Micropore Structure Evolution and Macro-Micro Quantitative Analysis of Dredged Sludge Solidified with Ground Granulated Blast Furnace Slag, Carbide Slag, and Titanium Gypsum
Abstract
1. Introduction
2. Materials and Methods
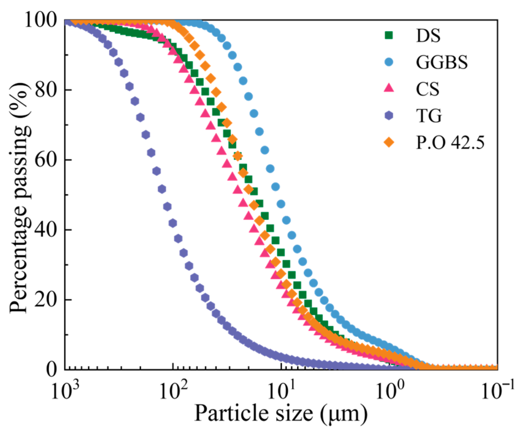
2.1. Materials
2.2. Experimental Program
2.3. Specimen Preparation and Testing Methods
3. Results and Discussions
3.1. Unconfined Compressive Strength
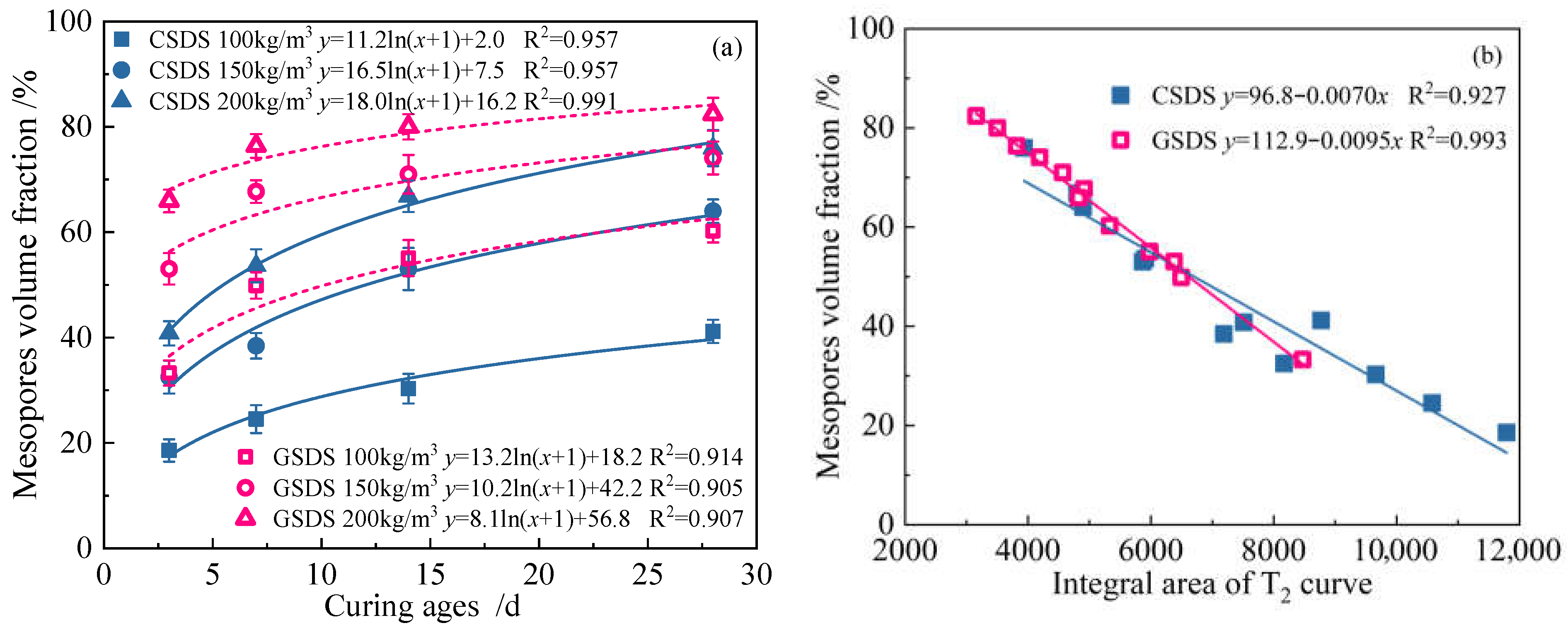
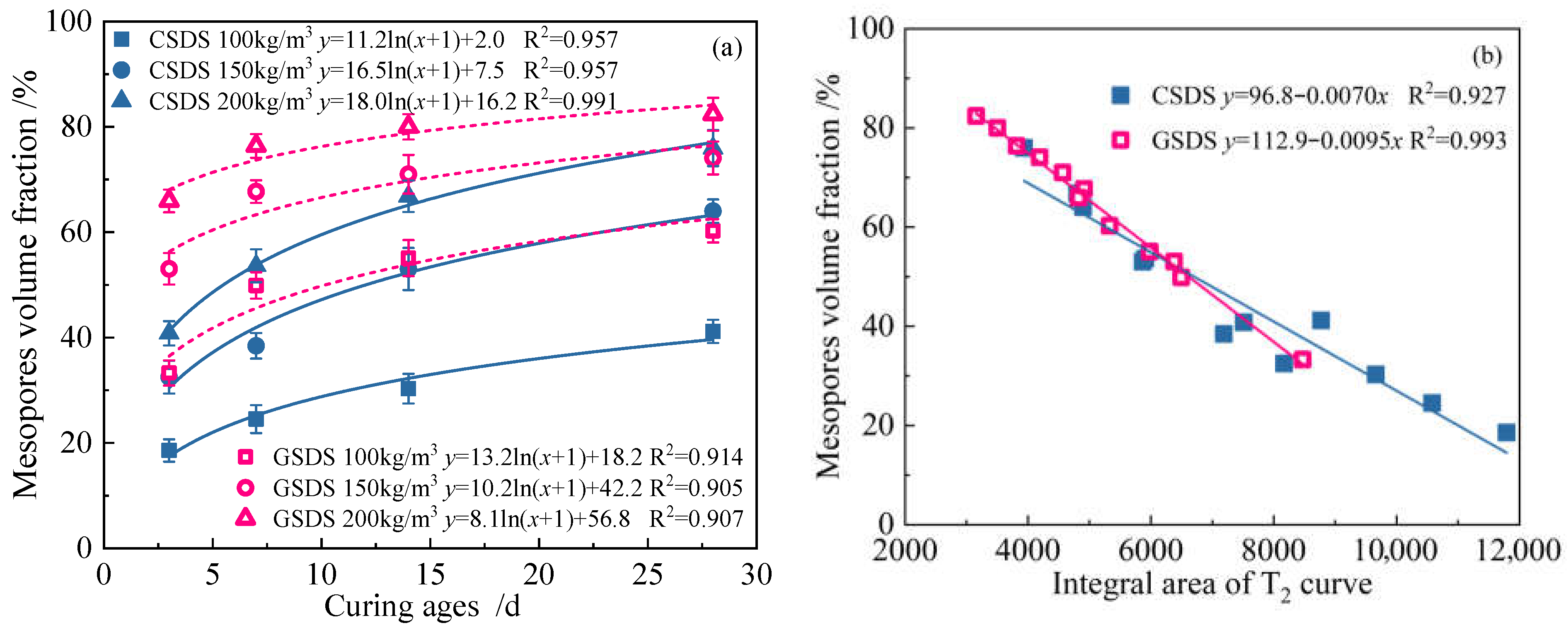
3.2. Pore Structure Analysis
3.2.1. T2 Curves
3.2.2. Pore Size Distribution
3.2.3. Relationship Between UCS and Micropore Structure
3.3. Direct Shear Parameters of GSDS
3.4. Mechanism Analysis
3.4.1. SEM-EDS Analysis
3.4.2. Strength Development Mechanism of GSDS
4. Conclusions
- For both CSDS and GSDS, UCS and mesopore volume fraction exhibit logarithmic growth with increasing curing age. In contrast, the total pore volume and the most probable pore size decrease following a power-law relationship. The decline in pore volume primarily results from the transformation of macropores into mesopores, while the micropore volume fraction remains relatively stable at approximately 3~5%, showing minimal variation with changes in curing age and curing agent content. Compared to CSDS, the UCS of GSDS is approximately 5~6 times higher under comparable conditions, along with significantly enhanced deformation resistance. In addition, GSDS exhibits significantly greater early strength development and a more rapid decrease in pore volume within the first 7 days, with its 7-day UCS reaching approximately 70% of the 28-day value. Furthermore, GSDS presents a markedly higher mesopore volume fraction than CSDS, demonstrating superior structural integrity and overall strength development.
- Both CSDS and GSDS exhibit a power-law decline in UCS with increasing total pore volume. Regarding mesopore volume fraction, UCS in GSDS increases following a power-law trend, while a linear increase is observed in CSDS. Additionally, in GSDS, both c and φ increase logarithmically with curing age. A strong linear correlation exists between c and UCS, whereas φ exhibits a power-law increase with UCS. Furthermore, both c and φ decrease with increasing total pore volume according to power-law relationships. As mesopore volume fraction increases, c increases in a power-law manner, whereas φ increases linearly. Macroscopic mechanical performance is strongly correlated with the evolution of microscopic pore structure.
- In CSDS, soil particle surfaces are encapsulated by flocculent C-(A)-S-H gels, while substantial inter-aggregate pores remain unfilled. Strength development and pore structure refinement in CSDS primarily result from the envelopment and aggregation effects of C-(A)-S-H gels. In GSDS, GGBS is effectively activated under the combined action of CS and TG, leading to the formation of C-(A)-S-H gels and abundant expansive AFt crystals that immobilize substantial amounts of free water. The synergistic solidification mechanism in GSDS involves ion exchange, cementitious bonding, and pore filling, which effectively enhance particle aggregation, strengthen interparticle bonding, and refine the pore structure, thereby significantly improving the structural integrity and macroscopic strength of GSDS.
Author Contributions
Funding
Data Availability Statement
Conflicts of Interest
Abbreviations
| DS | Dredged sludge |
| GGBS | Ground granulated blast furnace slag |
| OPC | Ordinary Portland cement |
| CS | Calcium carbide slag |
| TG | Titanium gypsum |
| GCT | GGBS-CS-TG |
| SDS | Solidified dredged sludge |
| CSDS | SDS solidified with OPC |
| GSDS | SDS solidified with GCT |
| UCS | Unconfined compressive strength |
| NMR | Nuclear magnetic resonance |
| LF-NMR | Low-field NMR |
| SEM | Scanning electron microscopy |
| EDS | Energy-dispersive spectroscopy |
| α | Curing agent content (in kg/m3) |
| t | Curing age (in days) |
| c | Cohesion (in kPa) |
| φ | Internal friction angle (in °) |
References
- Yoobanpot, N.; Jamsawang, P.; Poorahong, H.; Jongpradist, P.; Likitlersuang, S. Multiscale laboratory investigation of the mechanical and microstructural properties of dredged sediments stabilized with cement and fly ash. Eng. Geol. 2020, 267, 105491. [Google Scholar] [CrossRef]
- Peng, L.; Chen, B. Mechanical behavior, durability, thermal performances and microstructure of GGBFS—Modified MPC solidified dredged sludge. Constr. Build. Mater. 2021, 303, 124557. [Google Scholar] [CrossRef]
- Wang, S.; Xue, Q.; Ma, W.; Zhao, K.; Wu, Z. Experimental study on mechanical properties of fiber-reinforced and geopolymer-stabilized clay soil. Constr. Build. Mater. 2021, 272, 121914. [Google Scholar] [CrossRef]
- Pu, S.; Zhu, Z.; Zhao, L.; Song, W.; Wan, Y.; Huo, W.; Wang, H.; Yao, K.; Hu, L. Microstructural properties and compressive strength of lime or/and cement solidified silt: A multi-scale study. Bull. Eng. Geol. Environ. 2020, 79, 5141–5159. [Google Scholar] [CrossRef]
- Wang, D.; Di, S.; Gao, X.; Wang, R.; Chen, Z. Strength properties and associated mechanisms of magnesium oxychloride cement-solidified urban river sludge. Constr. Build. Mater. 2020, 250, 118933. [Google Scholar] [CrossRef]
- Tang, C.; Cheng, Q.; Wang, P.; Wang, H.-S.; Wang, Y.; Inyang, H.I. Hydro-mechanical behavior of fiber reinforced dredged sludge. Eng. Geol. 2020, 276, 105779. [Google Scholar] [CrossRef]
- Song, D.; Chen, W.; Yin, Z.; Shi, X.S.; Yin, J.H. Recycling dredged mud slurry using vacuum-solidification combined method with sustainable alkali-activated binder. Geotext. Geomembr. 2023, 51, 104–119. [Google Scholar] [CrossRef]
- Deng, Y.; Yue, X.; Liu, S.; Chen, Y.; Zhang, D. Hydraulic conductivity of cement-stabilized marine clay with metakaolin and its correlation with pore size distribution. Eng. Geol. 2015, 193, 146–152. [Google Scholar] [CrossRef]
- Wang, J.; Chian, S.; Ma, T.; Ding, J. Stabilization of dredged clays with ternary alkali-activated materials: Towards sustainable solid wastes recycling. J. Clean. Prod. 2023, 426, 139086. [Google Scholar] [CrossRef]
- Qin, Z.; Jin, J.; Liu, L.; Zhang, Y.; Du, Y.; Yang, Y.; Zuo, S. Reuse of soil-like material solidified by a biomass fly ash-based binder as engineering backfill material and its performance evaluation. J. Clean. Prod. 2023, 402, 136824. [Google Scholar] [CrossRef]
- Liu, L.; Wang, C.; Liang, Q.; Chen, F.; Zhou, X. A state-of-the-art review of rubber modified cement-based materials: Cement stabilized base. J. Clean. Prod. 2023, 392, 136270. [Google Scholar] [CrossRef]
- Zentar, R.; Wang, H.; Wang, D. Comparative study of stabilization/solidification of dredged sediments with ordinary Portland cement and calcium sulfo-aluminate cement in the framework of valorization in road construction material. Constr. Build. Mater. 2021, 279, 122447. [Google Scholar] [CrossRef]
- Huang, B.; Liu, J.; Tang, W.; Li, J.; Li, B.; Wei, A. Development of composite magnesium oxychloride cement and its application on solidification of dredged sludge. Constr. Build. Mater. 2024, 420, 135587. [Google Scholar] [CrossRef]
- Maddalena, R.; Roberts, J.; Hamilton, A. Can Portland cement be replaced by low-carbon alternative materials? A study on the thermal properties and carbon emissions of innovative cements. J. Clean. Prod. 2018, 186, 933–942. [Google Scholar] [CrossRef]
- Chen, Z.; You, N.; Chen, C.; Zhang, Y. Properties of dredged sludge solidified with alkali-activated slag-based materials and blended with copper slag as fine aggregates of mortars. Constr. Build. Mater. 2021, 312, 125459. [Google Scholar] [CrossRef]
- Wang, D.; Zhu, J.; He, F. Quantification and micro-mechanisms of CO2 sequestration in magnesia-lime-fly ash/slag solidified soils. Int. J. Greenh. Gas Control 2019, 91, 102827. [Google Scholar] [CrossRef]
- Wang, C.; Liu, H.; Wu, D.; Liu, X. Engineering and environmental evaluation of red mud amended volcanic ash as a sustainable subgrade material. J. Clean. Prod. 2023, 393, 136353. [Google Scholar] [CrossRef]
- He, J.; Zhang, C.; Guan, J.; Lv, X.-L. Accumulated strain and dynamic strength of dredged soil solidified with soda residue. Bull. Eng. Geol. Environ. 2023, 82, 169. [Google Scholar] [CrossRef]
- Zhao, Q.; Ma, C.; Huang, B.; Lu, X. Development of alkali activated cementitious material from sewage sludge ash: Two-part and one-part geopolymer. J. Clean. Prod. 2023, 384, 135547. [Google Scholar] [CrossRef]
- Zhao, J.; Tong, L.; Li, B.; Chen, T.; Wang, C.; Yang, G.; Zheng, Y. Eco-friendly geopolymer materials: A review of performance improvement, potential application and sustainability assessment. J. Clean. Prod. 2021, 307, 127085. [Google Scholar] [CrossRef]
- Kajaste, R.; Hurme, M. Cement industry greenhouse gas emissions-management options and abatement cost. J. Clean. Prod. 2016, 112, 4041–4052. [Google Scholar] [CrossRef]
- Bulko, R.; Masarovičová, S.; Gago, F. Determination of the Basic Geotechnical Parameters of Blast-Furnace Slag from the Kremnica Region. Materials 2023, 16, 5966. [Google Scholar] [CrossRef]
- Goodarzi, A.; Movahedrad, M. Stabilization/solidification of zinc-contaminated kaolin clay using ground granulated blast-furnace slag and different types of activators. Appl. Geochem. 2017, 81, 155–165. [Google Scholar]
- Lang, L.; Chen, B.; Chen, B. Strength evolutions of varying water content-dredged sludge stabilized with alkali-activated ground granulated blast-furnace slag. Constr. Build. Mater. 2021, 275, 122111. [Google Scholar] [CrossRef]
- Kou, R.; Guo, M.; Han, L.; Li, J.-S.; Li, B.; Chu, H.; Jiang, L.; Wang, L.; Jin, W.; Sun Poon, C. Recycling sediment, calcium carbide slag and ground granulated blast-furnace slag into novel and sustainable cementitious binder for production of eco-friendly mortar. Constr. Build. Mater. 2021, 305, 124772. [Google Scholar] [CrossRef]
- Gong, X.; Zhang, T.; Zhang, J.; Wang, Z.; Liu, J.; Cao, J.; Wang, C. Recycling and utilization of calcium carbide slag-current status and new opportunities. Renew. Sustain. Energy Rev. 2022, 159, 112133. [Google Scholar]
- Li, J.; Wang, W.; Xu, D.; Wang, X.; Mao, Y. Preparation of sulfoaluminate cementitious material using harmful titanium gypsum: Material properties and heavy metal immobilization characteristics. Waste Dispos. Sustain. Energy 2020, 2, 127–137. [Google Scholar] [CrossRef]
- Zhai, W.; Dai, Y.; Zhao, W.; Yuan, H.; Qiu, D.; Chen, J.; Gustave, W.; Maguffin, S.C.; Chen, Z.; Liu, X.; et al. Simultaneous immobilization of the cadmium, lead and arsenic in paddy soils amended with titanium gypsum. Environ. Pollut. 2020, 258, 113790. [Google Scholar] [CrossRef]
- Yang, D. Progress and prospect of resource utilization of phosphogypsum and titanium gypsum in China. Sulphuric Acid Ind. 2018, 10, 5–10. (In Chinese) [Google Scholar]
- Meskini, S.; Samdi, A.; Ejjaouani, H.; Remmal, T. Valorization of phosphogypsum as a road material: Stabilizing effect of fly ash and lime additives on strength and durability. J. Clean. Prod. 2021, 323, 129161. [Google Scholar] [CrossRef]
- Li, S.; Wang, D.; Tang, C.; Chen, Y. Optimization of synergy between cement, slag, and phosphogypsum for marine soft clay solidification. Constr. Build. Mater. 2023, 374, 130902. [Google Scholar] [CrossRef]
- Lei, B.; Pang, S.; Xi, F.; Fan, H.; Sun, J. Optimization of ratios and strength formation mechanism of fluidized solidified soil from multi-source solid wastes. J. Build. Eng. 2025, 108, 112958. [Google Scholar] [CrossRef]
- Wang, Q.; Cheng, Y.; Cai, G.; Guo, J.; Li, Y. Experimental analysis of mechanical properties of dredged sludge solidified by carbonized under the synergistic action of magnesium oxychloride cement and lime. Constr. Build. Mater. 2024, 447, 138095. [Google Scholar] [CrossRef]
- Chen, C.; Zhang, K.; Ma, C.; Yin, Z.; Wang, L.; Chen, Y.; Lin, Z.; Liu, Y. Mechanical properties; durability performance, and microstructure of CaO-fly ash solidified sludge from northeast, China. Materials 2024, 17, 4757. [Google Scholar] [CrossRef]
- Chen, S.; Duan, P.; Zhao, M.; Shi, H.; Bie, Y. Solidification mechanism and strength characteristics of alkali-activated tannery sludge–slag geopolymer. Buildings 2024, 14, 1060. [Google Scholar] [CrossRef]
- Qiu, K.; Zeng, G.; Shu, B.; Luo, D. Study on the performance and solidification mechanism of multi-source solid-waste-based soft soil solidification materials. Materials 2023, 16, 4517. [Google Scholar] [CrossRef]
- Jamsawang, P.; Charoensil, S.; Namjan, T.; Jongpradist, P.; Likitlersuang, S. Mechanical and microstructural properties of dredged sediments treated with cement and fly ash for use as road materials. Road Mater. Pavement Des. 2021, 22, 2498–2522. [Google Scholar] [CrossRef]
- Li, S.; Wang, D.; Wu, Y. Strength and load-bearing behaviors of cement-industrial by-products solidified crust layer over soft subsoil. Constr. Build. Mater. 2024, 412, 134744. [Google Scholar] [CrossRef]
- Liu, Y.; Lu, H.; Liu, M.; Cai, L.; Wei, N.; Liu, Y. Microanalytical characterizations, mechanical strength and water resistance performance of solidified dredged sludge with industrial solid waste and architecture residue soil. Case Stud. Constr. Mater. 2022, 17, e01492. [Google Scholar] [CrossRef]
- Kong, X.; Zhang, Z.; Liang, Y.; Wang, X.; Liu, M. Experimental study on solidified dredged sediment with MgO and industrial waste residue. Constr. Build. Mater. 2023, 366, 130105. [Google Scholar] [CrossRef]
- Wu, J.; Liu, L.; Deng, Y.; Zhang, G.; Zhou, A.; Xiao, H. Use of recycled gypsum in the cement-based stabilization of very soft clays and its micro-mechanism. J. Rock Mech. Geotech. Eng. 2022, 14, 909–921. [Google Scholar] [CrossRef]
- Zeng, L.; Bian, X.; Zhao, L.; Wang, Y.-J.; Hong, Z.-S. Effect of phosphogypsum on physiochemical and mechanical behaviour of cement stabilized dredged soil from Fuzhou, China. Geomech. Energy Environ. 2021, 25, 100195. [Google Scholar] [CrossRef]
- Wu, Y.; Yang, J.; Chang, R. The design of ternary all-solid-waste binder for solidified soil and the mechanical properties, mechanism and environmental benefits of CGF solidified soil. J. Clean. Prod. 2023, 429, 139439. [Google Scholar] [CrossRef]
- Wang, L.; Zang, Y.; Zhang, Z.; Zhao, H.; Liu, B.; Lu, Y.; Xu, Y.; Guo, R.; Jiang, H. Investigation on strength properties, mechanism, and durability of dredged sludge solidified with ground granulated blast furnace slag, calcium carbide slag, and phosphogypsum. J. Build. Eng. 2025, 102, 111986. [Google Scholar] [CrossRef]
- Li, J.; Zhou, Y.; Chen, X.; Wang, Q.; Xue, Q.; Tsang, D.C.W.; Poon, C.S. Engineering and microstructure properties of contaminated marine sediments solidified by high content of incinerated sewage sludge ash. J. Rock Mech. Geotech. Eng. 2021, 13, 643–652. [Google Scholar] [CrossRef]
- Jaeger, F.; Bowe, S.; Van As, H.; Schaumann, G.E. Evaluation of 1H NMR relaxometry for the assessment of pore-size distribution in soil samples. Eur. J. Soil Sci. 2009, 60, 1052–1064. [Google Scholar] [CrossRef]
- McDonald, P.; Rodin, V.; Valori, A. Characterisation of intra- and inter-C-S-H gel pore water in white cement based on an analysis of NMR signal amplitudes as a function of water content. Cem. Concr. Res. 2010, 40, 1656–1663. [Google Scholar] [CrossRef]
- Kong, L.; Sayem, H.; Tian, H. Influence of drying-wetting cycles on soil-water characteristic curve of undisturbed granite residual soils and microstructure mechanism by nuclear magnetic resonance (NMR) spin-spin relaxation time (T2) relaxometry. Can. Geotech. J. 2018, 55, 208–216. [Google Scholar] [CrossRef]
- Wang, S.; He, X.; Cai, G.; Lang, L.; Ma, H.; Gong, S.; Niu, Z. Investigation on water transformation and pore structure of cement-stabilized dredged sediment based on NMR technology. Materials 2022, 15, 3178. [Google Scholar] [CrossRef]
- Liu, T.; Cui, M.; Zhang, C.; Zhou, K.; Shi, W.; Cao, P. Nuclear magnetic resonance analysis of the failure and damage model of rock masses during freeze–thaw cycles. Bull. Eng. Geol. Environ. 2022, 81, 445. [Google Scholar] [CrossRef]
- Bird, N.; Preston, A.; Randal, E.; Whalley, W.R.; Whitmore, A.P. Measurement of the size distribution of water-filled pores at different matric potentials by stray field nuclear magnetic resonance. Eur. J. Soil Sci. 2005, 56, 135–143. [Google Scholar] [CrossRef]
- Gao, S.; Chapman, W.; House, W. Application of low field NMR T2 measurements to clathrate hydrates. J. Magn. Reson. 2009, 197, 208–212. [Google Scholar] [CrossRef] [PubMed]
- ASTM Standard D2974-14; Standard Test Methods for Moisture, Ash, and Organic Matter of Peat and Other Organic Soils. American Society for Testing and Materials (ASTM International): West Conshohocken, PA, USA, 2014.
- ASTM Standard D4972-13; Standard Test Method for pH of Soils. American Society for Testing and Materials (ASTM International): West Conshohocken, PA, USA, 2013.
- Zhu, J.; Wang, Z.; Tao, Y.; Ju, L.; Yang, H. Macro–micro investigation on stabilization sludge as subgrade filler by the ternary blending of steel slag and fly ash and calcium carbide residue. J. Clean. Prod. 2024, 447, 141496. [Google Scholar] [CrossRef]
- ASTM Standard D4219-08; Standard Test Method for Unconfined Compressive Strength Index of Chemical-Grouted Soils. American Society for Testing and Materials (ASTM International): West Conshohocken, PA, USA, 2008.
- GB/T 50123-2019; Standard for Geotechnical Testing Method. China Planning Press: Beijing, China, 2019. (In Chinese)
- Bian, X.; Yang, H.; Chen, J.; Liu, H.; Chen, X. Experimental study on the strength and stress–strain properties of waste concrete fine aggregate and cement-solidified sludge. Sustainability 2022, 14, 12217. [Google Scholar] [CrossRef]
- Ding, J.; Zhang, S.; Hong, Z.; Liu, S. Experimental study of solidification of dredged clays with high water content by adding cement and phosphogypsum synchronously. Rock Soil Mech. 2010, 31, 2817–2822. (In Chinese) [Google Scholar] [CrossRef]
- Zhao, P.; Wang, L.; Xu, C.; Fu, J.; Shi, Y.; Mao, Z.; Xiao, D. Nuclear magnetic resonance surface relaxivity and its advanced application in calculating pore size distributions. Mar. Pet. Geol. 2020, 111, 66–74. [Google Scholar] [CrossRef]
- Xue, S.; Meng, F.; Zhang, P.; Bao, J.; Wang, J.; Zhao, K. Influence of water re-curing on microstructure of heat-damaged cement mortar characterized by low-field NMR and MIP. Constr. Build. Mater. 2020, 262, 120532. [Google Scholar] [CrossRef]
- Wang, H.-X.; Wu, Z.-Z.; Tan, Y.-Z.; Cui, X.-Z.; Zuo, Q.-J.; Wang, L.-H.; Lu, L.-Q. Characteristics of pore structure of stabilized/solidified sediments during freeze–thaw cycles. Constr. Build. Mater. 2020, 259, 119804. [Google Scholar] [CrossRef]
- Qi, L.; Tang, X.; Wang, Z.; Peng, X. Pore characterization of different types of coal from coal and gas outburst disaster sites using low temperature nitrogen adsorption approach. Int. J. Min. Sci. Technol. 2017, 27, 371–377. [Google Scholar] [CrossRef]
- Jin, M.; Ma, Y.; Li, W.; Huang, J.; Yan, Y.; Zeng, H.; Lu, C.; Liu, J. Multi-scale investigation on composition-structure of C-(A)-S-H with different al/si ratios under attack of decalcification action. Cem. Concr. Res. 2023, 172, 107251. [Google Scholar] [CrossRef]
- Richardson, I. The nature of C-S-H in hardened cements. Cem. Concr. Res. 1999, 29, 1131–1147. [Google Scholar] [CrossRef]
- Liu, C.; Ji, H.; Liu, J.; He, W.; Gao, C. Experimental study on slag composite cementitious material for solidifying coastal saline soil. J. Build. Mater. 2015, 18, 82–87. (In Chinese) [Google Scholar]
- Wu, J.; Deng, Y.; Zhang, G.; Zhou, A.; Tan, Y.; Xiao, H.; Zheng, Q. A generic framework of unifying industrial by-products for soil stabilization. J. Clean. Prod. 2021, 321, 128920. [Google Scholar] [CrossRef]
- Wang, L.; Zang, Y.; Jiang, H.; Liu, S.; Cui, H. Mechanical behavior of crushed and compacted solidified dredged sludge solidified by industrial by-products. Constr. Build. Mater. 2025, 466, 140243. [Google Scholar] [CrossRef]

























| Water Content (%) | Liquid Limit, LL (%) | Plastic Limit, LP (%) | Plasticity Index, PI | pH | Organic Content (%) | Specific Gravity, Gs | Void Ratio, e |
|---|---|---|---|---|---|---|---|
| 84.20 | 36.46 | 18.88 | 17.58 | 7.13 | 6.18 | 2.68 | 1.672 |
| Component | SiO2 | Al2O3 | CaO | MgO | Fe2O3 | SO3 | P2O5 | Other Components | |
|---|---|---|---|---|---|---|---|---|---|
| Material | |||||||||
| Dredged sludge | 61.30 | 18.40 | 4.46 | 2.45 | 7.35 | 0.19 | 0.23 | 5.62 | |
| Ground granulated blast furnace slag | 33.06 | 15.04 | 39.29 | 9.96 | / | 1.90 | / | 0.75 | |
| Calcium carbide slag | 2.60 | 1.41 | 69.68 | 0.17 | 0.42 | 0.85 | / | 24.87 | |
| Titanium gypsum | 1.53 | 1.00 | 36.54 | 0.10 | 12.40 | 44.85 | / | 3.58 | |
| Ordinary Portland cement | 15.24 | 1.59 | 71.25 | 6.60 | 0.32 | 3.69 | 0.02 | 1.29 | |
| Type of Curing Agent | Curing Agent Content (α)/(kg/m3) | Curing Age (t)/d | Test Items | ||
|---|---|---|---|---|---|
| I | II | III | |||
| UCS Test (Direct Shear Test) | LF-NMR | SEM (-EDS) | |||
| GCT/Cement | 100 | 3 | √ | √ | |
| 7 | √ | √ | √ | ||
| 14 | √ | √ | |||
| 28 | √ | √ | |||
| GCT/Cement | 150 | 3 | √ | √ | √ |
| 7 | √ | √ | √ | ||
| 14 | √ | √ | √ | ||
| 28 | √ | √ | √ | ||
| GCT/Cement | 200 | 3 | √ | √ | |
| 7 | √ | √ | √ | ||
| 14 | √ | √ | |||
| 28 | √ | √ | |||
Disclaimer/Publisher’s Note: The statements, opinions and data contained in all publications are solely those of the individual author(s) and contributor(s) and not of MDPI and/or the editor(s). MDPI and/or the editor(s) disclaim responsibility for any injury to people or property resulting from any ideas, methods, instructions or products referred to in the content. |
© 2026 by the authors. Licensee MDPI, Basel, Switzerland. This article is an open access article distributed under the terms and conditions of the Creative Commons Attribution (CC BY) license.
Share and Cite
Zang, Y.; Zhang, C.; Wang, L. Micropore Structure Evolution and Macro-Micro Quantitative Analysis of Dredged Sludge Solidified with Ground Granulated Blast Furnace Slag, Carbide Slag, and Titanium Gypsum. Buildings 2026, 16, 261. https://doi.org/10.3390/buildings16020261
Zang Y, Zhang C, Wang L. Micropore Structure Evolution and Macro-Micro Quantitative Analysis of Dredged Sludge Solidified with Ground Granulated Blast Furnace Slag, Carbide Slag, and Titanium Gypsum. Buildings. 2026; 16(2):261. https://doi.org/10.3390/buildings16020261
Chicago/Turabian StyleZang, Yaohui, Chenchen Zhang, and Liujiang Wang. 2026. "Micropore Structure Evolution and Macro-Micro Quantitative Analysis of Dredged Sludge Solidified with Ground Granulated Blast Furnace Slag, Carbide Slag, and Titanium Gypsum" Buildings 16, no. 2: 261. https://doi.org/10.3390/buildings16020261
APA StyleZang, Y., Zhang, C., & Wang, L. (2026). Micropore Structure Evolution and Macro-Micro Quantitative Analysis of Dredged Sludge Solidified with Ground Granulated Blast Furnace Slag, Carbide Slag, and Titanium Gypsum. Buildings, 16(2), 261. https://doi.org/10.3390/buildings16020261
