Experimental Study on Axial Compressive Behavior of the BFRP-Confined Timber Columns with and Without Knots
Abstract
1. Introduction
2. Materials and Methods
2.1. Material Properties
2.2. Experimental Specimens
2.3. Test Setup and Instrumentations
3. Results and Discussions
3.1. Failure Mode
3.2. Axial Load–Deformation Relationship
3.3. Ultimate Load Capacity and Ultimate Deformation
3.4. Timber Material Utilization Rate
3.5. Axial Stiffness and Ductility
| Specimen ID | , kN/mm | , kN/mm | 1, % | 2, % | ||
|---|---|---|---|---|---|---|
| DF-URTC0-1 | 145.44 | 156.25 | - | 1.63 | 1.75 | - |
| DF-URTC0-2 | 147.88 | 1.43 | ||||
| DF-URTC0-3 | 145.42 | 2.20 | ||||
| DF-BRTC1-1 | 187.94 | 176.73 | 20.8 | 1.46 | 1.93 | 10.3 |
| DF-BRTC1-2 | 185.06 | 2.41 | ||||
| DF-BRTC1-3 | 157.19 | - | ||||
| DF-BRTC2-1 | 187.15 | 200.99 | 37.4 | 2.46 | 2.03 | 16.0 |
| DF-BRTC2-2 | 224.96 | 1.70 | ||||
| DF-BRTC2-3 | 190.87 | 1.93 | ||||
| DF-BRTC3-1 | 175.47 | 182.95 | 28.1 | 1.68 | 2.18 | 24.6 |
| DF-BRTC3-2 | 214.55 | 3.71 | ||||
| DF-BRTC3-3 | 158.84 | 1.15 | ||||
| CP-URTC0-1 | 150.22 | 164.42 | - | 1.15 | 1.17 | - |
| CP-URTC0-2 | 180.36 | 1.12 | ||||
| CP-URTC0-3 | 162.67 | 1.22 | ||||
| CP-BRTC1-1 | 214.73 | 189.60 | 17.2 | 1.22 | 1.48 | 26.5 |
| CP-BRTC1-2 | 155.09 | 1.81 | ||||
| CP-BRTC1-3 | 198.98 | 1.41 | ||||
| CP-BRTC2-1 | 136.64 | 154.54 | -6.8 | 2.00 | 1.55 | 32.5 |
| CP-BRTC2-2 | 156.31 | 1.34 | ||||
| CP-BRTC2-3 | 170.67 | 1.32 | ||||
| CP-BRTC3-1 | 154.41 | 188.77 | 16.6 | 3.48 | 2.04 | 74.4 |
| CP-BRTC3-2 | 203.40 | 1.07 | ||||
| CP-BRTC3-3 | 208.49 | 1.57 |

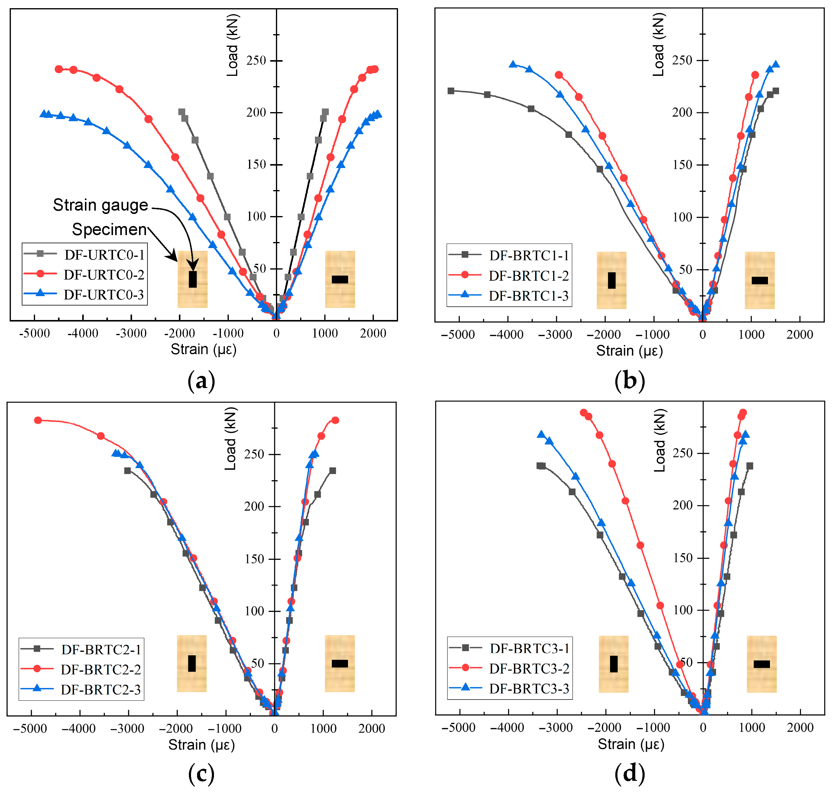
3.6. Load–Strain Relationship
4. Prediction Models of Compressive Strength
5. Conclusions
- Wrapping the timber column will change the failure mode of the timber column. Specifically, for the knot-free ones, the failure changed from timber crushing to the combined timber crushing and FRP rupture when one layer of BFRP was used. If two or more layers of BFRP were used, timber rupture in shear failure could be observed. For timber columns with knots, failure always initiated in regions around the knots. When three layers of BFRP were used, timber crushing failure was prevented, and only BFRP rupture occurred.
- Overall, an increasing number of BFRP layers can increase both the load-carrying capacity and ultimate deformation when one to three layers of BFRP are used. Compared to their unreinforced counterparts, the load-carrying capacity of BFRP-wrapped Douglas fir (knot-free) and camphor pine (with knots) specimens increased by up to 29.4% and 24.0%, respectively. However, the presence of knots resulted in a significant variance in the load capacity. Meanwhile, the ultimate deformation improved by as much as 90.7% for specimens with knots and 68.3% for those without.
- BFRP wrapping can effectively enhance the material utilization rate and ductility of the timber columns, particularly for specimens containing knots, while for the knot-free timber columns, a more pronounced improvement in the axial stiffness was recorded. These results demonstrate that BFRP reinforcement can serve as an effective method for improving the structural performance of timber columns with and without natural knots.
- Both linear and power functions provided reasonably accurate predictions for the tested columns in this study, with most of the predictive errors between the calculated and test results being within 10%.
- It should be noted that this study focuses on the effect of the timber knots on the behavior of short timber columns. More research on the quantitative effect of the knot type, size, and position, along with the column height, the behavior of slender timber columns with knots, and the knot type, will be conducted in the future.
Author Contributions
Funding
Data Availability Statement
Conflicts of Interest
Abbreviations
| FRP | Fiber-reinforced polymer |
| TFST | Timber-filled steel tube |
| LVDT | Linear variable displacement transducer |
| COV | Coefficient of variation |
References
- Gu, C.; Gu, H.; Gong, M.; Blackadar, J.; Zahabi, N. Comparison of using two LCA software programs to assess the environmental impacts of two institutional buildings. J. Sustain. Struct. 2024, 4, 1. [Google Scholar]
- Li, L.; Dong, J.; Wang, Q.; Yuan, S. Failure mechanism of timber column confined with FRP under the effect of fracture texture. Ind. Constr. 2014, 44, 25–29. [Google Scholar]
- Khaled, S.; András, L. Strengthening Timber Structural Members with CFRP and GFRP: A State-of-the-Art Review. Polymers 2022, 14, 2381. [Google Scholar] [CrossRef]
- Mirmiran, A.; Shahawy, M. Dilation characteristics of confined concrete. Mech. Cohesive-Frict. Mater. Int. J. Exp. Model. Comput. Mater. Struct. 1997, 2, 237–249. [Google Scholar]
- Mirmiran, A.; Shahawy, M.; Samaan, M.; Echary, H.E.; Mastrapa, J.C.; Pico, O. Effect of column parameters on FRP-confined concrete. J. Compos. Constr. 1998, 2, 175–185. [Google Scholar] [CrossRef]
- Samaan, M.; Mirmiran, A.; Shahawy, M. Model of concrete confined by fiber composites. J. Struct. Eng. 1998, 124, 1025–1031. [Google Scholar] [CrossRef]
- Shahawy, M.; Mirmiran, A.; Beitelman, T. Tests and modeling of carbon-wrapped concrete columns. Compos. Part B Eng. 2000, 31, 471–480. [Google Scholar] [CrossRef]
- Lai, B.-L.; Li, Y.-R.; Becque, J.; Zheng, Y.-Y.; Fan, S.-G. Axial compressive behavior of circular stainless steel tube confined UHPC stub columns under monotonic and cyclic loading. Thin-Walled Struct. 2025, 208, 112830. [Google Scholar]
- Lai, B.-L.; Li, Y.-R.; Jin, L.; Fan, S.-G. Experimental study on the compressive behavior of UHPC filled stainless steel tubes subjected to monotonic and cyclic loading. Constr. Build. Mater. 2024, 449, 138301. [Google Scholar] [CrossRef]
- Cascardi, A.; Verre, S.; Ombres, L.; Aiello, M.A. Carbon Fabric Reinforced Cementitious Mortar confinement of concrete cylinders: The matrix effect for multi-ply wrapping. Compos. Struct. 2024, 332, 117919. [Google Scholar] [CrossRef]
- Chang, W.-S. Repair and reinforcement of timber columns and shear walls—A review. Constr. Build. Mater. 2015, 97, 14–24. [Google Scholar]
- Gezer, H.; Aydemir, B. The effect of the wrapped carbon fiber reinforced polymer material on fir and pine woods. Mater. Des. 2010, 31, 3564–3567. [Google Scholar] [CrossRef]
- Plevris, N.; Triantafillou, T.C. FRP-reinforced wood as structural material. J. Mater. Civ. Eng. 1992, 4, 300–317. [Google Scholar] [CrossRef]
- Najm, H.; Secaras, J.; Balaguru, P. Compression tests of circular timber column confined with carbon fibers using inorganic matrix. J. Mater. Civ. Eng. 2007, 19, 198–204. [Google Scholar] [CrossRef]
- Zhang, W.; Song, X.; Gu, X.; Tang, H. Compressive behavior of longitudinally cracked timber columns retrofitted using FRP sheets. J. Struct. Eng. 2012, 138, 90–98. [Google Scholar] [CrossRef]
- Cai, Y.J.; Zhang, W.; Zhang, W.P. Experimental study on eccentric compression behavior of timber columns with longitudinal cracks strengthened by CFRP sheets. Adv. Mater. Res. 2012, 446, 3132–3136. [Google Scholar]
- O’Callaghan, R.; Lacroix, D.; Kim, K. Experimental investigation of the compressive behaviour of GFRP wrapped spruce-pine-fir square timber columns. Eng. Struct. 2022, 252, 113618. [Google Scholar] [CrossRef]
- Wang, L.; Shi, F.; Zhao, M.; Wang, B.J.; Li, H.; Zou, X.; Du, H. Axial compressive behavior of FRP-confined laminated timber columns. Arch. Civ. Mech. Eng. 2023, 24, 28. [Google Scholar] [CrossRef]
- Cui, W.; Fernando, D.; Heitzmann, M.; Gattas, J.M. Manufacture and structural performance of modular hybrid FRP-timber thin-walled columns. Compos. Struct. 2020, 260, 113506. [Google Scholar] [CrossRef]
- Taheri, F.; Nagaraj, M.; Cheraghi, N. FRP-reinforced glulaminated columns. FRP Int. 2005, 2, 10–12. [Google Scholar]
- Li, L.-J.; Zeng, L.; Xu, S.-D.; Guo, Y.-C. Experimental study on axial compressive behavior of hybrid FRP confined concrete columns. Comput. Concr. Int. J. 2017, 19, 395–404. [Google Scholar]
- Dong, J.; Jia, P.; Yuan, S.; Wang, Q. Compressive behaviours of square timber columns reinforced by partial wrapping of FRP sheets. Mater. Res. Innov. 2015, 19, S1-465–S1-468. [Google Scholar] [CrossRef]
- de la Rosa, P.; González, M.d.l.N.; Prieto, M.I.; Gómez, E. Compressive behavior of pieces of wood reinforced with fabrics composed of carbon fiber and basalt fiber. Appl. Sci. 2021, 11, 2460. [Google Scholar] [CrossRef]
- Kim, K.-H.E.; Andrawes, B. Compression behavior of FRP strengthened bridge timber piles subjected to accelerated aging. Constr. Build. Mater. 2016, 124, 177–185. [Google Scholar] [CrossRef]
- Qiao, Q.; Yang, Z.; Mou, B. Experimental study on axial compressive behavior of CFRP confined square timber filled steel tube stub columns. Structures 2020, 24, 823–834. [Google Scholar] [CrossRef]
- GB/T 1927.11-2021; Test Methods for Physical and Mechanical Properties of Small Clear Wood Specimens—Part 11: Determination of Ultimate Stress in Compression Parallel to Grain. State Administration for Market Regulation, Standardization Administration of China: Beijing, China, 2021.
- GB/T 15777-2017; Method for Determination of Modulus of Elasticity in Compression Parallel to Grain of Wood. General Administration of Quality Supervision, Inspection and Quarantine of the People’s Republic of China, Standardiza-tion Administration of China: Beijing, China, 2017.
- GB/T 1927.4-2021; Test Methods for Physical and Mechanical Properties of Small Clear Wood Specimens—Part 4: Determination of Moisture Content. State Administration for Market Regulation, Standardization Administration of China: Beijing, China, 2021.
- ASTM D3039/D3039M−17; Standard Test Method for Tensile Properties of Polymer Matrix Composite Materials. ASTM International: West Conshohocken, PA, USA, 2017.
- ASTM D198−22a; Standard Test Methods of Static Tests of Lumber in Structural Sizes. ASTM International: West Conshohocken, PA, USA, 2022.
- GB/T 50329-2022; Standard for Test Methods of Timber Structures. Ministry of Housing and Urban-Rural Development of the People’s Republic of China, State Administration for Market Regulation: Beijing, China, 2022.
- Xu, J.; Jiang, S.; Ge, Z. Study on axial compression performance of palm-tenon spliced timber columns reinforced with BFRP sheets. J. Build. Struct. 2024, 45, 197–207. [Google Scholar]
- Park, R. Evaluation of ductility of structures and structural assemblages from laboratory testing. Bull. New Zealand Soc. Earthq. Eng. 1989, 22, 155–166. [Google Scholar] [CrossRef]
- Richart, F.E.; Brandtzæg, A.; Brown, R.L. The Failure of Plain and Spirally Reinforced Concrete in Compression; University of Illinois: Champaign, IL, USA, 1929. [Google Scholar]
- Toutanji, H. Stress-strain characteristics of concrete columns externally confined with advanced fiber composite sheets. Mater. J. 1999, 96, 397–404. [Google Scholar]
- Cai, S.; Jiao, Z. Behavior and ultimate strength of short concrete-filled steel tubular columns. J. Build. Struct. 1984, 5, 13–29. [Google Scholar]















| Timber Type | Moisture Content, % | Compressive Strength, MPa | Compressive Elastic Modulus, GPa |
|---|---|---|---|
| Douglas fir | 10.28 | 50.70 | 12.36 |
| Camphor pine | 10.12 | 45.60 | 11.18 |
| Material | Tensile Strength, MPa | Tensile Elastic Modulus, GPa | Ultimate Elongation, % | Thickness, mm | |
|---|---|---|---|---|---|
| BFRP | 378.00 | 20.10 | 18,588 | 1.61 | 0.40 |
| Material | Tensile Strength, MPa | Tensile Elastic Modulus, GPa | Compressive Strength, MPa | Ultimate Elongation, % | |
|---|---|---|---|---|---|
| Epoxy | 60.90 | 3.70 | 90.8 | 89.5 | 2.00 |
| Timber Type | Specimen ID | Diameter, mm | Height, mm | BFRP Layer |
|---|---|---|---|---|
| Douglas fir | DF-URTC0 | 100 | 300 | 0 |
| DF-BRTC1 | 100 | 300 | 1 | |
| DF-BRTC2 | 100 | 300 | 2 | |
| DF-BRTC3 | 100 | 300 | 3 | |
| Camphor pine | CP-URTC0 | 150 | 450 | 0 |
| CP-BRTC1 | 150 | 450 | 1 | |
| CP-BRTC2 | 150 | 450 | 2 | |
| CP-BRTC3 | 150 | 450 | 3 |
| Specimen ID | , kN | , kN (COV, %) | , % | , mm | , mm (COV, %) | , % | Column Nominal Strength f, MPa | Timber Compressive Strength, MPa | Average Material Utilization Rate, % |
|---|---|---|---|---|---|---|---|---|---|
| DF-URTC0-1 | 200.9 | 213.6 (9.4) | - 1 | 7.23 | 5.90 (28.0) | - | 26.8 | 50.7 | 56.1 |
| DF-URTC0-2 | 241.9 | 3.57 | 32.0 | ||||||
| DF-URTC0-3 | 198.1 | 6.91 | 26.5 | ||||||
| DF-BRTC1-1 | 220.7 | 234.3 (4.4) | 9.7 | 3.85 | 5.40 (28.6) | -8.5 | 29.7 | 62.1 | |
| DF-BRTC1-2 | 236.4 | 6.94 | 31.8 | ||||||
| DF-BRTC1-3 | 245.7 | - | 32.9 | ||||||
| DF-BRTC2-1 | 234.5 | 255.3 (7.8) | 19.8 | 11.30 | 7.12 (41.6) | 20.7 | 31.4 | 68.2 | |
| DF-BRTC2-2 | 282.6 | 4.74 | 38.5 | ||||||
| DF-BRTC2-3 | 250.5 | 5.32 | 33.7 | ||||||
| DF-BRTC3-1 | 238.1 | 264.8 (7.9) | 24.0 | 8.94 | 9.93 (14.7) | 68.3 | 32.1 | 70.5 | |
| DF-BRTC3-2 | 289.0 | 8.86 | 39.4 | ||||||
| DF-BRTC3-3 | 267.4 | 12.00 | 35.7 | ||||||
| CP-URTC0-1 | 323.1 | 298.0 (8.3) | - | 7.09 | 4.39 (43.6) | - | 18.5 | 45.6 | 37.5 |
| CP-URTC0-2 | 306.8 | 3.02 | 17.8 | ||||||
| CP-URTC0-3 | 264.1 | 3.05 | 15.0 | ||||||
| CP-BRTC1-1 | 340.4 | 329.4 (15.8) | 10.5 | 3.22 | 5.92 (34.3) | 34.9 | 19.4 | 41.5 | |
| CP-BRTC1-2 | 260.7 | 8.11 | 14.9 | ||||||
| CP-BRTC1-3 | 387.0 | 6.42 | 22.4 | ||||||
| CP-BRTC2-1 | 254.4 | 336.2 (20.7) | 12.8 | 9.99 | 7.45 (25.3) | 69.7 | 14.5 | 42.4 | |
| CP-BRTC2-2 | 329.5 | 6.89 | 18.9 | ||||||
| CP-BRTC2-3 | 424.7 | 5.48 | 24.6 | ||||||
| CP-BRTC3-1 | 232.9 | 385.5 (28.6) | 29.4 | 12.33 | 8.37 (36.6) | 90.7 | 13.3 | 48.6 | |
| CP-BRTC3-2 | 435.0 | 5.78 | 24.7 | ||||||
| CP-BRTC3-3 | 488.7 | 6.28 | 28.4 |
Disclaimer/Publisher’s Note: The statements, opinions and data contained in all publications are solely those of the individual author(s) and contributor(s) and not of MDPI and/or the editor(s). MDPI and/or the editor(s) disclaim responsibility for any injury to people or property resulting from any ideas, methods, instructions or products referred to in the content. |
© 2026 by the authors. Licensee MDPI, Basel, Switzerland. This article is an open access article distributed under the terms and conditions of the Creative Commons Attribution (CC BY) license.
Share and Cite
Ou, Y.; Tang, C.; Yan, L.; Fan, Y.; Zhou, H. Experimental Study on Axial Compressive Behavior of the BFRP-Confined Timber Columns with and Without Knots. Buildings 2026, 16, 457. https://doi.org/10.3390/buildings16020457
Ou Y, Tang C, Yan L, Fan Y, Zhou H. Experimental Study on Axial Compressive Behavior of the BFRP-Confined Timber Columns with and Without Knots. Buildings. 2026; 16(2):457. https://doi.org/10.3390/buildings16020457
Chicago/Turabian StyleOu, Ya, Chenghu Tang, Le Yan, Yunlei Fan, and Hao Zhou. 2026. "Experimental Study on Axial Compressive Behavior of the BFRP-Confined Timber Columns with and Without Knots" Buildings 16, no. 2: 457. https://doi.org/10.3390/buildings16020457
APA StyleOu, Y., Tang, C., Yan, L., Fan, Y., & Zhou, H. (2026). Experimental Study on Axial Compressive Behavior of the BFRP-Confined Timber Columns with and Without Knots. Buildings, 16(2), 457. https://doi.org/10.3390/buildings16020457

