Attributes of Culture Bacteria as Influenced by Ingredients That Help Treat Leaky Gut
Abstract
1. Introduction
2. Materials and Methods
2.1. Experimental Design
2.2. Acid Tolerance Test
2.3. Bile Tolerance Test
2.4. Protease Activity
2.5. Microbial Growth
2.6. Tolerance to Simulated Gastric Juice
2.7. Lysozyme Tolerance Test
2.8. Enumeration of S. thermophilus
2.9. Enumeration of L. bulgaricus
3. Statistical Analysis
4. Results and Discussion
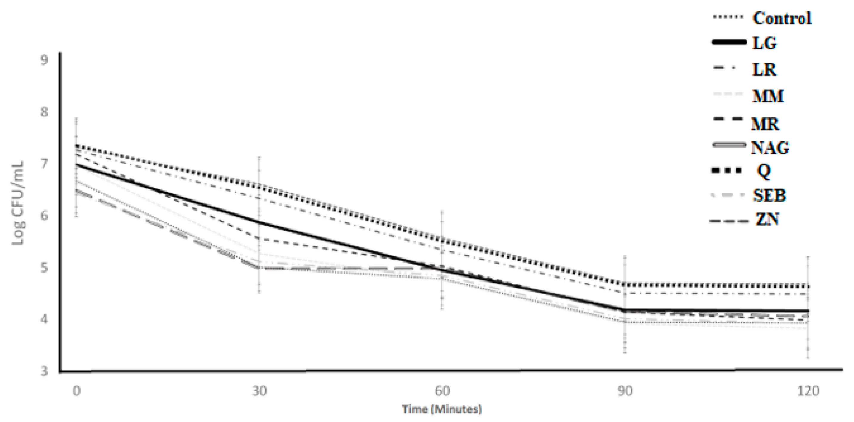
4.1. Acid Tolerance
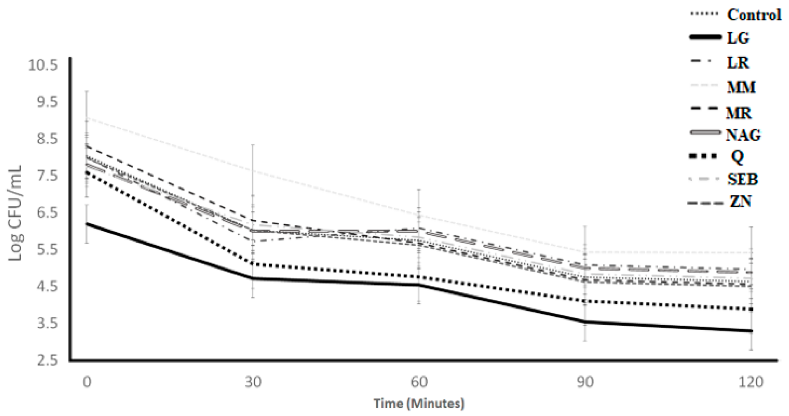
4.2. Bile Tolerance
4.3. Microbial Growth
4.4. Protease Activity
4.5. Tolerance to Simulated Gastric Juice (SGJ)
4.6. Resistance to Lysozyme
5. Conclusions
Author Contributions
Funding
Data Availability Statement
Acknowledgments
Conflicts of Interest
References
- EFSA Panel on Dietetic Products, Nutrition and Allergies. Scientific opinion on lactose thresholds in lactose intolerance and galactosaemia. EFSA J. 2010, 8, 1777. [Google Scholar] [CrossRef]
- Bubnov, R.V.; Babenko, L.P.; Lazarenko, L.M.; Mokrozub, V.V.; Demchenko, O.A.; Nechypurenko, O.V.; Spivak, M.Y. Comparative study of probiotic effects of Lactobacillus and Bifidobacteria strains on cholesterol levels, liver morphology and the gut microbiota in obese mice. EPMA J. 2017, 8, 357–376. [Google Scholar] [CrossRef] [PubMed]
- Rodríguez, C.; Medici, M.; Mozzi, F.; de Valdez, G.F. Therapeutic effect of Streptococcus thermophilus CRL 1190-fermented milk on chronic gastritis. World J. Gastroenterol. 2010, 16, 1622–1630. [Google Scholar] [CrossRef] [PubMed]
- Patro-Golab, B.; Shamir, R.; Szajewska, H. Yogurt for treating antibiotic-associated diarrhea: Systematic review and meta-analysis. Nutrition 2015, 31, 796–800. [Google Scholar] [CrossRef]
- Kamiya, S.; Yonezawa, H.; Osaki, T. Role of probiotics in eradication therapy for Helicobacter pylori infection. In Advances in Experimental Medicine and Biology; Kamiya, S., Backert, S., Eds.; Springer: Cham, Switzerland, 2019; Volume 1149, pp. 243–255. [Google Scholar] [CrossRef]
- Modzelewska-Kapitula, M.; Klebukowska, L.; Kornacki, K. Influence of inulin and potentially probiotic Lactobacillus plantarum strain on microbiological quality and sensory properties of soft cheese. Pol. J. Food Nutr. Sci. 2007, 57, 143–146. [Google Scholar]
- Sanghvi, U.; Chhabra, T.; Sethuraman, R. Effect of Probiotics on the Amount and PH of Saliva in Edentulous Patients: A Prospective Study. J. Indian Prosthodont. Soc. 2018, 18, 277. [Google Scholar] [PubMed]
- Vitetta, L.; Llewellyn, H.; Oldfield, D. Gut dysbiosis and the intestinal microbiome: Streptococcus thermophilus a key probiotic for reducing uremia. Microorganisms 2019, 7, 228. [Google Scholar] [CrossRef]
- Shi, L.-E.; Li, Z.-H.; Li, D.-T.; Xu, M.; Chen, H.-Y.; Zhang, Z.-L.; Tang, Z.-X. Encapsulation of probiotic Lactobacillus bulgaricus in alginate–milk microspheres and evaluation of the survival in simulated gastrointestinal conditions. J. Food Eng. 2013, 117, 99–104. [Google Scholar] [CrossRef]
- Aleman, R.S.; Moncada, M.; Aryana, K.J. Leaky Gut and the Ingredients That Help Treat It: A Review. Molecules 2023, 28, 619. [Google Scholar] [CrossRef]
- Luescher, S.; Urmann, C.; Butterweck, V. Effect of Hops Derived Prenylated Phenols on TNF- α Induced Barrier Dysfunction in Intestinal Epithelial Cells. J. Nat. Prod. 2017, 80, 925–931. [Google Scholar] [CrossRef] [PubMed]
- Rao, R.; Samak, G. Role of glutamine in protection of intestinal epithelial tight junctions. J. Epithel. Biol. Pharmacol. 2012, 5 (Suppl. 1-M7), 47–54. [Google Scholar] [CrossRef]
- Suzuki, T.; Hara, H. Quercetin enhances intestinal barrier function through the assembly of zonula occludens-2, occludin, and claudin-1 and the expression of claudin-4 in Caco-2 cells. J. Nutr. 2009, 139, 965–974. [Google Scholar] [CrossRef] [PubMed]
- Ried, K.; Travica, N.; Dorairaj, R.; Sali, A. Herbal formula improves upper and lower gastrointestinal symptoms and gut health in Australian adults with digestive disorders. Nutr. Res. 2020, 76, 37–51. [Google Scholar] [CrossRef] [PubMed]
- Aminnezhad, S.; Kermanshahi, R.K.; Ranjbar, R. Effect of Althaea officinalis extract on growth and biofilm formation in Pseudomonas aeruginosa. J. Pure Appl. Microbiol. 2016, 10, 1857–1863. [Google Scholar]
- Xu, W.; Jiang, C.; Kong, X.; Liang, Y.; Rong, M.; Liu, W. Chitooligosaccharides and N-acetyl-D-glucosamine stimulate peripheral blood mononuclear cell-mediated antitumor immune responses. Mol. Med. Rep. 2012, 6, 385–390. [Google Scholar] [CrossRef]
- Wang, J.; Zhang, Y.-S.; Thakur, K.; Hussain, S.S.; Zhang, J.-G.; Xiao, G.; Wei, Z.-J. Licochalcone A from licorice root, an inhibitor of human hepatoma cell growth via induction of cell apoptosis and cell cycle arrest. Food Chem. Toxicol. 2018, 120, 407–417. [Google Scholar] [CrossRef] [PubMed]
- Jayachandran, M.; Xiao, J.; Xu, B. A critical review on health promoting benefits of edible mushrooms through gut microbiota. Int. J. Mol. Sci. 2017, 18, 1934. [Google Scholar] [CrossRef]
- Ollig, J.; Kloubert, V.; Weßels, I.; Haase, H.; Rink, L. Parameters influencing zinc in experimental systems in vivo and in vitro. Metals 2016, 6, 71. [Google Scholar] [CrossRef]
- Yu, J.-Y.; Ha, J.Y.; Kim, K.-M.; Jung, Y.-S.; Jung, J.-C.; Oh, S. Anti-Inflammatory Activities of Licorice Extract and Its Active Compounds, Glycyrrhizic Acid, Liquiritin and Liquiritigenin, in BV2 Cells and Mice Liver. Molecules 2015, 20, 13041–13054. [Google Scholar] [CrossRef]
- Bonaterra, G.A.; Bronischewski, K.; Hunold, P.; Schwarzbach, H.; Heinrich, E.U.; Fink, C.; Aziz-Kalbhenn, H.; Muller, J.; Kinscherf, R. Anti-inflammatory and Anti-oxidative Effects of Phytohustil® and Root Extract of Althaea officinalis L. on Macrophages in vitro. Front. Pharm. 2020, 11, 290. [Google Scholar] [CrossRef]
- Putt, K.K.; Pei, R.; White, H.M.; Bolling, B.W. Yogurt inhibits intestinal barrier dysfunction in Caco-2 cells by increasing tight junctions. Food Funct. 2017, 8, 406–414. [Google Scholar] [CrossRef]
- Paz, D.; Aleman, R.S.; Cedillos, R.; Olson, D.W.; Aryana, K.; Marcia, J.; Boeneke, C. Probiotic Characteristics of Streptococcus thermophilus and Lactobacillus delbrueckii ssp. bulgaricus as Influenced by Carao (Cassia grandis). Fermentation 2022, 8, 499. [Google Scholar] [CrossRef]
- Marcía-Fuentes, J.; Santos-Aleman, R.; Borrás-Linares, I.; Sánchez, J.L. The Carao (Cassia grandis L.): Its Potential Usage in Pharmacological, Nutritional, and Medicinal Applications. In Innovations in Biotechnology for a Sustainable Future; Maddela, N.R., García, L.C., Eds.; Springer: Cham, Switzerland, 2021; pp. 403–427. [Google Scholar] [CrossRef]
- Marcía-Fuentes, J.; Fernández, I.; Fernández, H.; Sánchez, J.; Alemán, R.; Alarcon, M. Quantification of bioactive molecules, minerals and bromatological analysis in carao (Cassia grandis). J. Agric. Sci. 2020, 12, 88. [Google Scholar]
- Pereira, D.I.; Gibson, G.R. Cholesterol assimilation by lactic acid bacteria and Bifidobacteria isolated from the human gut. Appl. Environ. Microbiol. 2002, 68, 4689–4693. [Google Scholar] [CrossRef]
- Oberg, C.J.; Wang, A.; Moyes, L.V.; Brown, R.J.; Richardson, G.H. Effects of proteolytic activity of thermolactic cultures on physical properties of Mozzarella cheese. J. Dairy Sci. 1991, 74, 389–397. [Google Scholar] [CrossRef]
- García-Ruiz, A.; González de Llano, D.; Esteban-Fernández, A.; Requena, T.; Bartolomé, B.; Moreno-Arribas, M.V. Assessment of probiotic properties in lactic acid bacteria isolated from wine. Food Microbiol. 2014, 44, 220–225. [Google Scholar] [CrossRef]
- Zhang, J.; Liu, M.; Xu, J.; Qi, Y.; Zhao, N.; Fan, M. First insight into the probiotic properties of ten Streptococcus thermophilus strains based on in vitro conditions. Curr. Microbiol. 2020, 77, 343–352. [Google Scholar] [CrossRef] [PubMed]
- Zago, M.; Fornasari, M.E.; Carminati, D.; Burns, P.; Suàrez, V.; Vinderola, G.; Reinheimer, J.; Giraffa, G. Characterization and probiotic potential of Lactobacillus plantarum strains isolated from cheeses. Food Microbiol. 2011, 28, 1033–1040. [Google Scholar] [CrossRef]
- Pinto, M.G.V.; Franz, C.M.A.P.; Schillinger, U.; Holzapfel, W.H. Lactobacillus spp. with in vitro probiotic properties from human faeces and traditional fermented products. Int. J. Food Microbiol. 2006, 109, 205–214. [Google Scholar] [CrossRef]
- Czibulka, A. Probiotics and Herbal Therapies. Pages xxx-yyy in: Laryngopharyngeal Reflux Disease; Jamal, N., Wang, M., Eds.; Springer: Cham, Switzerland, 2019. [Google Scholar] [CrossRef]
- Capek, P.; Toman, R.; Kardošová, A.; Rosík, J. Polysaccharides from the roots of the marshmallow (Althaea officinalis L.): Structure of an arabinan. Carbohydr. Res. 1983, 117, 133–140. [Google Scholar] [CrossRef]
- Zacchino, S.A.; Butassi, E.; Liberto, M.D.; Raimondi, M.; Postigo, A.; Sortino, M. Plant phenolics and terpenoids as adjuvants of antibacterial and antifungal drugs. Phytomedicine 2017, 37, 27–48. [Google Scholar] [CrossRef] [PubMed]
- Sánchez-Patán, F.; Cueva, C.; Monagas, M.; Walton, G.E.; Gibson, G.R.; Quintanilla-López, J.E.; Lebrón-Aguilar, R.; Martín-Álvarez, P.J.; Moreno-Arribas, M.V.; Bartolomé, B. In vitro fermentation of a red wine extract by human gut microbiota: Changes in microbial groups and formation of phenolic metabolites. J. Agric. Food Chem. 2012, 60, 2136–2147. [Google Scholar] [CrossRef]
- Chan, C.L.; Gan, R.Y.; Shah, N.P.; Corke, H. Polyphenols from selected dietary spices and medicinal herbs differentially affect common food-borne pathogenic bacteria and lactic acid bacteria. Food Control 2018, 92, 437–443. [Google Scholar] [CrossRef]
- Hervert-Hernández, D.; Pintado, C.; Rotger, R.; Goñi, I. Stimulatory role of grape pomace polyphenols on Lactobacillus acidophilus growth. Int. J. Food Microbiol. 2009, 136, 119–122. [Google Scholar] [CrossRef] [PubMed]
- Tabasco, R.; Sánchez-Patán, F.; Monagas, M.; Bartolomé, B.; Moreno-Arribas, M.V.; Peláez, C.; Requena, T. Effect of grape polyphenols on lactic acid bacteria and bifidobacteria growth: Resistance and metabolism. Food Microbiol. 2011, 28, 1345–1352. [Google Scholar] [CrossRef] [PubMed]
- Jin, L.Z.; Ho, Y.W.; Abdullah, N.; Jalaludin, S. Acid and bile tolerance of Lactobacillus isolated from chicken intestine. Lett. Appl. Microbiol. 1998, 27, 183–185. [Google Scholar] [CrossRef] [PubMed]
- Begley, M.; Gahan, C.G.M.; Hill, C. The interaction between bacteria and bile. FEMS Microbiol. Rev. 2005, 29, 625–651. [Google Scholar] [CrossRef]
- Vargas, L.A.; Olson, D.W.; Aryana, K.J. Whey protein isolate improves acid and bile tolerances of Streptococcus thermophilus ST-M5 and Lactobacillus delbrueckii ssp. bulgaricus LB-12. J. Dairy Sci. 2015, 98, 2215–2221. [Google Scholar] [CrossRef]
- Ziegler, T.R.; Young, L.S.; Benfell, K.; Scheltinga, M.; Hortos, K.; Bye, R.; Morrow, F.D.; Jacobs, D.O.; Smith, R.J.; Antin, J.H.; et al. Clinical and metabolic efficacy of glutamine-supplemented parenteral nutrition after bone marrow transplantation: A randomized, double-blind, controlled study. Ann. Intern. Med. 1992, 116, 821–828. [Google Scholar] [CrossRef]
- Garault, P.; Letort, C.; Juillard, V.; Monnet, V. Branched-chain amino acid biosynthesis is essential for optimal growth of Streptococcus thermophilus in milk. Appl. Environ. Microbiol. 2000, 66, 5128–5133. [Google Scholar] [CrossRef]
- Puupponen-Pimiä, R.; Nohynek, L.; Meier, C.; Kähkönen, M.; Heinonen, M.; Hopia, A.; Oksman-Caldentey, K.-M. Antimicrobial properties of phenolic compounds from berries. J. Appl. Microbiol. 2001, 90, 494–507. [Google Scholar] [CrossRef] [PubMed]
- Nurdini, A.L.; Nuraida, L.; Suwanto, A.; Suliantari. Microbial growth dynamics during tempe fermentation in two different home industries. Int. Food Res. J. 2015, 22, 1668–1674. [Google Scholar]
- Inokuma, K.; Matsuda, M.; Sasaki, D.; Hasunuma, T.; Kondo, A. Widespread effect of N-acetyl-D-glucosamine assimilation on the metabolisms of amino acids, purines, and pyrimidines in Scheffersomyces stipitis. Microb. Cell Fact. 2018, 17, 153. [Google Scholar] [CrossRef] [PubMed]
- Sieuwerts, S.; Molenaar, D.; van Hijum, S.A.F.T.; Beerthuyzen, M.; Stevens, M.J.A.; Janssen, P.W.M.; Ingham, P.C.J.; de Bok, F.A.M.; de Vos, W.M.; van Hylckama Vlieg, J.E.T. Mixed-Culture Transcriptome Analysis Reveals the Molecular Basis of Mixed-Culture Growth in Streptococcus thermophilus and Lactobacillus bulgaricus. Appl. Environ. Microbiol. 2010, 76, 7775–7784. [Google Scholar] [CrossRef]
- Bove, P.; Gallone, A.; Russo, P.; Capozzi, V.; Albenzio, M.; Spano, G.; Fiocco, D. Probiotic features of Lactobacillus plantarum mutant strains. Appl. Microbiol. Biotechnol. 2012, 96, 431–441. [Google Scholar] [CrossRef]
- García-Hernández, J.; Moreno, Y.; Chuan, C.; Hernández, M. In vivo study of the survival of Lactobacillus delbruecki subsp. bulgaricus CECT 4005T and Streptococcus thermophilus CECT 801 by DVC-FISH after consumption of fermented milk. J. Food Sci. 2012, 77, M593–M597. [Google Scholar] [CrossRef]
- Ciobanu, M.; Pirvu, L.; Paun, G.; Savin, S.; Albu, B.G.; Munteanu, C.; Cusu, J.P.; Atkinson, I.; Culita, D.C.; Petcu, G.; et al. Development of a new (bio) hybrid matrix based on Althaea officinalis and Betonica officinalis extracts loaded into mesoporous silica nanoparticles for bioactive compounds with therapeutic applications. J. Drug Deliv. Sci. Technol. 2019, 51, 605–613. [Google Scholar] [CrossRef]
- Maukonen, J.; Saarela, M. Human gut microbiota: Does diet matter? Proc. Nutr. Soc. 2015, 74, 23–36. [Google Scholar] [CrossRef]










| Effect | S. thermophilus STI-06 | L. bulgaricus LB-12 |
|---|---|---|
| Viability | ||
| Ingredient | <0.0001 | <0.0001 |
| Time (Hours) | <0.0001 | <0.0001 |
| Ingredient × time | <0.0001 | <0.0001 |
| Bile tolerance | ||
| Ingredient | <0.0001 | <0.0001 |
| Time (Hours) | <0.0001 | <0.0001 |
| Ingredient × time | <0.0001 | <0.0001 |
| Acid tolerance | ||
| Ingredient | <0.0001 | 0.0576 |
| Time (Minutes) | <0.0001 | <0.0001 |
| Ingredient × time | <0.0001 | 0.0775 |
| Resistance to gastric juices | ||
| Ingredient | <0.0001 | 0.0765 |
| pH | <0.0001 | <0.0001 |
| Ingredient × pH | <0.0001 | 0.1450 |
| Protease activity | ||
| Ingredient | <0.0001 | 0.0579 |
| Time (Hours) | <0.0001 | <0.0001 |
| Ingredient × time | <0.0001 | 0.4460 |
| Lysozyme resistance | ||
| Ingredient | <0.0001 | <0.0001 |
| Time (Minutes) | <0.0001 | <0.0001 |
| Ingredient × time | <0.0001 | <0.0001 |
| Ingredient | S. thermophilus | L. bulgaricus |
|---|---|---|
| Acid tolerance | ||
| C | 5.848 c | NS |
| LG | 4.460 d | NS |
| Q | 5.790 c | NS |
| SEB | 5.054 c | NS |
| MR | 5.908 bc | NS |
| NAG | 5.944 bc | NS |
| LR | 5.977 ab | NS |
| MM | 6.003 a | NS |
| ZN | 5.866 c | NS |
| Bile tolerance | ||
| C | 7.656 a | 5.543 a |
| LG | 5.132 b | 4.960 b |
| Q | 7.087 a | 5.124 a |
| SEB | 7.654 a | 5.254 a |
| MR | 7.754 a | 5.548 a |
| NAG | 7.287 a | 5.439 a |
| LR | 7.940 a | 5.487 a |
| MM | 7.476 a | 5.487 a |
| ZN | 7.245 a | 5.557 a |
| Ingredient | S. thermophilus |
|---|---|
| Acid Tolerance | |
| C | 3.72 |
| LG | 2.93 |
| Q | 3.53 |
| SEB | 3.77 |
| MR | 2.99 |
| NAG | 2.99 |
| LR | 3.02 |
| MM | 3.70 |
| ZN | 3.07 |
| Resistance to Lysozyme | |
| C | 4.01 |
| LG | 4.18 |
| Q | 4.77 |
| SEB | 4.23 |
| MR | 4.49 |
| NAG | 3.82 |
| LR | 3.87 |
| MM | 3.92 |
| ZN | 3.89 |
| Ingredient | S. thermophilus | L. bulgaricus |
|---|---|---|
| Viability | ||
| C | 8.772 a | 7.965 a |
| LG | 8.578 b | 7.645 b |
| Q | 8.832 a | 7.95 a |
| SEB | 8.876 a | 7.834 a |
| MR | 8.765 a | 8.023 a |
| NAG | 8.786 a | 7.934 a |
| LR | 8.785 a | 7.911 a |
| MM | 8.865 a | 7.845 a |
| ZN | 8.874 a | 7.928 a |
| Resistance to gastric juices | ||
| C | 5.176 a | NS |
| LG | 4.654 b | NS |
| Q | 5.434 a | NS |
| SEB | 5.156 a | NS |
| MR | 5.467 a | NS |
| NAG | 5.215 a | NS |
| LR | 5.237 a | NS |
| MM | 5.125 a | NS |
| ZN | 5.190 a | NS |
| Resistance to lysozyme | ||
| C | 5.006 b | 4.861 b |
| LG | 4.967 b | 4.811 b |
| Q | 5.562 a | 5.785 a |
| SEB | 5.102 b | 5.766 a |
| MR | 5.498 a | 5.531 a |
| NAG | 5.054 b | 4.954 b |
| LR | 5.106 b | 5.544 a |
| MM | 5.142 b | 5.046 b |
| ZN | 5.121 b | 4.883 b |
| Sample | 0 h | 12 h | 24 h |
|---|---|---|---|
| C | 0.148 ± 0.005 a | 0.155 ± 0.005 d | 0.202 ± 0.011 c |
| LG | 0.151 ± 0.013 a | 0.170 ± 0.013 c | 0.221 ± 0.017 c |
| Q | 0.155 ± 0.019 a | 0.205 ± 0.019 b | 0.217 ± 0.024 c |
| SEB | 0.154 ± 0.021 a | 0.186 ± 0.021 c | 0.232 ± 0.028 bc |
| MR | 0.150 ± 0.023 a | 0.247 ± 0.023 a | 0.320 ± 0.027 a |
| NAG | 0.157 ± 0.012 a | 0.207 ± 0.012 b | 0.271 ± 0.015 b |
| LR | 0.152 ± 0.010 a | 0.175 ± 0.010 c | 0.227 ± 0.022 c |
| MM | 0.155 ± 0.017 a | 0.192 ± 0.017 bc | 0.249 ± 0.013 b |
| ZN | 0.150 ± 0.007 a | 0.173 ± 0.007 c | 0.225 ± 0.022 c |
| Sample | 0 h | 12 h | 24 h |
|---|---|---|---|
| C | 0.160 ± 0.009 | 0.313 ± 0.006 | 0.414 ± 0.017 |
| LG | 0.163 ± 0.007 | 0.320 ± 0.013 | 0.433 ± 0.021 |
| Q | 0.162 ± 0.005 | 0.335 ± 0.020 | 0.447 ± 0.016 |
| SEB | 0.159 ± 0.005 | 0.327 ± 0.015 | 0.441 ± 0.012 |
| MR | 0.160 ± 0.006 | 0.321 ± 0.017 | 0.427 ± 0.023 |
| NAG | 0.164 ± 0.007 | 0.333 ± 0.014 | 0.439 ± 0.020 |
| LR | 0.166 ± 0.004 | 0.343 ± 0.015 | 0.428 ± 0.018 |
| MM | 0.161 ± 0.007 | 0.330 ± 0.019 | 0.427 ± 0.020 |
| ZN | 0.159 ± 0.011 | 0.327 ± 0.022 | 0.432 ± 0.015 |
Disclaimer/Publisher’s Note: The statements, opinions and data contained in all publications are solely those of the individual author(s) and contributor(s) and not of MDPI and/or the editor(s). MDPI and/or the editor(s) disclaim responsibility for any injury to people or property resulting from any ideas, methods, instructions or products referred to in the content. |
© 2023 by the authors. Licensee MDPI, Basel, Switzerland. This article is an open access article distributed under the terms and conditions of the Creative Commons Attribution (CC BY) license (https://creativecommons.org/licenses/by/4.0/).
Share and Cite
Aleman, R.S.; Paz, D.; Cedillos, R.; Tabora, M.; Olson, D.W.; Aryana, K. Attributes of Culture Bacteria as Influenced by Ingredients That Help Treat Leaky Gut. Microorganisms 2023, 11, 893. https://doi.org/10.3390/microorganisms11040893
Aleman RS, Paz D, Cedillos R, Tabora M, Olson DW, Aryana K. Attributes of Culture Bacteria as Influenced by Ingredients That Help Treat Leaky Gut. Microorganisms. 2023; 11(4):893. https://doi.org/10.3390/microorganisms11040893
Chicago/Turabian StyleAleman, Ricardo S., David Paz, Roberto Cedillos, Miguel Tabora, Douglas W. Olson, and Kayanush Aryana. 2023. "Attributes of Culture Bacteria as Influenced by Ingredients That Help Treat Leaky Gut" Microorganisms 11, no. 4: 893. https://doi.org/10.3390/microorganisms11040893
APA StyleAleman, R. S., Paz, D., Cedillos, R., Tabora, M., Olson, D. W., & Aryana, K. (2023). Attributes of Culture Bacteria as Influenced by Ingredients That Help Treat Leaky Gut. Microorganisms, 11(4), 893. https://doi.org/10.3390/microorganisms11040893
