Constitutive Relation of Polypropylene-Fiber-Reinforced Mortar Under Uniaxial Compression at High Temperature
Abstract
1. Introduction
2. Experimental Investigation
2.1. Materials and Experimental Parameters
2.2. Experimental Program
2.2.1. Sample Preparation
2.2.2. Mortar Heat Treatment
2.2.3. Testing Methods
3. Results and Discussion
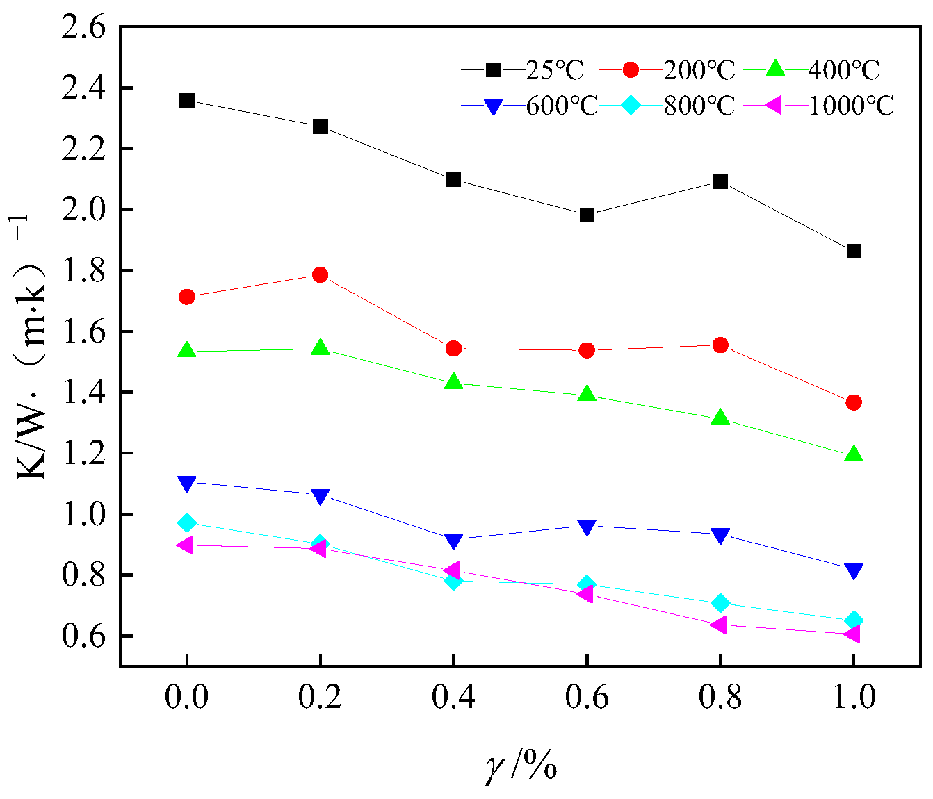
3.1. Thermal Conductivity
3.2. Mass Loss
3.3. Compressive Strength
3.4. Flexural Strength
3.5. Stress–Strain Curve of Polypropylene Fiber After High Temperature
4. Statistical Damage Model
4.1. Model Building
4.2. Model Validation
5. Conclusions
- (1)
- At room temperature, PP fiber enhances the microstructure of the cement mortar by optimizing the pore interaction and fracture energy dissipation, significantly increasing the mortar’s compressive and flexural strength, while mitigating its brittle characteristics and enhancing its ductility. The mortar’s thermal conductivity progressively diminishes as the content of PP fiber increases, with the rate of mass loss exhibiting a linear increment trend.
- (2)
- Following exposure to high temperatures, the fiber-reinforced mortar undergoes varying degrees of deterioration and destruction, primarily manifesting as a reduction in mortar mass and decline in mechanical properties. When the temperature is below 800 °C, the mortar’s compressive strength gradually decreases as the temperature rises. The compressive strength of the fiber-reinforced mortar shows no significant change between 800 °C and 1000 °C. The mortar’s flexural strength decreases moderately between 25 °C and 200 °C and then drops sharply from 200 °C to 600 °C, where the mortar’s internal deterioration due to temperature is pronounced. When the temperature exceeds 600 °C, its impact on the mortar’s flexural strength is minimal. Generally, the mortar’s mechanical performance is optimized at a PP fiber content of 0.2% following treatment at 25 °C and 200 °C, whereas above 400 °C, the addition of PP fiber tends to reduce the mortar’s strength.
- (3)
- Based on Lemaitre’s hypothesis of strain equivalence and the dual-parameter Weibull statistical distribution theory, a statistical constitutive model of mortar damage considering high temperatures and fiber content factors has been proposed. This model can be applied to future research and practical applications.
Author Contributions
Funding
Data Availability Statement
Conflicts of Interest
References
- Ogrodnik, P.; Szulej, J. The impact of aeration of concrete based on ceramic aggregate, exposed to high temperatures, on its strength parameters. Constr. Build. Mater. 2017, 157, 909–916. [Google Scholar] [CrossRef]
- Düğenci, O.; Haktanir, T.; Altun, F. Experimental research for the effect of high temperature on the mechanical properties of steel fiber-reinforced concrete. Constr. Build. Mater. 2015, 75, 82–88. [Google Scholar] [CrossRef]
- Moghadam, M.A.; Izadifard, R.A. Effects of zeolite and silica fume substitution on the microstructure and mechanical properties of mortar at high temperatures. Constr. Build. Mater. 2020, 253, 119206. [Google Scholar] [CrossRef]
- Siddique, R.; Kaur, D. Properties of concrete containing ground granulated blast furnace slag (GGBFS) at elevated temperatures. J. Adv. Res. 2012, 3, 45–51. [Google Scholar] [CrossRef]
- Awal, A.A.; Shehu, I.; Ismail, M. Effect of cooling regime on the residual performance of high-volume palm oil fuel ash concrete exposed to high temperatures. Constr. Build. Mater. 2015, 98, 875–883. [Google Scholar] [CrossRef]
- Guo, Z.; Zhuang, C.; Li, Z.; Chen, Y. Mechanical properties of carbon fiber reinforced concrete (CFRC) after exposure to high temperatures. Compos. Struct. 2021, 256, 113072. [Google Scholar] [CrossRef]
- Novák, J.; Kohoutková, A. Fire response of Hybrid Fiber Reinforced Concrete to High Temperature. Procedia Eng. 2017, 172, 784–790. [Google Scholar] [CrossRef]
- Çavdar, A. The effects of high temperature on mechanical properties of cementitious composites reinforced with polymeric fibers. Compos. Part B Eng. 2013, 45, 78–88. [Google Scholar] [CrossRef]
- El-Diadamony, H.; Amer, A.A.; Sokkary, T.M.; El-Hoseny, S. Hydration and characteristics of metakaolin pozzolanic cement pastes. Hbrc. J. 2018, 14, 150–158. [Google Scholar] [CrossRef]
- Durgun, M.Y.; Özen, S.; Karakuzu, K.; Kobya, V.; Bayqra, S.H.; Mardani-Aghabaglou, A. Effect of high temperature on polypropylene fiber-reinforced mortars containing colemanite wastes. Constr. Build. Mater. 2022, 316, 125827. [Google Scholar] [CrossRef]
- Han, J.; Zhao, M.; Chen, J.; Lan, X. Effects of steel fiber length and coarse aggregate maximum size on mechanical properties of steel fiber reinforced concrete. Constr. Build. Mater. 2019, 209, 577–591. [Google Scholar] [CrossRef]
- Çavdar, A. A study on the effects of high temperature on mechanical properties of fiber reinforced cementitious composites. Compos. Part B Eng. 2012, 43, 2452–2463. [Google Scholar] [CrossRef]
- Rudnik, E.; Drzymała, T. Thermal behavior of polypropylene fiber-reinforced concrete at elevated temperatures. J. Therm. Anal. Calorim. 2018, 131, 1005–1015. [Google Scholar] [CrossRef]
- Hiremath, P.N.; Yaragal, S.C. Performance evaluation of reactive powder concrete with polypropylene fibers at elevated temperatures. Constr. Build. Mater. 2018, 169, 499–512. [Google Scholar] [CrossRef]
- Amancio, F.A.; de Carvalho Rafael, M.F.; de Oliveira Dias, A.R.; Cabral, A.E.B. Behavior of concrete reinforced with polypropylene fiber exposed to high temperatures. Procedia Struct. Integr. 2018, 11, 91–98. [Google Scholar] [CrossRef]
- Ezziane, M.; Kadri, T.; Molez, L.; Jauberthie, R.; Belhacen, A. High temperature behaviour of polypropylene fibres reinforced mortars. Fire Saf. J. 2015, 71, 324–331. [Google Scholar] [CrossRef]
- Eidan, J.; Rasoolan, I.; Rezaeian, A.; Poorveis, D. Residual mechanical properties of polypropylene fiber-reinforced concrete after heating. Constr. Build. Mater. 2019, 198, 195–206. [Google Scholar] [CrossRef]
- GB/T 14684-2022; Standardization Administration of China. Aggregates for Concrete. China Standards Press: Beijing, China, 2022.
- Zhou, Z.; Zhang, H.; Li, L. Thermal and mechanical properties of concrete subjected to high temperatures at different heating rates. J. Build. Mater. 2023, 30, 213–224. [Google Scholar]
- Wang, S.; Li, Y.; Li, Q. Effect of heating rate on the compressive strength of concrete under high temperatures. Constr. Build. Mater. 2024, 345, 130924. [Google Scholar]
- Kim, J.; Lee, S.; Park, H. Influence of temperature rise rate on the structural performance of concrete exposed to fire conditions. Mater. Sci. Eng. A 2023, 867, 144298. [Google Scholar]
- GB/T 32064-2015; Standardization Administration of China. Test Method for Determining the Environmental Impact of Products. China Standards Press: Beijing, China, 2015.
- GB/T 17671-2021; Standardization Administration of China. Method of Testing Cement: Determination of Compressive Strength. China Standards Press: Beijing, China, 2021.
- Zhang, T.; Zhang, Y.; Zhu, H.; Yan, Z. Characterizing the thermal properties of hybrid polypropylene-steel fiber reinforced concrete under heat exposure: Insights into fiber geometry and orientation distribution. Compos. Struct. 2021, 275, 114457. [Google Scholar] [CrossRef]
- Li, Q.-H.; Sun, C.-J.; Xu, S.-L. Thermal and mechanical properties of ultrahigh toughness cementitious composite with hybrid PVA and steel fibers at elevated temperatures. Compos. Part B Eng. 2019, 176, 107201. [Google Scholar] [CrossRef]
- Mohammadhosseini, H.; Alrshoudi, F.; Tahir, M.M.; Alyousef, R.; Alghamdi, H.; Alharbi, Y.R.; Alsaif, A. Durability and thermal properties of prepacked aggregate concrete reinforced with waste polypropylene fibers. J. Build. Eng. 2020, 32, 101723. [Google Scholar] [CrossRef]
- Yao, Y.; Wang, B.; Zhuge, Y.; Huang, Z. Properties of hybrid basalt-polypropylene fiber reinforced mortar at different temperatures. Constr. Build. Mater. 2022, 346, 128433. [Google Scholar] [CrossRef]
- Cao, M.; Zhang, C.; Li, Y.; Wei, J. Using Calcium Carbonate Whisker in Hybrid Fiber-Reinforced Cementitious Composites. J. Mater. Civ. Eng. 2015, 27, 04014139. [Google Scholar] [CrossRef]
- Li, L.; Cao, M.; Ming, X.; Yin, H.; Sun, Y.N. Microstructure of calcium carbonate whisker reinforced cement paste after elevated temperature exposure. Constr. Build. Mater. 2019, 227, 116609. [Google Scholar] [CrossRef]
- Cao, M.; Xu, L.; Zhang, C. Rheology, fiber distribution and mechanical properties of calcium carbonate (CaCO3) whisker reinforced cement mortar. Compos. Part A Appl. Sci. Manuf. 2016, 90, 662–669. [Google Scholar] [CrossRef]
- Zhu, Z.; Tian, H.; Wang, R.; Jiang, G.; Dou, B.; Mei, G. Statistical thermal damage constitutive model of rocks based on Weibull distribution. Arab. J. Geosci. 2021, 14, 495. [Google Scholar] [CrossRef]


















| Raw Materials | Length | Diameter | Tensile Strength | Elastic Modulus |
|---|---|---|---|---|
| PP fiber | 12 mm | 31 µm | ≥486 MPa | ≥4.8 GPa |
| PP Fiber/% | w/c | Cement/kg | Sand/kg | Water/kg | PP Fiber/kg |
|---|---|---|---|---|---|
| 0 | 0.5 | 450 | 1350 | 225 | 0 |
| 0.2 | 0.5 | 450 | 1350 | 225 | 3.6 |
| 0.4 | 0.5 | 450 | 1350 | 225 | 7.2 |
| 0.6 | 0.5 | 450 | 1350 | 225 | 10.8 |
| 0.8 | 0.5 | 450 | 1350 | 225 | 14.4 |
| 1.0 | 0.5 | 450 | 1350 | 225 | 21.6 |
| Type | Equation | |
|---|---|---|
| (13) | ||
| (14) | ||
| (15) | ||
Disclaimer/Publisher’s Note: The statements, opinions and data contained in all publications are solely those of the individual author(s) and contributor(s) and not of MDPI and/or the editor(s). MDPI and/or the editor(s) disclaim responsibility for any injury to people or property resulting from any ideas, methods, instructions or products referred to in the content. |
© 2025 by the authors. Licensee MDPI, Basel, Switzerland. This article is an open access article distributed under the terms and conditions of the Creative Commons Attribution (CC BY) license (https://creativecommons.org/licenses/by/4.0/).
Share and Cite
Chen, H.; Li, D. Constitutive Relation of Polypropylene-Fiber-Reinforced Mortar Under Uniaxial Compression at High Temperature. Buildings 2025, 15, 468. https://doi.org/10.3390/buildings15030468
Chen H, Li D. Constitutive Relation of Polypropylene-Fiber-Reinforced Mortar Under Uniaxial Compression at High Temperature. Buildings. 2025; 15(3):468. https://doi.org/10.3390/buildings15030468
Chicago/Turabian StyleChen, Hao, and Dongwei Li. 2025. "Constitutive Relation of Polypropylene-Fiber-Reinforced Mortar Under Uniaxial Compression at High Temperature" Buildings 15, no. 3: 468. https://doi.org/10.3390/buildings15030468
APA StyleChen, H., & Li, D. (2025). Constitutive Relation of Polypropylene-Fiber-Reinforced Mortar Under Uniaxial Compression at High Temperature. Buildings, 15(3), 468. https://doi.org/10.3390/buildings15030468
