Sign in to use this feature.

Years

Between: -

Subjects

remove_circle_outline
remove_circle_outline
remove_circle_outline
remove_circle_outline
remove_circle_outline
remove_circle_outline
remove_circle_outline
remove_circle_outline
remove_circle_outline

Journals

Article Types

Countries / Regions

Search Results (82)

Search Parameters:
Keywords = intraspecies variation

Order results
Result details
Results per page
Select all
Export citation of selected articles as:
9 pages, 1152 KB  
Communication
Comparison of Different Methods of Molecular Detection of Erwinia amylovora in Plant Material
by Alexandr Pozharskiy, Valeriya Kostyukova, Gulnaz Nizamdinova and Dilyara Gritsenko
Curr. Issues Mol. Biol. 2025, 47(12), 1034; https://doi.org/10.3390/cimb47121034 - 11 Dec 2025
Viewed by 299
Abstract
Fire blight, caused by Erwinia amylovora, is one of the most damaging bacterial diseases affecting apple production and the safety of wild Malus sieversii populations in Central Asia. Effective monitoring relies on accurate molecular diagnostics; however, comparative data on commonly used detection [...] Read more.
Fire blight, caused by Erwinia amylovora, is one of the most damaging bacterial diseases affecting apple production and the safety of wild Malus sieversii populations in Central Asia. Effective monitoring relies on accurate molecular diagnostics; however, comparative data on commonly used detection methods remain limited for the region. In this study, we evaluated the performance of three molecular assays—LAMP, real-time PCR, and targeted nanopore sequencing of a 16S rRNA gene fragment—using 124 plant samples exhibiting fire blight symptoms collected from 30 sites across Southern Kazakhstan and Kyrgyzstan. The results of LAMP, real-time PCR, and the amplification of 16S sequences were highly consistent with each other. Targeted 16S nanopore sequencing reliably identified E. amylovora in all PCR-positive samples, yielding high read counts and consistent species-level classification, although the analyzed 16S region provided limited resolution for intraspecies variation. Across sampling locations, abandoned orchards represented major reservoirs of infection compared to maintained orchards and wild populations. Our results confirm that all three approaches are robust tools for detecting E. amylovora. These findings support the importance of different molecular diagnostic methods to assist fire blight surveillance in the region. Full article
(This article belongs to the Section Molecular Plant Sciences)
Show Figures

Figure 1

21 pages, 979 KB  
Article
Evaluation of the Nutritional Composition and Microbiological Quality of Sorghum (Sorghum bicolor (L.) Moench)
by Angel Angelov, Ivan Rangelov, Mariana Petkova, Rosen Chochkov, Stefan Shilev and Velitchka Gotcheva
Foods 2025, 14(23), 4079; https://doi.org/10.3390/foods14234079 - 27 Nov 2025
Viewed by 887
Abstract
Sorghum (Sorghum bicolor (L.) Moench) is increasingly recognized as a sustainable crop due to its adaptability to challenging environmental conditions and its nutritional potential. The present study aimed to characterize the nutritional composition and native microbial species associated with three sorghum hybrids [...] Read more.
Sorghum (Sorghum bicolor (L.) Moench) is increasingly recognized as a sustainable crop due to its adaptability to challenging environmental conditions and its nutritional potential. The present study aimed to characterize the nutritional composition and native microbial species associated with three sorghum hybrids cultivated in Bulgaria. Crude protein was 9.37–10.42%, total carbohydrate content was between 87.4 and 89.6%, and crude fat content was in the range of 3.84–4.9%. Linoleic acid was the predominant fatty acid in all hybrids, accounting for 44.9% to 48.0% of total lipids. Quinic acid emerged as the dominant organic acid in all hybrids, with the highest concentration of 729.37 mg/100 g. The microbiological assessment focused on lactic acid bacteria (LAB) and yeasts. Microbial isolates were subjected to molecular identification through 16S rRNA gene and ITS region sequencing. The predominant LAB species included Levilactobacillus brevis, Lactiplantibacillus plantarum, Lactiplantibacillus pentosus, Pediococcus acidilactici, and Pediococcus pentosaceus, while most of the yeast isolates belonged to Saccharomyces cerevisiae. Phylogenetic analysis indicated substantial intraspecies variation, particularly within LAB strains, suggesting the presence of unique genotypic traits. These findings contribute to a better understanding of sorghum’s nutritional value and endogenous microbiota and open opportunities for developing sorghum-based functional products. Full article
Show Figures

Figure 1

12 pages, 1845 KB  
Article
Unraveling Wing Shape Variation in Malaria Mosquitoes from the Arctic Edge: A Geometric Morphometric Study in Western Siberia
by Ximena Calderon, Gleb Artemov, Vladimir A. Burlak, Svetlana Alexeeva, Raquel Hernández-P, Manuel J. Suazo, Laura M. Pérez, Hugo A. Benítez and Margarita Correa
Animals 2025, 15(20), 2949; https://doi.org/10.3390/ani15202949 - 11 Oct 2025
Viewed by 561
Abstract
In Russia, Western Siberia, Anopheles from maculipennis subgroup comprises three vector species: An. messeae, An. daciae, An. beklemishevi, and the hybrid between An. messeae and An. daciae (Anopheles m-d), which exhibit complex cryptic morphological traits. Traditional morphological methods, such [...] Read more.
In Russia, Western Siberia, Anopheles from maculipennis subgroup comprises three vector species: An. messeae, An. daciae, An. beklemishevi, and the hybrid between An. messeae and An. daciae (Anopheles m-d), which exhibit complex cryptic morphological traits. Traditional morphological methods, such as egg morphology and exochorion coloration, have proven insufficient for reliably distinguishing these closely related species due to overlapping characteristics and high intra-species variability. To overcome these limitations, geometric morphometrics (GM) has emerged as a powerful tool for analyzing cryptic morphology. This article focuses on wing venation patterns, where GM provides precise, quantitative data based on defined anatomical landmarks, enabling detailed assessment of size and shape variation among species. Procrustes ANOVA, principal component analysis (PCA), and canonical variate analysis (CVA) were employed to assess shape variation and species differentiation. Centroid size and its relationship to shape variation were examined using multivariate regression. Despite significant morphological differences, the overlap observed in hybrids (An. m-d) reflects their intermediate position between the parental species. Our analyses revealed significant differences in wing shape and size among An. messeae, An. daciae, An. beklemishevi, and their hybrids, with hybrids showing intermediate morphologies. Landmarks on radial and medial veins were the most consistent contributors to species separation. No evidence of static allometry was detected, and wing shape differences were not explained by size. These findings demonstrate that wing morphometrics, combined with molecular identification, provides a reliable framework for species delimitation and surveillance of malaria vectors in temperate regions. Full article
Show Figures

Figure 1

19 pages, 152012 KB  
Article
IP-YOLOv8: A Multi-Scale Pest Detection Algorithm for Field-Scale Applications
by Chenggui Yang, Yibo Wang, Lijun Yun, Haoyu Wang, Yuqi Han and Zaiqing Chen
Horticulturae 2025, 11(9), 1109; https://doi.org/10.3390/horticulturae11091109 - 13 Sep 2025
Viewed by 1203
Abstract
Field-scale pest monitoring requires accurate pest recognition and classification techniques. However, there are two main challenges in practical pest detection tasks. First, both intra-species morphological variation across developmental stages and inter-species size differences create challenges for models adapting to multi-scale features. Second, biological [...] Read more.
Field-scale pest monitoring requires accurate pest recognition and classification techniques. However, there are two main challenges in practical pest detection tasks. First, both intra-species morphological variation across developmental stages and inter-species size differences create challenges for models adapting to multi-scale features. Second, biological camouflage reduces target-background contrast, increasing the difficulty of model recognition. To address these issues, this paper proposes an improved pest detection model, IP-YOLOv8, based on YOLOv8s. First, a multi-scale feature fusion architecture is introduced, establishing a cross-layer feature interaction mechanism that effectively integrates shallow detailed features and deep semantic features, significantly enhancing the model’s multi-scale representation ability. Second, a dynamic detection head is designed to address the diverse morphology of pests. This head adapts the receptive field through a dynamic sampling mechanism, allowing the model to accurately capture pest features of varying scales and shapes. Finally, to tackle the issue of camouflage background confusion, an edge feature fusion module is proposed to enhance target contour information, thereby addressing the blurring of edge features caused by camouflage. Experimental results demonstrate that IP-YOLOv8 outperforms YOLOv8s on the IP102 dataset, achieving improvements of 2.2% in mAP50, 1.3% in mAP50:95, 3.1% in precision, and 1.5% in recall. This method effectively adapts to complex field pest detection tasks, providing strong technical support for precision agriculture. Full article
(This article belongs to the Section Insect Pest Management)
Show Figures

Figure 1

12 pages, 1687 KB  
Article
Reproductive Ecology of the Java Rabbitfish, Siganus javus, in the Southern South China Sea
by Takaomi Arai, Iy Vonne Tan, Fui Fui Ching and Norhayati Ahmad
Fishes 2025, 10(9), 441; https://doi.org/10.3390/fishes10090441 - 3 Sep 2025
Viewed by 1024
Abstract
Fish reproductive biology influences their life history and can impact their vulnerability to fisheries; therefore, for sustainable management and development, a proper understanding is crucial. Reproductive biology, including maturation, spawning season, fecundity, and sex ratio, was examined throughout the year in the Java [...] Read more.
Fish reproductive biology influences their life history and can impact their vulnerability to fisheries; therefore, for sustainable management and development, a proper understanding is crucial. Reproductive biology, including maturation, spawning season, fecundity, and sex ratio, was examined throughout the year in the Java Rabbitfish, Siganus javus, in the southern South China Sea. This study is the first to examine reproductive traits by collecting a total of 339 S. javus specimens monthly from September 2017 to August 2018 through detailed gonad histology. The spawning season of female S. javus was mainly restricted to July, August, October, and December, whereas male fish were found to spawn throughout the year. Inter-species variations in the spawning season were observed within the genus, which is influenced by interspecific spawning strategies and regional environmental factors. The sex ratio close to 1:1 suggests that the fish population is in equilibrium in the region. The fecundity of S. javus ranged from 1.8 × 105 to 12 × 105, which was similar to that of other species in Siganus, suggesting less inter- and intra-species variation in fecundity within the family. The middle maturation stage was absent throughout the year, probably due to the different habitat uses during their life history. Reproductive biology might influence other biological aspects, such as migration and behaviour in the fish. Full article
(This article belongs to the Special Issue The Ecology of Reef Fishes)
Show Figures

Figure 1

24 pages, 3204 KB  
Article
Host Shaping Associated Microbiota in Hydrothermal Vent Snails from the Indian Ocean Ridge
by Xiang Zeng, Jianwei Chen, Guilin Liu, Yadong Zhou, Liping Wang, Yaolei Zhang, Shanshan Liu and Zongze Shao
Biology 2025, 14(8), 954; https://doi.org/10.3390/biology14080954 - 29 Jul 2025
Cited by 1 | Viewed by 1465
Abstract
Snails at hydrothermal vents rely on symbiotic bacteria for nutrition; however, the specifics of these associations in adapting to such extreme environments remain underexplored. This study investigated the community structure and metabolic potential of bacteria associated with two Indian Ocean vent snails, Chrysomallon [...] Read more.
Snails at hydrothermal vents rely on symbiotic bacteria for nutrition; however, the specifics of these associations in adapting to such extreme environments remain underexplored. This study investigated the community structure and metabolic potential of bacteria associated with two Indian Ocean vent snails, Chrysomallon squamiferum and Gigantopelta aegis. Using microscopic, phylogenetic, and metagenomic analyses, this study examines bacterial communities inhabiting the foot and gland tissues of these snails. G. aegis exhibited exceptionally low bacterial diversity (Shannon index 0.14–0.18), primarily Gammaproteobacteria (99.9%), including chemosynthetic sulfur-oxidizing Chromatiales using Calvin–Benson–Bassham cycle and methane-oxidizing Methylococcales in the glands. C. squamiferum hosted significantly more diverse symbionts (Shannon indices 1.32–4.60). Its black variety scales were dominated by Campylobacterota (67.01–80.98%), such as Sulfurovum, which perform sulfur/hydrogen oxidation via the reductive tricarboxylic acid cycle, with both Campylobacterota and Gammaproteobacteria prevalent in the glands. The white-scaled variety of C. squamiferum had less Campylobacterota but a higher diversity of heterotrophic bacteria, including Delta-/Alpha-Proteobacteria, Bacteroidetes, and Firmicutes (classified as Desulfobacterota, Pseudomomonadota, Bacteroidota, and Bacillota in GTDB taxonomy). In C. squamiferum, Gammaproteobacteria, including Chromatiales, Thiotrichales, and a novel order “Endothiobacterales,” were chemosynthetic, capable of oxidizing sulfur, hydrogen, or iron, and utilizing the Calvin–Benson–Bassham cycle for carbon fixation. Heterotrophic Delta- and Alpha-Proteobacteria, Bacteroidetes, and Firmicutes potentially utilize organic matter from protein, starch, collagen, amino acids, thereby contributing to the holobiont community and host nutrition accessibility. The results indicate that host species and intra-species variation, rather than the immediate habitat, might shape the symbiotic microbial communities, crucial for the snails’ adaptation to vent ecosystems. Full article
Show Figures

Figure 1

24 pages, 3420 KB  
Article
Biocontrol Potential of Native Trichoderma Strains Toward Soil-Borne Phytopathogenic and Saprotrophic Fungi
by Kristina Atlagić, Tijana Cvetić Antić, Jovana Lukičić, Katarina Kruščić, Miroslav Živić, Nikola Unković, Tanja Pajić, Katarina Stevanović and Nataša V. Todorović
J. Fungi 2025, 11(7), 535; https://doi.org/10.3390/jof11070535 - 18 Jul 2025
Cited by 1 | Viewed by 2451
Abstract
The potential of Trichoderma fungi as biocontrol agents has not yet been fully explored, as there is a large repertoire of inter- and intra-species variation in their phytopathogenic antagonistic effects due to different adaptations of individual Trichoderma strains. In the present study, we [...] Read more.
The potential of Trichoderma fungi as biocontrol agents has not yet been fully explored, as there is a large repertoire of inter- and intra-species variation in their phytopathogenic antagonistic effects due to different adaptations of individual Trichoderma strains. In the present study, we investigated the biocontrol efficacy of eight native isolates of Trichoderma spp. against the soilborne phytopathogens Sclerotinia sclerotiorum and Rhizoctonia solani and a representative of the Mucoromycota, Phycomyces blakesleeanus. An in vitro dual culture test showed a complete (100%) inhibition of S. sclerotiorum and P. blakesleeanus by each tested Trichoderma strain and a high (80–100%) inhibition of R. solani. The crude chloroform extracts, whose peptide contents were confirmed by thin-layer chromatography, caused a concentration-dependent reduction in the growth of the target fungi, with inhibition comparable to the effect of the peptaibol standard alamethicin. Despite the differences between fungi from the phyla Basidiomycota, Ascomycota, and Mucoromycota, their inhibition by alamethicin followed the same dose–response dependence. The growth inhibition of P. blakesleeanus induced by Trichoderma extracts was characterized by a significantly increased activity of antioxidative defense enzymes. Both variants of biocontrol agents, the native strains of Trichoderma spp. and their extracts, are efficient in controlling fungal growth and should be considered for the development of new potent bioformulations applicable in agriculture. Full article
Show Figures

Figure 1

14 pages, 1995 KB  
Article
Genetic and Morphological Variation Among Populations of Duckweed Species in Thailand
by Athita Senayai, Yosapol Harnvanichvech, Srunya Vajrodaya, Tokitaka Oyama and Ekaphan Kraichak
Plants 2025, 14(13), 2030; https://doi.org/10.3390/plants14132030 - 2 Jul 2025
Cited by 2 | Viewed by 3502
Abstract
Duckweeds have emerged as frontier plants in research, food, and bioenergy applications. Consistency in genetic and morphological traits within species is therefore crucial for their effective use. Thailand hosts diverse duckweed populations with representatives from four of the five genera and at least [...] Read more.
Duckweeds have emerged as frontier plants in research, food, and bioenergy applications. Consistency in genetic and morphological traits within species is therefore crucial for their effective use. Thailand hosts diverse duckweed populations with representatives from four of the five genera and at least four species recorded. However, the extent of genetic and morphological variation within these species in Thailand remains unclear. Here, we investigated the genetic and morphological variation in four duckweed species—Landoltia punctata, Lemna aequinoctialis, Spirodela polyrhiza, and Wolffia globosa—collected from 26 sites across Thailand. Using the multilocus sequence typing approach based on three chloroplast genes (rbcL, atpF–atpH, and psbK–psbI), we show that genetic variation in duckweed is distinct at both inter-species and intra-species levels. Among these four species, Lemna aequinoctialis exhibits the highest genetic variation, forming four distinct phylogenetic clusters. This is followed by Spirodela polyrhiza, Wolffia globosa, and Landoltia punctata. In addition, we observe that morphological variation, particularly frond aspect ratio, varies significantly among clusters but remains consistent within each cluster of each species. These findings suggest that duckweed populations in Thailand exhibit substantial genetic variation at the intraspecific level, which is closely associated with frond morphological variation. Full article
(This article belongs to the Special Issue Duckweed: Research Meets Applications—2nd Edition)
Show Figures

Figure 1

19 pages, 5178 KB  
Article
Pan-Genome-Based Characterization of the SRS Transcription Factor Family in Foxtail Millet
by Ruimiao Li, Cuiyun Lei, Qiang Zhang, Xiaomeng Guo, Xiting Cui, Xingchun Wang, Xukai Li and Jianhua Gao
Plants 2025, 14(8), 1257; https://doi.org/10.3390/plants14081257 - 21 Apr 2025
Cited by 1 | Viewed by 1434
Abstract
The Short Internodes-Related Sequence (SRS) family, a class of plant-specific transcription factors crucial for diverse biological processes, was systematically investigated in foxtail millet using pan-genome data from 110 core germplasm resources as well as two high-quality genomes (xm and Yu1). We identified [...] Read more.
The Short Internodes-Related Sequence (SRS) family, a class of plant-specific transcription factors crucial for diverse biological processes, was systematically investigated in foxtail millet using pan-genome data from 110 core germplasm resources as well as two high-quality genomes (xm and Yu1). We identified SRS members and analyzed their intra-species distribution patterns, including copy number variation (CNV) and interchromosomal translocations. A novel standardized nomenclature (Accession_SiSRSN[.n]_xDy or xTy) was proposed to unify gene family nomenclature, enabling the direct visualization of member number variation across germplasms and the identification of core/variable members while highlighting chromosomal translocations. Focusing on the two high-quality genomes, both harboring six core SRS members, we performed whole-genome collinearity analysis with Arabidopsis, rice, maize, soybean, and green foxtail. Ka/Ks analysis of collinear gene pairs revealed purifying selection acting on SiSRS genes. Promoter analysis identified abundant stress-responsive cis-elements. Among core members, the xm_SiSRS5 gene exhibited the highest expression during vegetative growth but showed significant downregulation under drought and salt stress, suggesting its role as a key negative regulator in abiotic stress responses. This study demonstrates the utility of pan-genomics in resolving gene family dynamics and establishes SiSRS5 as a critical target for stress tolerance engineering in foxtail millet. Full article
(This article belongs to the Section Plant Genetics, Genomics and Biotechnology)
Show Figures

Figure 1

14 pages, 7936 KB  
Article
Inter- and Intra-Species Variation and Genetic Diversity of Flea Ectoparasites in Hedgehogs (Mammalia, Erinaceidae) Collected in Northern Algeria
by Ourida Chebbah, Karim Souttou, Karim Ouachek, Mohamed Lounis, Sophie Brun, Arezki Izri and Mohammad Akhoundi
Insects 2025, 16(4), 390; https://doi.org/10.3390/insects16040390 - 6 Apr 2025
Viewed by 2767
Abstract
Hedgehogs are small omnivorous mammals prevalent across Europe, Asia, and Africa. The expanding intrusion of humans into hedgehog habitats and rising popularity of keeping exotic animals like hedgehogs as pets have disrupted the delicate balance of the human–animal–environment interface. Despite their ecological importance, [...] Read more.
Hedgehogs are small omnivorous mammals prevalent across Europe, Asia, and Africa. The expanding intrusion of humans into hedgehog habitats and rising popularity of keeping exotic animals like hedgehogs as pets have disrupted the delicate balance of the human–animal–environment interface. Despite their ecological importance, hedgehog-borne flea species have received limited research attention, with most studies focusing on their vectorial role, and except one report, nothing on the species composition and genetic diversity of hedgehog flea specimens. An inventory and phylogenetic investigation, conducted for the first time in Algeria as well as in North Africa, allowed for collecting 45 hedgehogs (15 males and 30 females) and 303 fleas, and analyzing them through morphological and molecular approaches. The hedgehog specimens were subjected to macro- and microscopic examinations based on diagnostic morphological criteria and morphometric measurements, resulting in their identification as Atelerix algirus. This study represents the first report of this species’ prevalence in Djelfa. The ecological and geographical diversity of the studied areas, from arid deserts to humid regions, highlights the adaptability and resilience of A. algirus to diverse habitats. Additionally, 271 and 32 flea specimens were morphologically identified as Archaeopsylla erinacei and Ctenocephalides felis, respectively. Molecular examination targeting ITS1-rDNA further confirmed the morphological identification of fleas species. Phylogenetic analysis of fleas’ ITS1-rDNA sequences revealed heterogeneity, with the specimens clustering into two distinct clades. The first clade comprised two populations of A. erinacei, while the second clade included C. felis specimens of this study, grouped with homologous sequences from various regions worldwide. No correlation between flea species and geographical locations was observed demonstrating the sympatric distribution of flea specimens in the studied regions. In addition, no hybrid or genetic combination notion was observed among the flea specimens processed in this study compared with those coming from other countries. These findings contribute to our understanding of the species composition and distribution of hedgehogs and their flea ectoparasites in Algeria and provide a baseline for future epidemiological and entomological research in the country. Full article
(This article belongs to the Special Issue Genetic Diversity of Insects)
Show Figures

Figure 1

16 pages, 2506 KB  
Article
Development of Multiple Real-Time Fluorescent Quantitative PCR for Vibrio Pathogen Detection in Aquaculture
by Binzhe Zhang, Yulie Qiu, Chenxi Shi and Jian Zhang
Vet. Sci. 2025, 12(4), 327; https://doi.org/10.3390/vetsci12040327 - 2 Apr 2025
Cited by 3 | Viewed by 2600
Abstract
The Vibrio genus represents a critical group of bacterial pathogens in the marine environment globally, leading to massive mortality in the aquaculture industry. Diagnosing vibriosis, an infection caused by Vibrio species, in clinical samples poses challenges due to its non-specific clinical manifestations. In [...] Read more.
The Vibrio genus represents a critical group of bacterial pathogens in the marine environment globally, leading to massive mortality in the aquaculture industry. Diagnosing vibriosis, an infection caused by Vibrio species, in clinical samples poses challenges due to its non-specific clinical manifestations. In this study, we developed a TaqMan probe-based multiplex real-time PCR method for the simultaneous detection and quantification of four Vibrio pathogens: Vibrio anguillarum (Va), Vibrio alginolyticus (Val), Vibrio harveyi (Vh), and Vibrio scophthalmi (Vsc). The assay targets conserved intra-species regions and specific inter-species regions using specific primers and TaqMan probes to ensure specificity. Sensitivity analysis demonstrated that the multiplex real-time PCR assay could simultaneously detect the four different bacteria, with detection limits of 26–60 copies per reaction, making it 100 times more sensitive than conventional PCR assays. Additionally, the assay exhibited high reproducibility, with intra- and inter-group coefficients of variation below 1.4%. A total of 63 clinical samples was analyzed using this established assay, which successfully detected both single and mixed infections. These results demonstrate that the multiplex quantitative PCR assay is a rapid, specific, and sensitive diagnostic tool for the detection of Va, Val, Vh, and Vsc, making it suitable for monitoring these bacteria in both single- and co-infected clinical samples. Full article
Show Figures

Figure 1

11 pages, 1594 KB  
Article
3D Geometric Morphometric Analysis of Calcaneal Morphology in Domestic Caprinae: Sheep (Ovis aries) and Goat (Capra hircus)
by Barış Can Güzel, Tomasz Szara, Burak Ünal, Sokol Duro, Fatma İşbilir, Funda Yiğit, Mihaela-Claudia Spataru, Karolina Goździewska-Harłajczuk and Ozan Gündemir
Animals 2025, 15(4), 556; https://doi.org/10.3390/ani15040556 - 14 Feb 2025
Cited by 3 | Viewed by 1865
Abstract
The calcaneus plays a critical role in balance, locomotion, and muscle attachment, making it a key structure for biomechanical adaptations. This study examined interspecies differences between sheep and goats, as well as intraspecies variations among different sheep breeds, in calcaneus morphology. A total [...] Read more.
The calcaneus plays a critical role in balance, locomotion, and muscle attachment, making it a key structure for biomechanical adaptations. This study examined interspecies differences between sheep and goats, as well as intraspecies variations among different sheep breeds, in calcaneus morphology. A total of 128 right calcanei were analyzed using 3D geometric morphometric methods to allow detailed assessments of calcaneus shape and size. Among sheep, the Hamdani sheep displayed the largest calcaneus among the breeds, distinguishing them significantly from the others. In contrast, goats had a bilaterally narrower calcaneal body, while sheep featured a more pronounced distal portion that articulates with the talus and a deeper articular surface. Additionally, the sustentaculum tali were more developed in sheep. The bilaterally compressed calcaneal body in goats likely reflects their agility and ability to navigate steep, rocky terrains. In contrast, sheep’s broader and more robust calcaneus may support their grazing lifestyle on flatter terrains, emphasizing their stability and weight-bearing capacity. These findings highlight the functional significance of calcaneal morphology in the locomotor strategies and physical capabilities of goats and sheep, providing valuable insights for comparative anatomy and veterinary science. Full article
(This article belongs to the Section Mammals)
Show Figures

Figure 1

11 pages, 590 KB  
Review
Advances and Current Status in the Use of Cuticular Hydrocarbons for Forensic Entomology Applications
by David Stewart-Yates, Garth L. Maker, Stefano D’Errico and Paola A. Magni
Insects 2025, 16(2), 144; https://doi.org/10.3390/insects16020144 - 1 Feb 2025
Cited by 4 | Viewed by 2873
Abstract
Cuticular hydrocarbons (CHCs) are long-chain lipids found on the exoskeletons of insects, serving primarily as a protective barrier against water loss and environmental factors. In the last few decades, the qualitative and quantitative analysis of CHCs, particularly in blow flies, has emerged as [...] Read more.
Cuticular hydrocarbons (CHCs) are long-chain lipids found on the exoskeletons of insects, serving primarily as a protective barrier against water loss and environmental factors. In the last few decades, the qualitative and quantitative analysis of CHCs, particularly in blow flies, has emerged as a valuable tool in forensic entomology, offering promising potential for species identification and age estimation of forensically important insects. This review examines the current application of CHC analysis in forensic investigations and highlights the significant advancements in the field over the past few years. Studies have demonstrated that CHC profiles vary with insect development, and while intra-species variability exists due to factors such as age, sex, geographical location, and environmental conditions, these variations can be harnessed to refine post-mortem interval (PMI) estimations and improve the accuracy of forensic entomological evidence. Notably, CHC analysis can also aid in distinguishing between multiple generations of insects on a body, providing insights into post-mortem body movement and aiding in the interpretation of PMI in complex cases. Furthermore, recent studies have investigated the variability and degradation of CHCs over time, revealing how environmental factors—such as temperature, humidity, UV light exposure, and toxicological substances—affect CHC composition, providing valuable insights for forensic investigations. Despite the promise of CHC profiling, several challenges remain, and this review also aims to highlight future research directions to enhance the reliability of this technique in forensic casework. Full article
(This article belongs to the Section Role of Insects in Human Society)
Show Figures

Graphical abstract

12 pages, 2179 KB  
Article
Distinct Intraspecies Variation of Cutibacterium acnes and Staphylococcus epidermidis in Acne Vulgaris and Healthy Skin
by Tina Hamann, Holger Brüggemann, Cecilie Feidenhansl, Erinda Rruci, Julia Gallinger, Stefan Gallinat and Jennifer Hüpeden
Microorganisms 2025, 13(2), 299; https://doi.org/10.3390/microorganisms13020299 - 29 Jan 2025
Cited by 7 | Viewed by 4783
Abstract
Human skin hosts a diverse array of microorganisms that contribute to its health. Key players in the facial skin microbiome include Cutibacterium acnes and staphylococci, whose colonization patterns may influence dermatological conditions like acne vulgaris. This study examined the facial microbiome composition of [...] Read more.
Human skin hosts a diverse array of microorganisms that contribute to its health. Key players in the facial skin microbiome include Cutibacterium acnes and staphylococci, whose colonization patterns may influence dermatological conditions like acne vulgaris. This study examined the facial microbiome composition of 29 individuals, including 14 with moderate to severe acne and 15 with healthy skin, using single locus sequence typing (SLST) amplicon sequencing. The results showed a shift in the relative abundances of C. acnes phylotypes: SLST types A, C, and F were increased in acne, while types H, K, and L were reduced compared to healthy skin. Among staphylococci, the relative abundance of S. epidermidis, S. capitis, and S. saphrophyticus increased in acne, while S. saccharolyticus and S. hominis decreased. The amplicon sequencing approach could also identify a population shift of S. epidermidis: a specific S. epidermidis phylogenetic lineage (type 3) was reduced in acne, while two abundant lineages (types 1 and 2) were elevated. These findings suggest that distinct phylogenetic lineages of both C. acnes and S. epidermidis are linked to healthy versus diseased skin, highlighting a potential role for both microorganisms in disease prevention and aggravation, respectively. Full article
(This article belongs to the Special Issue Skin Microbiome)
Show Figures

Figure 1

11 pages, 1821 KB  
Article
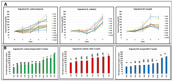
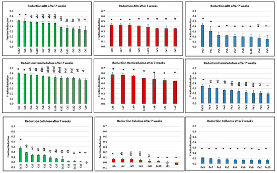
Intraspecies Variation Offers Potential to Improve White Rot Fungi for Increasing Degradability of Lignocellulose for Ruminants
by Anton S. M. Sonnenberg, Nazri Nayan, John W. Cone and Arend F. van Peer
J. Fungi 2024, 10(12), 858; https://doi.org/10.3390/jof10120858 - 11 Dec 2024
Cited by 1 | Viewed by 1150
Abstract
The aim of fungal treatment of organic matter for ruminants is the improvement of its degradability. So far, such treatment appears to be time-consuming and improvement has been modest. In previous work, we observed within three white rot species that there is modest [...] Read more.
The aim of fungal treatment of organic matter for ruminants is the improvement of its degradability. So far, such treatment appears to be time-consuming and improvement has been modest. In previous work, we observed within three white rot species that there is modest (Ceriporiopsis subvermispora) or low (Lentinula edodes and Pleurotus eryngii) variation in fiber degradation in wheat straw during seven weeks of incubation. By extending and re-examining the data from all three species, we see that strains of C. subvermispora show the largest variation and improvement in the degradability of treated wheat straw. In addition, C. subvermispora also generated the highest absolute amount of degradable organic matter, a parameter not calculated before, but is very relevant for the economic feasibility of fungal treatment. In estimating fungal growth, we found no good correlation between an increase in ergosterol and a decrease in plant biomass, indicating a variation within fungal species of the ergosterol/fungal biomass ratio and/or a variation in carbon use efficiency, which has also not been analyzed before. This work contributes to the knowledge of how fungi degrade lignocellulose and further specifies what can be targeted for breeding to make fungal pretreatment economically feasible for upgrading organic waste streams into ruminal feed. Full article
(This article belongs to the Section Fungi in Agriculture and Biotechnology)
Show Figures

Figure 1

Back to TopTop