A Novel Symbiotic Beverage Based on Sea Buckthorn, Soy Milk and Inulin: Production, Characterization, Probiotic Viability, and Sensory Acceptance
Abstract
1. Introduction
2. Materials and Methods
2.1. Materials
2.1.1. Soy Milk
2.1.2. Sea Buckthorn Syrup
2.1.3. Plant Material for Sea Buckthorn Powder
2.1.4. Starter Cultures (Probiotic Bacteria)
2.2. Fermentation of Beverages and Analytical Assays
- (a)
- 20% sea buckthorn syrup (w/w) in milk and 1% (w/v) commercial inulin;
- (b)
- 20% sea buckthorn syrup (w/w) in milk and 3% (w/v) commercial inulin;
- (c)
- 3% (w/v) sea buckthorn powder in milk and 1% (w/v) commercial inulin;
- (d)
- 3% (w/v) sea buckthorn powder in milk and 3% (w/v) commercial inulin, respectively, were prepared. A total quantity of 1500 g per beverage formulation was produced per each trial, and the whole experiment was repeated three times.
2.3. Probiotic Viability
2.4. Water-Holding Capacity (WHC)
2.5. Rheological Measurements
2.6. Sensory Evaluation
2.7. Statistical Analysis
3. Results
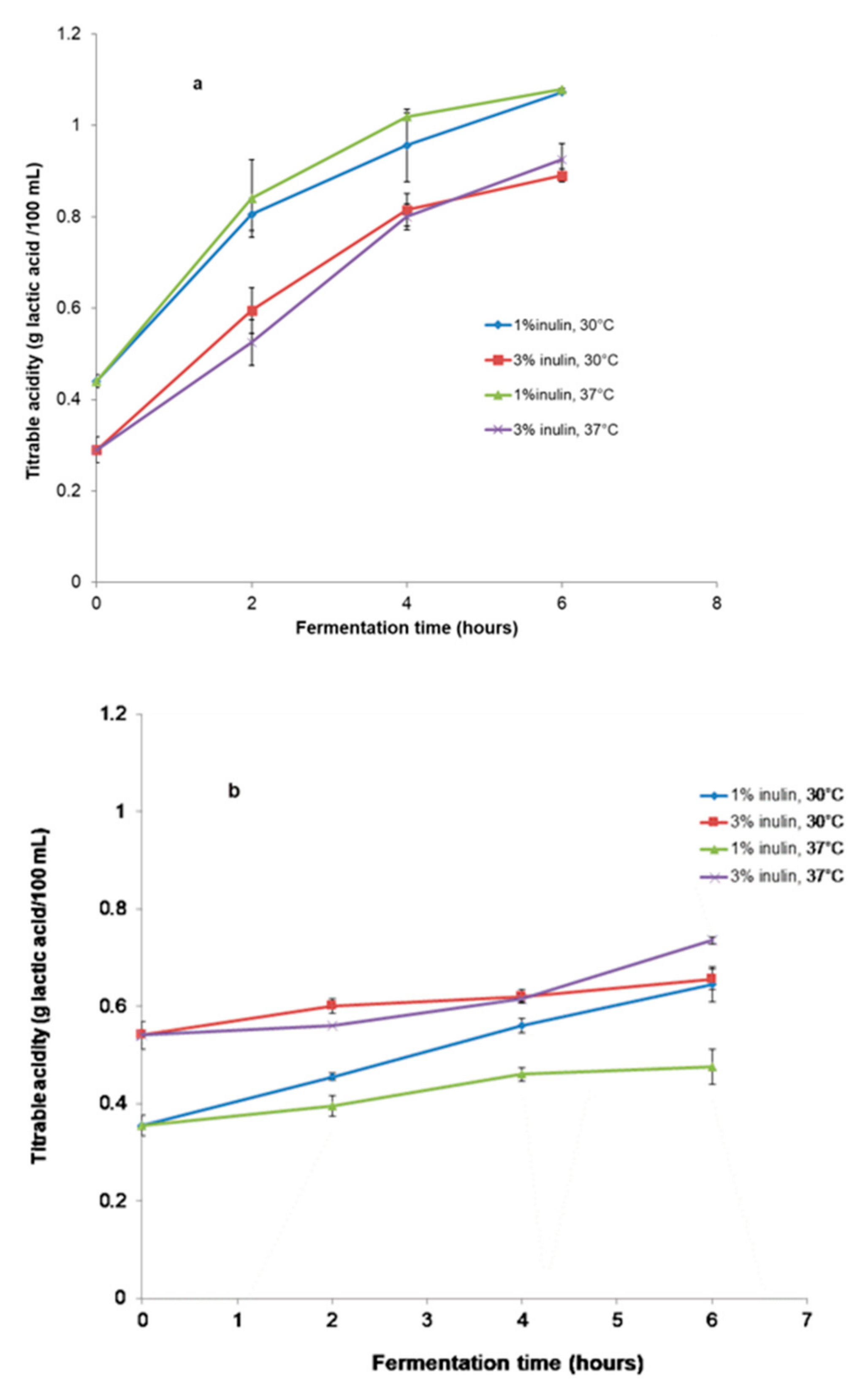
3.1. Microbial Growth and Physico-Chemical Parameters during the Fermentation Period
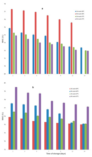
3.2. Survivability of Probiotics and Physicochemical Parameters during the Storage Period
3.3. Sensory Evaluation
4. Discussion
5. Conclusions
Author Contributions
Funding
Institutional Review Board Statement
Informed Consent Statement
Data Availability Statement
Acknowledgments
Conflicts of Interest
References
- Baschali, A.; Tsakalidou, E.; Kyriacou, A.; Karavasiloglou, N.; Matalas, A.L. Traditional low-alcoholic and non-alcoholic fermented beverages consumed in European countries: A neglected food group. Nutr. Res. Rev. 2017, 30, 1–24. [Google Scholar] [CrossRef]
- Nicolau, A.I.; Gostin, A.I. Safety of Borsh (Chapter 20). In Regulating Safety of Traditional and Ethnic Foods; Prakash, V., Martin-Belloso, O., Keener, L., Astley, S.B., Braun, S., McMahon, H., Lelieveld, H., Eds.; Academic Press: Cambridge, MA, USA, 2015; pp. 381–394. [Google Scholar]
- Chaturvedi, S.; Chakraborty, S. Optimization of extraction process for legume based symbiotic beverages, followed by their characterization and impact on antinutrients. Int. J. Gastron. Food Sci. 2022, 28, 100506. [Google Scholar] [CrossRef]
- Laureys, D.; De Vuyst, L. Microbial species diversity, community dynamics, and metabolite kinetics of water kefir fermentation. Appl. Environ. Microbiol. 2014, 80, 2564–2572. [Google Scholar] [CrossRef]
- Arici, M.; Daglioglu, O. Boza: A lactic acid fermented cereal beverage as a traditional Turkish food. Food Rev. Int. 2002, 18, 39–48. [Google Scholar] [CrossRef]
- Dimitrovski, D.; Velickova, E.; Dimitrovska, M.; Langerhol, T.; Winkelhausen, E. Synbiotic functional drink from Jerusalem artichoke juice fermented by probiotic Lactobacillus plantarum PCS26. J. Food Sci. Technol. 2016, 53, 766–774. [Google Scholar] [CrossRef]
- Panda, S.K.; Behera, S.K.; Qaku, X.W.; Sekar, S.; Ndinteh, D.T.; Nanjundaswamy, H.M.; Ray, R.C.; Kayitesi, E. Quality enhancement of prickly pears (Opuntia sp.) juice through probiotic fermentation using Lactobacillus fermentum-ATCC 9338. LWT 2017, 75, 453–459. [Google Scholar] [CrossRef]
- Bujna, E.; Farkas, N.A.; Tran, A.M.; Sao Dam, M.; Nguyen, Q.D. Lactic acid fermentation of apricot juice by mono- and mixed cultures of probiotic Lactobacillus and Bifidobacterium strains. Food Sci. Biotechnol. 2018, 27, 547–554. [Google Scholar] [CrossRef]
- Nazir, M.; Arif, S.; Khan, R.S.; Nazir, W.; Khalid, N.; Maqsood, S. Opportunities and challenges for functional and medicinal beverages: Current and future trends. Trends Food Sci. Technol. 2019, 88, 513–526. [Google Scholar] [CrossRef]
- Ciesarováa, Z.; Murkovicb, M.; Cejpekc, K.; Krepsd, F.; Tobolkováa, B.; Koplíkc, R.; Belajováa, E.; Kukurováa, K.; Daškoa, L.; Panovskác, Z.; et al. Why is sea buckthorn (Hippophae rhamnoides L.) so exceptional? A review. Food Res. Int. 2020, 133, 109170. [Google Scholar] [CrossRef] [PubMed]
- Chauhan, A.S.; Negi, P.S.; Ramteke, R.S. Antioxidant and antibacterial activities of aqueous extract of seabuckthorn (Hippophae rhamnoides) seeds. Fitoterapia 2007, 78, 590–592. [Google Scholar] [CrossRef] [PubMed]
- Hou, D.-D.; Di, Z.-H.; Qi, R.-Q.; Wang, H.-X.; Zheng, S.; Hong, Y.-X.; Guo, H.; Chen, H.-D.; Gao, X.-H. Sea buckthorn (Hippophaë rhamnoides L.) oil improves atopic dermatitis-like skin lesions via inhibition of NF-κB and STAT1 activation. Skin Pharmacol. Physiol. 2017, 30, 268–276. [Google Scholar] [CrossRef]
- Xu, H.; Hao, Q.; Yuan, F.; Gao, Y. Nonenzymatic browning criteria to sea buckthorn juice during thermal processing. J. Food Process. Eng. 2015, 38, 67–75. [Google Scholar] [CrossRef]
- Ranard, K.M.; Erdman, J.W., Jr. Effects of dietary RRR α-tocopherol vs. allracemic α-tocopherol on health outcomes. Nutr. Rev. 2017, 76, 141–153. [Google Scholar] [CrossRef]
- Olas, B.; Kontek, B.; Malinowska, P.; Żuchowski, J.; Stochmal, A. Hippophae rhamnoides L. fruits reduce the oxidative stress in human blood platelets and plasma. Oxidative Med. Cell. Longev. 2016, 2016, 1–8. [Google Scholar] [CrossRef] [PubMed]
- Pundir, S.; Garg, P.; Dviwedi, A.; Ali, A.; Kapoor, V.; Kapoor, D.; Kulshrestha, S.; Lal, U.R.; Negi, P. Ethnomedicinal uses, phytochemistry and dermatological effects of Hippophae rhamnoides L.: A review. J. Ethnopharmacol. 2021, 266, 113434. [Google Scholar] [CrossRef] [PubMed]
- Wang, K.; Xu, Z.; Liao, X. Bioactive compounds, health benefits and functional food products of sea buckthorn: A review. Crit. Rev. Food Sci. Nutr. 2021, 62, 6761–6782. [Google Scholar] [CrossRef]
- Tkacz, K.; Wojdyło, A.; Turkiewicz, I.P.; Bobak, Ł.; Nowicka, P. Antioxidant and anti-enzymatic activities of sea buckthorn (Hippopha¨e rhamnoides L.) fruits modulated by chemical components. Antioxidants 2019, 8, 618. [Google Scholar] [CrossRef]
- Yue, X.F.; Shang, X.; Zhang, Z.J.; Zhang, Y.N. Phytochemical composition and antibacterial activity of the essential oils from different parts of sea buckthorn (Hippophae rhamnoides L.). J. Food Drug Anal. 2017, 25, 327–332. [Google Scholar] [CrossRef] [PubMed]
- Enkhtaivan, G.; John, K.M.; Pandurangan, M.; Hur, J.H.; Leutou, A.S.; Kim, D.H. Extreme effects of Seabuckthorn extracts on influenza viruses and human cancer cells and correlation between flavonol glycosides and biological activities of extracts. Saudi J. Biol. Sci. 2017, 24, 1646–1656. [Google Scholar] [CrossRef]
- Mäkinen, O.E.; Wanhalinna, V.; Zannini, E.; Arendt, E.K. Foods for Special Dietary Needs: Non-dairy Plant-based Milk Substitutes and Fermented Dairy-type Products. Crit. Rev. Food Sci. Nutr. 2016, 56, 339–349. [Google Scholar] [CrossRef]
- Plant-based Beverages Market Size, Share & Trends Analysis Report By Type (Coconut, Soy, Almond), By Product (Plain, Flavored), By Region (APAC, North America, EU, MEA), And Segment Forecasts, 2022–2030. Available online: https://www.grandviewresearch.com/industry-analysis/plant-based-beverages-market (accessed on 28 February 2023).
- Soymilk Market Size, Share & Trends Analysis Report By Product Type (Flavored, Unflavored), By Application (Desserts, Cheese & Snacks, Beverages), By Region, And Segment Forecasts, 2019–2025. Available online: https://www.grandviewresearch.com/industry-analysis/soy-milk-market# (accessed on 28 February 2023).
- Sethi, S.; Tyagi, S.K.; Anurag, R.K. Plant-based milk alternatives an emerging segment of functional beverages: A review. J. Food Sci. Technol. 2016, 53, 3408–3423. [Google Scholar] [CrossRef]
- Das, A.; Raychaudhuri, U.; Chakraborty, R. Cereal based functional food of Indian subcontinent: A review. J. Food Sci. Technol. 2012, 49, 665–672. [Google Scholar] [CrossRef] [PubMed]
- Singha, R.S.; Singh, T.; Larroche, C. Biotechnological applications of inulin-rich feedstocks. Bioresour. Technol. 2019, 273, 641–653. [Google Scholar] [CrossRef] [PubMed]
- Singh, R.S.; Chauhan, K.; Kennedy, J.F. A panorama of bacterial inulinases: Production, purification, characterization and industrial applications. Int. J. Biol. Macromol. 2017, 96, 312–322. [Google Scholar] [CrossRef]
- Rivera-Espinoza, Y.; Gallardo-Navarro, Y. Non-dairy probiotic products. Food Microbiol. 2010, 27, 1–11. [Google Scholar] [CrossRef]
- Pyo, Y.H.; Song, S.M. Physicochemical and sensory characteristics of a medicinal soy yogurt containing health benefit ingredients. J. Agric. Food Chem. 2009, 57, 170–175. [Google Scholar] [CrossRef]
- Nova, E.; Pérez de Heredia, F.; Gómez-Martínez, S.; Marcos, A. The role of probiotics on the microbiota: Effect on obesity. Nutr. Clin. Pract. 2016, 31, 387–400. [Google Scholar] [CrossRef] [PubMed]
- Sajid MaqsooddShori, A.B. The potential applications of probiotics on dairy and non-dairy foods focusing on viability during storage. Biocatal. Agric. Biotechnol. 2015, 4, 423–431. [Google Scholar]
- Tantipaibulvut, S.; Soontornsophan, C.; Luangviphusavanich, S. Fermentation of roselle juice by lactic acid bacteria. Asian J. Food Agro-Ind. 2008, 1, 213–222. [Google Scholar]
- Behrens, J.; Roig, S.; Silva, M.D. Fermentation of soymilk by commercial lactic cultures: Development of a product with market potential. Acta Aliment. 2004, 33, 101–109. [Google Scholar] [CrossRef]
- Terpou, A.; Gialleli, A.-I.; Bekatorou, A.; Dimitrellou, D.; Ganatsios, V.; Barouni, E.; Koutinas, A.A.; Kanellaki, M. Sour milk production by wheat bran supported probiotic biocatalyst as starter culture. Food Bioprod. Process. 2017, 101, 184–192. [Google Scholar] [CrossRef]
- Settachaimongkon, S.; van Valenberg, H.J.; Gazi, I.; Nout, M.R.; van Hooijdonk, T.C.; Zwietering, M.H.; Smid, E.J. Influence of Lactobacillus plantarum WCFS1 on post-acidification, metabolite formation and survival of starter bacteria in set-yoghurt. Food Microbiol. 2016, 59, 14–22. [Google Scholar] [CrossRef] [PubMed]
- Filannino, P.; Di Cagno, R.; Gobbetti, M. Metabolic and functional paths of lactic acid bacteria in plant foods: Get out of the labyrinth. Curr. Opin. Biotechnol. 2018, 49, 64–72. [Google Scholar] [CrossRef]
- Narvhus, J.A.; Østeraas, K.; Mutukumira, T.; Abrahamsen, R. Production of fermented milk using a malty compound producing strain of Lactococcus lactis subsp. Lactis biovar diacetylactis isolated from Zimbabwean naturally fermented milk. Int. J. Food Microbiol. 1998, 41, 73–80. [Google Scholar] [CrossRef] [PubMed]
- Gardner, N.J.; Savard, T.; Obermeier, P.; Caldwell, G.; Champagne, C.P. Selection and characterization of mixed starter cultures for lactic acid fermentation of carrot, cabbage, beet and onion vegetable mixtures. Int. J. Food Microbiol. 2001, 64, 261–275. [Google Scholar] [CrossRef] [PubMed]
- Guzel-Seydim, Z.; Wyffels, J.T.; Seydim, A.C.; Greene, A.K. Turkish kefir and kefir grains: Microbial enumeration and electron microscobic observation. Int. J. Dairy Technol. 2005, 58, 25–29. [Google Scholar] [CrossRef]
- Lopitz-Otso, F.; Rementeria, A.; Elguzabal, N.; Garaizar, J. Kefir: A symbiotic yeast-bacteria community with alleged healthy capabilities. Rev. Iberoam. Micol. 2006, 23, 67–74. [Google Scholar]
- Boubezari, M.T.; Bouchefra, A.; Djemai, S. Changes in physico-chemical parameters, bioactive compounds and survival of Lactiplantibacillus plantarum J12 in fermented carrot juice. Carpathian J. Food Sci. Technol. 2022, 14, 17–27. [Google Scholar]
- Guimarães, J.T.; Silva, E.K.; Rodrigues Costa, A.L.; Cunha, R.L.; Freitas, M.Q.; Meireles, M.A.A.; Cruz, A.G. Manufacturing a prebiotic whey beverage exploring the influence of degree of inulin polymerization. Food Hydrocoll. 2018, 77, 787–795. [Google Scholar] [CrossRef]
- Villegas, B.; Costell, E. Flow behaviour of inulinemilk beverages. Influence of inulin average chain length and of milk fat content. Int. Dairy J. 2007, 17, 776–781. [Google Scholar] [CrossRef]
- Wedad, M.E.-K.; Reda, A.A.; Abdel Nabey, A.A. Utilization of inulin extracted from chicory (Cichoriumintybus L.) roots toimprove the properties of low-fat synbiotic yoghurt. Ann. Agric. Sci. 2020, 65, 59–67. [Google Scholar]
- Lin, F.-M.; Chiu, C.-H.; Tzu-Ming, P. Fermentation of a milk–soymilk and Lycium chinense Miller mixture using a new isolate of Lactobacillus paracasei subsp. Paracasei NTU101 and Bifidobacterium longum. J. Ind. Microbiol. Biotechnol. 2004, 31, 559–564. [Google Scholar] [CrossRef] [PubMed]
- Terpou, A.; Papadaki, A.; Bosnea, L.; Kanellaki, M.; Kopsahelis, N. Novel frozen yogurt production fortified with sea buckthorn berries and probiotics. LWT-Food Sci. Technol. 2019, 105, 242–249. [Google Scholar] [CrossRef]
- Rinaldoni, A.N.; Campderrós, E.M.; Pérez Padilla, A. Physico-chemical and sensory properties of yogurt from ultrafiltreted soymilk concentrate added with inulin. LWT-Food Sci. Technol. 2012, 45, 142–147. [Google Scholar] [CrossRef]
- Iraporda, C.; Rubel, I.A.; Managó, N.; Manrique, G.D.; Garrote, G.L.; Abraham, A.G. Inulin addition improved probiotic survival in soy-based fermented beverage. World J. Microbiol. Biotechnol. 2022, 38, 133. [Google Scholar] [CrossRef]
- Heenan, C.N.; Adams, M.C.; Hosken, R.W.; Fleet, G.H. Survival, and sensory acceptability of probiotic microorganisms in a nonfermented frozen vegetarian dessert. LWT-Food Sci. Technol. 2004, 37, 461–466. [Google Scholar] [CrossRef]
- Farnworth, E.R.; Mainville, I.; Desjardins, M.P.; Gardner, N.; Fliss, I.; Champagne, C. Growth of probiotic bacteria and bifidobacteria in a soy yogurt formulation. Int. J. Food Microbiol. 2007, 116, 174–181. [Google Scholar] [CrossRef]
- do Espirito Santo, A.P.; Perego, P.; Converti, A.; Oliveira, M.N. Influence of food matrices on probiotic viability–A review focusing on the fruity bases. Trends Food Sci. Technol. 2011, 22, 377–385. [Google Scholar] [CrossRef]







| Sample | Soluble Solids (°Brix) | pH | Acidity (g Lactic Acid/100 mL) | Conductivity (µs/cm) |
|---|---|---|---|---|
| 1% inulin and 20% SBS | 4.25 ± 0.353 c | 4.21 ± 0.014 d | 0.44 ± 0.014 c | 5.92 ± 0.007 b |
| 3% inulin and 20% SBS | 5.1 ± 0.141 a | 4.01 ± 0.014 a | 0.29 ± 0.028 a | 5.55 ± 0.014 a |
| 1% inulin and 3% SBP | 4.1 ± 0.141 a | 4.11 ± 0.007 c | 0.35 ± 0.021 b | 6.05 ± 0.035 c |
| 3% inulin and 3% SBP | 5.4 ± 0.283 b | 4.07 ± 0.021 b | 0.54 ± 0.028 d | 5.55 ± 0.014 a |
| Sample | Viscosity (Pa s−1) | |
|---|---|---|
| Fermentation at 30 °C | Fermentation at 37 °C | |
| 20% sea buckthorn syrup | 0.39 ± 0.007 b | 0.42 ± 0.014 a |
| 1% sea buckthorn powder | 1.74 ± 0.042 a | 1.97 ± 0.035 a |
| 3% sea buckthorn powder | 1.86 ± 0.035 b | 2.11 ± 0.085 b |
| Characteristics | Beverage Sample | |||||||
|---|---|---|---|---|---|---|---|---|
| SBS at 30 °C | SBS at 37 °C | SBP at 30 °C | SBP at 37 °C | |||||
| 1% Inulin | 3% Inulin | 1% Inulin | 3% Inulin | 1% Inulin | 3% Inulin | 1% Inulin | 3% Inulin | |
| Color | 3.8 c | 5.3 a,b | 5.6 a,b | 5.9 a | 3.87 c | 5.3 a,b | 5.6 a,b | 5.9 a,b |
| Flavor | 4.9 b | 5.3 a,b | 5.3 a,b | 5.8 a | 5.1 b | 5.4 a,b | 5.6 a,b | 5.8 a |
| Taste | 4.9 b | 5.4 a | 5.3 a,b | 5.4 a | 4.8 b | 5.3 a,b | 5.3 a,b | 5.6 b |
| Texture | 4.7 b | 5.3 a,b | 5.4 a | 5.5 a | 4.8 b | 5.3 a,b | 5.4 a | 5.5 a |
| Overall acceptability | 4.9 b | 5.2 b | 5.9 a | 6.1 a | 5.1 b | 5.4 b | 5.9 a | 6.3 a |
Disclaimer/Publisher’s Note: The statements, opinions and data contained in all publications are solely those of the individual author(s) and contributor(s) and not of MDPI and/or the editor(s). MDPI and/or the editor(s) disclaim responsibility for any injury to people or property resulting from any ideas, methods, instructions or products referred to in the content. |
© 2023 by the authors. Licensee MDPI, Basel, Switzerland. This article is an open access article distributed under the terms and conditions of the Creative Commons Attribution (CC BY) license (https://creativecommons.org/licenses/by/4.0/).
Share and Cite
Maftei, N.-M.; Iancu, A.-V.; Goroftei Bogdan, R.E.; Gurau, T.V.; Ramos-Villarroel, A.; Pelin, A.-M. A Novel Symbiotic Beverage Based on Sea Buckthorn, Soy Milk and Inulin: Production, Characterization, Probiotic Viability, and Sensory Acceptance. Microorganisms 2023, 11, 736. https://doi.org/10.3390/microorganisms11030736
Maftei N-M, Iancu A-V, Goroftei Bogdan RE, Gurau TV, Ramos-Villarroel A, Pelin A-M. A Novel Symbiotic Beverage Based on Sea Buckthorn, Soy Milk and Inulin: Production, Characterization, Probiotic Viability, and Sensory Acceptance. Microorganisms. 2023; 11(3):736. https://doi.org/10.3390/microorganisms11030736
Chicago/Turabian StyleMaftei, Nicoleta-Maricica, Alina-Viorica Iancu, Roxana Elena Goroftei Bogdan, Tudor Vladimir Gurau, Ana Ramos-Villarroel, and Ana-Maria Pelin. 2023. "A Novel Symbiotic Beverage Based on Sea Buckthorn, Soy Milk and Inulin: Production, Characterization, Probiotic Viability, and Sensory Acceptance" Microorganisms 11, no. 3: 736. https://doi.org/10.3390/microorganisms11030736
APA StyleMaftei, N.-M., Iancu, A.-V., Goroftei Bogdan, R. E., Gurau, T. V., Ramos-Villarroel, A., & Pelin, A.-M. (2023). A Novel Symbiotic Beverage Based on Sea Buckthorn, Soy Milk and Inulin: Production, Characterization, Probiotic Viability, and Sensory Acceptance. Microorganisms, 11(3), 736. https://doi.org/10.3390/microorganisms11030736

