, B.; Kurath, G. Replication and shedding kinetics of infectious hematopoietic necrosis virus in juvenile rainbow trout. Virus Res. 2017, 227, 200–211. [Google Scholar] [CrossRef] [Green Version]
- Wargo, A.R.; Scott, R.J.; Kerr, B.; Kurath, G. Virus shedding kinetics and unconventional virulence tradeoffs. PLoS Path. 2021, 17, e1009528. [Google Scholar] [CrossRef] [PubMed]
- Hernandez, D.G.; Purcell, M.K.; Friedman, C.S.; Kurath, G. Susceptibility of ocean-and stream-type Chinook salmon to isolates of the L, U, and M genogroups of infectious hematopoietic necrosis virus (IHNV). Dis. Aquat. Org. 2016, 121, 15–28. [Google Scholar] [CrossRef] [PubMed]
- Hernandez, D.G.; Brown, W.; Naish, K.A.; Kurath, G. Virulence and infectivity of UC, MD, and L strains of infectious hematopoietic necrosis virus (IHNV) in four populations of Columbia River Basin Chinook salmon. Viruses 2021, 13, 701. [Google Scholar] [CrossRef] [PubMed]
- Waples, R.S.; Teel, D.J.; Myers, J.M.; Marshall, A.R. Life-history divergence in Chinook salmon: Historic contingency and parallel evolution. Evolution 2004, 58, 386–403. [Google Scholar] [CrossRef] [Green Version]
- Narum, S.R.; Hess, J.E.; Matala, A.P. Examining genetic lineages of Chinook salmon in the Columbia River Basin. Trans. Am. Fish. Soc. 2010, 139, 1465–1477. [Google Scholar] [CrossRef]
- Myers, J.M.; Kope, R.G.; Bryant, B.J.; Teel, D.; Lierheimer, L.J.; Wainwright, T.C.; Grant, W.S.; Waknitz, F.W.; Neely, K.; Lindley, S.T.; et al. Status Review of Chinook Salmon from Washington, Idaho, Oregon, and California; NOAA Tech. Memo NMFS-NWFSC-35; U.S. Department of Commerce: Washington, DC, USA, 1998. Available online: https://repository.library.noaa.gov/view/noaa/3034 (accessed on 14 July 2022).
- Brannon, E.L.; Powell, M.S.; Quinn, T.P.; Talbot, A. Population structure of Columbia River Basin Chinook salmon and steelhead trout. Rev. Fish. Sci. 2004, 12, 99–232. [Google Scholar] [CrossRef]
- International Committee for Virus Taxonomy, Virus Taxonomy 2021 Release. Available online: https://talk.ictvonline.org/taxonomy (accessed on 28 March 2022).
- Garver, K.A.; Batts, W.N.; Kurath, G. Virulence comparisons of infectious hematopoietic necrosis virus U and M genogroups in sockeye salmon and rainbow trout. J. Aquat. Anim. Health 2006, 18, 232–243. [Google Scholar] [CrossRef]
- Breyta, R.; Jones, A.; Kurath, G. Differential susceptibility in steelhead trout populations to an emergent MD strain of infectious hematopoietic necrosis virus. Dis. Aquat. Org. 2014, 112, 17–28. [Google Scholar] [CrossRef] [Green Version]
- Fijan, N.; Sulimanovic, D.; Bearzotti, M.; Muzinic, D.; Zwillenberg, L.O.; Chilmonczyk, S.; Vautherot, J.F.; de Kinkelin, P. Some properties of the Epithelioma papulosum cyprini (EPC) cell line from carp Cyprinus carpio. Ann. De L’institut Pasteur Virol. 1983, 134, 207–220. [Google Scholar] [CrossRef]
- Winton, J.R.; Batts, W.; deKinkelin, P.; LeBerre, M.; Bremont, M.; Fijan, N. Current lineages of the epithelioma papulosum cyprini (EPC) cell line are contaminated with fathead minnow, Pimephales promelas, cells. J. Fish Dis. 2010, 33, 701–704. [Google Scholar] [CrossRef]
- Batts, W.N.; Winton, J.R. Enhanced detection of infectious hematopoietic necrosis virus and other fish viruses by pretreatment of cell monolayers with polyethylene glycol. J. Aquat. Anim. Health 1989, 1, 284–290. [Google Scholar] [CrossRef]
- Wargo, A.R.; Garver, K.A.; Kurath, G. Virulence correlates with fitness in vivo for two M group genotypes of Infectious hematopoietic necrosis virus (IHNV). Virology 2010, 404, 51–58. [Google Scholar] [CrossRef] [PubMed] [Green Version]
- Purcell, M.K.; Thompson, R.L.; Garver, K.A.; Hawley, L.M.; Batts, W.N.; Sprague, L.; Sampson, C.; Winton, J.R. Universal reverse-transcriptase real-time PCR for infectious hematopoietic necrosis virus (IHNV). Dis. Aquat. Org. 2013, 106, 103–115. [Google Scholar] [CrossRef] [PubMed] [Green Version]
- Zar, J.H. Biostatistical Analysis, 5th ed.; Pearson Education: Upper Saddie River, NJ, USA, 2010. [Google Scholar]
- GraphPad Software, Inc. GraphPad Prismâ, Version 8.1.0; San Diego: La Jolla, CA, USA, 2019.
- Troyer, R.M.; Kurath, G. Molecular epidemiology of infectious hematopoietic necrosis virus reveals complex virus traffic and evolution within southern Idaho aquaculture. Dis. Aquat. Org. 2003, 55, 175–185. [Google Scholar] [CrossRef] [PubMed]
- Hershberger, P.; Gregg, J.; Grady, C.; Collins, R.; Winton, J. Kinetics of viral shedding provide insights into the epidemiology of viral hemorrhagic septicemia in Pacific herring. Mar. Ecol. Progr. Ser. 2010, 400, 187–193. [Google Scholar] [CrossRef] [Green Version]
- Garver, K.A.; Mahony, A.A.M.; Stucchi, D.; Richard, J.; Van Woensel, C.; Foreman, M. Estimation of parameters influencing waterborne transmission of infectious hematopoietic necrosis virus (IHNV) in Atlantic Salmon (Salmo salar). PLoS ONE 2013, 8, e82296. [Google Scholar] [CrossRef] [Green Version]
- Kim, R.; Faisal, M. Shedding of viral hemorrhagic septicemia virus (Genotype IVb) by experimentally infected muskellunge (Esox masquinongy). J. Microbiol. 2012, 50, 278–284. [Google Scholar] [CrossRef]
- McKibben, C.L.; Pascho, R.J. Shedding of Renibacterium salmoninarum by infected chinook salmon Oncorhynchus tschawytscha. Dis. Aquat. Org. 1999, 38, 75–79. [Google Scholar] [CrossRef]
- Purcell, M.K.; McKibben, C.L.; Pearman-Gillman, S.; Elliott, D.G.; Winton, J.R. Effects of temperature on Renibacterium salmoninarum infection and transmission potential in Chinook salmon, Oncorhynchus tshawytscha (Walbaum). J. Fish Dis. 2016, 39, 787–798. [Google Scholar] [CrossRef]
- Hershberger, P.K.; Gregg, J.L.; Grady, C.A.; Hart, L.M.; Roon, S.R.; Winton, J.R. Factors controlling the early stages of viral hemorrhagic septicemia epizootics: Low exposure levels, virus amplification and fish-to-fish transmission. J. Fish Dis. 2011, 34, 893–899. [Google Scholar] [CrossRef]
- Paez, D.J.; LaDeau, S.L.; Breyta, R.; Kurath, G.; Naish, K.A.; Ferguson, P.F.B. Infectious hematopoietic necrosis virus specialization in a multi-host salmonid system. Evol. Appl. 2020, 13, 1841–1853. [Google Scholar] [CrossRef] [PubMed] [Green Version]
- Molecular Epidemiology of Aquatic Pathogens-Infectious hematopoietic Necrosis Virus (MEAP-IHNV). Available online: https://gis.nacse.org/ihnv (accessed on 14 July 2022).








Publisher’s Note: MDPI stays neutral with regard to jurisdictional claims in published maps and institutional affiliations. |
© 2022 by the authors. Licensee MDPI, Basel, Switzerland. This article is an open access article distributed under the terms and conditions of the Creative Commons Attribution (CC BY) license (https://creativecommons.org/licenses/by/4.0/).
Share and Cite
Hernandez, D.G.; Kurath, G. Shedding Kinetics of Infectious Hematopoietic Necrosis Virus (IHNV) in Juvenile Spring- and Fall-Run Chinook Salmon of the Columbia River Basin. Animals 2022, 12, 1887. https://doi.org/10.3390/ani12151887
Hernandez DG, Kurath G. Shedding Kinetics of Infectious Hematopoietic Necrosis Virus (IHNV) in Juvenile Spring- and Fall-Run Chinook Salmon of the Columbia River Basin. Animals. 2022; 12(15):1887. https://doi.org/10.3390/ani12151887
Chicago/Turabian StyleHernandez, Daniel G., and Gael Kurath. 2022. "Shedding Kinetics of Infectious Hematopoietic Necrosis Virus (IHNV) in Juvenile Spring- and Fall-Run Chinook Salmon of the Columbia River Basin" Animals 12, no. 15: 1887. https://doi.org/10.3390/ani12151887
APA StyleHernandez, D. G., & Kurath, G. (2022). Shedding Kinetics of Infectious Hematopoietic Necrosis Virus (IHNV) in Juvenile Spring- and Fall-Run Chinook Salmon of the Columbia River Basin. Animals, 12(15), 1887. https://doi.org/10.3390/ani12151887

