Using Rhizosphere Phosphate Solubilizing Bacteria to Improve Barley (Hordeum vulgare) Plant Productivity
Abstract
:1. Introduction
2. Materials and Methods
2.1. Isolation of Bacteria from Rhizosphere of Barley Plants
2.2. Analysis of Phosphate Solubilization in Solid and Liquid Media
2.3. Identification of PSB Strains
2.4. Evaluation of In Vitro Antifungal Activity
2.5. Phosphatase Activity Determination
2.6. Qualitative and Quantitative Estimation of Phytase Production
2.7. Analysis of Organic Acids Production
2.8. Determination of Miscellaneous Activities Related to PGPR Traits
2.9. In Vitro Germination Assay of Barley Seeds
2.10. Greenhouse Pot Experiments
2.11. Statistical Analysis
3. Results
3.1. Isolation of Phosphate Solubilizing Bacteria on Solid Media and Their Identification
3.2. Phosphate Solubilization in Liquid Medium
3.3. Detection of Phophatase Activities Involved in P Solubilization
3.4. Organic Acid Production by PSB
3.5. Miscellaneous PGPR Traits of PSBs
3.6. In Vitro Antifungal Activity
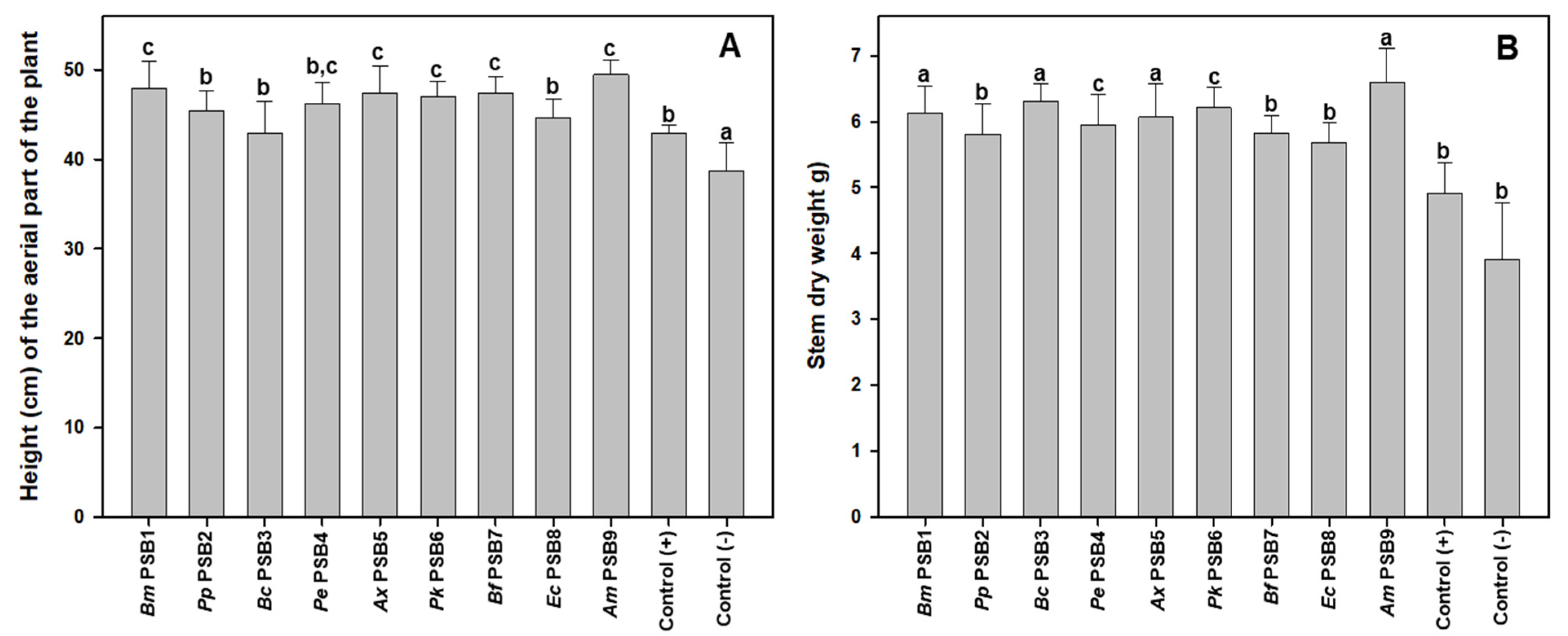
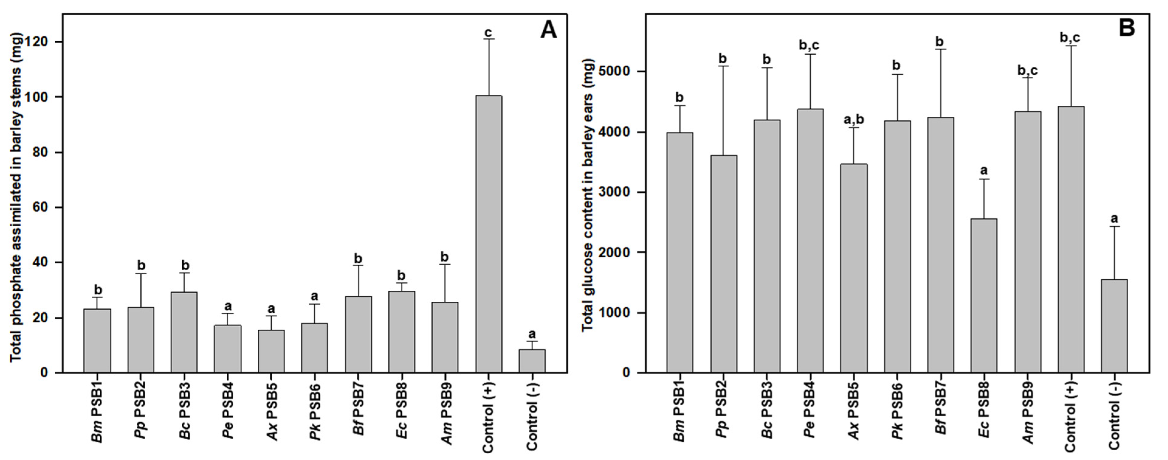
3.7. In Vitro Germination Assays and Greenhouse Pot Experiments
4. Discussion
5. Conclusions
Supplementary Materials
Author Contributions
Funding
Institutional Review Board Statement
Informed Consent Statement
Data Availability Statement
Acknowledgments
Conflicts of Interest
References
- Sharma, S.B.; Sayyed, R.Z.; Trivedi, M.H.; Gobi, T.A. Phosphate solubilizing microbes: Sustainable approach for managing phosphorus deficiency in agricultural soils. Springerplus 2013, 2, 587. [Google Scholar] [CrossRef] [Green Version]
- Zhu, J.; Li, M.; Whelan, M. Phosphorus activators contribute to legacy phosphorus availability in agricultural soils: A review. Sci. Total Environ. 2018, 612, 522–537. [Google Scholar] [CrossRef] [PubMed] [Green Version]
- de Boer, M.A.; Wolzak, L.; Slootweg, J.C. Phosphorus: Reserves, Production, and Applications. In Phosphorus Recovery and Recycling; Ohtake, H., Tsuneda, S., Eds.; Springer: Singapore, 2019; pp. 75–100. ISBN 9789811080319. [Google Scholar]
- Fang, L.; Wang, Q.; Li, J.; Poon, C.S.; Cheeseman, C.R.; Donatello, S.; Tsang, D.C.W. Feasibility of wet-extraction of phosphorus from incinerated sewage sludge ash (ISSA) for phosphate fertilizer production: A critical review. Crit. Rev. Environ. Sci. Technol. 2020, 1–33. [Google Scholar] [CrossRef]
- Khan, M.S.; Zaidi, A.; Wani, P.A. Role of phosphate-solubilizing microorganisms in sustainable agriculture—A review. Agron. Sustain. Dev. 2007, 27, 29–43. [Google Scholar] [CrossRef]
- Condron, L.M.; Spears, B.M.; Haygarth, P.M.; Turner, B.L.; Richardson, A.E. Role of legacy phosphorus in improving global phosphorus-use efficiency. Environ. Dev. 2013, 8, 147–148. [Google Scholar] [CrossRef]
- Lu, C.; Tian, H. Global nitrogen and phosphorus fertilizer use for agriculture production in the past half century: Shifted hot spots and nutrient imbalance. Earth Syst. Sci. Data 2017, 9, 181–192. [Google Scholar] [CrossRef] [Green Version]
- Carstensen, A.; Herdean, A.; Schmidt, S.B.; Sharma, A.; Spetea, C.; Pribil, M.; Husted, S. The impacts of phosphorus deficiency on the photosynthetic electron transport chain. Plant Physiol. 2018, 177, 271–284. [Google Scholar] [CrossRef] [Green Version]
- Santos, M.S.; Nogueira, M.A.; Hungria, M. Microbial inoculants: Reviewing the past, discussing the present and previewing an outstanding future for the use of beneficial bacteria in agriculture. AMB Express 2019, 9, 205. [Google Scholar] [CrossRef]
- Ramakrishna, W.; Rathore, P.; Kumari, R.; Yadav, R. Brown gold of marginal soil: Plant growth promoting bacteria to overcome plant abiotic stress for agriculture, biofuels and carbon sequestration. Sci. Total Environ. 2020, 711, 135062. [Google Scholar] [CrossRef]
- Aeron, A.; Khare, E.; Kumar, C.; Vijay, J.; Meena, S.; Mohammed, S.; Aziz, A. Revisiting the plant growth-promoting rhizobacteria: Lessons from the past and objectives for the future. Arch. Microbiol. 2019, 202, 665–676. [Google Scholar] [CrossRef] [PubMed]
- Küster, E.; Williams, S.T. Selection of Media for Isolation of Streptomycetes. Nature 1964, 202, 928–929. [Google Scholar] [CrossRef] [PubMed]
- Nautiyal, C. An efficient microbiological growth medium for screening phosphate solubilizing microorganisms. FEMS Microbiol. Lett. 1999, 170, 265–270. [Google Scholar] [CrossRef] [PubMed]
- Mardad, I.; Serrano, A.; Soukri, A. Solubilization of inorganic phosphate and production of organic acids by bacteria isolated from a Moroccan mineral phosphate deposit. Afr. J. Microbiol. Res. 2013, 7, 626–635. [Google Scholar] [CrossRef]
- Martínez Castro, M. Phosphate Control of the Immunosuppressant Tacrolimus Biosynthesis in Two Species of Streptomyces Genus; Universidad de León: León, Spain, 2011. [Google Scholar]
- Hopwood, D.; Bibb, M.J.; Chater, K.F.; Kieser, T.; Bruton, C.J.; Kieser, H.M.; Lydiate, D.J.; Smith, C.P.; Ward, J.M.; Schrempf, H. Genetic Manipulation of Streptomyces—A Laboratory Manual; John Innes Foundation: Norwich, UK, 1985; ISBN 978-0708403365. [Google Scholar]
- Lane, D. 16S/23S rRNA sequencing. In Nucleic Acid Techniques in Bacterial Systematics; Stackebrandt, E., Goodfellow, M., Eds.; John Wiley & Sons, Inc.: New York, NY, USA, 1991; pp. 115–175. [Google Scholar]
- Kim, O.-S.; Cho, Y.-J.; Lee, K.; Yoon, S.-H.; Kim, M.; Na, H.; Park, S.-C.; Jeon, Y.S.; Lee, J.-H.; Yi, H.; et al. Introducing EzTaxon-e: A prokaryotic 16S rRNA gene sequence database with phylotypes that represent uncultured species. Int. J. Syst. Evol. Microbiol. 2012, 62, 716–721. [Google Scholar] [CrossRef] [PubMed]
- Tamura, K.; Dudley, J.; Nei, M.; Kumar, S. MEGA4: Molecular Evolutionary Genetics Analysis (MEGA) Software Version 4.0. Mol. Biol. Evol. 2007, 24, 1596–1599. [Google Scholar] [CrossRef] [PubMed]
- Álvarez-Pérez, J.M.; González-García, S.; Cobos, R.; Olego, M.Á.; Ibañez, A.; Díez-Galán, A.; Garzón-Jimeno, E.; Coque, J.J.R. Use of endophytic and rhizosphere actinobacteria from grapevine plants to reduce nursery fungal graft infections that lead to young grapevine decline. Appl. Environ. Microbiol. 2017, 83, e01564-17. [Google Scholar] [CrossRef] [Green Version]
- Shirling, E.B.; Gottlieb, D. Methods for characterization of Streptomyces species. Int. J. Syst. Bacteriol. 1966, 16, 313–340. [Google Scholar] [CrossRef] [Green Version]
- Magallon-Servín, P.; Antoun, H.; Taktek, S.; Bashan, Y.; De-Bashan, L. The maize mycorrhizosphere as a source for isolation of arbuscular mycorrhizae-compatible phosphate rock-solubilizing bacteria. Plant Soil 2020, 451, 169–186. [Google Scholar] [CrossRef]
- Bradford, M.M. A rapid and sensitive method for the quantitation of microgram quantities of protein utilizing the principle of protein-dye binding. Anal. Biochem. 1976, 72, 248–254. [Google Scholar] [CrossRef]
- Kumar, P.; Chamoli, S.; Agrawal, S. Enhanced phytase production from Achromobacter sp. PB-01 using wheat bran as substrate: Prospective application for animal feed. Biotechnol. Prog. 2012, 28, 1432–1442. [Google Scholar] [CrossRef]
- Qvirist, L.; Carlsson, N.-G.; Andlid, T. Assessing phytase activity–methods, definitions and pitfalls. J. Biol. Methods 2015, 2, 16. [Google Scholar] [CrossRef] [Green Version]
- Schwyn, B.; Neilands, J.B. Universal chemical assay for the detection and the determination of siderophores. Anal. Biochem. 1987, 160, 47–56. [Google Scholar] [CrossRef]
- Gordon, S.A.; Weber, R.P. Colorimetric estimation of indoleacetic acid. Plant Physiol. 1951, 26, 192–195. [Google Scholar] [CrossRef] [Green Version]
- Etesami, H.; Emami, S.; Alikhani, H.A. Potassium solubilizing bacteria (KSB): Mechanisms, promotion of plant growth, and future prospects—A review. J. Soil Sci. Plant Nutr. 2017, 17, 897–911. [Google Scholar] [CrossRef]
- Sharma, P.; Kumawat, K.C.; Kaur, S.; Kaur, N. Assessment of Zinc solubilization by endophytic bacteria in legume rhizosphere. Indian J. Appl. Res. 2011, 4, 439–441. [Google Scholar] [CrossRef]
- Khan, N.; Bano, A.M.D.; Babar, A. Impacts of plant growth promoters and plant growth regulators on rainfed agriculture. PLoS ONE 2020, 15, e0231426. [Google Scholar] [CrossRef] [PubMed] [Green Version]
- Pastor-Bueis, R.; Mulas, R.; Gómez, X.; González-Andrés, F. Innovative liquid formulation of digestates for producing a biofertilizer based on Bacillus siamensis: Field testing on sweet pepper. J. Plant Nutr. Soil Sci. 2017, 180, 748–758. [Google Scholar] [CrossRef]
- Rigaud, J.; Puppo, A. Indole-3-acetic acid catabolism by soybean bacteroids. J. Gen. Microbiol. 1975, 88, 223–228. [Google Scholar] [CrossRef] [Green Version]
- Watanabe, F.S.; Olsen, S.R. Test of an ascorbic acid method for determining phosphorus in water and NaHCO3 extracts from soil. Soil Sci. Soc. Am. J. 1965, 29, 677. [Google Scholar] [CrossRef]
- Chow, P.S.; Landhausser, S.M. A method for routine measurements of total sugar and starch content in woody plant tissues. Tree Physiol. 2004, 24, 1129–1136. [Google Scholar] [CrossRef] [PubMed]
- Janda, J.M.; Abbott, S.L. 16S rRNA gene sequencing for bacterial identification in the diagnostic laboratory: Pluses, perils, and pitfalls. J. Clin. Microbiol. 2007, 45, 2761–2764. [Google Scholar] [CrossRef] [Green Version]
- Saxena, A.K.; Kumar, M.; Chakdar, H.; Anuroopa, N.; Bagyaraj, D.J. Bacillus species in soil as a natural resource for plant health and nutrition. J. Appl. Microbiol. 2019, 128, 1583–1594. [Google Scholar] [CrossRef] [Green Version]
- Wei, Y.; Zhao, Y.; Shi, M.; Cao, Z.; Lu, Q.; Yang, T.; Fan, Y.; Wei, Z. Effect of organic acids production and bacterial community on the possible mechanism of phosphorus solubilization during composting with enriched phosphate-solubilizing bacteria inoculation. Bioresour. Technol. 2018, 247, 190–199. [Google Scholar] [CrossRef] [PubMed]
- Lynch, J.P. Root phenes for enhanced soil exploration and phosphorus acquisition: Tools for future crops. Plant Physiol. 2011, 156, 1041–1049. [Google Scholar] [CrossRef] [Green Version]
- Kaur, G.; Reddy, M.S. Effects of phosphate-solubilizing bacteria, rock phosphate and chemical fertilizers on maize-wheat cropping cycle and economics. Pedosphere 2015, 25, 428–437. [Google Scholar] [CrossRef]
- Taner, A.; Muzaffer, A.; Fazil, D. Barley: Post-Harvest Operations; Food and Agriculture Organization of the United Nations: Rome, Italy, 2004. [Google Scholar]
- Sasse, J.; Martinoia, E.; Northen, T. Feed your friends: Do plant exudates shape the root microbiome? Trends Plant Sci. 2018, 23, 25–41. [Google Scholar] [CrossRef] [Green Version]
- Quiza, L.; St-Arnaud, M.; Yergeau, E. Harnessing phytomicrobiome signaling for rhizosphere microbiome engineering. Front. Plant Sci. 2015, 6. [Google Scholar] [CrossRef]
- Coque, J.J.R.; Álvarez-Pérez, J.M.; Cobos, R.; González-García, S.; Ibáñez, A.M.; Diez Galán, A.; Calvo-Peña, C. Advances in the control of phytopathogenic fungi that infect crops through their root system. Adv. Appl. Microbiol. 2020, 111, 123–170. [Google Scholar] [CrossRef]
- Walpola, B.C.; Yoon, M. In vitro solubilization of inorganic phosphates by phosphate solubilizing microorganisms. Afr. J. Microbiol. Res. 2013, 7, 3534–3541. [Google Scholar] [CrossRef]
- Zaballa, J.I.; Golluscio, R.; Ribaudo, C.M. Effect of the phosphorus-solubilizing bacterium Enterobacter ludwigii on barley growth promotion. Am. Sci. Res. J. Eng. Technol. 2020, 63, 144–157. [Google Scholar]
- Vyas, P.; Gulati, A. Organic acid production in vitro and plant growth promotion in maize under controlled environment by phosphate-solubilizing fluorescent Pseudomonas. BMC Microbiol. 2009, 9, 174. [Google Scholar] [CrossRef] [PubMed] [Green Version]
- Singh, P.; Kumar, V.; Agrawal, S. Evaluation of phytase producing bacteria for their plant growth promoting activities. Int. J. Microbiol. 2014, 2014, 1–7. [Google Scholar] [CrossRef] [PubMed] [Green Version]
- Alori, E.T.; Glick, B.R.; Babalola, O.O. Microbial phosphorus solubilization and its potential for use in sustainable agriculture. Front. Microbiol. 2017, 8, 971. [Google Scholar] [CrossRef] [PubMed] [Green Version]
- Collavino, M.M.; Sansberro, P.A.; Mroginski, L.A.; Aguilar, O.M. Comparison of in vitro solubilization activity of diverse phosphate-solubilizing bacteria native to acid soil and their ability to promote Phaseolus vulgaris growth. Biol. Fertil. Soils 2010, 46, 727–738. [Google Scholar] [CrossRef]
- Şahin, F.; Çakmakçi, R.; Kantar, F. Sugar beet and barley yields in relation to inoculation with N2-fixing and phosphate solubilizing bacteria. Plant Soil 2004, 265, 123–129. [Google Scholar] [CrossRef]
- Brannen, P.M.; Kenney, D.S. Kodiak®—A successful biological-control product for suppression of soil-borne plant pathogens of cotton. J. Ind. Microbiol. Biotechnol. 1997, 19, 169–171. [Google Scholar] [CrossRef]





| Isolate | 16S rRNA Sequence Similarity (%) | GenBank Accession No. | Solubilization Index (SI) in Solid NBRIP Medium * |
|---|---|---|---|
| Bacillus megaterium PSB1 | 100.00% | MZ229443 | 2.30 (0.06) |
| Pseudomonas plecoglossicida PSB2 | 99.90% | MZ229444 | 2.44 (0.14) |
| Bacillus cereus PSB3 | 99.91% | MZ229445 | 2.59 (0.03) |
| Pantoea eucrina PSB4 | 99.71% | MZ229446 | 2.62 (0.09) |
| Achromobacter xylosoxidans PSB5 | 99.63% | MZ229447 | 3.00 (0.22) |
| Pseudomonas koreensis PSB6 | 100.00% | MZ229448 | 2.67 (0.08) |
| Burkholderia fungorum PSB7 | 99.91% | MZ229449 | 3.13 (0.12) |
| Enterobacter cloacae PSB8 | 99.90% | MZ229450 | 2.62 (0.21) |
| Advenella mimigardefordensis PSB9 | 99.51% | MZ229451 | 2.50 (0.06) |
| Pseudomonas brassicacearum PSB10 | 100.00% | MZ229452 | 2.86 (0.09) |
| Pseudomonas fluorescens PSB11 | 99.90% | MZ229453 | 2.37 (0.10) |
| Pseudomonas oryzihabitans PSB12 | 100.00% | MZ229454 | 2.57 (0.02) |
| Pseudomonas putida PSB13 | 99.90% | MZ229455 | 2.81 (0.07) |
| Pseudomonas aeruginosa PSB14 | 99.80% | MZ229456 | 2.31(0.13) |
| Burkholderia fungorum PSB15 | 99.91% | MZ229457 | 2.50 (0.03) |
| Pseudomonas fluorescens PSB16 | 99.81% | MZ229458 | 2.87 (0.09) |
| Pseudomonas brassicacearum PSB17 | 100.00% | MZ229459 | 2.62 (0.06) |
| Isolate | Acidic Phosphatase * (mU/μg Protein) | Alkaline Phosphatase * (mU/μg Protein) | Phytase * (U/mL) |
|---|---|---|---|
| B. megaterium PSB1 | 80.83 (1.9) | 94.10 (11.6) | 67.7 (10.2) |
| P. plecoglossicida PSB2 | 4.70 (0.3) | 2.70 (0.07) | 99.2 (17.7) |
| B. cereus PSB3 | 29.00 (3.6) | 10.70 (2.9) | 47.2 (11.4) |
| P. eucrina PSB4 | 34.62 (1.6) | 41.54 (3.4) | 64.0 (12.6) |
| A. PSB5 | 0.91 (0.1) | 1.56 (0.7) | 143.0 (14.7) |
| P. koreensis PSB6 | 1.55 (0.2) | 2.45 (0.4) | 57.4 (9.4) |
| B. fungorum PSB7 | 2.86 (0.4) | 2.88 (0.7) | 110.1 (33.6) |
| E. cloacae PSB8 | 0.91 (0.2) | 0.95 (0.3) | 40.6 (5.1) |
| A. mimigardefordensis PSB9 | 2.72 (1.1) | 2.91 (0.6) | 135.6 (48.2) |
| P. brassicacearum PSB10 | 80.83 (1.9) | 94.10 (11.6) | 67.7 (10.2) |
| P. fluorescens PSB11 | 4.70 (0.3) | 2.70 (0.07) | 99.2 (17.7) |
| P. oryzihabitans PSB12 | 29.00 (3.6) | 10.70 (2.9) | 47.2 (11.4) |
| P. putida PSB13 | 34.62 (1.6) | 41.54 (3.4) | 64.0 (12.6) |
| P. aeruginosa PSB14 | 0.91 (0.1) | 1.56 (0.7) | 143.0 (14.7) |
| B. fungorum PSB15 | 1.55 (0.2) | 2.45 (0.4) | 57.4 (9.4) |
| P. fluorescens PSB16 | 2.86 (0.4) | 2.88 (0.7) | 110.1 (33.6) |
| P. brassicacearum PSB17 | 0.91 (0.2) | 0.95 (0.3) | 40.6 (5.1) |
| Isolate | Siderophores Production | HCN Production | IAA Production (μg/mL) * | Zn Solubilization Efficiency (%) * | K Solubilization Efficiency (%) * |
|---|---|---|---|---|---|
| Bacillus megaterium PSB1 | + | - | 41.62 (0.33) | - | - |
| Pseudomonas plecoglossicida PSB2 | - | - | 14.63 (7.22) | 143.82 (1.1) | 356.25 (72.5) |
| Bacillus cereus PSB3 | - | - | 17.30 (1.95) | - | - |
| Pantoea eucrina PSB4 | - | - | 11.97 (0.01) | - | - |
| Achromobacter xylosoxidans PSB5 | - | - | 1.16 (0.17) | - | - |
| Pseudomonas koreensis PSB6 | - | - | 23.05 (1.27) | 194.44 (37.1) | 480.16 (53.1) |
| Burkholderia fungorum PSB7 | + | + | 24.13 (1.95) | - | 317.22 (26.7) |
| Enterobacter cloacae PSB8 | - | - | 88.52 (1.44) | 146.23 (25.4) | 582.97 (54.0) |
| Advenella mimigardefordensis PSB9 | - | - | - | - | 221.43 (27.4) |
| Strain | Stem Height | Stem Dry Weight | Assimilated Stem P | Root Dry Weight | Assimilated Root P | Ears Dry Weight | Glucose in Ears | |
|---|---|---|---|---|---|---|---|---|
| Strain | 1 | |||||||
| Stem height | 0.009 | 1 | ||||||
| Stem dry weight | 0 | 0 | 1 | |||||
| Assimilated stem P | 0.324 | 0.249 | 0.491 | 1 | ||||
| Root dry weight | 0.016 | 0 | 0 | 0.394 | 1 | |||
| Assimilated root P | 0.939 | 0.004 | 0.351 | 0.163 | 0.116 | 1 | ||
| Ears dry weight | 0 | 0 | 0 | 0.610 | 0 | 0.016 | 1 | |
| Glucose in ears | 0.738 | 0.937 | 0.231 | 0.931 | 0.251 | 0.985 | 0.010 | 1 |
Publisher’s Note: MDPI stays neutral with regard to jurisdictional claims in published maps and institutional affiliations. |
© 2021 by the authors. Licensee MDPI, Basel, Switzerland. This article is an open access article distributed under the terms and conditions of the Creative Commons Attribution (CC BY) license (https://creativecommons.org/licenses/by/4.0/).
Share and Cite
Ibáñez, A.; Diez-Galán, A.; Cobos, R.; Calvo-Peña, C.; Barreiro, C.; Medina-Turienzo, J.; Sánchez-García, M.; Coque, J.J.R. Using Rhizosphere Phosphate Solubilizing Bacteria to Improve Barley (Hordeum vulgare) Plant Productivity. Microorganisms 2021, 9, 1619. https://doi.org/10.3390/microorganisms9081619
Ibáñez A, Diez-Galán A, Cobos R, Calvo-Peña C, Barreiro C, Medina-Turienzo J, Sánchez-García M, Coque JJR. Using Rhizosphere Phosphate Solubilizing Bacteria to Improve Barley (Hordeum vulgare) Plant Productivity. Microorganisms. 2021; 9(8):1619. https://doi.org/10.3390/microorganisms9081619
Chicago/Turabian StyleIbáñez, Ana, Alba Diez-Galán, Rebeca Cobos, Carla Calvo-Peña, Carlos Barreiro, Jesús Medina-Turienzo, Mario Sánchez-García, and Juan José R. Coque. 2021. "Using Rhizosphere Phosphate Solubilizing Bacteria to Improve Barley (Hordeum vulgare) Plant Productivity" Microorganisms 9, no. 8: 1619. https://doi.org/10.3390/microorganisms9081619
APA StyleIbáñez, A., Diez-Galán, A., Cobos, R., Calvo-Peña, C., Barreiro, C., Medina-Turienzo, J., Sánchez-García, M., & Coque, J. J. R. (2021). Using Rhizosphere Phosphate Solubilizing Bacteria to Improve Barley (Hordeum vulgare) Plant Productivity. Microorganisms, 9(8), 1619. https://doi.org/10.3390/microorganisms9081619

