Frog Density and Growth Stage of Rice Impact Paddy Field and Gut Microbial Communities in Rice–Frog Co-Cropping Models
Abstract
1. Introduction
2. Materials and Methods
2.1. Study Area Overview
2.2. Sample Collection and Processing
2.3. DNA Extraction and High-Throughput Sequencing Analysis
2.4. Sequencing Analysis and Microbial Taxonomic Identification
2.5. Data Analysis
3. Results
3.1. Paddy Field Water Microbial Community Composition
3.1.1. Species Composition
3.1.2. Microbial Diversity
3.1.3. LEfSe Analysis of Differential Microbiotal Species in Paddy Field Water
3.1.4. Predictive Analysis of Water Microbiota
3.2. Gut Microbiota of Frogs
3.2.1. Microbial Community Composition
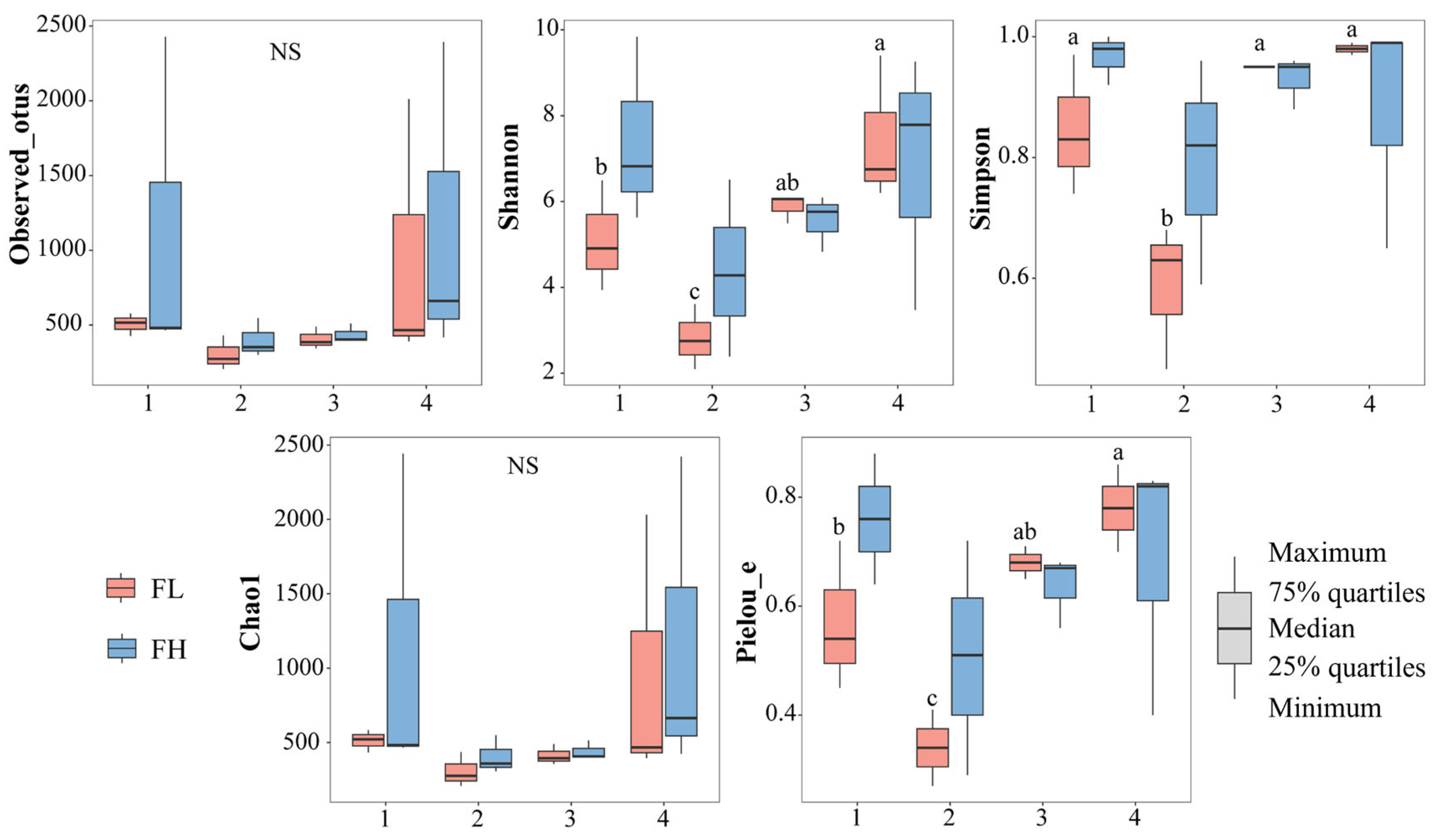
3.2.2. Gut Microbial Diversity
3.2.3. LEfSe Analysis of Differential Microbe Species
3.2.4. Predictive Analysis of Gut Microbial Function
3.3. Relationship Between Microbial Communities in Paddy Field Water and the Guts of Frogs
3.3.1. Similarity Analysis
3.3.2. Correlation Analysis of Water and Frog Gut Microbiota
3.3.3. Interrelationships Between Microbial Dominant Species
4. Discussion
4.1. Microbe Diversity in Rice Paddy Water from Different Cropping Patterns and Periods
4.2. Gut Microbiota Diversity of Frogs and Differences Between Cropping Patterns and Periods
4.3. Effects of Rice–Frog Co-Cropping Patterns on the Relationship Between Water Microbiota and Frog Gut Microbiota
5. Conclusions
Author Contributions
Funding
Institutional Review Board Statement
Informed Consent Statement
Data Availability Statement
Conflicts of Interest
References
- Bahrulolum, H.; Nooraei, S.; Javanshir, N.; Tarrahimofrad, H.; Mirbagheri, V.S.; Easton, A.J.; Ahmadian, G. Green Synthesis of Metal Nanoparticles Using Microorganisms and Their Application in the Agrifood Sector. J. Nanobiotechnol. 2021, 19, 86. [Google Scholar] [CrossRef] [PubMed]
- Li, W.; Fan, G.; Sun, K.; Liu, J.; Liu, J.; Wang, Y.; Li, E.; Wu, X.; Shen, L.; Pan, T. Microbial community structure dynamics of invasive bullfrog with meningitis-like infectious disease. Front. Microbiol. 2023, 14, 1126195. [Google Scholar] [CrossRef] [PubMed]
- Jani, A.J.; Briggs, C.J. Host and Aquatic Environment Shape the Amphibian Skin Microbiome but Effects on Downstream Resistance to the Pathogen Batrachochytrium dendrobatidis Are Variable. Front. Microbiol. 2018, 9, 487. [Google Scholar] [CrossRef] [PubMed]
- Colombo, R.; Moretto, G.; Barberis, M.; Frosi, I.; Papetti, A. Rice Byproduct Compounds: From Green Extraction to Antioxidant Properties. Antioxidants 2023, 13, 35. [Google Scholar] [CrossRef] [PubMed]
- Wang, X.; Chang, X.; Ma, L.; Bai, J.; Liang, M.; Yan, S. Global and Regional Trends in Greenhouse Gas Emissions from Rice Production, Trade, and Consumption. Environ. Impact Assess. Rev. 2023, 101, 107141. [Google Scholar] [CrossRef]
- Joseph, M.; Moonsammy, S.; Davis, H.; Warner, D.; Adams, A.; Timothy Oyedotun, T.D. Modelling Climate Variabilities and Global Rice Production: A Panel Regression and Time Series Analysis. Heliyon 2023, 9, e15480. [Google Scholar] [CrossRef] [PubMed]
- Tanaka, M.; Keira, M.; Yoon, D.K.; Mae, T.; Ishida, H.; Makino, A.; Ishiyama, K. Photosynthetic Enhancement, Lifespan Extension, and Leaf Area Enlargement in Flag Leaves Increased the Yield of Transgenic Rice Plants Overproducing Rubisco under Sufficient N Fertilization. Rice 2022, 15, 10. [Google Scholar] [CrossRef] [PubMed]
- Zhang, Y.; Liu, G.; Ma, Z.; Deng, X.; Song, J.; Xu, D. The Influence of Land Attachment on Land Abandonment from the Perspective of Generational Difference: Evidence from Sichuan Province, China. Int. J. Environ. Res. Public Health 2022, 19, 11651. [Google Scholar] [CrossRef] [PubMed]
- Zhao, Y.; Zhang, Y.; Yang, Y.; Li, F.; Dai, R.; Li, J.; Wang, M.; Li, Z. The Impact of Land Use Structure Change on Utilization Performance in Henan Province, China. Int. J. Environ. Res. Public Health 2023, 20, 4251. [Google Scholar] [CrossRef] [PubMed]
- Nujaira, H.; Prasad, K.A.; Kumar, P.; Yunus, A.P.; Kharrazi, A.; Gupta, L.N.; Kurniawan, T.A.; Sajjad, H.; Avtar, R. Quantifying Spatio-Temporal Variation in Aquaculture Production Areas in Satkhira, Bangladesh Using Geospatial and Social Survey. PLoS ONE 2022, 17, e0278042. [Google Scholar] [CrossRef] [PubMed]
- Sha, Z.; Chu, Q.; Zhao, Z.; Yue, Y.; Lu, L.; Yuan, J.; Cao, L. Variations in Nutrient and Trace Element Composition of Rice in an Organic Rice-Frog Coculture System. Sci. Rep. 2017, 7, 15706. [Google Scholar] [CrossRef] [PubMed]
- Lin, K.; Wu, J. Effect of Introducing Frogs and Fish on Soil Phosphorus Availability Dynamics and Their Relationship with Rice Yield in Paddy Fields. Sci. Rep. 2020, 10, 21. [Google Scholar] [CrossRef] [PubMed]
- Sheng, F.; Cao, C.; Li, C. Integrated Rice-Duck Farming Decreases Global Warming Potential and Increases Net Ecosystem Economic Budget in Central China. Environ. Sci. Pollut. Res. 2018, 25, 22744–22753. [Google Scholar] [CrossRef] [PubMed]
- Long, P.; Huang, H.; Liao, X.; Fu, Z.; Zheng, H.; Chen, A.; Chen, C. Mechanism and Capacities of Reducing Ecological Cost through Rice-Duck Cultivation. J. Sci. Food Agric. 2013, 93, 2881–2891. [Google Scholar] [CrossRef] [PubMed]
- Ma, Y.; Yu, A.; Zhang, L.; Zheng, R. Effects of Rice-Frog Co-Cropping on the Soil Microbial Community Structure in Reclaimed Paddy Fields. Biology 2024, 13, 396. [Google Scholar] [CrossRef] [PubMed]
- Yi, X.; Yuan, J.; Zhu, Y.; Yi, X.; Zhao, Q.; Fang, K.; Cao, L. Comparison of the Abundance and Community Structure of N-Cycling Bacteria in Paddy Rhizosphere Soil under Different Rice Cultivation Patterns. Int. J. Mol. Sci. 2018, 19, 3772. [Google Scholar] [CrossRef] [PubMed]
- Yang, M.; Shao, L.; Chu, J.; Li, Z.; Tian, C.; Sun, F.; Yu, F. Comparative Analyses of Carbon Footprints and Economic Benefits: Rice-Shrimp Co-Cropping, Rice-Crab Co-Cropping and Rice Monoculture Models. Pol. J. Environ. Stud. 2024, 33, 1413–1419. [Google Scholar] [CrossRef] [PubMed]
- Park, J.K.; Kim, J.B.; Do, Y. Examination of Physiological and Morphological Differences between Farm-Bred and Wild Black-Spotted Pond Frogs (Pelophylax nigromaculatus). Life 2021, 11, 1089. [Google Scholar] [CrossRef] [PubMed]
- Zhang, X.; Zhang, F.; Lu, X. Diversity and Functional Roles of the Gut Microbiota in Lepidopteran Insects. Microorganisms 2022, 10, 1234. [Google Scholar] [CrossRef] [PubMed]
- Shen, Z.; Cao, C.; Xia, X. Gut Microbial Diversity and Function Analysis of the Final-Instar Larvae of Protohermes xanthodes (Megaloptera: Corydalidae). J. Insect Sci. 2023, 23, 16. [Google Scholar] [CrossRef] [PubMed]
- Khaledi, M.; Poureslamfar, B.; Alsaab, H.O.; Tafaghodi, S.; Hjazi, A.; Singh, R.; Alawadi, A.H.; Alsaalamy, A.; Qasim, Q.A.; Sameni, F. The Role of Gut Microbiota in Human Metabolism and Inflammatory Diseases: A Focus on Elderly Individuals. Ann. Microbiol. 2024, 74, 1. [Google Scholar] [CrossRef]
- Dodd, D.; Spitzer, M.H.; Van Treuren, W.; Merrill, B.D.; Hryckowian, A.J.; Higginbottom, S.K.; Le, A.; Cowan, T.M.; Nolan, G.P.; Fischbach, M.A.; et al. A Gut Bacterial Pathway Metabolizes Aromatic Amino Acids into Nine Circulating Metabolites. Nature 2017, 551, 648–652. [Google Scholar] [CrossRef] [PubMed]
- de Souza Valente, C.; Wan, A.H.L. Vibrio and Major Commercially Important Vibriosis Diseases in Decapod Crustaceans. J. Invertebr. Pathol. 2021, 181, 107527. [Google Scholar] [CrossRef] [PubMed]
- Yang, B.; Cui, Z.; Ning, M.; Chen, Y.; Wu, Z.; Huang, H. Variation in the Intestinal Microbiota at Different Developmental Stages of Hynobius maoershanensis. Ecol. Evol. 2022, 12, e8712. [Google Scholar] [CrossRef] [PubMed]
- Bletz, M.C.; Goedbloed, D.J.; Sanchez, E.; Reinhardt, T.; Tebbe, C.C.; Bhuju, S.; Geffers, R.; Jarek, M.; Vences, M.; Steinfartz, S. Amphibian Gut Microbiota Shifts Differentially in Community Structure but Converges on Habitat-Specific Predicted Functions. Nat. Commun. 2016, 7, 13699. [Google Scholar] [CrossRef] [PubMed]
- Liu, S.; Imad, S.; Hussain, S.; Xiao, S.; Yu, X.; Cao, H. Sex, Health Status and Habitat Alter the Community Composition and Assembly Processes of Symbiotic Bacteria in Captive Frogs. BMC Microbiol. 2024, 24, 34. [Google Scholar] [CrossRef] [PubMed]
- Dang, W.; Zhang, J.H.; Cao, Z.C.; Yang, J.-M.; Lu, H.L. Environmentally Relevant Levels of Antiepileptic Carbamazepine Altered Intestinal Microbial Composition and Metabolites in Amphibian Larvae. Int. J. Mol. Sci. 2024, 25, 6950. [Google Scholar] [CrossRef] [PubMed]
- Lukanov, S.; Kolev, A.; Dimitrova, B.; Popgeorgiev, G. Rice Fields as Important Habitats for Three Anuran Species—Significance and Implications for Conservation. Animals 2023, 14, 106. [Google Scholar] [CrossRef] [PubMed]
- Li, B.; Zhang, W.; Wang, Z.; Xie, H.; Yuan, X.; Pei, E.; Wang, T. Effects of Landscape Heterogeneity and Breeding Habitat Diversity on Rice Frog Abundance and Body Condition in Agricultural Landscapes of Yangtze River Delta, China. Curr. Zool. 2020, 66, 615–623. [Google Scholar] [CrossRef] [PubMed]
- Fang, K.; Dai, W.; Chen, H.; Wang, J.; Gao, H.; Sha, Z.; Cao, L. The Effect of Integrated Rice–Frog Ecosystem on Rice Morphological Traits and Methane Emission from Paddy Fields. Sci. Total Environ. 2021, 783, 147123. [Google Scholar] [CrossRef] [PubMed]
- Bolyen, E.; Rideout, J.R.; Dillon, M.R.; Bokulich, N.A.; Abnet, C.C.; Al-Ghalith, G.A.; Alexander, H.; Alm, E.J.; Arumugam, M.; Asnicar, F.; et al. Reproducible, Interactive, Scalable and Extensible Microbiome Data Science Using QIIME 2. Nat. Biotechnol. 2019, 37, 852–857. [Google Scholar] [CrossRef] [PubMed]
- Martin, M. Cutadapt Removes Adapter Sequences from High-Throughput Sequencing Reads. EMBnet J. 2011, 17, 10. [Google Scholar] [CrossRef]
- Chen, J.; Gu, W.; Tao, J.; Xu, Y.; Wang, Y.; Gu, J.; Du, S. The Effects of Organic Residue Quality on Growth and Reproduction of Aporrectodea Trapezoides under Different Moisture Conditions in a Salt-Affected Agricultural Soil. Biol. Fertil. Soils 2017, 53, 103–113. [Google Scholar] [CrossRef]
- Quast, C.; Pruesse, E.; Yilmaz, P.; Gerken, J.; Schweer, T.; Yarza, P.; Peplies, J.; Glöckner, F.O. The SILVA Ribosomal RNA Gene Database Project: Improved Data Processing and Web-Based Tools. Nucleic Acids Res. 2012, 41, D590–D596. [Google Scholar] [CrossRef] [PubMed]
- Segata, N.; Izard, J.; Waldron, L.; Gevers, D.; Miropolsky, L.; Garrett, W.S.; Huttenhower, C. Metagenomic Biomarker Discovery and Explanation. Genome Biol. 2011, 12, R60. [Google Scholar] [CrossRef] [PubMed]
- Li, Z.; Ni, M.; Yu, H.; Wang, L.; Zhou, X.; Chen, T.; Liu, G.; Gao, Y. Gut Microbiota and Liver Fibrosis: One Potential Biomarker for Predicting Liver Fibrosis. Biomed. Res. Int. 2020, 2020, 3905130. [Google Scholar] [CrossRef] [PubMed]
- Yang, L.; Pan, R.; Wang, S.; Zhu, Z.; Li, H.; Yang, R.; Sun, X.; Ge, B. Macrofaunal Biodiversity and Trophic Structure Varied in Response to Changing Environmental Properties along the Spartina Alterniflora Invasion Stages. Mar. Pollut. Bull. 2025, 214, 117756. [Google Scholar] [CrossRef] [PubMed]
- Zhang, X.; You, Y.; Peng, F.; Tang, X.; Zhou, Y.; Liu, J.; Lin, D.; Zhou, Y. Interaction of Microbiota between Fish and the Environment of an In-Pond Raceway System in a Lake. Microorganisms 2022, 10, 1143. [Google Scholar] [CrossRef] [PubMed]
- Li, S.; Liu, Y.; Wang, W.; Liu, Y.; Ji, M. Microbial Changing Patterns across Lateral and Vertical Horizons in Recently Formed Permafrost after the Outburst of Zonag Lake, Tibetan Plateau. FEMS Microbiol. Ecol. 2025, 101, fiaf001. [Google Scholar] [CrossRef] [PubMed]
- Glud, R.N.; Schauberger, C. Element Cycling and Microbial Life in the Hadal Realm. Trends Microbiol. 2024, 32, 1045–1048. [Google Scholar] [CrossRef] [PubMed]
- Schneider, D.; Zühlke, D.; Poehlein, A.; Riedel, K.; Daniel, R. Metagenome-Assembled Genome Sequences from Different Wastewater Treatment Stages in Germany. Microbiol. Resour. Announc. 2021, 10, e0050421. [Google Scholar] [CrossRef] [PubMed]
- Jin, Y.; Meng, S.; Xu, H.; Song, C.; Fan, L.; Qiu, L.; Li, D. Characteristics of Water Environment and Intestinal Microbial Community of Largemouth Bass (Micropterus salmoides) Cultured under Biofloc Model. Microorganisms 2024, 12, 2158. [Google Scholar] [CrossRef] [PubMed]
- Guo, J.; Li, Q.; Gao, Q.; Shen, F.; Yang, Y.; Zhang, X.; Luo, H. Comparative Study on the Treatment of Swine Wastewater by VFCW-MFC and VFCW: Pollutants Removal, Electricity Generation, Microorganism Community. J. Environ. Manag. 2023, 342, 118299. [Google Scholar] [CrossRef] [PubMed]
- Dunn, L.; Lang, C.; Marilleau, N.; Terrat, S.; Biju-Duval, L.; Lelièvre, M.; Perrin, S.; Chemidlin Prévost-Bouré, N. Soil Microbial Communities in the Face of Changing Farming Practices: A Case Study in an Agricultural Landscape in France. PLoS ONE 2021, 16, e0252216. [Google Scholar] [CrossRef] [PubMed]
- Huang, M.; Tian, A.; Chen, J.; Cao, F.; Chen, Y.; Liu, L. Soil Bacterial Communities in Three Rice-Based Cropping Systems Differing in Productivity. Sci. Rep. 2020, 10, 9867. [Google Scholar] [CrossRef] [PubMed]
- Zhao, B.; van Bodegom, P.M.; Trimbos, K.B. Antibiotic Resistance Genes in Interconnected Surface Waters as Affected by Agricultural Activities. Biomolecules 2023, 13, 231. [Google Scholar] [CrossRef] [PubMed]
- Zhou, H.Z.; Wang, B.Q.; Ma, Y.H.; Sun, Y.Y.; Zhou, H.L.; Song, Z.; Zhao, Y.; Chen, W.; Min, J.; Li, J.W.; et al. The Combination of Metagenomics and Metabolomics Reveals the Effect of Nitrogen Fertilizer Application Driving the Remobilization of Immobilization Remediation Cadmium and Rhizosphere Microbial Succession in Rice. J. Hazard. Mater. 2025, 487, 137117. [Google Scholar] [CrossRef] [PubMed]
- Dong, H.; Sun, H.; Chen, C.; Zhang, M.; Ma, D. Compositional Shifts and Assembly in Rhizosphere-Associated Fungal Microbiota Throughout the Life Cycle of Japonica Rice Under Increased Nitrogen Fertilization. Rice 2023, 16, 34. [Google Scholar] [CrossRef] [PubMed]
- Kim, B.; Westerhuis, J.A.; Smilde, A.K.; Floková, K.; Suleiman, A.K.A.; Kuramae, E.E.; Bouwmeester, H.J.; Zancarini, A. Effect of Strigolactones on Recruitment of the Rice Root-Associated Microbiome. FEMS Microbiol. Ecol. 2022, 98, fiac010. [Google Scholar] [CrossRef] [PubMed]
- Inayat, M.; Abbas, F.; Hafeez-ur-Rehman, M.; Mahmud, A. Optimizing Rice-Fish Co-Culture: Investigating the Impact of Rice Spacing Density on Biochemical Profiles and Production of Genetically Modified Tilapia (Oreochromis spp.) Cyprinus carpio. PLoS ONE 2023, 18, e0295996. [Google Scholar] [CrossRef] [PubMed]
- Sammon, N.B.; Harrower, K.M.; Fabbro, L.D.; Reed, R.H. Microfungi in drinking water: The role of the frog Litoria caerulea. Int. J. Environ. Res. Public Health 2010, 7, 3225–3234. [Google Scholar] [CrossRef] [PubMed]
- Meumann, E.M.; Limmathurotsakul, D.; Dunachie, S.J.; Wiersinga, W.J.; Currie, B.J. Burkholderia Pseudomallei and Melioidosis. Nat. Rev. Microbiol. 2024, 22, 155–169. [Google Scholar] [CrossRef] [PubMed]
- Kneis, D.; Tskhay, F.; de la Cruz Barron, M.; Berendonk, T.U. Bacteria of the Order Burkholderiales Are Original Environmental Hosts of Type II Trimethoprim Resistance Genes (DfrB). ISME J. 2024, 18, wrae243. [Google Scholar] [CrossRef] [PubMed]
- Cimen, H.; Touray, M.; Gulsen, S.H.; Hazir, S. Natural Products from Photorhabdus and Xenorhabdus: Mechanisms and Impacts. Appl. Microbiol. Biotechnol. 2022, 106, 4387–4399. [Google Scholar] [CrossRef] [PubMed]
- Abd-Elgawad, M.M.M. Xenorhabdus spp.: An Overview of the Useful Facets of Mutualistic Bacteria of Entomopathogenic Nematodes. Life 2022, 12, 1360. [Google Scholar] [CrossRef] [PubMed]
- Ellison, A.R.; Uren Webster, T.M.; Rodriguez-Barreto, D.; de Leaniz, C.G.; Consuegra, S.; Orozco-terWengel, P.; Cable, J. Comparative Transcriptomics Reveal Conserved Impacts of Rearing Density on Immune Response of Two Important Aquaculture Species. Fish Shellfish Immunol. 2020, 104, 192–201. [Google Scholar] [CrossRef] [PubMed]
- Liu, J.H.; Meng, Q.Y.; Chen, Y.; Yang, J.M.; Gao, J.F.; Lu, H.L. Exposure to Low Levels of Antidiabetic Glibenclamide Had No Evident Adverse Effects on Intestinal Microbial Composition and Metabolic Profiles in Amphibian Larvae. Environ. Sci. Pollut. Res. 2023, 30, 121196–121206. [Google Scholar] [CrossRef] [PubMed]
- Huang, M.; Zhao, Q.; Yin, J.; Cao, S.; Chen, H.; Duan, R. The Toxic Effects of Chronic Atrazine Exposure on the Intestinal Microbiota, Metabolism and Transcriptome of Pelophylax nigromaculatus Larvae. J. Hazard. Mater. 2022, 440, 129817. [Google Scholar] [CrossRef]
- Li, Y.; Li, Z.; Wang, H. Gut Dysbiosis of Rana Zhenhaiensis Tadpoles after Lead (Pb) Exposure Based on Integrated Analysis of Microbiota and Gut Transcriptome. Ecotoxicol. Environ. Saf. 2024, 284, 116922. [Google Scholar] [CrossRef] [PubMed]
- Zhang, S.; Chen, A.; Deng, H.; Jiang, L.; Liu, X.; Chai, L. Intestinal Response of Rana Chensinensis Larvae Exposed to Cr and Pb, Alone and in Combination. Ecotoxicol. Environ. Saf. 2023, 255, 114774. [Google Scholar] [CrossRef] [PubMed]
- Yang, Y.; Zhu, X.; Zhang, H.; Chen, Y.; Liu, Y.; Song, Y.; Ai, X. Vibrio cholerae Was Found in Cultured Bullfrog. Epidemiol. Infect. 2022, 150, e30. [Google Scholar] [CrossRef] [PubMed]
- Xie, M.; Xie, Y.; Li, Y.; Zhou, W.; Zhang, Z.; Yang, Y.; Olsen, R.E.; Ringø, E.; Ran, C.; Zhou, Z. Stabilized Fermentation Product of Cetobacterium Somerae Improves Gut and Liver Health and Antiviral Immunity of Zebrafish. Fish Shellfish Immunol. 2022, 120, 56–66. [Google Scholar] [CrossRef] [PubMed]
- Xie, M.; Hao, Q.; Xia, R.; Olsen, R.E.; Ringø, E.; Yang, Y.; Zhang, Z.; Ran, C.; Zhou, Z. Nuclease-Treated Stabilized Fermentation Product of Cetobacterium somerae Improves Growth, Non-Specific Immunity, and Liver Health of Zebrafish (Danio rerio). Front. Nutr. 2022, 9, 918327. [Google Scholar] [CrossRef] [PubMed]
- Liang, H.; Li, M.; Chen, J.; Zhou, W.; Xia, D.; Ding, Q.; Yang, Y.; Zhang, Z.; Ran, C.; Zhou, Z. The Intestinal Microbiome and Cetobacterium somerae Inhibit Viral Infection through TLR2-Type I IFN Signaling Axis in Zebrafish. Microbiome 2024, 12, 244. [Google Scholar] [CrossRef] [PubMed]
- Sellyei, B.; Molnár, K.; Székely, C. Diverse Chlamydia-like Agents Associated with Epitheliocystis Infection in Two Cyprinid Fish Species, the Common Carp (Cyprinus carpio L.) and the Gibel Carp (Carassius auratus gibelio L.). Acta Vet. Hung. 2017, 65, 29–40. [Google Scholar] [CrossRef] [PubMed]
- Geva Zatorsky, N.; Sefik, E.; Kua, L.; Pasman, L.; Tan, T.G.; Ortiz Lopez, A.; Yanortsang, T.B.; Yang, L.; Jupp, R.; Mathis, D.; et al. Mining the Human Gut Microbiota for Immunomodulatory Organisms. Cell 2017, 168, 928–943.e11. [Google Scholar] [CrossRef] [PubMed]
- Sharma, M.; Khurana, H.; Singh, D.N.; Negi, R.K. The Genus Sphingopyxis: Systematics, Ecology, and Bioremediation Potential—A Review. J. Environ. Manag. 2021, 280, 111744. [Google Scholar] [CrossRef] [PubMed]
- De Bernardini, N.; Basile, A.; Zampieri, G.; Kovalovszki, A.; De Diego Diaz, B.; Offer, E.; Wongfaed, N.; Angelidaki, I.; Kougias, P.G.; Campanaro, S.; et al. Integrating Metagenomic Binning with Flux Balance Analysis to Unravel Syntrophies in Anaerobic CO2 Methanation. Microbiome 2022, 10, 117. [Google Scholar] [CrossRef] [PubMed]
- Klawonn, I.; Van den Wyngaert, S.; Parada, A.E.; Arandia-Gorostidi, N.; Whitehouse, M.J.; Grossart, H.P.; Dekas, A.E. Characterizing the “Fungal Shunt”: Parasitic Fungi on Diatoms Affect Carbon Flow and Bacterial Communities in Aquatic Microbial Food Webs. Proc. Natl. Acad. Sci. USA 2021, 118, e2102225118. [Google Scholar] [CrossRef] [PubMed]
- Lew, S.; Glińska-Lewczuk, K.; Lew, M. The Effects of Environmental Parameters on the Microbial Activity in Peat-Bog Lakes. PLoS ONE 2019, 14, e0224441. [Google Scholar] [CrossRef] [PubMed]
- Wang, J.; Xie, Y.; Zhang, G.; Pan, L. Microbial Community Structure and Diversity in Fish-Flower (Mint) Symbiosis. AMB Express 2023, 13, 46. [Google Scholar] [CrossRef] [PubMed]
- Wong, Z.; Amirah Mohamad Alwie, N.; Seng Lim, L.; Sano, M.; Tamrin Mohamad Lal, M. Potential Biocontrol for Bacterial and Viral Disease Treatment in Aquaculture: A Minireview. J. Microorg. Control 2024, 29, 99–103. [Google Scholar] [CrossRef] [PubMed]
- Liu, Q.; Lai, Z.; Gao, Y.; Wang, C.; Zeng, Y.; Liu, E.; Mai, Y.; Yang, W.; Li, H. Connection between the Gut Microbiota of Largemouth Bass (Micropterus salmoides) and Microbiota of the Pond Culture Environment. Microorganisms 2021, 9, 1770. [Google Scholar] [CrossRef] [PubMed]
- Smalls, J.; Grim, C.; Parveen, S. Assessments of Vibrio parahaemolyticus and Vibrio vulnificus Levels and Microbial Community Compositions in Blue Crabs (Callinectes sapidus) and Seawater Harvested from the Maryland Coastal Bays. Front. Microbiol. 2023, 14, 1235070. [Google Scholar] [CrossRef] [PubMed]
- Liao, M.; Tong, T.; Zong, Y.; Zhou, X.; Cheng, L.; Huang, R.; Ren, B.; Alterovitz, G. Application of Omics and Bioinformatics Tools in Streptococcus Research. Curr. Issues Mol. Biol. 2019, 32, 327–376. [Google Scholar] [CrossRef] [PubMed]
- Amorim, A.M.; Nascimento, J.D. Acinetobacter: An Underrated Foodborne Pathogen? J. Infect. Dev. Ctries. 2017, 11, 111–114. [Google Scholar] [CrossRef] [PubMed]
- Chau, R.; Pearson, L.A.; Cain, J.; Kalaitzis, J.A.; Neilan, B.A. A Pseudoalteromonas Clade with Remarkable Biosynthetic Potential. Appl. Environ. Microbiol. 2021, 87, e02604-20. [Google Scholar] [CrossRef] [PubMed]
- Alviz Gazitua, P.; González, A.; Lee, M.R.; Aranda, C.P. Molecular Relationships in Biofilm Formation and the Biosynthesis of Exoproducts in Pseudoalteromonas spp. Mar. Biotechnol. 2022, 24, 431–447. [Google Scholar] [CrossRef]
- Ong, A.; O’Brian, M.R. Bradyrhizobium japonicum (diazoefficiens). Trends Microbiol. 2024, 32, 614–615. [Google Scholar] [CrossRef] [PubMed]
- Props, R.; Denef, V.J. Temperature and Nutrient Levels Correspond with Lineage-Specific Microdiversification in the Ubiquitous and Abundant Freshwater Genus Limnohabitans. Appl. Environ. Microbiol. 2020, 86, e00140-20. [Google Scholar] [CrossRef] [PubMed]
- Jezberová, J.; Jezbera, J.; Znachor, P.; Nedoma, J.; Kasalický, V.; Šimek, K. The Limnohabitans Genus Harbors Generalistic and Opportunistic Subtypes: Evidence from Spatiotemporal Succession in a Canyon-Shaped Reservoir. Appl. Environ. Microbiol. 2017, 83, e01530-17. [Google Scholar] [CrossRef] [PubMed]















| Primer Name | Nucleotide Sequence (5′-3′) | Application |
|---|---|---|
| 338F | ACTCCTACGGGGAGGCAGCA | Amplification of the V3-V4 regions of the 16S rRNA gene |
| 806R | GGACTACHVGGGTWTCTAAT |
| Items | Observed_otus | Shannon | Simpson | Chao1 | Pielou_e | ||||||||||
|---|---|---|---|---|---|---|---|---|---|---|---|---|---|---|---|
| Group | WM | WL | WH | WM | WL | WH | WM | WL | WH | WM | WL | WH | WM | WL | WH |
| df | 3 (between-groups), 8 (within-groups) for all | ||||||||||||||
| F | 6.457 | 0.780 | 32.398 | 2.580 | 0.660 | 15.924 | 0.664 | 0.893 | 6.152 | 6.379 | 0.774 | 31.941 | 1.564 | 0.536 | 12.105 |
| p | 0.016 | 0.543 | <0.001 | 0.126 | 0.599 | <0.001 | 0.597 | 0.485 | 0.018 | 0.162 | 0.540 | <0.001 | 0.272 | 0.671 | 0.002 |
| Items | Observed_otus | Shannon | Simpson | Chao1 | Pielou_e | |||||
|---|---|---|---|---|---|---|---|---|---|---|
| Group | FL | FH | FL | FH | FL | FH | FL | FH | FL | FH |
| df | 3 (between-groups), 8 (within-groups) for all | |||||||||
| F-value | 1.151 | 0.854 | 8.454 | 1.195 | 13.622 | 0.916 | 1.144 | 0.850 | 13.772 | 1.082 |
| p-value | 0.386 | 0.503 | 0.007 | 0.372 | 0.002 | 0.475 | 0.389 | 0.505 | 0.002 | 0.410 |
Disclaimer/Publisher’s Note: The statements, opinions and data contained in all publications are solely those of the individual author(s) and contributor(s) and not of MDPI and/or the editor(s). MDPI and/or the editor(s) disclaim responsibility for any injury to people or property resulting from any ideas, methods, instructions or products referred to in the content. |
© 2025 by the authors. Licensee MDPI, Basel, Switzerland. This article is an open access article distributed under the terms and conditions of the Creative Commons Attribution (CC BY) license (https://creativecommons.org/licenses/by/4.0/).
Share and Cite
Zhu, Z.; Li, R.; Ma, Y.; Yu, A.; Zheng, R. Frog Density and Growth Stage of Rice Impact Paddy Field and Gut Microbial Communities in Rice–Frog Co-Cropping Models. Microorganisms 2025, 13, 1700. https://doi.org/10.3390/microorganisms13071700
Zhu Z, Li R, Ma Y, Yu A, Zheng R. Frog Density and Growth Stage of Rice Impact Paddy Field and Gut Microbial Communities in Rice–Frog Co-Cropping Models. Microorganisms. 2025; 13(7):1700. https://doi.org/10.3390/microorganisms13071700
Chicago/Turabian StyleZhu, Zhangyan, Ran Li, Yunshuang Ma, Anran Yu, and Rongquan Zheng. 2025. "Frog Density and Growth Stage of Rice Impact Paddy Field and Gut Microbial Communities in Rice–Frog Co-Cropping Models" Microorganisms 13, no. 7: 1700. https://doi.org/10.3390/microorganisms13071700
APA StyleZhu, Z., Li, R., Ma, Y., Yu, A., & Zheng, R. (2025). Frog Density and Growth Stage of Rice Impact Paddy Field and Gut Microbial Communities in Rice–Frog Co-Cropping Models. Microorganisms, 13(7), 1700. https://doi.org/10.3390/microorganisms13071700

