Proposal of A New Bois Noir Epidemiological Pattern Related to ‘Candidatus Phytoplasma Solani’ Strains Characterized by A Possible Moderate Virulence in Tuscany
Abstract
1. Introduction
2. Results
2.1. Sampling and Phytoplasma Detection
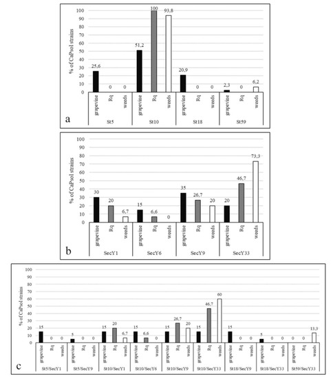
2.2. ‘Candidatus Phytoplasma Solani’ Strain Typing
2.3. Phylogenetic Analyses
2.4. Relationship between Symptom Severity and ‘Candidatus Phytoplasma Solani’ Abundance or Strain
3. Discussion
4. Materials and Methods
4.1. GY Symptom Observation and Collection of Plant and Insect Samples
4.2. Total nucleic Acids Extraction and Phytoplasma Detection
4.3. Molecular Typing and Phylogeny of ‘Candidatus Phytoplasma Solani’ Strains
4.4. Statistical Analysis
Supplementary Materials
Author Contributions
Funding
Conflicts of Interest
References
- Bertaccini, A. Grapevine “Bois noir”: What is New Under the Sun? In Proceedings of the 5th Bois Noir Workshop, Ljubljana, Slovenia, 18–19 September 2018. [Google Scholar]
- Pierro, R.; Semeraro, T.; Luvisi, A.; Garg, H.; Vergine, M.; De Bellis, L.; Gill, H.K. The Distribution of Phytoplasmas in South and East Asia: An Emerging Threat to Grapevine Cultivation. Front. Plant Sci. 2019, 10, 1108. [Google Scholar] [CrossRef] [PubMed]
- Quaglino, F.; Zhao, Y.; Casati, P.; Bulgari, D.; Bianco, P.A.; Wei, W.; Davis, R.E. ‘Candidatus Phytoplasma solani’, a novel taxon associated with stolbur and Bois Noir related diseases of plants. Intern. J. Syst. Evol. Microbiol. 2013, 63, 2879–2894. [Google Scholar] [CrossRef] [PubMed]
- Maixner, M. Transmission of German grapevine yellows (Vergilbungskrankheit) by the planthopper Hyalesthes obsoletus (Auchenorrhyncha: Cixiidae). Vitis 1994, 33, 103–104. [Google Scholar]
- Belli, G.; Bianco, P.A.; Conti, M. Grapevine yellows: Past, present and future. J. Plant Path. 2010, 92, 303–326. [Google Scholar]
- Langer, M.; Maixner, M. Molecular characterisation of grapevine yellows associated phytoplasmas of the stolbur-group based on RFLP analysis of non-ribosomal DNA. Vitis 2004, 43, 191–200. [Google Scholar]
- Kosovac, A.; Radonjić, S.; Hrnčić, S.; Krstić, O.; Toševski, I.; Jović, J. Molecular tracing of the transmission routes of bois noir in Mediterranean Vineyards of Montenegro and experimental evidence for the epidemiological role of Vitex agnus-castus (Lamiaceae) and associated Hyalesthes obsoletus (Cixiidae). Plant Path. 2016, 65, 285–298. [Google Scholar] [CrossRef]
- Kosovac, A.; Jakovljević, M.; Krstić, O.; Cvrković, T.; Mitrović, M.; Toševski, I.; Jović, J. Role of plant-specialized Hyalesthes obsoletus associated with Convolvulus arvensis and Crepis foetida in the transmission of ‘Candidatus Phytoplasma solani’-inflicted bois noir disease of grapevine in Serbia. Eur. J. Plant Path. 2019, 153, 183–195. [Google Scholar] [CrossRef]
- Mori, N.; Quaglino, F.; Tessari, F.; Pozzebon, A.; Bulgari, D.; Casati, P.; Bianco, P.A. Investigation on ‘bois noir’ epidemiology in north-eastern Italian vineyards through a multidisciplinary approach. Ann. Appl. Biol. 2015, 166, 75–89. [Google Scholar] [CrossRef]
- Jakovljević, M.; Jović, J.; Krstić, O.; Mitrović, M.; Marinković, S.; Toševski, I.; Cvrkocic, T. Diversity of phytoplasmas identified in the polyphagous leafhopper Euscelis incisus (Cicadellidae, Deltocephalinae) in Serbia: Pathogen inventory, epidemiological significance and vectoring potential. Eur. J. Plant Pathol. 2020, 156, 201–221. [Google Scholar] [CrossRef]
- Cvrković, T.; Jović, J.; Mitrović, M.; Krstić, Q.; Toševski, I. Experimental and molecular evidence of Reptalus panzeri as a natural vector of bois noir. Plant Pathol. 2014, 63, 42–53. [Google Scholar] [CrossRef]
- Quaglino, F.; Sanna, F.; Moussa, A.; Faccincani, M.; Passera, A.; Casati, P.; Bianco, P.A.; Mori, N. Identification and ecology of alternative insect vectors of ‘Candidatus Phytoplasma solani’ to grapevine. Sci. Rep. 2019, 9, 19522. [Google Scholar] [CrossRef] [PubMed]
- Pierro, R.; Passera, A.; Panattoni, A.; Casati, P.; Luvisi, A.; Rizzo, D.; Bianco, P.A.; Quaglino, F.; Materazzi, A. Molecular typing of ‘Bois Noir’ phytoplasma strains in the Chianti Classico area (Tuscany, Central Italy) and their association with symptom severity in Vitis vinifera L. cv. Sangiovese. Phytopathol 2018, 108, 362–373. [Google Scholar] [CrossRef]
- Pierro, R.; Passera, A.; Panattoni, A.; Rizzo, D.; Stefani, L.; Bartolini, L.; Casati, P.; Luvisi, A.; Quaglino, F.; Materazzi, A. Prevalence of a ‘Candidatus Phytoplasma solani’ strain, so far associated only with other hosts, in Bois Noir-affected grapevines within Tuscan vineyards. Ann. Appl. Biol. 2018, 173, 202–212. [Google Scholar] [CrossRef]
- Trivellone, V.; Pinzauti, F.; Bagnoli, B. Reptalus quinquecostatus (Dufour) (Auchenorrhyncha; Cixiidae) as a possible vector of stolbur-phytoplasma in a vineyard in Tuscany. Redia 2005, 88, 103–108. [Google Scholar]
- Pinzauti, F.; Trivellone, V.; Bagnoli, B. Ability of Reptalus quinquecostatus (Hemiptera: Cixiidae) to inoculate stolbur phytoplasma to artificial feeding medium. Ann. Appl. Biol. 2008, 153, 299–305. [Google Scholar] [CrossRef]
- Chuche, J.; Danet, J.L.; Salar, P.; Foissac, X.; Thiery, D. Transmission of ’Candidatus Phytoplasma solani’ by Reptalus quinquecostatus (Hemiptera: Cixiidae). Ann. Appl. Biol. 2016, 169, 214–223. [Google Scholar] [CrossRef]
- Marchi, G.; Cinelli, T.; Rizzo, D.; Stefani, L.; Goti, E.; Della Bartola, M.; Luvisi, A.; Panattoni, A.; Materazzi, A. Occurrence of different phytoplasma infections in wild herbaceous dicots growing in vineyards affected by Bois Noir in Tuscany (Italy). Phytopathol. Mediterr. 2015, 54, 504–515. [Google Scholar]
- Pierro, R.; Materazzi, A.; Luvisi, A.; Quaglino, F.; Loni, A.; Lucchi, A.; Panattoni, A. New insights on “bois noir” epidemiology in the Chianti Classico area, Tuscany. Phytopath. Moll. 2019, 9, 39–40. [Google Scholar] [CrossRef]
- Murolo, S.; Romanazzi, G. In-vineyard population structure of ‘Candidatus Phytoplasma solani’ using multilocus sequence typing analysis. Infect. Gen. Evol. 2015, 31, 221–230. [Google Scholar] [CrossRef]
- Quaglino, F.; Maghradze, D.; Casati, P.; Chkhaidze, N.; Lobjanidze, M.; Ravasio, A.; Passera, A.; Venturini, G.; Failla, O.; Bianco, P.A. Identification and characterization of new ‘Candidatus Phytoplasma solani’ strains associated with bois noir disease in Vitis vinifera L. cultivars showing a range of symptoms severity in Georgia, the Caucasus region. Plant Dis. 2016, 100, 904–915. [Google Scholar]
- Trivellone, V.; Filippin, L.; Narduzzi-Wicth, B.; Angelini, E. A regional-scale survey to define the known and potential vectors of grapevine yellow phytoplasmas in vineyards South of Swiss Alps. Eur. J. Plant Pathol. 2016, 145, 915–927. [Google Scholar] [CrossRef]
- Suzuki, S.; Oshima, K.; Kakizawa, S.; Arashida, R.; Jung, H.Y.; Yamaji, Y.; Nishigawa, H.; Ugaki, M.; Namba, S. Interaction between the membrane protein of a pathogen and insect microfilament complex determines insect-vector specificity. Proc. Natl. Acad. Sci. USA 2006, 103, 4252–4257. [Google Scholar] [CrossRef] [PubMed]
- Prezelj, N.; Nikolić, P.; Gruden, K.; Ravnikar, M.; Dermastia, M. Spatiotemporal distribution of flavescence dorée phytoplasma in grapevine. Plant Pathol. 2013, 62, 760–766. [Google Scholar] [CrossRef]
- Bulgari, D.; Casati, P.; Quaglino, F.; Bianco, P.A. Endophytic bacterial community of grapevine leaves influenced by sampling date and phytoplasma infection process. BMC Microbiol. 2014, 14, 198. [Google Scholar] [CrossRef]
- Roggia, C.; Caciagli, P.; Galetto, L.; Pacifico, D.; Veratti, F.; Bosco, D.; Marzachì, C. Flavescence Dorèe phytoplasma titre in field-infected Barbera and Nebbiolo grapevines. Plant Pathol. 2014, 63, 31–41. [Google Scholar] [CrossRef]
- Marzachì, C.; Veratti, F.; Bosco, D. Direct PCR detection of phytoplasmas in experimentally infected insects. Ann. Appl. Biol. 1998, 133, 4554. [Google Scholar] [CrossRef]
- Angelini, E.; Bianchi, G.L.; Filippin, L.; Morassutti, C.; Borgo, M. A new TaqMan method for the identification of phytoplasmas associated with grapevine yellows by real-time PCR assay. J. Microbiol. Methods 2007, 68, 613–622. [Google Scholar] [CrossRef]
- Minguzzi, S.; Terlizzi, F.; Lanzoni, C.; Poggi Pollini, C.; Ratti, C. A rapid protocol of crude RNA/DNA extraction for RT-qPCR detection and quantification of ‘Candidatus Phytoplasma prunorum’. PLoS ONE 2016, 11, e0146515. [Google Scholar] [CrossRef]
- Fabre, A.; Danet, J.L.; Foissac, X. The stolbur phytoplasma antigenic membrane protein gene stamp is submitted to diversifying positive selection. Gene 2011, 472, 37–41. [Google Scholar] [CrossRef]
- Fialová, R.; Válová, P.; Balakishiyeva, G.; Danet, J.L.; Sâfárová, D.; Foissac, X.; Navrátil, M. Genetic variability of Stolbur phytoplasma in annual crop and wild plant species in South Moravia. J. Plant Pathol. 2009, 91, 411–416. [Google Scholar]
- Hall, T.A. BioEdit: A user-friendly biological sequence alignment editor and analysis program for Windows 95/98/NT. Nucleic Acids Symp. Ser. 1999, 41, 95–98. [Google Scholar]
- Sémétey, O.; Gaudin, J.; Danet, J.-L.; Salar, P.; Theil, S.; Fontaine, M.; Krausz, M.; Chaisse, E.; Eveillard, S.; Verdin, E.; et al. Lavender decline in France is associated with chronic infection by lavender-specific strains of “Candidatus Phytoplasma solani”. Appl. Environ. Microbiol. 2018, 84, e01507-18. [Google Scholar] [CrossRef] [PubMed]
- Kumar, S.; Stecher, G.; Li, M.; Knyaz, C.; Tamura, K. MEGA X: Molecular Evolutionary Genetics Analysis across computing platforms. Mol. Biol. Evol. 2018, 35, 1547–1549. [Google Scholar] [CrossRef] [PubMed]




| Vine Sample ID | Symptom Severity Class a | CaPsol Relative Abundance and Typing b | ||
|---|---|---|---|---|
| ΔCq c | stamp Sequence Variant d | secY Sequence Variant d | ||
| G13 | 1 | 11.3 | St10 | SecY9 |
| G14 | 1 | 10.3 | St10 | − |
| G27 | 1 | 10.4 | St10 | SecY33 |
| G29 | 1 | − | − | − |
| G37 | 1 | 8.36 | St10 | SecY6 |
| G40 | 1 | 9.39 | St10 | − |
| G61 | 1 | − | − | − |
| G70 | 1 | 7.45 | St10 | − |
| G72 | 1 | 7.89 | St10 | − |
| G74 | 1 | 12.4 | St5 | − |
| G4 | 2 | 9.03 | St59 | − |
| G7 | 2 | 5.56 | St10 | − |
| G24 | 2 | 8.35 | St10 | − |
| G34 | 2 | 7.59 | St18 | − |
| G45 | 2 | 10.3 | − | − |
| G55 | 2 | 6.35 | St5 | SecY1 |
| G59 | 2 | 3.66 | St5 | − |
| G60 | 2 | 8.62 | St5 | − |
| G62 | 2 | 3.62 | St10 | SecY6 |
| G68 | 2 | 6.35 | St10 | |
| G71 | 2 | 9.51 | St18 | SecY33 |
| G73 | 2 | 8.99 | St10 | SecY33 |
| G1 | 3 | 3.43 | St10 | − |
| G2 | 3 | 8.17 | St10 | SecY1 |
| G3 | 3 | 8.82 | − | − |
| G6 | 3 | 4.21 | St18 | SecY9 |
| G10 | 3 | 6.86 | St5 | SecY1 |
| G12 | 3 | 12.3 | St5 | SecY1 |
| G11 | 3 | 4.49 | St18 | − |
| G8 | 3 | 9.26 | St5 | − |
| G16 | 3 | 4.81 | St10 | SecY33 |
| G18 | 3 | 6.17 | St18 | − |
| G21 | 3 | 3.65 | St10 | − |
| G22 | 3 | 4.25 | St10 | SecY9 |
| G31 | 3 | 5.44 | St5 | − |
| G32 | 3 | 3.45 | St18 | SecY9 |
| G33 | 3 | 5.91 | St5 | − |
| G38 | 3 | 4.63 | St10 | SecY1 |
| G42 | 3 | 2.14 | St10 | SecY6 |
| G43 | 3 | 3.07 | St10 | − |
| G44 | 3 | 3.87 | St10 | SecY1 |
| G48 | 3 | 7.67 | St18 | − |
| G52 | 3 | 6.76 | St5 | SecY9 |
| G54 | 3 | − | − | − |
| G58 | 3 | 7.25 | St18 | − |
| G67 | 3 | 4.91 | St10 | SecY9 |
| G69 | 3 | 6.08 | St18 | SecY9 |
| G75 | 3 | 8.34 | St5 | − |
| Family | Species | No. of Samples Infected/Collected | Sample ID | stamp Sequence Variant a,b | secY Sequence Variant a,b |
|---|---|---|---|---|---|
| Apiaceae | Ammi majus L. | 2/5 | W32 | St10 | − |
| W55 | St10 | SecY9 | |||
| Asteraceae | Centaurium erythraea Rafn. | 1/2 | W23 | St10 | SecY33 |
| Asteraceae | Matricaria chamomilla L. | 1/7 | W31 | St10 | SecY33 |
| Asteraceae | Pichris hieracioides L. | 7/9 | W39 | St59 | SecY33 |
| W40 | St10 | − | |||
| W43 | St10 | − | |||
| W44 | St10 | SecY33 | |||
| W50 | St10 | − | |||
| W51 | St10 | SecY1 | |||
| W65 | St10 | SecY9 | |||
| Asteraceae | Sonchus oleraceus L. | 6/8 | W30 | St10 | − |
| W52 | St10 | SecY33 | |||
| W53 | St10 | − | |||
| W56 | St10 | SecY33 | |||
| W57 | St10 | − | |||
| W61 | St10 | SecY9 | |||
| Convolvulaceae | Convolvulus arvensis L. | 12/17 | W21 | St10 | SecY33 |
| W26 | St10 | SecY33 | |||
| W28 | St10 | − | |||
| W37 | St59 | SecY33 | |||
| W38 | St10 | − | |||
| W41 | St10 | − | |||
| W42 | St10 | − | |||
| W45 | St10 | − | |||
| W48 | St10 | − | |||
| W58 | St10 | − | |||
| W59 | St10 | SecY33 | |||
| W60 | St10 | − | |||
| Plantaginaceae | Plantago major L. | 0/2 | |||
| Ranunculaceae | Clematis vitalba L. | 2/2 | W35 | St10 | − |
| W36 | St10 | SecY33 | |||
| Rosaceae | Potentilla reptans L. | 2/2 | W24 | St10 | − |
| W25 | St10 | − |
| No. of CaPsol Strains in Rq Specimens | stamp Sequence Variant b | secY Sequence Variant a,b |
|---|---|---|
| 12 | St10 | SecY1 |
| 4 | St10 | SecY6 |
| 16 | St10 | SecY9 |
| 28 | St10 | SecY33 |
| 7 | St10 | − |
| stamp Sequence Variant | Year | No. of CaPsol Strains in Vines with Different Symptom Severity | Goodness of Fit | |||
|---|---|---|---|---|---|---|
| Class 1 | Class 2 | Class 3 | Chi Square | P Value | ||
| common (St10) | 2017 | 7 | 5 | 10 | 2.411 | 0.299 |
| 2015-17 | 12 | 11 | 21 | 3.751 | 0.153 | |
| uncommon (St5, St18, St59) | 2017 | 1 | 6 | 14 | 12.286 | 0.002 |
| 2015-17 | 10 | 21 | 34 | 12.353 | 0.002 | |
© 2020 by the authors. Licensee MDPI, Basel, Switzerland. This article is an open access article distributed under the terms and conditions of the Creative Commons Attribution (CC BY) license (http://creativecommons.org/licenses/by/4.0/).
Share and Cite
Pierro, R.; Panattoni, A.; Passera, A.; Materazzi, A.; Luvisi, A.; Loni, A.; Ginanni, M.; Lucchi, A.; Bianco, P.A.; Quaglino, F. Proposal of A New Bois Noir Epidemiological Pattern Related to ‘Candidatus Phytoplasma Solani’ Strains Characterized by A Possible Moderate Virulence in Tuscany. Pathogens 2020, 9, 268. https://doi.org/10.3390/pathogens9040268
Pierro R, Panattoni A, Passera A, Materazzi A, Luvisi A, Loni A, Ginanni M, Lucchi A, Bianco PA, Quaglino F. Proposal of A New Bois Noir Epidemiological Pattern Related to ‘Candidatus Phytoplasma Solani’ Strains Characterized by A Possible Moderate Virulence in Tuscany. Pathogens. 2020; 9(4):268. https://doi.org/10.3390/pathogens9040268
Chicago/Turabian StylePierro, Roberto, Alessandra Panattoni, Alessandro Passera, Alberto Materazzi, Andrea Luvisi, Augusto Loni, Marco Ginanni, Andrea Lucchi, Piero Attilio Bianco, and Fabio Quaglino. 2020. "Proposal of A New Bois Noir Epidemiological Pattern Related to ‘Candidatus Phytoplasma Solani’ Strains Characterized by A Possible Moderate Virulence in Tuscany" Pathogens 9, no. 4: 268. https://doi.org/10.3390/pathogens9040268
APA StylePierro, R., Panattoni, A., Passera, A., Materazzi, A., Luvisi, A., Loni, A., Ginanni, M., Lucchi, A., Bianco, P. A., & Quaglino, F. (2020). Proposal of A New Bois Noir Epidemiological Pattern Related to ‘Candidatus Phytoplasma Solani’ Strains Characterized by A Possible Moderate Virulence in Tuscany. Pathogens, 9(4), 268. https://doi.org/10.3390/pathogens9040268

