Swift Realisation of Wastewater-Based SARS-CoV-2 Surveillance for Aircraft and Airports: Challenges from Sampling to Variant Detection
Abstract
1. Introduction
2. Materials and Methods
2.1. SARS-CoV-2 Reference Data
2.2. Sampling Site and Period
2.3. Sampling of Aircraft and Airport Wastewater
2.4. Wastewater Parameters
2.5. Quantification of SARS-CoV-2 RNA
2.6. Sequencing of SARS-CoV-2
3. Results
3.1. SARS-CoV-2 Reference Data
3.2. Adaptation of Workflows
3.3. Wastewater Composition
3.4. SARS-CoV-2 Quantification
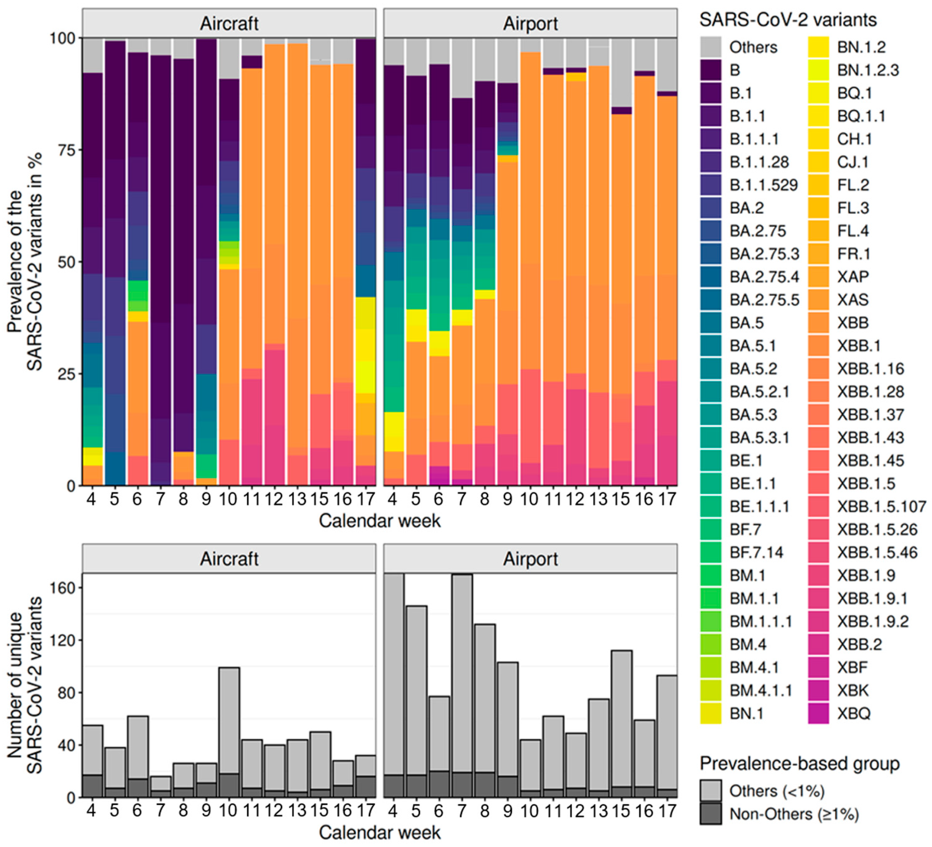
3.5. Sequencing
4. Discussion
5. Conclusions
Supplementary Materials
Author Contributions
Funding
Institutional Review Board Statement
Informed Consent Statement
Data Availability Statement
Acknowledgments
Conflicts of Interest
Abbreviations
| BER Airport | Berlin–Brandenburg Airport |
| cDNA | Complementary deoxyribonucleic acid |
| COVID-19 | Coronavirus disease 2019 |
| DESH | Deutscher Elektronischer Sequenzdaten-Hub (German Electronic Sequencing Data Hub) |
| PE | Polyethylene |
| (RT-)qPCR/(d)dPCR | (Reverse transcription) quantitative/(droplet) digital polymerase chain reaction |
| RKI | Robert Koch-Institute |
| RNA | Ribonucleic acid |
| RSV | Respiratory syncytial virus |
| SARS-CoV-2 | Severe acute respiratory syndrome coronavirus 2 |
| T(S)S | Total (suspended) solids |
| WBE | Wastewater-based epidemiology |
| WWTP | Wastewater treatment plant |
References
- Lau, H.; Khosrawipour, V.; Kocbach, P.; Mikolajczyk, A.; Ichii, H.; Zacharski, M.; Bania, J.; Khosrawipour, T. The association between international and domestic air traffic and the coronavirus (COVID-19) outbreak. J. Microbiol. Immunol. Infect. 2020, 53, 467–472. [Google Scholar] [CrossRef]
- Saini, G.; Deepak, P. Wastewater-based epidemiology for novel Coronavirus detection in wastewater. Glob. J. Environ. Sci. Manag. 2021, 7, 643–658. [Google Scholar] [CrossRef]
- Buonerba, A.; Corpuz, M.V.A.; Ballesteros, F.; Choo, K.-H.; Hasan, S.W.; Korshin, G.V.; Belgiorno, V.; Barceló, D.; Naddeo, V. Coronavirus in water media: Analysis, fate, disinfection and epidemiological applications. J. Hazard. Mater. 2021, 415, 125580. [Google Scholar] [CrossRef]
- Shah, S.; Gwee, S.X.W.; Ng, J.Q.X.; Lau, N.; Koh, J.; Pang, J. Wastewater surveillance to infer COVID-19 transmission: A systematic review. Sci. Total Environ. 2022, 804, 150060. [Google Scholar] [CrossRef]
- Ahmed, W.; Bivins, A.; Simpson, S.L.; Bertsch, P.M.; Ehret, J.; Hosegood, I.; Metcalfe, S.S.; Smith, W.J.M.; Thomas, K.V.; Tynan, J.; et al. Wastewater surveillance demonstrates high predictive value for COVID-19 infection on board repatriation flights to Australia. Environ. Int. 2022, 158, 106938. [Google Scholar] [CrossRef] [PubMed]
- Böhmer, M.M.; Buchholz, U.; Corman, V.M.; Hoch, M.; Katz, K.; Marosevic, D.V.; Böhm, S.; Woudenberg, T.; Ackermann, N.; Konrad, R.; et al. Investigation of a COVID-19 outbreak in Germany resulting from a single travel-associated primary case: A case series. Lancet Infect. Dis. 2020, 20, 920–928. [Google Scholar] [CrossRef]
- Farkas, K.; Williams, R.; Alex-Sanders, N.; Grimsley, J.M.S.; Pântea, I.; Wade, M.J.; Woodhall, N.; Jones, D.J. Wastewater-based monitoring of SARS-CoV-2 at UK airports and its potential role in international public health surveillance. PLOS Glob. Public Health 2023, 3, e0001346. [Google Scholar] [CrossRef]
- Ahmed, W.; Bivins, A.; Smith, W.J.M.; Metcalfe, S.; Stephens, M.; Jennison, A.V.; Moore, F.A.J.; Bourke, J.; Schlebusch, S.; McMahon, J. Detection of the Omicron (B.1.1.529) variant of SARS-CoV-2 in aircraft wastewater. Sci. Total Environ. 2022, 820, 153171. [Google Scholar] [CrossRef]
- Deere, D.A.; Jones, D.L.; Ahmed, W.; Medema, G.; Norbert, K.; Remmonay, I.; Lacroix, S.; Hewitt, J.; Tavazzi, S.; Gawlik, B.M. Adhoc Guidance: Wastewater Sampling of Aircrafts and Airports for SARS-CoV-2 Surveillance 2023; European Commission: Brussels, Belgium, 2023. [Google Scholar]
- Ahmed, W.; Bertsch, P.M.; Angel, N.; Bibby, K.; Bivins, A.; Dierens, L.; Edson, J.; Ehret, J.; Gyawali, P.; Hamilton, K.A. Detection of SARS-CoV-2 RNA in commercial passenger aircraft and cruise ship wastewater: A surveillance tool for assessing the presence of COVID-19 infected travellers. J. Travel Med. 2020, 27, taaa116. [Google Scholar] [CrossRef] [PubMed]
- Morfino, R.C. Notes from the Field: Aircraft Wastewater Surveillance for Early Detection of SARS-CoV-2 Variants—John, F. Kennedy International Airport, New York City, August–September 2022. MMWR Morb. Mortal. Wkly. Rep. 2023, 72, 210–211. [Google Scholar] [CrossRef] [PubMed]
- Le Targa, L.; Wurtz, N.; Lacoste, A.; Penant, G.; Jardot, P.; Annessi, A.; Colson, P.; La Scola, E.; Aherfi, S. SARS-CoV-2 Testing of Aircraft Wastewater Shows That Mandatory Tests and Vaccination Pass before Boarding Did Not Prevent Massive Importation of Omicron Variant into Europe. Viruses 2022, 14, 1511. [Google Scholar] [CrossRef]
- Tay, M.; Lee, B.; Ismail, M.H.; Yam, J.; Maliki, D.; Gin, K.Y.-H.; Chae, S.-R.; Ho, Z.J.M.; Teoh, Y.L.; Ng, L.C.; et al. Usefulness of aircraft and airport wastewater for monitoring multiple pathogens including SARS-CoV-2 variants. J. Travel Med. 2024, 31, taae074. [Google Scholar] [CrossRef]
- Albastaki, A.; Naji, M.; Lootah, R.; Almeheiri, R.; Almulla, H.; Almarri, I.; Alreyami, A.; Aden, A.; Alghafri, R. First confirmed detection of SARS-COV-2 in untreated municipal and aircraft wastewater in Dubai, UAE: The use of wastewater based epidemiology as an early warning tool to monitor the prevalence of COVID-19. Sci. Total Environ. 2021, 760, 143350. [Google Scholar] [CrossRef]
- Rosca, E.C.; Heneghan, C.; Spencer, E.A.; Brassey, J.; Plüddemann, A.; Onakpoya, I.J.; Evans, D.H.; Conly, J.M.; Jefferson, T. Transmission of SARS-CoV-2 associated with aircraft travel: A systematic review. J. Travel Med. 2021, 28, taab133. [Google Scholar] [CrossRef]
- Jones, D.L.; Rhymes, J.M.; Wade, M.J.; Kevill, J.L.; Malham, S.K.; Grimsley, J.M.S.; Rimmer, C.; Weightman, A.J.; Farkas, K. Suitability of aircraft wastewater for pathogen detection and public health surveillance. Sci. Total Environ. 2023, 856, 159162. [Google Scholar] [CrossRef]
- Zheng, S.; Fan, J.; Yu, F.; Feng, B.; Lou, B.; Zou, Q.; Xie, G.; Lin, S.; Wang, R.; Yang, X.; et al. Viral load dynamics and disease severity in patients infected with SARS-CoV-2 in Zhejiang province, China, January-March 2020: Retrospective cohort study. BMJ 2020, 369, m1443. [Google Scholar] [CrossRef]
- Prasek, S.M.; Pepper, I.L.; Innes, G.K.; Slinski, S.; Ruedas, M.; Sanchez, A.; Brierley, P.; Betancourt, W.Q.; Stark, E.R.; Foster, A.R.; et al. Population level SARS-CoV-2 fecal shedding rates determined via wastewater-based epidemiology. Sci. Total Environ. 2022, 838, 156535. [Google Scholar] [CrossRef]
- Chen, Y.; Chen, L.; Deng, Q.; Zhang, G.; Wu, K.; Ni, L.; Yang, Y.; Liu, B.; Wang, W.; Wei, C.; et al. The presence of SARS-CoV-2 RNA in the feces of COVID-19 patients. J. Med. Virol. 2020, 92, 833–840. [Google Scholar] [CrossRef]
- BER Airport. Traffic Statistics BER December 2023; BER Airport: Schönefeld, Germany, 2023. [Google Scholar]
- EN 872:2005; Water Quality—Determination of Suspended Solids—Method by Filtration Through Glass Fibre Filters. European Standard: Brussels, Belgium, 2005.
- Karthikeyan, S.; Levy, J.I.; Hoff, P.; Humphrey, G.; Birmingham, A.; Jepsen, K.; Farmer, S.; Tubb, H.M.; Valles, T.; Tribelhorn, C.E.; et al. Wastewater sequencing reveals early cryptic SARS-CoV-2 variant transmission. Nature 2022, 609, 101–108. [Google Scholar] [CrossRef]
- Agrawal, S.; Orschler, L.; Zachmann, K.; Lackner, S. Comprehensive mutation profiling from wastewater in southern Germany extends evidence of circulating SARS-CoV-2 diversity beyond mutations characteristic for Omicron. FEMS Microbes 2023, 4, xtad006. [Google Scholar] [CrossRef]
- Rambaut, A.; Holmes, E.C.; O’Toole, Á.; Hill, V.; McCrone, J.T.; Ruis, C.; du Plessis, L.; Pybus, O.G. A dynamic nomenclature proposal for SARS-CoV-2 lineages to assist genomic epidemiology. Nat. Microbiol. 2020, 5, 1403–1407. [Google Scholar] [CrossRef] [PubMed]
- Li, J.; Hosegood, I.; Powell, D.; Tscharke, B.; Lawler, J.; Thomas, K.V.; Mueller, J.F. A global aircraft-based wastewater genomic surveillance network for early warning of future pandemics. Lancet Glob. Health 2023, 11, e791–e795. [Google Scholar] [CrossRef] [PubMed]







Disclaimer/Publisher’s Note: The statements, opinions and data contained in all publications are solely those of the individual author(s) and contributor(s) and not of MDPI and/or the editor(s). MDPI and/or the editor(s) disclaim responsibility for any injury to people or property resulting from any ideas, methods, instructions or products referred to in the content. |
© 2025 by the authors. Licensee MDPI, Basel, Switzerland. This article is an open access article distributed under the terms and conditions of the Creative Commons Attribution (CC BY) license (https://creativecommons.org/licenses/by/4.0/).
Share and Cite
Saravia, C.J.; Zachmann, K.; Marquar, N.; Braun, U.; Bannick, C.G.; Greiner, T.; Pütz, P.; Lackner, S.; Agrawal, S. Swift Realisation of Wastewater-Based SARS-CoV-2 Surveillance for Aircraft and Airports: Challenges from Sampling to Variant Detection. Microorganisms 2025, 13, 1856. https://doi.org/10.3390/microorganisms13081856
Saravia CJ, Zachmann K, Marquar N, Braun U, Bannick CG, Greiner T, Pütz P, Lackner S, Agrawal S. Swift Realisation of Wastewater-Based SARS-CoV-2 Surveillance for Aircraft and Airports: Challenges from Sampling to Variant Detection. Microorganisms. 2025; 13(8):1856. https://doi.org/10.3390/microorganisms13081856
Chicago/Turabian StyleSaravia, Cristina J., Kira Zachmann, Natalie Marquar, Ulrike Braun, Claus Gerhard Bannick, Timo Greiner, Peter Pütz, Susanne Lackner, and Shelesh Agrawal. 2025. "Swift Realisation of Wastewater-Based SARS-CoV-2 Surveillance for Aircraft and Airports: Challenges from Sampling to Variant Detection" Microorganisms 13, no. 8: 1856. https://doi.org/10.3390/microorganisms13081856
APA StyleSaravia, C. J., Zachmann, K., Marquar, N., Braun, U., Bannick, C. G., Greiner, T., Pütz, P., Lackner, S., & Agrawal, S. (2025). Swift Realisation of Wastewater-Based SARS-CoV-2 Surveillance for Aircraft and Airports: Challenges from Sampling to Variant Detection. Microorganisms, 13(8), 1856. https://doi.org/10.3390/microorganisms13081856

