The Gene Encoding NAD-Dependent Epimerase/Dehydratase, wcaG, Affects Cell Surface Properties, Virulence, and Extracellular Enzyme Production in the Soft Rot Phytopathogen, Pectobacterium carotovorum
Abstract
:1. Introduction
2. Materials and Methods
2.1. Bacterial Strains, Media and Growth Conditions
2.2. Mutant Isolation by Transposon Mutagenesis
2.3. DNA and Other Molecular Techniques
2.4. wcaG Cloning and Sequencing
2.5. Growth Curve of Pectobacterium Strains
2.6. Biofilm Assays
2.7. Pathogenicity Test and Bacterial Population Count in Host
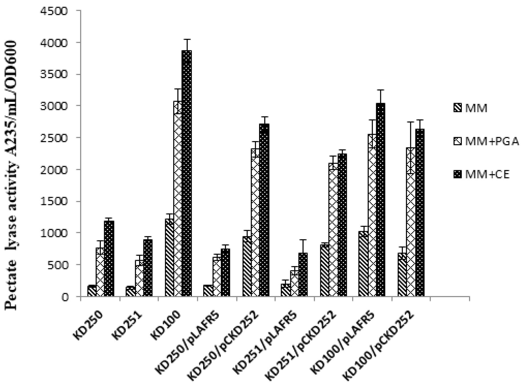
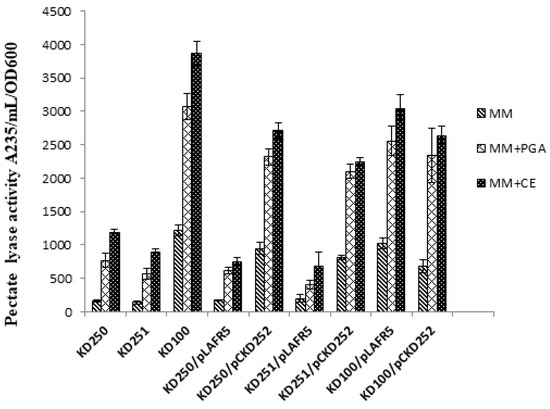
2.8. Quantitative Exoenzyme Assay
2.9. Hydrophobicity Test
2.10. Multiple Sequence Alignment and Phylogenetic Tree Analysis
3. Results
3.1. Isolation and Characterization of wcaG Mutant
3.2. Identification and Characterization of wcaGEcc71
3.3. Pathogenicity Assays and Bacterial Population in Planta
3.4. Measurement of the Cell Surface Properties
4. Discussion
Supplementary Materials
Author Contributions
Funding
Conflicts of Interest
References
- Hauben, L.; Moore, E.R.; Vauterin, L.; Steenackers, M.; Mergaert, J.; Verdonck, L.; Swings, J. Phylogenetic position of phytopathogens within the enterobacteriaceae. Syst. Appl. Microbiol. 1998, 21, 384–397. [Google Scholar] [CrossRef]
- Samson, R.; Legendre, J.B.; Christen, R.; Fischer-Le Saux, M.; Achouak, W.; Gardan, L. Transfer of Pectobacterium chrysanthemi (burkholder et al. 1953) Brenner et al. 1973 and Brenneria paradisiaca to the genus Dickeya gen. Nov. as Dickeya chrysanthemi comb. nov. and Dickeya paradisiaca comb. nov. and delineation of four novel species, Dickeya dadantii sp. Nov., Dickeya dianthicola sp. nov., Dickeya dieffenbachiae sp. nov. and Dickeya zeae sp. nov. Int. J. Syst. Evol. Microbiol. 2005, 55, 1415–1427. [Google Scholar] [PubMed]
- Barras, F.; van Gijsegem, F.; Chatterjee, A.K. Extracellular enzymes and pathogenesis of the soft rot erwinia. Ann. Rev. Phytopathol. 1994, 32, 201–234. [Google Scholar] [CrossRef]
- Charkowski, A.; Blanco, C.; Condemine, G.; Expert, D.; Franza, T.; Hayes, C.; Hugouvieux-Cotte-Pattat, N.; Lopez Solanilla, E.; Low, D.; Moleleki, L.; et al. The role of secretion systems and small molecules in soft-rot Enterobacteriaceae pathogenicity. Annu. Rev. Phytopathol. 2012, 50, 425–449. [Google Scholar] [CrossRef] [PubMed]
- Cianciotto, N.P.; White, R.C. Expanding role of type II secretion in bacterial pathogenesis and beyond. Infect. Immun. 2017, 85. [Google Scholar] [CrossRef] [PubMed]
- Delepelaire, P. Type i secretion in gram-negative bacteria. Biochim. Biophys. Acta 2004, 1694, 149–161. [Google Scholar] [CrossRef] [PubMed]
- Hogan, C.S.; Mole, B.M.; Grant, S.R.; Willis, D.K.; Charkowski, A.O. The type III secreted effector DspE is required early in Solanum tuberosum leaf infection by Pectobacterium carotovorum to cause cell death, and requires wx(3-6)d/e motifs. PLoS ONE 2013, 8, e65534. [Google Scholar] [CrossRef] [PubMed]
- Davidsson, P.R.; Kariola, T.; Niemi, O.; Palva, T. Pathogenicity of and plant immunity to soft rot pectobacteria. Front. Plant Sci. 2013, 4, 1–13. [Google Scholar] [CrossRef] [PubMed]
- Chatterjee, A.; Cui, Y.; Yang, H.; Collmer, A.; Alfano, J.R.; Chatterjee, A.K. GacA, the response regulator of a two-component system, acts as a master regulator in Pseudomonas syringae pv. Tomato DC3000 by controlling regulatory rna, transcriptional activators, and alternate sigma factors. Mol. Plant Microbe Interact. 2003, 16, 1106–1117. [Google Scholar] [CrossRef]
- Chatterjee, A.; Cui, Y.Y.; Chatterjee, A.K. Rsmc of Erwinia carotovora subsp carotovora negatively controls motility, extracellular protein production, and virulence by binding FlhD and modulating transcriptional activity of the master regulator, FlhDC. J. Bacteriol. 2009, 191, 4582–4593. [Google Scholar] [CrossRef]
- Cui, Y.; Chatterjee, A.; Chatterjee, A.K. Effects of the two-component system comprising GacA and GacS of Erwinia carotovora subsp. carotovora on the production of global regulatory rsmb rna, extracellular enzymes, and harpinecc. Mol. Plant Microbe Interact. 2001, 14, 516–526. [Google Scholar] [CrossRef] [PubMed]
- Cui, Y.; Chatterjee, A.; Liu, Y.; Dumenyo, C.K.; Chatterjee, A.K. Identification of a global repressor gene, rsma, of Erwinia carotovora subsp. carotovora that controls extracellular enzymes, N-(3-oxohexanoyl)-L-homoserine lactone, and pathogenicity in soft-rotting Erwinia spp. J. Bacteriol. 1995, 177, 5108–5115. [Google Scholar] [CrossRef] [PubMed]
- Cui, Y.; Chatterjee, A.; Yang, H.; Chatterjee, A.K. Regulatory network controlling extracellular proteins in Erwinia carotovora subsp. carotovora: FlhDC, the master regulator of flagellar genes, activates rsmb regulatory rna production by affecting gacA and hexA (lrhA) expression. J. Bacteriol. 2008, 190, 4610–4623. [Google Scholar] [CrossRef] [PubMed]
- Liu, Y.; Cui, Y.; Mukherjee, A.; Chatterjee, A.K. Characterization of a novel rna regulator of Erwinia carotovora ssp. carotovora that controls production of extracellular enzymes and secondary metabolites. Mol. Microbiol. 1998, 29, 219–234. [Google Scholar] [CrossRef] [PubMed]
- Grant, W.D.; Sutherland, I.W.; Wilkinson, J.F. Exopolysaccharide colanic acid and its occurrence in the Enterobacteriaceae. J. Bacteriol. 1969, 100, 1187–1193. [Google Scholar] [PubMed]
- Roberts, I.S. The biochemistry and genetics of capsular polysaccharide production in bacteria. Annu. Rev. Microbiol. 1996, 50, 285–315. [Google Scholar] [CrossRef] [PubMed]
- Stevenson, G.; Lan, R.; Reeves, P.R. The colanic acid gene cluster of Salmonella enterica has a complex history. FEMS Microbiol. Lett. 2000, 191, 11–16. [Google Scholar] [CrossRef] [PubMed]
- Meredith, T.C.; Mamat, U.; Kaczynski, Z.; Lindner, B.; Holst, O.; Woodard, R.W. Modification of lipopolysaccharide with colanic acid (m-antigen) repeats in Escherichia coli. J. Biol. Chem. 2007, 282, 7790–7798. [Google Scholar] [CrossRef] [PubMed]
- Somers, W.S.; Stahl, M.L.; Sullivan, F.X. GDP-fucose synthetase from Escherichia coli: Structure of a unique member of the short-chain dehydrogenase/reductase family that catalyzes two distinct reactions at the same active site. Structure 1998, 6, 1601–1612. [Google Scholar] [CrossRef]
- Mohamed, K.H.; Daniel, T.; Aurélien, D.; El-Maarouf-Bouteau, H.; Rafik, E.; Arbelet-Bonnin, D.; Biligui, B.; Florence, V.; Mustapha, E.M.; François, B. Deciphering the dual effect of lipopolysaccharides from plant pathogenic pectobacterium. Plant Signal. Behav. 2015, 10, e1000160. [Google Scholar] [CrossRef]
- Zink, R.T.; Engwall, J.K.; McEvoy, J.L.; Chatterjee, A.K. RecA is required in the induction of pectin lyase and carotovoricin in Erwinia carotovora subsp. carotovora. J. Bacteriol. 1985, 164, 390–396. [Google Scholar] [PubMed]
- Murata, H.; Fons, M.; Chatterjee, A.; Collmer, A.; Chatterjee, A.K. Characterization of transposon insertion out− mutants of Erwinia carotovora subsp. carotovora defective in enzyme export and of a DNA segment that complements out mutations in E. carotovora subsp. carotovora, E. carotovora subsp. atroseptica, and Erwinia chrysanthemi. J. Bacteriol. 1990, 172, 2970–2978. [Google Scholar] [PubMed]
- Boyer, H.W.; Roulland-Dussoix, D. A complementation analysis of the restriction and modification of DNA in escherichia coli. J. Mol. Biol. 1969, 41, 459–472. [Google Scholar] [CrossRef]
- Simon, R.; Priefer, U.; Puhler, A. A broad host range mobilization system for in vivo genetic-engineering: Transposon mutagenesis in gram-negative bacteria. Biotechnology 1983, 1, 784–791. [Google Scholar] [CrossRef]
- de Lorenzo, V.; Herrero, M.; Jakubzik, U.; Timmis, K.N. Mini-tn5 transposon derivatives for insertion mutagenesis, promoter probing, and chromosomal insertion of cloned DNA in gram-negative eubacteria. J. Bacteriol. 1990, 172, 6568–6572. [Google Scholar] [CrossRef] [PubMed]
- Figurski, D.H.; Helinski, D.R. Replication of an origin-containing derivative of plasmid Rk2 dependent on a plasmid function provided in trans. Proc. Natl. Acad. Sci. USA 1979, 76, 1648–1652. [Google Scholar] [CrossRef] [PubMed]
- Keen, N.T.; Tamaki, S.; Kobayashi, D.; Trollinger, D. Improved broad-host-range plasmids for DNA cloning in gram-negative bacteria. Gene 1988, 70, 191–197. [Google Scholar] [CrossRef]
- Kersey, C.M.; Agyemang, P.A.; Dumenyo, C.K. CorA, the magnesium/nickel/cobalt transporter, affects virulence and extracellular enzyme production in the soft rot pathogen Pectobacterium carotovorum. Mol. Plant Pathol. 2012, 13, 58–71. [Google Scholar] [CrossRef] [PubMed]
- Zwietering, M.H.; Jongenburger, I.; Rombouts, F.M.; van’t Riet, K. Modeling of the bacterial growth curve. Appl. Environ. Microbiol. 1990, 56, 1875–1881. [Google Scholar]
- Bakke, R.; Kommedal, R.; Kalvenes, S. Quantification of biofilm accumulation by an optical approach. J. Microbiol. Methods 2001, 44, 13–26. [Google Scholar] [CrossRef]
- Rosenberg, M. Bacterial adherence to hydrocarbons: A useful technique for studying cell surface hydrophobicity. FEMS Microbiol. Lett. 1984, 22, 289–295. [Google Scholar] [CrossRef]
- Kumar, S.; Stecher, G.; Li, M.; Knyaz, C.; Tamura, K. Mega X: Molecular evolutionary genetics analysis across computing platforms. Mol. Biol. Evol. 2018, 35, 1547–1549. [Google Scholar] [CrossRef] [PubMed]
- Andrianopoulos, K.; Wang, L.; Reeves, P.R. Identification of the fucose synthetase gene in the colanic acid gene cluster of Escherichia coli K-12. J. Bacteriol. 1998, 180, 998–1001. [Google Scholar] [PubMed]
- Lee, C.C.; Chen, J.; Frank, J.F. Role of cellulose and colanic acid in attachment of Shiga toxin-producing Escherichia coli to lettuce and spinach in different water hardness environments. J. Food Prot. 2015, 78, 1461–1466. [Google Scholar] [CrossRef] [PubMed]
- Parker, C.T.; Kloser, A.W.; Schnaitman, C.A.; Stein, M.A.; Gottesman, S.; Gibson, B.W. Role of the rfaG and rfaP genes in determining the lipopolysaccharide core structure and cell surface properties of Escherichia coli K-12. J. Bacteriol. 1992, 174, 2525–2538. [Google Scholar] [CrossRef] [PubMed]
- Danese, P.N.; Pratt, L.A.; Kolter, R. Exopolysaccharide production is required for development of Escherichia coli K-12 biofilm architecture. J. Bacteriol. 2000, 182, 3593–3596. [Google Scholar] [CrossRef] [PubMed]
- Perombelon, M.C.M. Potato diseases caused by soft rot erwinias: An overview of pathogenesis. Plant Pathol. 2002, 51, 1–12. [Google Scholar] [CrossRef]
- Sandkvist, M. Type II secretion and pathogenesis. Infect. Immun. 2001, 69, 3523–3535. [Google Scholar] [CrossRef] [PubMed]
- Yu, M.; Xu, Y.; Xu, T.; Wang, B.; Sheng, A.; Zhang, X.-H. WcaJ, the initiating enzyme for colanic acid synthesis, is required for lipopolysaccharide production, biofilm formation and virulence in Edwardsiella tarda. Aquaculture 2015, 437, 287–291. [Google Scholar] [CrossRef]
- Nassif, X.; Honore, N.; Vasselon, T.; Cole, S.T.; Sansonetti, P.J. Positive control of colanic acid synthesis in Escherichia coli by rmpA and rmpB, two virulence-plasmid genes of Klebsiella pneumoniae. Mol. Microbiol. 1989, 3, 1349–1359. [Google Scholar] [CrossRef] [PubMed]
- Wang, S.; Shi, H.; Li, Y.; Shi, Z.; Zhang, X.; Baek, C.H.; Mothershead, T.; Curtiss, R., 3rd. A colanic acid operon deletion mutation enhances induction of early antibody responses by live attenuated Salmonella vaccine strains. Infect. Immun. 2013, 81, 3148–3162. [Google Scholar] [CrossRef] [PubMed]
- Ledeboer, N.A.; Jones, B.D. Exopolysaccharide sugars contribute to biofilm formation by Salmonella enterica serovar Typhimurium on Hep-2 cells and chicken intestinal epithelium. J. Bacteriol. 2005, 187, 3214–3226. [Google Scholar] [CrossRef] [PubMed]
- Prigent-Combaret, C.; Prensier, G.; Le Thi, T.T.; Vidal, O.; Lejeune, P.; Dorel, C. Developmental pathway for biofilm formation in curli-producing escherichia coli strains: Role of flagella, curli and colanic acid. Environ. Microbiol. 2000, 2, 450–464. [Google Scholar] [CrossRef] [PubMed]
- Wang, D.P.; Korban, S.S.; Zhao, Y.F. The rcs phosphorelay system is essential for pathogenicity in erwinia amylovora. Mol. Plant Pathol. 2009, 10, 277–290. [Google Scholar] [CrossRef] [PubMed]
- Mao, Y.; Doyle, M.P.; Chen, J. Role of colanic acid exopolysaccharide in the survival of enterohaemorrhagic Escherichia coli O157:H7 in simulated gastrointestinal fluids. Lett. Appl. Microbiol. 2006, 42, 642–647. [Google Scholar] [CrossRef]
- Navasa, N.; Rodríguez-Aparicio, L.; Ferrero, M.Á.; Monteagudo-Mera, A.; Martínez-Blanco, H. Polysialic and colanic acids metabolism in Escherichia coli K92 is regulated by rcsA and rcsB. Biosci. Rep. 2013, 33, e00038. [Google Scholar] [CrossRef]
- Virlogeux, I.; Waxin, H.; Ecobichon, C.; Lee, J.O.; Popoff, M.Y. Characterization of the rcsA and rcsB genes from Salmonella typhi: RcsB through tviA is involved in regulation of vi antigen synthesis. J. Bacteriol. 1996, 178, 1691–1698. [Google Scholar] [CrossRef]
- Andresen, L.; Sala, E.; Kõiv, V.; Mäe, A. A role for the rcs phosphorelay in regulating expression of plant cell wall degrading enzymes in Pectobacterium carotovorum subsp. carotovorum. Microbiology 2010, 156, 1323–1334. [Google Scholar] [CrossRef]
- Andresen, L.; Koiv, V.; Alamae, T.; Mae, A. The rcs phosphorelay modulates the expression of plant cell wall degrading enzymes and virulence in Pectobacterium carotovorum ssp. carotovorum. FEMS Microbiol. Lett. 2007, 273, 229–238. [Google Scholar] [CrossRef]
- Huang, T.P.; Lu, K.M.; Chen, Y.H. A novel two-component response regulator links rpf with biofilm formation and virulence of Xanthomonas axonopodis pv. citri. PLoS ONE 2013, 8, e62824. [Google Scholar] [CrossRef]
- Kim, H.; Kim, M.; Bai, J.; Lim, J.; Heu, S.; Ryu, S. Colanic acid is a novel phage receptor of subsp. Phage pop72. Front. Microbiol. 2019, 10, 143. [Google Scholar] [CrossRef] [PubMed]










| Bacterial Strain | Relevant Characteristics | References |
|---|---|---|
| Pectobacterium carotovorum | ||
| Ecc71 | Wild type | [21] |
| AC5006 | Lac− mutant of Ecc71 | [22] |
| KD100 | Nalr derivative of AC5006 | This study |
| KD250 | wcaG− Kmr derivative of KD100 by mini-Tn5-Km lacZ1 mutagenesis | This study |
| KD251 | wcaG− Kmr derivative of KD100 by mini-Tn5-Km lacZ1 mutagenesis | This study |
| Escherichia coli | ||
| HB101 | proA1 lacY hsdS20 (rB− mB−) recA56 rpsL20 | [23] |
| LE392 | McrA−hsdR514 supE44 supF58 lacY1 or D(lacIZY)6 galK2 galT22 metB1 trpR55 | Promega |
| S17-1 | F2 pro recA1 rB− mB+ RP4-2 integrated (Tc::Mu) (Km::Tn7[Smr Tpr]) | [24] |
| Plasmids | ||
| pUT mini-Tn5lacZ1 | A λ-Pir vector containing mini-Tn5-Km lacZ1 transposon | [25] |
| pRK2013 | IncP Kmr TraRk2+ DrepRK2 repE1 | [26] |
| pLAFR5 | Tcr, cosmid cloning vector | [27] |
| pCKD252 | wcaG++ cosmid in pLAFR5 | This study |
© 2019 by the authors. Licensee MDPI, Basel, Switzerland. This article is an open access article distributed under the terms and conditions of the Creative Commons Attribution (CC BY) license (http://creativecommons.org/licenses/by/4.0/).
Share and Cite
Islam, R.; Brown, S.; Taheri, A.; Dumenyo, C.K. The Gene Encoding NAD-Dependent Epimerase/Dehydratase, wcaG, Affects Cell Surface Properties, Virulence, and Extracellular Enzyme Production in the Soft Rot Phytopathogen, Pectobacterium carotovorum. Microorganisms 2019, 7, 172. https://doi.org/10.3390/microorganisms7060172
Islam R, Brown S, Taheri A, Dumenyo CK. The Gene Encoding NAD-Dependent Epimerase/Dehydratase, wcaG, Affects Cell Surface Properties, Virulence, and Extracellular Enzyme Production in the Soft Rot Phytopathogen, Pectobacterium carotovorum. Microorganisms. 2019; 7(6):172. https://doi.org/10.3390/microorganisms7060172
Chicago/Turabian StyleIslam, Rabiul, Shyretha Brown, Ali Taheri, and C. Korsi Dumenyo. 2019. "The Gene Encoding NAD-Dependent Epimerase/Dehydratase, wcaG, Affects Cell Surface Properties, Virulence, and Extracellular Enzyme Production in the Soft Rot Phytopathogen, Pectobacterium carotovorum" Microorganisms 7, no. 6: 172. https://doi.org/10.3390/microorganisms7060172
APA StyleIslam, R., Brown, S., Taheri, A., & Dumenyo, C. K. (2019). The Gene Encoding NAD-Dependent Epimerase/Dehydratase, wcaG, Affects Cell Surface Properties, Virulence, and Extracellular Enzyme Production in the Soft Rot Phytopathogen, Pectobacterium carotovorum. Microorganisms, 7(6), 172. https://doi.org/10.3390/microorganisms7060172

