Is More Really More? Evidence of a Curvilinear Relationship between the Extent of Telework and Employees’ Temporal Alignment of Work and Private Life in Germany
Abstract
1. Introduction
2. Theoretical Considerations and Previous Research
2.1. (The Extent of) Telework and the Temporal Alignment of Work and Private Life
2.2. Differences in the Association of Telework and the Temporal Alignment of Work and Private Life by Employees’ Parenthood Status
2.2.1. Exploring the Role of the Extent of Telework for Mothers and Women without Children
2.2.2. Exploring the Role of the Extent of Telework for Fathers and Men without Children
3. Materials and Methods
3.1. Data
3.2. Measures
3.2.1. Temporal Alignment of Work and Private Life
3.2.2. Telework
3.2.3. Parenthood Status and Gender
3.2.4. Control Variables
3.3. Analytical Approach
3.4. Sample Description
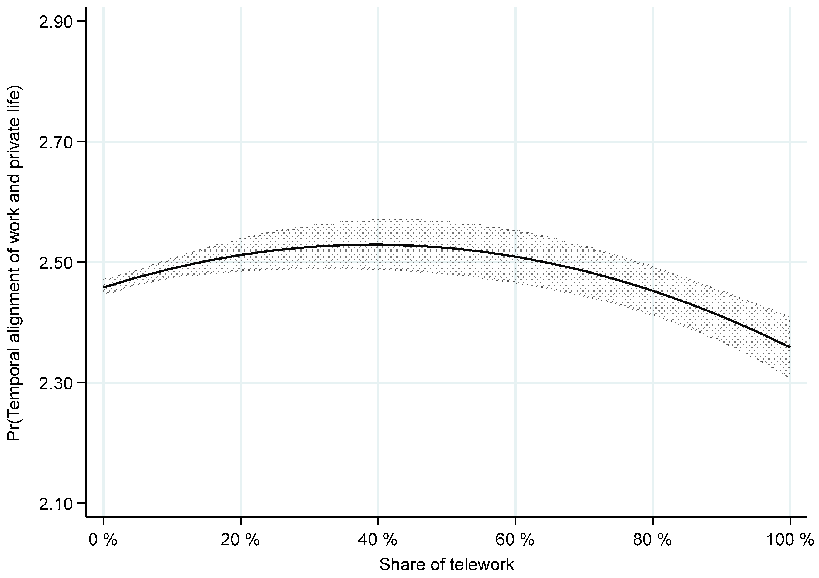
4. Results
5. Discussion
6. Conclusions
Supplementary Materials
Author Contributions
Funding
Institutional Review Board Statement
Informed Consent Statement
Data Availability Statement
Conflicts of Interest
| 1 | It can be argued that younger children (e.g., preschool age) are even more care-intensive. However, due to this high intensity of care, fathers and especially mothers of these very young children might be a very selective group in the labor market that already has adapted working lives and career aspirations to private requirements by choosing, e.g., working arrangements that offer a high level of flexibility and autonomy. Thus, in order to avoid possible biases due to strong selection, we decided to investigate the moderating role of children up to the age of 12 years. Additional analyses including fathers and mothers with children up to age 6 revealed that regression results do not markedly differ from our main results in Table 2 (analyses are available upon request). |
| 2 | The OLS estimates in this article were also compared with Ordered Logit models, which generated similar results. |
References
- Abendroth, Anja-Kristin, and Mareike Reimann. 2018. Telework and work–Family conflict across workplaces: Investigating the implications of work–Family-supportive and high-demand workplace cultures. In the Work-Family Interface: Spillover, Complications, and Challenges. Edited by Sampson L. Blair and Josip Obradović. Bingley: Emerald Publishing Limited, pp. 323–48. [Google Scholar] [CrossRef]
- Acker, Joan. 1990. Hierarchies, Jobs, Bodies: A Theory of Gendered Organizations. Gender & Society 4: 139–58. [Google Scholar] [CrossRef]
- Alfanza, Ma Theresa. 2021. Telecommuting Intensity in the Context of COVID-19 Pandemic: Job Performance and Work-Life Balance. Economics and Business 35: 107–16. [Google Scholar] [CrossRef]
- Allen, Tammy D., Timothy D. Golden, and Kristen M. Shockley. 2015. How Effective Is Telecommuting? Assessing the Status of Our Scientific Findings. Psychological Science in the Public Interest 16: 40–68. [Google Scholar] [CrossRef] [PubMed]
- Ashforth, Blake E., Glen E. Kreiner, and Mel Fugate. 2000. All in A Day’s Work: Boundaries and Micro Role Transitions. Academy of Management Review 25: 472–91. [Google Scholar] [CrossRef]
- Backhaus, Nils, Anne Wöhrmann, and Anita Tisch. 2020. BAuA-Arbeitszeitbefragung. Telearbeit in Deutschland. In Baua: Bericht kompakt. Dortmund: Bundesanstalt für Arbeitsschutz und Arbeitsmedizin. [Google Scholar] [CrossRef]
- Badawy, Philip J., and Scott Schieman. 2021. Controlling or Channeling Demands? How Schedule Control Influences the Link between Job Pressure and the Work-Family Interface. Work and Occupations 48: 320–52. [Google Scholar] [CrossRef]
- Barth, Alice, and Miriam Trübner. 2018. Structural stability, quantitative change: A latent class analysis approach towards gender role attitudes in Germany. Social Science Research 72: 183–93. [Google Scholar] [CrossRef] [PubMed]
- Blair-Loy, Mary. 2003. Competing Devotions: Career and Family among Women Executives. Cambridge: Harvard University Press. [Google Scholar]
- Carlson, Daniel L., Skye McPherson, and Richard J. Petts. 2024. Remote Work, Gender Ideologies, and Fathers’ Participation in Childcare during the COVID-19 Pandemic. Social Sciences 13: 166. [Google Scholar] [CrossRef]
- Chung, Heejung. 2020. Gender, Flexibility Stigma and the Perceived Negative Consequences of Flexible Working in the UK. Social Indicators Research 151: 521–45. [Google Scholar] [CrossRef]
- Chung, Heejung, and Cara Booker. 2022. Flexible Working and the Division of Housework and Childcare: Examining Divisions across Arrangement and Occupational Lines. Work, Employment and Society 37: 236–56. [Google Scholar] [CrossRef]
- Davies, Andrea R., and Brenda D. Frink. 2014. The origins of the ideal worker: The separation of work and home in the United States from the market revolution to 1950. Work and Occupations 41: 18–39. [Google Scholar] [CrossRef]
- Destatis. 2021. Three in Four Mothers in Germany Were in Employment in 2019. Available online: https://www.destatis.de/EN/Press/2021/03/PE21_N017_13.html (accessed on 29 April 2024).
- Dierdorff, Erich C., and J. Kemp Ellington. 2008. It’s the Nature of the Work: Examining Behavior-Based Sources of Work-Family Conflict Across Occupations. Journal of Applied Psychology 93: 883–92. [Google Scholar] [CrossRef] [PubMed]
- Elwert, Felix, and Christopher Winship. 2014. Endogenous Selection Bias: The Problem of Conditioning on a Collider Variable. Annual Review of Sociology 40: 31–53. [Google Scholar] [CrossRef] [PubMed]
- Entgelmeier, Ines. 2022. Arbeiten von zuhause und Entgrenzung: Eine Frage betrieblicher Gestaltung? Der Zusammenhang zwischen betrieblich vereinbartem und nicht vereinbartem Arbeiten von zuhause und einem belastungsbasierten Work-Home Konflikt nach Geschlecht. Sozialpolitik.ch 2: 1–26. [Google Scholar] [CrossRef]
- Fan, Wen, and Phyllis Moen. 2024. The Shifting Stress of Working Parents: An Examination of Dual Pandemic Disruptions—Remote Work and Remote Schooling. Social Sciences 13: 36. [Google Scholar] [CrossRef]
- Frodermann, Corinna, Philipp Grunau, Georg-Christoph Haas, and Dana Müller. 2021. Homeoffice in Zeiten von Corona: Nutzung, Hindernisse und Zukunftswünsche. IAB-Kurzbericht 5. Nürnberg: Institut für Arbeitsmarkt- und Berufsforschung. [Google Scholar]
- Gajendran, Ravi S., and David A. Harrison. 2007. The good, the bad, and the unknown about telecommuting: Meta-analysis of psychological mediators and individual consequences. Journal of Applied Psychology 92: 1524–41. [Google Scholar] [CrossRef]
- Glavin, Paul, and Scott Schiemann. 2012. Work–Family Role Blurring and Work–Family Conflict: The Moderating Influence of Job Resources and Job Demands. Work and Occupations 39: 71–98. [Google Scholar] [CrossRef]
- Golden, Timothy D. 2006. The role of relationships in understanding telecommuter satisfaction. Journal of Organizational Behavior 27: 319–40. [Google Scholar] [CrossRef]
- Golden, Timothy D., and John F. Veiga. 2005. The Impact of Extent of Telecommuting on Job Satisfaction: Resolving Inconsistent Findings. Journal of Management 31: 301–18. [Google Scholar] [CrossRef]
- Golden, Timothy D., John F. Veiga, and Zeki Simsek. 2006. Telecommuting’s Differential Impact on Work-Family Conflict: Is There No Place Like Home? Journal of Applied Psychology 91: 1340–50. [Google Scholar] [CrossRef]
- Halford, Susan. 2006. Collapsing the Boundaries? Fatherhood, Organization and Home-Working. Gender, Work & Organization 13: 383–402. [Google Scholar] [CrossRef]
- Hall, Anja, Lena Hünefeld, and Daniela Rohrbach-Schmidt. 2020. BIBB/BAuA Employment Survey of the Working Population on Qualification and Working Conditions in Germany 2018. SUF_1.0. Bonn: Federal Institute for Vocational Education and Training. [Google Scholar]
- Hilbrecht, Margo, Susan M. Shaw, Laura C. Johnson, and Jean Andrey. 2008. ‘I’m Home for the Kids’: Contradictory Implications for Work-Life Balance of Teleworking Mothers. Gender, Work & Organization 15: 454–76. [Google Scholar] [CrossRef]
- Hipp, Lena, and Mareike Bünning. 2021. Parenthood as a driver of increased gender inequality during COVID-19? Exploratory Evidence from Germany, European Societies 23: 658–73. [Google Scholar] [CrossRef]
- Huntington-Klein, Nick. 2022. The Effect: An Introduction to Research Design and Causality. Boca Raton, London and New York: CRC Press. [Google Scholar]
- Jaccard, James, and Choi K. Wan. 1996. LISREL Approaches to Interaction Effects in Multiple Regression. Thousand Oaks: SAGE Publications, Inc. [Google Scholar]
- Kelliher, Clare, and Deirdre Anderson. 2010. Doing more with less? Flexible working practices and the intensification of work. Human Relations 63: 83–106. [Google Scholar] [CrossRef]
- Kelly, Erin L., Phyllis Moen, and Eric Tranby. 2011. Changing Workplaces to Reduce Work-Family Conflict: Schedule Control in a White-Collar Organization. American Sociological Review 76: 265–90. [Google Scholar] [CrossRef]
- Kim, Jaeseung, Julia R. Henly, Lonnie M. Golden, and Susan J. Lambert. 2020. Workplace Flexibility and Worker Well-Being by Gender. Journal of Marriage and Family 82: 892–910. [Google Scholar] [CrossRef]
- Kossek, Ellen E., Brenda A. Lautsch, and Susan C. Eaton. 2006. Telecommuting, control, and boundary management: Correlates of policy use and practice, job control, and work–Family effectiveness. Journal of Vocational Behavior 68: 347–67. [Google Scholar] [CrossRef]
- Lambert, Anne, Marine Quennehe, and Mariona Segú. 2023. Gender Differences in the association between nonstandard work schedule and work-family conflict: A mixed method analysis in France. Journal of Family Research 35: 553–73. [Google Scholar] [CrossRef]
- Laß, Inga, and Marc Wooden. 2022. Working from Home and Work–Family Conflict. Work, Employment and Society 37: 1–20. [Google Scholar] [CrossRef]
- Long, J. Scott, and Sarah A. Mustillo. 2021. Using Predictions and Marginal Effects to Compare Groups in Regression Models for Binary Outcomes. Sociological Methods & Research 50: 1284–320. [Google Scholar] [CrossRef]
- Lott, Yvonne, and Heejung Chung. 2016. Gender Discrepancies in the Outcomes of Schedule Control on Overtime Hours and Income in Germany. European Sociological Review 32: 752–65. [Google Scholar] [CrossRef]
- Maume, David J. 2008. Gender Differences in Providing Urgent Childcare among Dual-earner Parents. Social Forces 87: 273–97. [Google Scholar] [CrossRef]
- Mergener, Alexandra. 2020. Occupational Access to the Home Office. A Task-Based Approach to Explaining Unequal Opportunities in Home Office Access. Kölner Zeitschrift für Soziologie und Sozialpsychologie 72 Suppl. S1: 511–34. [Google Scholar] [CrossRef]
- Mergener, Alexandra, Ines Entgelmeier, and Timothy Rinke. 2023. Does Working from Home Improve the Temporal Alignment of Work and Private Life? Differences Between Telework and Informal Overtime at Home by Gender and Family Responsibilities. In Flexible Work and the Family. Contemporary Perspectives in Family Research. Edited by Anja Kristin Abendroth and Laura Lükemann. Leeds: Emerald Publishing Limited, vol. 21, pp. 129–57. [Google Scholar] [CrossRef]
- Messenger, Jon, Oscar Llave Vargas, Lutz Gschwind, Simon Boehmer, Greet Vermeylen, and Mathijn Wilkens. 2017. Working Anytime, Anywhere: The Effects on the World of Work. Luxembourg: Publications Office of the European Union. [Google Scholar]
- Mize, Trenton D. 2019. Best practices for estimating, interpreting, and presenting nonlinear interaction effects. Sociological Science 6: 81–117. [Google Scholar] [CrossRef]
- Munsch, Christin L., Cecilia L. Ridgeway, and Joan C. Williams. 2014. Pluralistic Ignorance and the Flexibility Bias: Understanding and Mitigating Flextime and Flexplace Bias at Work. Work and Occupations 41: 40–62. [Google Scholar] [CrossRef]
- Müller, Grit, and Marcel Lück. 2019. Schichtarbeit, die Vereinbarkeit von Arbeit und Privatleben und psychosomatische Beschwerden—Eine Mediationsanalyse auf Basis der BIBB/BAuA-Erwerbstätigenbefragung 2018. Zeitschrift für Arbeitswissenschaft 73: 439–52. [Google Scholar] [CrossRef]
- Nagata, Tomohisa, Masako Nagata, Kazunori Ikegami, Ayako Hino, Seiichiro Tateishi, Mayumi Tsuji, Shinya Matsuda, Yoshihisa Fujino, and Koji Mori. 2021. Intensity of Home-Based Telework and Work Engagement During the COVID-19 Pandemic. Journal of Occupational and Environmental Medicine 63: 907–12. [Google Scholar] [CrossRef] [PubMed]
- Nilles, Jack M. 1988. Traffic reduction by telecommuting: A status review and selected bibliography. Transportation Research Part A: General 22: 301–17. [Google Scholar] [CrossRef]
- Ojala, Satu, Jouku Nätti, and Timo Anttila. 2014. Informal overtime at home instead of telework: Increase in negative work-family interface. International Journal of Sociology and Social Policy 34: 69–87. [Google Scholar] [CrossRef]
- Powell, Abigail, and Lyn Craig. 2015. Gender differences in working at home and time use patterns: Evidence from Australia. Work, Employment and Society 29: 571–89. [Google Scholar] [CrossRef]
- Reimann, Mareike, Florian Schulz, Charlotte K. Marx, and Laura Lükemann. 2022. The family side of work-family conflict: A literature review. Journal of Family Research 34: 1010–32. [Google Scholar] [CrossRef]
- Ridgeway, Cecilia L., and Shelley J. Correll. 2004. Motherhood as a Status Characteristic. Journal of Social Issues 60: 683–700. [Google Scholar] [CrossRef]
- Russell, Helen, Philip J. O’Connell, and Frances McGinnity. 2009. The Impact of Flexible Working Arrangements on Work-life Conflict and Work Pressure in Ireland. Gender, Work & Organization 16: 73–97. [Google Scholar] [CrossRef]
- Sarbu, Miruna. 2018. The role of telecommuting for work-family conflict among German employees. Research in Transportation Economics 70: 37–51. [Google Scholar] [CrossRef]
- Schulz, Florian, and Mareike Reimann. 2022. Parents’ experiences of work-family conflict: Does it matter if coworkers have childeren? Journal of Family Research 34: 1056–71. [Google Scholar] [CrossRef]
- Shockley, Kristen M., and Timothy D. Allen. 2012. Motives for flexible work arrangement use. Community, Work & Family 15: 217–31. [Google Scholar] [CrossRef]
- Steinbach, Anja, and Florian Schulz. 2022. Stability and Change in German Parents’ Childcare Patterns Across Two Decades. Social Politics: International Studies in Gender, State & Society 29: 428–45. [Google Scholar] [CrossRef]
- Studer, Raphael, and Rainer Winkelmann. 2011. Specification and Estimation of Rating Scale Models—With an Application to the Determinants of Life Satisfaction. SOEP Papers on Multidisciplinary Panel Data Research, 372. [Google Scholar] [CrossRef]
- Sullivan, Cath, and Janet Smithson. 2007. Perspectives of homeworkers and their partners on working flexibility and gender equity. International Journal of Human Resource Management 18: 448–61. [Google Scholar] [CrossRef]
- Trappe, Heike, Matthias Pollmann-Schult, and Christan Schmitt. 2015. The Rise and Decline of the Male Breadwinner Model: Institutional Underpinnings and Future Expectations. European Sociological Review 31: 230–42. [Google Scholar] [CrossRef]
- Vander Elst, Tinne, Ronny Verhoogen, Maarten Sercu, Anja Van den Broeck, Elfi Baillien, and Lode Godderis. 2017. Not Extent of Telecommuting, But Job Characteristics as Proximal Predictors of Work-Related Well-Being. Journal of Occupational and Environmental Medicine 59: 180–86. [Google Scholar] [CrossRef]
- Vilhelmson, Bertil, and Eva Thulin. 2016. Who and where are the flexible workers? Exploring the current diffusion of telework in Sweden. New Technology, Work and Employment 31: 77–96. [Google Scholar] [CrossRef]
- Virick, Meghna, Nancy DaSilva, and Kristi Arrington. 2010. Moderators of the curvilinear relation between extent of telecommuting and job and life satisfaction: The role of performance outcome orientation and worker type. Human Relations 63: 137–54. [Google Scholar] [CrossRef]
- Zoch, Gundula, and Stefanie Heyne. 2023. The evolution of family policies and couples’ housework division after childbirth in Germany, 1994–2019. Journal of Marriage and Family 85: 1067–86. [Google Scholar] [CrossRef]



| Total (N = 14,999) | Women | Men | |||
|---|---|---|---|---|---|
| No Young Children (N = 6012) | Young Children (N = 1531) | No Young Children (N = 5797) | Young Children (N = 1659) | ||
| Telework | 26% | 23% | 31% | 26% | 34% |
| Extent of telework + | 0.38 (0.38) | 0.44 (0.40) | 0.41 (0.38) | 0.34 (0.36) | 0.30 (0.34) |
| In categories: | |||||
| 1–20% | 49% | 43% | 42% | 54% | 56% |
| 21–40% | 17% | 17% | 20% | 16% | 19% |
| 41–80% | 10% | 9% | 12% | 10% | 8% |
| 81–100% | 24% | 31% | 26% | 20% | 17% |
| Temporal alignment of work and private life | 2.46 (0.81) | 2.46 (0.80) | 2.61 (0.70) | 2.42 (0.84) | 2.47 (0.80) |
| Model 1 | Model 2 | Model 3a (Women) | Model 3b (Men) | |
|---|---|---|---|---|
| Telework (Ref. no telework) | 0.035 * | |||
| (0.015) | ||||
| Extent of telework (linear) | 0.362 *** | 0.242 | 0.456 ** | |
| (0.096) | (0.169) | (0.152) | ||
| Extent of telework (squared) | −0.462 *** | −0.418 * | −0.464 ** | |
| (0.100) | (0.175) | (0.160) | ||
| Women (Ref. men) | −0.051 ** | −0.051 ** | _ | _ |
| (0.015) | (0.015) | |||
| Children < 12 years (Ref. no children < 12 years) | 0.016 | 0.017 | 0.017 | 0.012 |
| (0.016) | (0.016) | (0.026) | (0.027) | |
| Interactions | ||||
| Extent of telework (linear) # Children < 12 years | _ | _ | −0.055 | 0199 |
| (0.289) | (0.273) | |||
| Extent of telework (squared) # Children < 12 years | _ | _ | 0.114 | −0.213 |
| Constant | 2.586 (0.124) | 2.576 (0.124) | 2.554 (0.319) | 2.537 (0.142) |
| R2 | 0.141 | 0.142 | 0.145 | 0.145 |
| Observations | 14,999 | 14,999 | 7543 | 7456 |
Disclaimer/Publisher’s Note: The statements, opinions and data contained in all publications are solely those of the individual author(s) and contributor(s) and not of MDPI and/or the editor(s). MDPI and/or the editor(s) disclaim responsibility for any injury to people or property resulting from any ideas, methods, instructions or products referred to in the content. |
© 2024 by the authors. Licensee MDPI, Basel, Switzerland. This article is an open access article distributed under the terms and conditions of the Creative Commons Attribution (CC BY) license (https://creativecommons.org/licenses/by/4.0/).
Share and Cite
Mergener, A.; Rinke, T.; Entgelmeier, I. Is More Really More? Evidence of a Curvilinear Relationship between the Extent of Telework and Employees’ Temporal Alignment of Work and Private Life in Germany. Soc. Sci. 2024, 13, 508. https://doi.org/10.3390/socsci13100508
Mergener A, Rinke T, Entgelmeier I. Is More Really More? Evidence of a Curvilinear Relationship between the Extent of Telework and Employees’ Temporal Alignment of Work and Private Life in Germany. Social Sciences. 2024; 13(10):508. https://doi.org/10.3390/socsci13100508
Chicago/Turabian StyleMergener, Alexandra, Timothy Rinke, and Ines Entgelmeier. 2024. "Is More Really More? Evidence of a Curvilinear Relationship between the Extent of Telework and Employees’ Temporal Alignment of Work and Private Life in Germany" Social Sciences 13, no. 10: 508. https://doi.org/10.3390/socsci13100508
APA StyleMergener, A., Rinke, T., & Entgelmeier, I. (2024). Is More Really More? Evidence of a Curvilinear Relationship between the Extent of Telework and Employees’ Temporal Alignment of Work and Private Life in Germany. Social Sciences, 13(10), 508. https://doi.org/10.3390/socsci13100508

