Paenibacillus–Pseudomonas Consortium Improves Barley Performance with Minimal Impact on Native Rhizobacterial Community
Abstract
1. Introduction
2. Materials and Methods
2.1. Bacterial Strains Isolation, Selection and Identification
2.2. Field Experiment, Soil Sampling, and Plants Measurement
2.3. Physico-Chemical Properties
2.4. Photosynthetic Pigments
2.5. 16S rRNA Sequencing and Bioinformatic Analyses
2.6. Statistical Analysis
3. Results
3.1. Bacterial Strain Identification
3.2. Physico-Chemical Properties of Soil
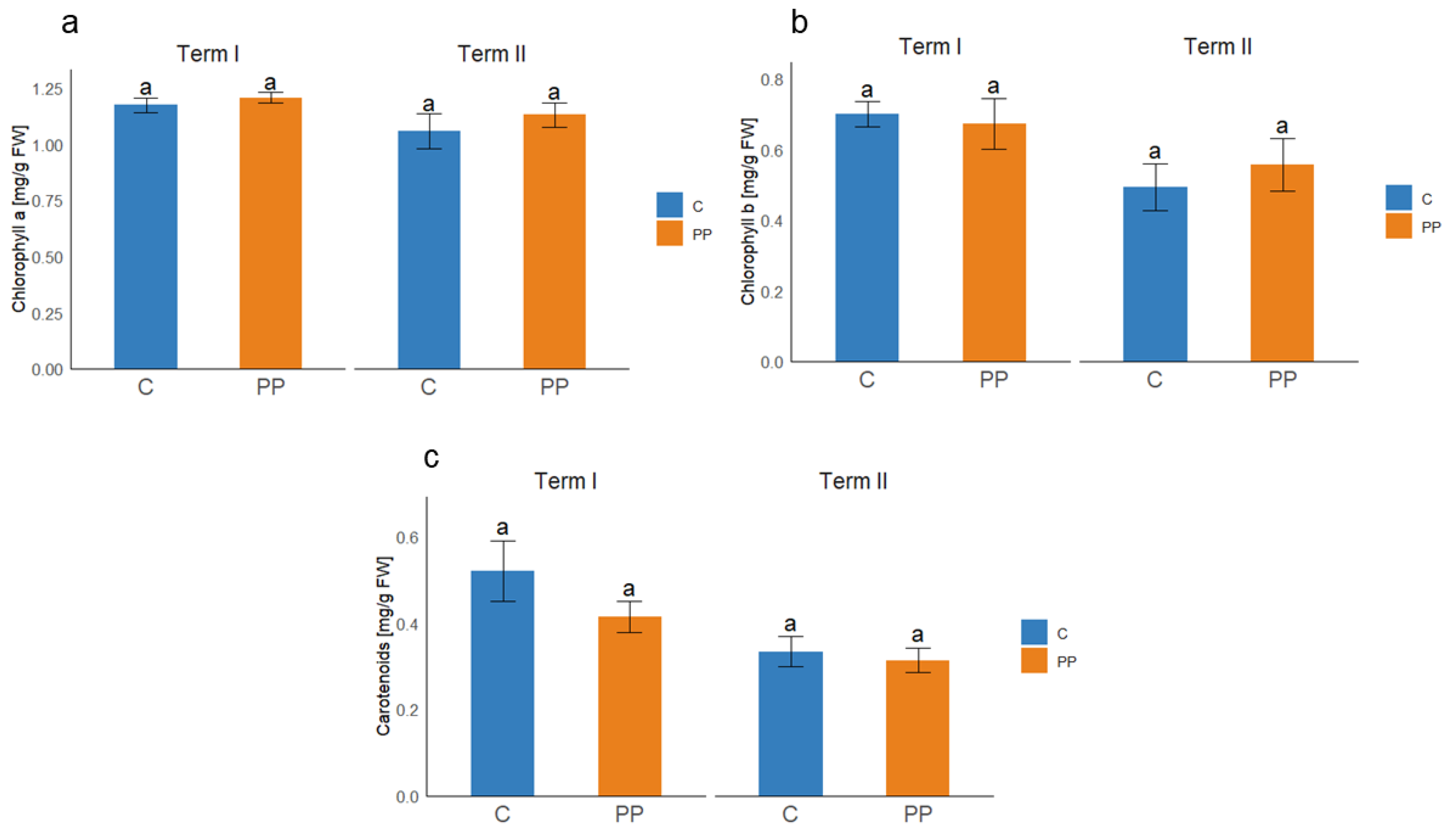
3.3. Photosynthetic Pigments Content
3.4. Biometric and Yield Parameters of Barley Plants
3.5. Alpha Diversity and Beta Diversity of Bacterial Community
3.6. Composition of Bacterial Community
4. Discussion
5. Conclusions
Supplementary Materials
Author Contributions
Funding
Institutional Review Board Statement
Informed Consent Statement
Data Availability Statement
Acknowledgments
Conflicts of Interest
References
- Food and Agriculture Organization of the United Nations (FAO). Production: Crops and Livestock Products; FAOSTAT: Rome, Italy, 2023; Available online: https://www.fao.org/faostat/en/#data/QCL (accessed on 10 December 2025).
- Baik, B.K.; Ullrich, S.E. Barley for food: Characteristics, improvement, and renewed interest. J. Cereal Sci. 2008, 48, 233–242. [Google Scholar] [CrossRef]
- Tyagi, J.; Ahmad, S.; Malik, M. Nitrogenous fertilizers: Impact on environment sustainability, mitigation strategies, and challenges. Int. J. Environ. Sci. Technol. 2022, 19, 11649–11672. [Google Scholar] [CrossRef]
- Amin, F.; Jilani, M.I. Environmental, Microbiological and Chemical Implications of Fertilizers use in soils: A review. Int. J. Chem. Biochem. Sci. 2024, 25, 56–73. [Google Scholar]
- Heuser, I. Soil governance in current European Union law and in the European Green Deal. Soil Secur. 2022, 6, 100053, Erratum in Soil Secur. 2024, 15, 100149. [Google Scholar] [CrossRef]
- Dobrzyński, J.; Kulkova, I.; Jakubowska, Z.; Naziębło, A.; Wróbel, B. Pseudomonas sp. G31 and Azotobacter sp. PBC2 Changed Structure of Bacterial Community and Modestly Promoted Growth of Oilseed Rape. Int. J. Mol. Sci. 2024, 25, 13168. [Google Scholar] [CrossRef]
- Dobrzyński, J.; Kulkova, I. Paenibacillus peoriae: Current knowledge and agricultural biotechnology potential of a close relative of P. polymyxa. Antonie Van Leeuwenhoek 2025, 118, 120. [Google Scholar] [CrossRef]
- Olanrewaju, O.S.; Glick, B.R.; Babalola, O.O. Mechanisms of action of plant growth promoting bacteria. World J. Microbiol. Biotechnol. 2017, 33, 197. [Google Scholar] [CrossRef] [PubMed]
- Maciel-Rodríguez, M.; Moreno-Valencia, F.D.; Plascencia-Espinosa, M. The role of plant growth-promoting bacteria in soil restoration: A strategy to promote agricultural sustainability. Microorganisms 2025, 13, 1799. [Google Scholar] [CrossRef] [PubMed]
- Dobrzyński, J.; Jakubowska, Z. Pseudomonas protegens as a biocontrol agent against phytopathogenic fungi—A mini review. World J. Microbiol. Biotechnol. 2025, 41, 11. [Google Scholar] [CrossRef]
- Naziębło, A.; Pytlak, A.; Furtak, A.; Dobrzyński, J. Advances and hotspots in research on Verrucomicrobiota: Focus on agroecosystems. Microb. Ecol. 2026, 89, 1. [Google Scholar] [CrossRef] [PubMed]
- Ngalimat, M.S.; Mohd Hata, E.; Zulperi, D.; Ismail, S.I.; Ismail, M.R.; Mohd Zainudin, N.A.I.; Saidi, N.B.; Yusof, M.T. Plant growth-promoting bacteria as an emerging tool to manage bacterial rice pathogens. Microorganisms 2021, 9, 682. [Google Scholar] [CrossRef]
- Naziębło, A.; Dobrzyński, J. Biotransformation of As, Cr, Hg, and Mn by Pseudomonadota: Chances and risks. Biodegradation 2025, 36, 60. [Google Scholar] [CrossRef]
- Jakubowska, Z.; Gradowski, M.; Dobrzyński, J. Role of plant growth-promoting bacteria (PGPB) in enhancing phenolic compounds biosynthesis and its relevance to abiotic stress tolerance in plants: A review. Antonie Van Leeuwenhoek 2025, 118, 123. [Google Scholar] [CrossRef]
- Niewiadomska, A.; Płaza, A.; Wolna-Maruwka, A.; Budka, A.; Głuchowska, K.; Rudziński, R.; Kaczmarek, T. Consortia of plant growth-promoting rhizobacteria and selected catch crops for increasing microbial activity in soil under spring barley grown as an organic farming system. Appl. Sci. 2023, 13, 5120. [Google Scholar] [CrossRef]
- Zaib, S.; Zubair, A.; Abbas, S.; Hussain, J.; Ahmad, I.; Shakeel, S.N. Plant growth-promoting rhizobacteria (PGPR) reduce adverse effects of salinity and drought stresses by regulating nutritional profile of barley. Appl. Environ. Soil Sci. 2023, 2023, 7261784. [Google Scholar] [CrossRef]
- Dolkhani, F.; Bijanzadeh, E.; Boostani, H.R.; Hardie, A.G. Effect of nitrogen-fixing bacteria application on biochemical properties, yield, and nutrients of barley. J. Soil Sci. Plant Nutr. 2022, 22, 5021–5035. [Google Scholar] [CrossRef]
- Kaur, T.; Devi, R.; Kumar, S.; Sheikh, I.; Kour, D.; Yadav, A.N. Microbial consortium with nitrogen fixing and mineral solubilizing attributes for growth of barley (Hordeum vulgare L.). Heliyon 2022, 8, e09264. [Google Scholar] [CrossRef]
- Kouas, S.; Djedidi, S.; Debez, I.B.S.; Sbissi, I.; Alyami, N.M.; Hirsch, A.M. Halotolerant phosphate solubilizing bacteria isolated from arid area in Tunisia improve P status and photosynthetic activity of cultivated barley under P shortage. Heliyon 2024, 10, e20621. [Google Scholar] [CrossRef] [PubMed]
- Buddrus-Schiemann, K.; Schmid, M.; Schreiner, K.; Welzl, G.; Hartmann, A. Root colonization by Pseudomonas sp. DSMZ 13134 and impact on the indigenous rhizosphere bacterial community of barley. Microb. Ecol. 2010, 60, 381–393. [Google Scholar] [CrossRef]
- Dobrzyński, J.; Kulkova, I.; Jakubowska, Z.; Wróbel, B. Non-Native PGPB Consortium Altered the Rhizobacterial Community and Slightly Stimulated the Growth of Winter Oilseed Rape (Brassica napus L.) under Field Conditions. Microb. Ecol. 2024, 87, 168. [Google Scholar] [CrossRef]
- Dobrzyński, J.; Naziębło, A.; Kulkova, I.; Szpytma, M.; Antosik, A.; Jakubowska, Z.; Wróbel, B. Response of triticale and its native rhizobacterial community to inoculation with a consortium of Paenibacillus sp. Z15 and Pseudomonas sp. KR227. World J. Microbiol. Biotechnol. 2026. [Google Scholar] [CrossRef]
- Yamamoto, S.; Harayama, S. PCR amplification and direct sequencing of gyrB genes with universal primers and their application to the detection and taxonomic analysis of Pseudomonas putida strains. Appl. Environ. Microbiol. 1995, 61, 1104–1109. [Google Scholar] [CrossRef] [PubMed]
- Dobrzyński, J.; Kulkova, I.; Jakubowska, Z.; Wróbel, B. Non-native PGPB consortium consisting of Pseudomonas sp. G31 and Azotobacter sp. PBC2 promoted winter wheat growth and slightly altered the native bacterial community. Sci. Rep. 2025, 15, 3248. [Google Scholar] [CrossRef] [PubMed]
- Mendes, L.W.; Raaijmakers, J.M.; De Hollander, M.; Mendes, R.; Tsai, S.M. Influence of resistance breeding in common bean on rhizosphere microbiome composition and function. ISME J. 2018, 12, 212–224. [Google Scholar] [CrossRef] [PubMed]
- PN-EN ISO 10390:2022-09; Soil, Sludge and Treated Biowaste—Determination of pH. Polish Committee for Standardization: Warsaw, Poland, 2022.
- PN-EN 15935:2022-01; Sludge, Treated Biowaste and Soil—Determination of Loss on Ignition—Dry Matter—Organic Matter. Polish Committee for Standardization: Warsaw, Poland, 2022.
- PN-EN 16169:2012; Sludge, Treated Biowaste and Soil—Determination of Kjeldahl Nitrogen. Polish Committee for Standardization: Warsaw, Poland, 2012.
- PN-EN ISO 54321:2021-07; Soil, Treated Bio-Waste, Sewage Sludge and Waste—De-Treatment of Fractions of Royal Water-Soluble Elements. Polish Committee for Standardization: Warsaw, Poland, 2021.
- ISO 22036:2024; Environmental Solid Matrices—Determination of Elements Using Inductively Coupled Plasma Optical Emission Spectrometry (ICP-OES). International Organization for Standardization (ISO): Geneva, Switzerland, 2024.
- Arnon, D.I. Copper enzymes in isolated chloroplasts. Polyphenoloxidase in Beta vulgaris. Plant Physiol. 1949, 24, 1. [Google Scholar] [CrossRef]
- Azeem, M.; Haider, M.Z.; Javed, S.; Saleem, M.H.; Alatawi, A. Drought stress amelioration in maize (Zea mays L.) by inoculation of Bacillus spp. strains under sterile soil conditions. Agriculture 2022, 12, 50. [Google Scholar] [CrossRef]
- STATSOFT, Inc. STATISTICA (Data Analysis Software System), Version 13.1; STATSOFT, Inc.: Tulsa, OK, USA, 2014; Available online: https://www.statsoft.pl/en/ (accessed on 20 December 2025).
- Yahya, M.; Islam, E.U.; Rasul, M.; Farooq, I.; Mahreen, N.; Tawab, A.; Irfan, M.; Rajput, L.; Amin, I.; Yasmin, S. Differential root exudation and architecture for improved growth of wheat mediated by phosphate solubilizing bacteria. Front. Microbiol. 2021, 12, 744094. [Google Scholar] [CrossRef]
- Wang, Z.; Zhang, H.; Liu, L.; Li, S.; Xie, J.; Xue, X.; Jiang, Y. Screening of phosphate-solubilizing bacteria and their abilities of phosphorus solubilization and wheat growth promotion. BMC Microbiol. 2022, 22, 296. [Google Scholar] [CrossRef]
- Hosseini, E.; Zarei, M.; Sepehri, M.; Safarzadeh, S. Do bagasse biochar and microbial inoculants positively affect barley grain yield and nutrients, and microbial activity? J. Plant Nutr. 2021, 45, 522–539. [Google Scholar] [CrossRef]
- Jiménez-Gómez, A.; Saati-Santamaría, Z.; Kostovcik, M.; Rivas, R.; Velázquez, E.; Mateos, P.F.; Menéndez, E.; García-Fraile, P. Selection of the root endophyte Pseudomonas brassicacearum CDVBN10 as plant growth promoter for Brassica napus L. crops. Agronomy 2020, 10, 1788. [Google Scholar] [CrossRef]
- Chen, Y.; Li, S.; Liu, N.; He, H.; Cao, X.; Lv, C.; Dai, J. Effects of different types of microbial inoculants on available nitrogen and phosphorus, soil microbial community, and wheat growth in high-P soil. Environ. Sci. Pollut. Res. 2021, 28, 23036–23047. [Google Scholar] [CrossRef]
- Wolińska, A.; Kuźniar, A.; Zielenkiewicz, U.; Izak, D.; Szafranek-Nakonieczna, A.; Banach, A.; Błaszczyk, M. Bacteroidetes as a sensitive biological indicator of agricultural soil usage revealed by a culture-independent approach. Appl. Soil Ecol. 2017, 119, 128–137. [Google Scholar] [CrossRef]
- Kruczyńska, A.; Kuźniar, A.; Podlewski, J.; Słomczewski, A.; Grządziel, J.; Marzec-Grządziel, A.; Wolińska, A. Bacteroidota structure in the face of varying agricultural practices as an important indicator of soil quality—A culture-independent approach. Agric. Ecosyst. Environ. 2023, 342, 108252. [Google Scholar] [CrossRef]
- Cassán, F.; Diaz-Zorita, M. Azospirillum sp. in current agriculture: From the laboratory to the field. Soil Biol. Biochem. 2016, 103, 117–130. [Google Scholar] [CrossRef]
- Cassán, F.; Coniglio, A.; López, G.; Molina, R.; Nievas, S.; de Carlan, C.L.N.; Donadio, F.; Torres, D.; Rosas, S.; Pedrosa, F.O.; et al. Everything you must know about Azospirillum and its impact on agriculture and beyond. Biol. Fertil. Soils 2020, 56, 461–479. [Google Scholar] [CrossRef]
- Spain, A.M.; Krumholz, L.R.; Elshahed, M.S. Abundance, composition, diversity and novelty of soil Proteobacteria. ISME J. 2009, 3, 992–1000. [Google Scholar] [CrossRef]
- Sjöberg, S.; Stairs, C.W.; Allard, B.; Homa, F.; Martin, T.; Sjöberg, V.; Dupraz, C. Microbiomes in a manganese oxide producing ecosystem in the Ytterby mine, Sweden: Impact on metal mobility. FEMS Microbiol. Ecol. 2020, 96, 169. [Google Scholar] [CrossRef] [PubMed]
- Besze, B.Z.; Borsodi, A.K.; Megyes, M.; Zsigmond, T.; Horel, Á. Changes in the taxonomic composition of soil bacterial communities under different inter-row tillage managements in a sloping vineyard of the Balaton Uplands (Hungary). Biol. Futur. 2024, 75, 327–338. [Google Scholar] [CrossRef]
- Bhatnagar, S.; Badger, J.H.; Madupu, R.; Khouri, H.M.; O’Connor, E.M.; Robb, F.T.; Ward, N.L.; Eisen, J.A. Genome sequence of a sulfate-reducing thermophilic bacterium, Thermodesulfobacterium commune DSM 2178T (phylum Thermodesulfobacteria). Genome Announc. 2015, 3, e01490-14. [Google Scholar] [CrossRef] [PubMed]
- Mardanov, A.V.; Beletsky, A.V.; Kadnikov, V.V.; Slobodkin, A.I.; Ravin, N.V. Genome analysis of Thermosulfurimonas dismutans, the first thermophilic sulfur-disproportionating bacterium of the phylum Thermodesulfobacteria. Front. Microbiol. 2016, 7, 950. [Google Scholar] [CrossRef]





| Treatment | TOC [%] | pH (KCl) | TKN [%] | TKN [mg/kg] | N-NH4 [mg/kg] | N-NO3 [mg/kg] | AP [mg/kg] | TP [mg/kg] |
|---|---|---|---|---|---|---|---|---|
| Term I | ||||||||
| Control | 0.95 ± 0.22 a | 6.20 ± 0.1 a | 0.11 ± 0 a | 1097 ± 31 a | 5.60 ± 1.59 a | 3.57 ± 0.72 a | 277.33 ± 6.11 a | 629.33 ± 33.62 a |
| PP | 0.98 ± 0.16 a | 6.17 ± 0.12 a | 0.11 ± 0.01 a | 1056 ± 61 a | 5.40 ± 0.35 a | 2.25 ± 1.21 a | 276.33 ± 20.11 a | 616.33 ± 24.13 a |
| Term II | ||||||||
| Control | 0.88 ± 0.11 a | 6.83 ± 0.12 a | 0.11 ± 0.03 a | 1058 ± 285 a | 5.67 ± 0.31 a | 3.23 ± 0.51 a | 224.00 ± 5.29 a | 559.33 ± 61.92 a |
| PP | 0.78 ± 0.04 a | 7.00 ± 0.1 a | 0.12 ± 0.02 a | 1148 ± 171 a | 5.47 ± 0.12 a | 4.73 ± 1.64 a | 229.33 ± 10.02 a | 529.00 ± 3.61 a |
| Treatment | Shoot Height [cm] | Shoot Yield [g/m2] | Grain Yield [g/m2] | Root Mass I Term [g] | Root Mass II Term [g] | TGW [g] |
|---|---|---|---|---|---|---|
| Control | 72.38 ± 2.41 b | 1049 ± 53 a | 515 ± 41 b | 2.74 ± 0.93 b | 8.36 ± 0.93 a | 4.79 ± 0.37 a |
| PP | 78.01 ± 1.45 a | 1234 ± 189 a | 595 ± 43 a | 6.03 ± 1.00 a | 13.41 ± 3.72 a | 4.74 ± 0.24 a |
| Sample Name | Chao1 | Observed Features | Shannon | Simpson |
|---|---|---|---|---|
| Term I | ||||
| Control | 2484 ± 441 a | 2457 ± 445 a | 10.34 ± 0.24 a | 0.998 ± 0.000 a |
| PP | 2510 ± 213 a | 2485 ± 211 a | 10.33 ± 0.22 a | 0.998 ± 0.001 a |
| Term II | ||||
| Control | 1799 ± 193 a | 1778± 182 | 9.88 ± 0.08 a | 0.998 ± 0.000 a |
| PP | 1946± 167 a | 1926± 167 a | 9.94 ± 0.13 a | 0.998 ± 0.001 a |
Disclaimer/Publisher’s Note: The statements, opinions and data contained in all publications are solely those of the individual author(s) and contributor(s) and not of MDPI and/or the editor(s). MDPI and/or the editor(s) disclaim responsibility for any injury to people or property resulting from any ideas, methods, instructions or products referred to in the content. |
© 2026 by the authors. Licensee MDPI, Basel, Switzerland. This article is an open access article distributed under the terms and conditions of the Creative Commons Attribution (CC BY) license.
Share and Cite
Dobrzyński, J.; Naziębło, A.; Kulkova, I.; Szpytma, M.; Antosik, A.; Sitarek-Andrzejczyk, M.; Wróbel, B. Paenibacillus–Pseudomonas Consortium Improves Barley Performance with Minimal Impact on Native Rhizobacterial Community. Microorganisms 2026, 14, 488. https://doi.org/10.3390/microorganisms14020488
Dobrzyński J, Naziębło A, Kulkova I, Szpytma M, Antosik A, Sitarek-Andrzejczyk M, Wróbel B. Paenibacillus–Pseudomonas Consortium Improves Barley Performance with Minimal Impact on Native Rhizobacterial Community. Microorganisms. 2026; 14(2):488. https://doi.org/10.3390/microorganisms14020488
Chicago/Turabian StyleDobrzyński, Jakub, Aleksandra Naziębło, Iryna Kulkova, Magdalena Szpytma, Adrianna Antosik, Monika Sitarek-Andrzejczyk, and Barbara Wróbel. 2026. "Paenibacillus–Pseudomonas Consortium Improves Barley Performance with Minimal Impact on Native Rhizobacterial Community" Microorganisms 14, no. 2: 488. https://doi.org/10.3390/microorganisms14020488
APA StyleDobrzyński, J., Naziębło, A., Kulkova, I., Szpytma, M., Antosik, A., Sitarek-Andrzejczyk, M., & Wróbel, B. (2026). Paenibacillus–Pseudomonas Consortium Improves Barley Performance with Minimal Impact on Native Rhizobacterial Community. Microorganisms, 14(2), 488. https://doi.org/10.3390/microorganisms14020488

