Two-Stage Dam Displacement Analysis Framework Based on Improved Isolation Forest and Metaheuristic-Optimized Random Forest
Abstract
1. Introduction
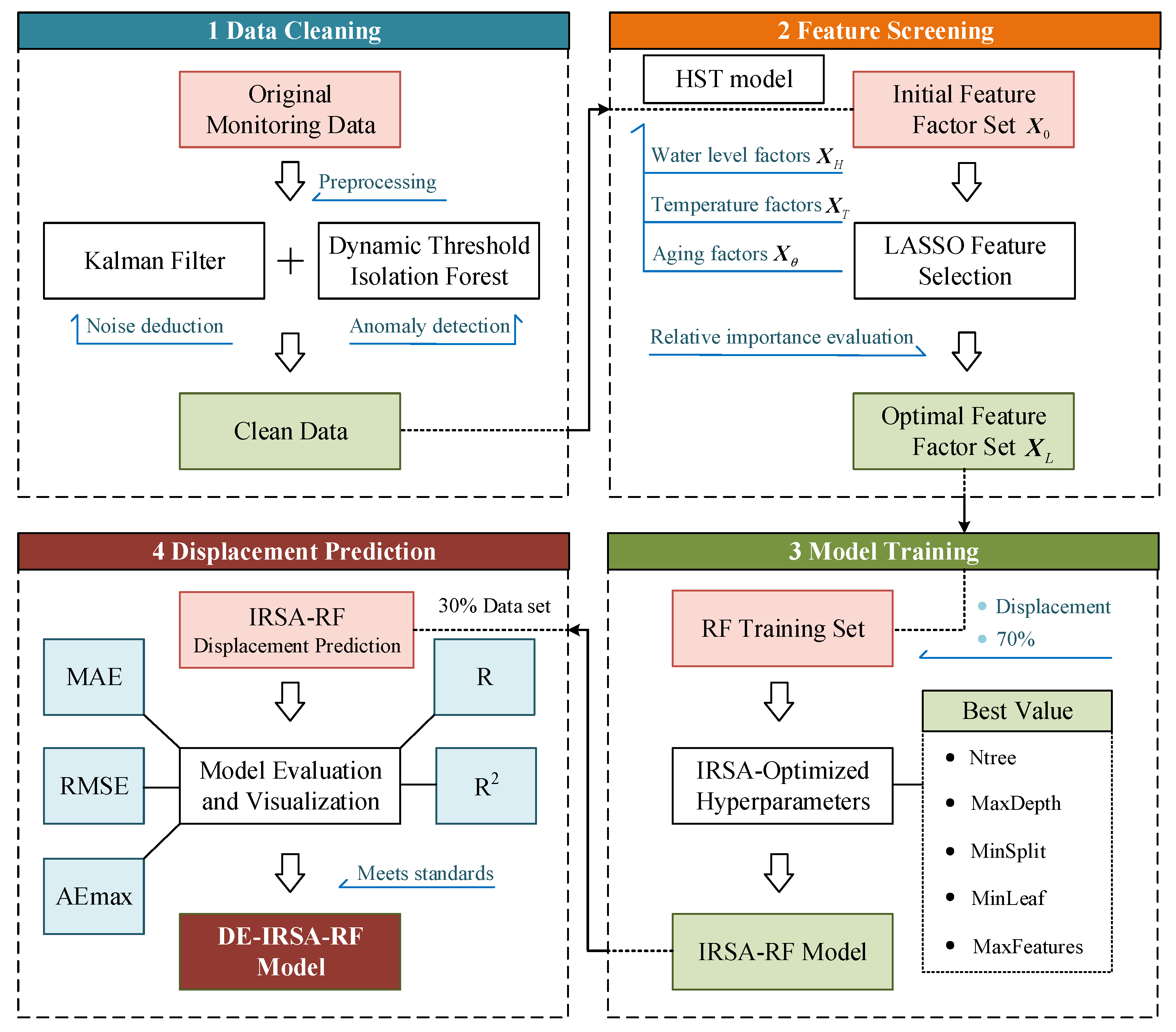
2. Data Cleaning Strategy Based on Kalman Filter-Dynamic Threshold Isolation Forest
2.1. Principle of Kalman Filter Denoising
2.2. Anomaly Detection Based on Isolation Forest
2.2.1. Principle of Isolation Forest Algorithm
- (1)
- Training Phase
- (2)
- Evaluation Phase
2.2.2. Dynamic Threshold Isolation Forest
| Algorithm 1. The core algorithm flow of DTIF. |
| (1) Input: Time-series displacement monitoring data with timestamps and displacement values (2) Initialization Phase: Load dataset: Excel file containing ‘Monitoring Date (Y/M)’ and ‘Displacement (mm)’ Preprocess data: Convert timestamps to datetime format Extract feature vector: Displacement values as primary feature (3) Isolation Forest Training Phase: Initialize Isolation Forest model with parameters: n_estimators = 100 contamination = ‘auto’ random_state = 42 Train model on displacement data Calculate anomaly scores using decision_function() (4) Dynamic Threshold Calculation Phase: Generate histogram of anomaly scores with 30 bins Apply Otsu’s method to find optimal threshold: For each possible threshold t in histogram bins: Calculate class probabilities: w0, w1 Compute class means: μ0, μ1 Calculate between-class variance: σ2_B(t) = w0·w1·(μ0 − μ1)2 Select final_threshold t* that maximizes σ2_B(t) (5) Anomaly Detection Phase: Label anomalies: anomaly = −1 if anomaly_score < final_threshold, else 1 Extract detected anomalies based on dynamic threshold (6) Performance Evaluation Phase: Calculate evaluation metrics: Accuracy (ACC) = (TP + TN)/total_samples False Positive Rate (FPR) = FP/(FP + TN) False Negative Rate (FNR) = FN/(FN + TP) True Negative Rate (TNR) = TN/(TN + FP) Generate visualization plots for results analysis |
3. Construction of RF Prediction Model Based on Feature Selection and Parameter Optimization
3.1. Displacement Statistical Model and Feature Selection
3.1.1. Statistical Model
- (1)
- Hydrostatic pressure component
- (2)
- Temperature component
- (3)
- Time-effect component
3.1.2. LASSO Algorithm
3.2. Random Forest Model
3.2.1. Principle of Random Forest
3.2.2. Hyperparameters of Random Forest
- (1)
- Ntree. Ntree refers to the number of decision trees in the RF. Increasing Ntree can improve the stability and accuracy of the model but also increases computational cost. The search space for Ntree is set to in this paper.
- (2)
- MaxDepth. MaxDepth refers to the maximum depth of a single decision tree, used to limit the growth of the tree and prevent overfitting. The search space for MaxDepth is set to in this paper.
- (3)
- MinSplit. MinSplit refers to the minimum number of samples required for a node to be split. Appropriately increasing this value can prevent the tree from becoming too complex and causing overfitting. The search space for MinSplit is set to in this paper.
- (4)
- MinLeaf. MinLeaf is the minimum number of samples required for a leaf node. Similarly, appropriately increasing this value can reduce the risk of overfitting. The search space for MinLeaf is set to in this paper.
- (5)
- MaxFeatures. MaxFeatures refers to the maximum number of features considered when branching in each decision tree, used to control the randomness of feature selection and increase feature diversity. The search space for MaxFeatures is set to in this paper, where is the total number of features in the training data.
3.3. Improved Reptile Search Algorithm
3.3.1. Principle of the Reptile Search Algorithm
3.3.2. Algorithm Improvement Strategies
- (1)
- Tent chaotic mapping
- (2)
- Dynamic adjustment of control parameters
- (3)
- Lévy flight strategy
- (4)
- Elite Opposition-based Learning (EOBL)
3.3.3. Steps of the IRSA
| Algorithm 2. The core algorithm flow of IRSA. |
| (1) Input Parameters: Population size (N), Maximum iterations (T), Lower and upper bounds (LB, UB) Problem dimension (Dim), Training data (X_data, y_data) (2) Initialization Phase: 1. Initialize population using Tent chaotic mapping: X = Tent_Chaos(N, Dim) Scale positions to search space: X = LB + (UB − LB) × X 2. Initialize best solution: Best_P = X[0], Best_F = ∞ (3) Main Optimization Loop (for t = 1 to T): 1. Dynamic Parameter Adjustment: α = 0.3 × (1 − t/T) // Global exploration parameter β = 0.1 × (t/T) // Local exploitation parameter ES = random value in [−1, 1] // Exploration factor 2. Fitness Evaluation: For each individual i in population: current_fitness = Objective_Function(X[i], X_data, y_data) Update Best_P and Best_F if improved 3. Encircling Phase (Global Exploration when t < T/2): For each individual i: Calculate hunting operator: R = (Best_P − X[i])/(Best_P + ε) Compute percentage difference: P = α + (X[i] − mean(X))/(Best_P × (UB − LB) + ε) Apply movement strategies: -With 50% probability: Apply Lévy flight perturbation X[i] = Best_P − Eta × β − R × rand() + Levy_Flight(Dim) -Otherwise: Use exploratory movement X[i] = Best_P × X[random] × ES × rand() 4. Hunting Phase (Local Exploitation when t ≥ T/2): For each individual i: -Apply Elite Opposition-Based Learning: opposite_solution = LB + UB − Best_P Evaluate opposite solution fitness Update best solution if improved -Local refinement: X[i] = Best_P × (1 + Gaussian_noise × 0.1) 5. Boundary Constraint Handling: X = clip(X, LB, UB) // Ensure solutions remain within bounds (4) Objective Function Definition: Function Objective_Function(params, X_data, y_data): Initialize Random Forest classifier with hyperparameters: n_estimators = int(params [0]) max_depth = int(params [1]) min_samples_split = int(params [2]) min_samples_leaf = int(params [3]) max_features = int(params [4]) Perform 5-fold cross-validation Return negative mean accuracy (for minimization) (5) Output: Best hyperparameters (Best_P), Best accuracy (−Best_F), Convergence history (Conv) |
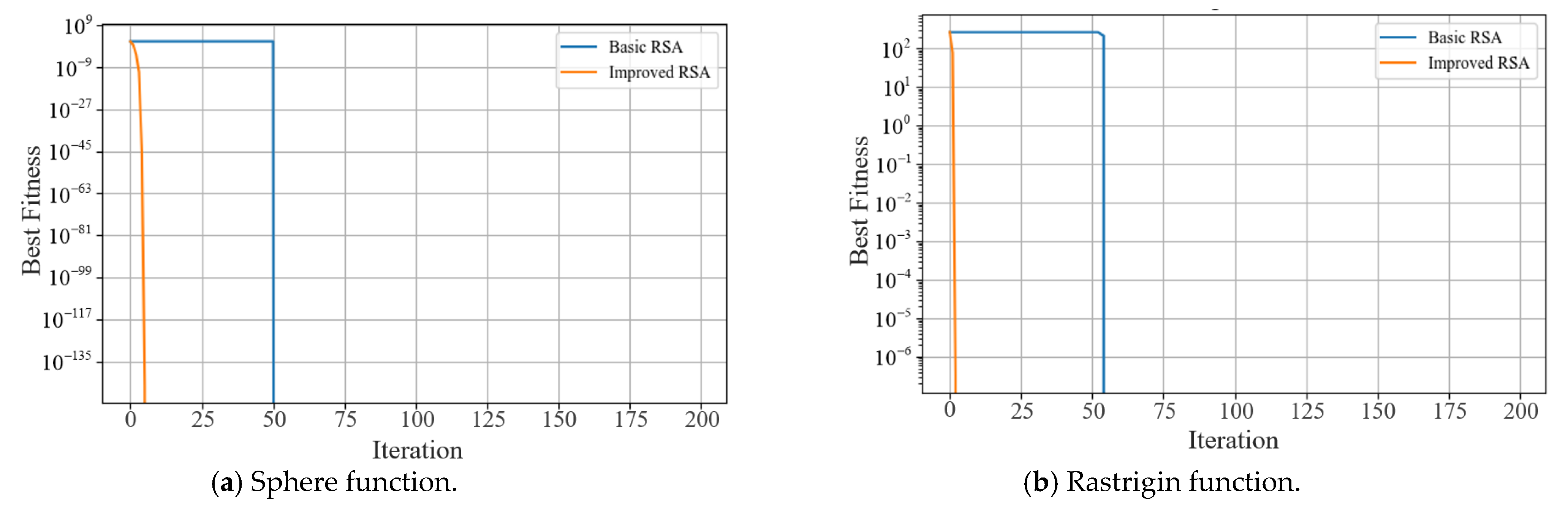
3.3.4. Performance Testing Experiment and Analysis for IRSA
3.4. Establishment of a Dam Displacement Prediction Model
3.5. Computational Environment and Implementation Details
4. Engineering Case Application
4.1. Engineering Background
4.2. Dam Monitoring Data
4.3. Evaluation of Data Cleaning Effectiveness
4.3.1. Assessment of Kalman Filter’s Noise Reduction Performance
4.3.2. Dynamic Threshold Isolation Forest for Outlier Detection
4.4. Optimal Feature Subset Selection
4.5. Displacement Prediction Model Validation
5. Results and Discussion
5.1. Improvement Effects of IRSA-RF Model
5.2. Prediction Performance Comparison Between DE-IRSA-RF and Classical Models
5.3. Generalization Capability Verification of DE-IRSA-RF Model
6. Conclusions
- (1)
- The data-cleaning strategy combining KF and DTIF effectively removes noise and outliers from monitoring data. KF suppresses noise through recursive estimation and residual correction, while DTIF enhances anomaly detection accuracy and robustness via an adaptive threshold mechanism. Experimental results show that DTIF achieves superior detection precision across various outlier distribution scenarios, ensuring high-quality input data for subsequent prediction models.
- (2)
- Based on the HST statistical model, the LASSO algorithm was employed to analyze and screen the importance of displacement feature factors, extracting an optimal feature subset as model input to minimize interference from redundant factors. Case studies confirm that the model with feature selection achieves significant improvements in both prediction accuracy and generalization capability.
- (3)
- The IRSA enhances the standard RSA by incorporating Tent chaotic mapping, dynamic parameters, Lévy flight strategy, and EOBL, thereby improving global search capability and local exploitation precision while avoiding premature convergence and local optima. A comparison between RF and RSA-RF demonstrates that the IRSA-RF model significantly reduces prediction errors in long-term displacement forecasting tasks.
- (4)
- Compared to classical models such as MLR, SVR, and LSTM, the DE-IRSA-RF framework exhibits superior performance in displacement prediction tasks across different monitoring points. Its strong generalization ability and high prediction accuracy highlight its potential as a reliable tool for early risk warning and decision-making in dam safety monitoring.
Author Contributions
Funding
Data Availability Statement
Conflicts of Interest
References
- Huang, M.; Wan, N.; Zhu, H. Reconstruction of structural acceleration response based on CNN-BiGRU with squeeze-and-excitation under environmental temperature effects. J. Civ. Struct. Health Monit. 2024, 15, 985–1003. [Google Scholar] [CrossRef]
- Zhang, J.; Huang, M.; Wan, N.; Deng, Z.; He, Z.; Luo, J. Missing measurement data recovery methods in structural health monitoring: The state, challenges and case study. Measurement 2024, 231, 114528. [Google Scholar] [CrossRef]
- Deng, Z.; Gao, Q.; Huang, M.; Wan, N.; Zhang, J.; He, Z. From data processing to behavior monitoring: A comprehensive overview of dam health monitoring technology. Structures 2025, 71, 108094. [Google Scholar] [CrossRef]
- Duffaut, P.; Larouzée, J. Geology, Engineering & Humanities: 3 sciences behind the Malpasset dam failure (France, Dec. 2, 1959). Q. J. Eng. Geol. Hydrogeol. 2019, 52, 445–458. [Google Scholar]
- Zipper, M.; Zulauf, N.; Bendels, M.H.K. The Banqiao Dam catastrophe. Zentralblatt Arbeitsmedizin Arbeitsschutz Ergon. 2020, 70, 230–235. [Google Scholar] [CrossRef]
- Guo, Y.; You, Z.; Wei, B. Working Mode Identification Method for High Arch Dam Discharge Structure Based on Improved Wavelet Threshold-EMD and RDT Algorithm. Water 2022, 14, 3735. [Google Scholar] [CrossRef]
- Deng, Z.; Huang, M.; Wan, N.; Zhang, J. The Current Development of Structural Health Monitoring for Bridges: A Review. Buildings 2023, 13, 1360. [Google Scholar] [CrossRef]
- Su, H.; Chen, J.; Wen, Z.; Wang, F. Wavelet-fractal diagnosis model and its criterion for concrete dam crack status. Trans. Inst. Meas. Control 2018, 40, 1846–1853. [Google Scholar] [CrossRef]
- Su, H.; Li, H.; Chen, Z.; Wen, Z. An approach using ensemble empirical mode decomposition to remove noise from prototypical observations on dam safety. Springerplus 2016, 5, 650. [Google Scholar] [CrossRef] [PubMed]
- Jia, D.; Yang, J.; Sheng, G. Dam deformation prediction model based on the multiple decomposition and denoising methods. Measurement 2024, 238, 115268. [Google Scholar] [CrossRef]
- Khodarahmi, M.; Maihami, V. A Review on Kalman Filter Models. Arch. Comput. Methods Eng. 2023, 30, 727–747. [Google Scholar] [CrossRef]
- Dai, W.; Liu, N.; Santerre, R.; Pan, J. Dam Deformation Monitoring Data Analysis Using Space-Time Kalman Filter. ISPRS Int. J. Geo-Inf. 2016, 5, 236. [Google Scholar] [CrossRef]
- Li, B.; Yang, J.; Hu, D. Dam monitoring data analysis methods: A literature review. Struct. Control Health Monit. 2020, 27, e2501. [Google Scholar] [CrossRef]
- Liu, F.T.; Ting, K.M.; Zhou, Z.-H. Isolation forest. In Proceedings of the 2008 Eighth IEEE International Conference on Data Mining, Pisa, Italy, 15–19 December 2008; pp. 413–422. [Google Scholar]
- Karczmarek, P.; Kiersztyn, A.; Pedrycz, W.; Al, E. K-Means-based isolation forest. Knowl.-Based Syst. 2020, 195, 105659. [Google Scholar] [CrossRef]
- Hariri, S.; Kind, M.C.; Brunner, R.J. Extended Isolation Forest. IEEE Trans. Knowl. Data Eng. 2021, 33, 1479–1489. [Google Scholar] [CrossRef]
- Lesouple, J.; Baudoin, C.; Spigai, M.; Tourneret, J.-Y. Generalized isolation forest for anomaly detection. Pattern Recognit. Lett. 2021, 149, 109–119. [Google Scholar] [CrossRef]
- Yu, Y.; Liu, X.; Wang, E.; Fang, K.; Huang, L. Dam Safety Evaluation Based on Multiple Linear Regression and Numerical Simulation. Rock Mech. Rock Eng. 2018, 51, 2451–2467. [Google Scholar] [CrossRef]
- Shao, C.; Gu, C.; Meng, Z.; Hu, Y. Integrating the Finite Element Method with a Data-Driven Approach for Dam Displacement Prediction. Adv. Civ. Eng. 2020, 2020, 4961963. [Google Scholar] [CrossRef]
- Ma, B.; Zhou, J.; Zhang, C. Risk Prediction Model for Tailings Ponds Based on EEMD-DA-LSTM Model. Appl. Sci. 2024, 14, 9141. [Google Scholar] [CrossRef]
- Wan, N.; Huang, M.; Lei, Y. High-efficiency finite element model updating of bridge structure using a novel physics-guided neural network. Int. J. Struct. Stab. Dyn. 2024, 2650006. [Google Scholar] [CrossRef]
- Kao, C.-Y.; Loh, C.-H. Monitoring of long-term static deformation data of Fei-Tsui arch dam using artificial neural network-based approaches. Struct. Control Health Monit. 2013, 20, 282–303. [Google Scholar] [CrossRef]
- Wang, S.; Zhuang, J.; Zheng, J.; Fan, H.; Kong, J.; Zhan, J. Application of Bayesian Hyperparameter Optimized Random Forest and XGBoost Model for Landslide Susceptibility Mapping. Front. Earth Sci. 2021, 9, 617. [Google Scholar] [CrossRef]
- Zhu, N.; Zhu, C.; Zhou, L.; Zhu, Y.; Zhang, X. Optimization of the Random Forest Hyperparameters for Power Industrial Control Systems Intrusion Detection Using an Improved Grid Search Algorithm. Appl. Sci. 2022, 12, 10456. [Google Scholar] [CrossRef]
- Gu, C.; Wu, B.; Chen, Y. A High-Robust Displacement Prediction Model for Super-High Arch Dams Integrating Wavelet De-Noising and Improved Random Forest. Water 2023, 15, 1271. [Google Scholar] [CrossRef]
- Huang, M.; Zhang, J.; Hu, J.; Ye, Z.; Deng, Z.; Wan, N. Nonlinear modeling of temperature-induced bearing displacement of long-span single-pier rigid frame bridge based on DCNN-LSTM. Case Stud. Therm. Eng. 2024, 53, 103897. [Google Scholar] [CrossRef]
- Huang, M.; Zhang, J.; Li, J.; Deng, Z.; Luo, J. Damage identification of steel bridge based on data augmentation and adaptive optimization neural network. Struct. Health Monit.-Int. J. 2024, 24, 1674–1699. [Google Scholar] [CrossRef]
- Huang, M.; Ling, Z.; Sun, C.; Lei, Y.; Xiang, C.; Wan, Z.; Gu, J. Two-stage damage identification for bridge bearings based on sailfish optimization and element relative modal strain energy. Struct. Eng. Mech. 2023, 86, 715–730. [Google Scholar]
- Abualigah, L.; Abd Elaziz, M.; Sumari, P.; Geem, Z.W.; Gandomi, A.H. Reptile Search Algorithm (RSA): A nature-inspired meta-heuristic optimizer. Expert Syst. Appl. 2022, 191, 116158. [Google Scholar] [CrossRef]
- Adnan, R.M.; Mostafa, R.R.; Dai, H.-L.; Heddam, S.; Masood, A.; Kisi, O. Enhancing accuracy of extreme learning machine in predicting river flow using improved reptile search algorithm. Stoch. Environ. Res. Risk Assess. 2023, 37, 3063–3083. [Google Scholar] [CrossRef]
- Almotairi, K.H.; Abualigah, L. Hybrid Reptile Search Algorithm and Remora Optimization Algorithm for Optimization Tasks and Data Clustering. Symmetry 2022, 14, 458. [Google Scholar] [CrossRef]
- Otsu, N. Threshold selection method from gray-level histograms. IEEE Trans. Syst. Man Cybern. 1979, 9, 62–66. [Google Scholar] [CrossRef]
- Leger, P.; Leclerc, M. Hydrostatic, temperature, time-displacement model for concrete dams. J. Eng. Mech. 2007, 133, 267–277. [Google Scholar] [CrossRef]
- Wang, S.; Xu, C.; Gu, C.; Su, H.; Wu, B. Hydraulic-seasonal-time-based state space model for displacement monitoring of high concrete dams. Trans. Inst. Meas. Control 2021, 43, 3347–3359. [Google Scholar] [CrossRef]
- Yang, G.; Gu, H.; Chen, X.; Zhao, K.; Qiao, D.; Chen, X. Hybrid hydraulic-seasonal-time model for predicting the deformation behaviour of high concrete dams during the operational period. Struct. Control Health Monit. 2021, 28, e2685. [Google Scholar] [CrossRef]
- Liu, X.; Li, Z.; Sun, L.; Khailah, E.Y.; Wang, J.; Lu, W. A critical review of statistical model of dam monitoring data. J. Build. Eng. 2023, 80, 108106. [Google Scholar] [CrossRef]
- Mata, J.; Tavares de Castro, A.; Sá da Costa, J. Constructing statistical models for arch dam deformation. Struct. Control Health Monit. 2014, 21, 423–437. [Google Scholar] [CrossRef]
- Willm, G.; Beaujoint, N. Les méthodes de surveillance des barrages au service de la production hydraulique d’Electricité de France, problèmes anciens et solutions nouvelles. In Proceedings of the IXth International Congress on Large Dams, Istanbul, Turkey, 4–8 September 1967; pp. 529–550. [Google Scholar]
- Tibshirani, R. Regression shrinkage and selection via the lasso: A retrospective. J. R. Stat. Soc. Ser. B Stat. Methodol. 2011, 73, 273–282. [Google Scholar] [CrossRef]
- Breiman, L. Random forests. Mach. Learn. 2001, 45, 5–32. [Google Scholar] [CrossRef]
- Probst, P.; Wright, M.N.; Boulesteix, A.-L. Hyperparameters and tuning strategies for random forest. Wiley Interdiscip. Rev. Data Min. Knowl. Discov. 2019, 9, e1301. [Google Scholar] [CrossRef]
- Sasmal, B.; Hussien, A.G.; Das, A.; Dhal, K.G.; Saha, R. Reptile Search Algorithm: Theory, Variants, Applications, and Performance Evaluation. Arch. Comput. Methods Eng. 2024, 31, 521–549. [Google Scholar] [CrossRef]
- Li, Y.; Han, M.; Guo, Q. Modified Whale Optimization Algorithm Based on Tent Chaotic Mapping and Its Application in Structural Optimization. KSCE J. Civ. Eng. 2020, 24, 3703–3713. [Google Scholar] [CrossRef]
- Hakli, H.; Uguz, H. A novel particle swarm optimization algorithm with Levy flight. Appl. Soft Comput. 2014, 23, 333–345. [Google Scholar] [CrossRef]
- Yildiz, B.S.; Pholdee, N.; Bureerat, S.; Yildiz, A.R.; Sait, S.M. Enhanced grasshopper optimization algorithm using elite opposition-based learning for solving real-world engineering problems. Eng. Comput. 2022, 38, 4207–4219. [Google Scholar] [CrossRef]



























| Function | Number of Extrema | Expression | x-Range | Optimal Value |
|---|---|---|---|---|
| Sphere | Few | [−5.12, 5.12] | ||
| Rastrigin | Many | [−5.12, 5.12] | ||
| Ackley | Relatively many | [−32.768, 32.768] | ||
| Rosenbrock | Few | [−2.048, 2.048] |
| Category | Component | Specification/Version |
|---|---|---|
| Hardware Environment | Processor (CPU) | AMD Ryzen 7 5800H |
| Memory (RAM) | 16 GB | |
| Operating System | Windows 11 | |
| Software Environment | Programming Language | Python 3.9.20 |
| Core Libraries | scikit-learn 1.5.1 | |
| numpy 1.26.4 | ||
| pandas 2.2.2 | ||
| scipy 1.13.1 | ||
| PyTorch 2.5.1 | ||
| Visualization Library | matplotlib 3.9.2 |
| Algorithm/Component | Parameter | Value/Setting |
|---|---|---|
| DTIF | n_estimators | 100 |
| contamination | ‘auto’ | |
| random_state | 42 | |
| bins | 30 | |
| IRSA | Population_size | 30 |
| Max_iterations | 100 | |
| Dim | 5 | |
| Tent_u | 0.7 | |
| Lévy_β | 1.5 | |
| RF—Search Space | n_estimators | [50, 300] |
| max_depth | [1, 20] | |
| min_samples_split_range | [2, 10] | |
| min_samples_leaf_range | [1, 5] | |
| max_features_range | [1, N] | |
| LASSO Regression | Model | LassoCV(cv = 10) |
| eps | 0.001 | |
| n_alphas | 100 | |
| tol | 0.0001 | |
| max_iter | 1000 | |
| Scaling | StandardScaler | |
| LSTM Model | LSTM Layer | 1 layer, 50 units |
| Output Layer | Dense (1) | |
| Optimizer | Adam | |
| Learning Rate | 0.001 | |
| Batch Size | 32 | |
| Epochs | 50 | |
| Loss Function | MSE |
| Statistical Indicators | Original Displacement Data | KF Denoised Data | PF Denoised Data |
|---|---|---|---|
| Max (mm) | 4.9700 | 4.9421 | 4.9263 |
| Min (mm) | −0.9400 | −0.9546 | −0.8926 |
| Mean (mm) | 2.1106 | 2.1106 | 2.1051 |
| Median (mm) | 1.9850 | 1.9894 | 1.9529 |
| Std (mm) | 1.6753 | 1.6774 | 1.6749 |
| MSE (mm2) | / | 0.0015 | 0.0033 |
| SNR (dB) | / | 32.5978 | 29.4041 |
| R | / | 0.9997 | 0.9994 |
| Anomaly Rate | Isolated 1 | Consecutive 2 | Mixed 3 |
|---|---|---|---|
| 1% | A1 | A2 | A3 |
| 2% | A4 | A5 | A6 |
| 4% | A7 | A8 | A9 |
| Data Set | Methods | ACC | FPR | FNR | TNR |
|---|---|---|---|---|---|
| A1 | 3σ criterion | 0.9983 | 0.0000 | 0.2000 | 1.0000 |
| Grubbs’ test | 0.9916 | 0.0034 | 0.6000 | 0.9966 | |
| Boxplot | 0.9966 | 0.0000 | 0.4000 | 1.0000 | |
| iForest | 0.9579 | 0.0424 | 0.0000 | 0.9576 | |
| DTIF | 1.0000 | 0.0000 | 0.0000 | 1.0000 | |
| A2 | 3σ criterion | 1.0000 | 0.0000 | 0.0000 | 1.0000 |
| Grubbs’ test | 0.9949 | 0.0000 | 0.6000 | 1.0000 | |
| Boxplot | 0.9966 | 0.0000 | 0.4000 | 1.0000 | |
| iForest | 0.9596 | 0.0407 | 0.0000 | 0.9593 | |
| DTIF | 1.0000 | 0.0000 | 0.0000 | 1.0000 | |
| A3 | 3σ criterion | 0.9983 | 0.0000 | 0.2000 | 1.0000 |
| Grubbs’ test | 0.9949 | 0.0000 | 0.6000 | 1.0000 | |
| Boxplot | 0.9983 | 0.0000 | 0.2000 | 1.0000 | |
| iForest | 0.9630 | 0.0374 | 0.0000 | 0.9626 | |
| DTIF | 1.0000 | 0.0000 | 0.0000 | 1.0000 | |
| A4 | 3σ criterion | 0.9949 | 0.0000 | 0.2727 | 1.0000 |
| Grubbs’ test | 0.9747 | 0.0103 | 0.8182 | 0.9897 | |
| Boxplot | 0.9933 | 0.0000 | 0.3636 | 1.0000 | |
| iForest | 0.9697 | 0.0309 | 0.0000 | 0.9691 | |
| DTIF | 1.0000 | 0.0000 | 0.0000 | 1.0000 | |
| A5 | 3σ criterion | 0.9949 | 0.0000 | 0.2727 | 1.0000 |
| Grubbs’ test | 0.9832 | 0.0000 | 0.9091 | 1.0000 | |
| Boxplot | 0.9865 | 0.0000 | 0.7273 | 1.0000 | |
| iForest | 0.9680 | 0.0326 | 0.0000 | 0.9674 | |
| DTIF | 1.0000 | 0.0000 | 0.0000 | 1.0000 | |
| A6 | 3σ criterion | 0.9933 | 0.0000 | 0.3636 | 1.0000 |
| Grubbs’ test | 0.9832 | 0.0051 | 0.6364 | 0.9949 | |
| Boxplot | 0.9933 | 0.0000 | 0.3636 | 1.0000 | |
| iForest | 0.9680 | 0.0326 | 0.0000 | 0.9674 | |
| DTIF | 1.0000 | 0.0000 | 0.0000 | 1.0000 | |
| A7 | 3σ criterion | 0.9798 | 0.0000 | 0.5455 | 1.0000 |
| Grubbs’ test | 0.9545 | 0.0140 | 0.8636 | 0.9860 | |
| Boxplot | 0.9781 | 0.0017 | 0.5455 | 0.9983 | |
| iForest | 0.9899 | 0.0105 | 0.0000 | 0.9895 | |
| DTIF | 0.9983 | 0.0017 | 0.0000 | 0.9983 | |
| A8 | 3σ criterion | 0.9848 | 0.0000 | 0.3913 | 1.0000 |
| Grubbs’ test | 0.9613 | 0.0000 | 1.0000 | 1.0000 | |
| Boxplot | 0.9848 | 0.0000 | 0.3913 | 1.0000 | |
| iForest | 0.9882 | 0.0123 | 0.0000 | 0.9877 | |
| DTIF | 1.0000 | 0.0000 | 0.0000 | 1.0000 | |
| A9 | 3σ criterion | 0.9714 | 0.0000 | 0.7391 | 1.0000 |
| Grubbs’ test | 0.9630 | 0.0018 | 0.9130 | 0.9982 | |
| Boxplot | 0.9731 | 0.0000 | 0.6957 | 1.0000 | |
| iForest | 0.9882 | 0.0123 | 0.0000 | 0.9877 | |
| DTIF | 1.0000 | 0.0000 | 0.0000 | 1.0000 |
| Factors | LASSO Coefficients | Factors | LASSO Coefficients |
|---|---|---|---|
| x1 | −0.1993 | x6 | −1.0983 |
| x2 | −0.0012 | x7 | −0.0227 |
| x3 | −0.0012 | x8 | −0.1885 |
| x4 | −0.0012 | x9 | −0.1174 |
| x5 | −1.0598 | x10 | 0.3394 |
| Monitoring Point | Model | MAE | RMSE | AEmax | R | R2 |
|---|---|---|---|---|---|---|
| DC2 | IRSA-RF | 0.1025 | 0.1322 | 0.5749 | 0.9949 | 0.9891 |
| RSA-RF | 0.1039 | 0.1371 | 0.6656 | 0.9943 | 0.9883 | |
| RF | 0.1181 | 0.1535 | 0.6700 | 0.9929 | 0.9853 |
| Monitoring Point | Model | MAE | RMSE | AEmax | R | R2 |
|---|---|---|---|---|---|---|
| DC2 | DE-IRSA-RF | 0.1025 | 0.1324 | 0.5773 | 0.9949 | 0.9891 |
| MLR | 0.2153 | 0.2376 | 0.4079 | 0.9955 | 0.9648 | |
| SVR | 0.2543 | 0.3396 | 1.1422 | 0.9834 | 0.9281 | |
| LSTM | 0.2098 | 0.2538 | 0.5600 | 0.9842 | 0.9599 |
| Monitoring Point | Model | MAE | RMSE | AEmax | R | R2 |
|---|---|---|---|---|---|---|
| DC4 | DE-IRSA-RF | 0.0732 | 0.0854 | 0.2160 | 0.9873 | 0.9347 |
| MLR | 0.1704 | 0.1902 | 0.5714 | 0.9921 | 0.9341 | |
| SVR | 0.1425 | 0.1807 | 0.6903 | 0.9763 | 0.9405 | |
| LSTM | 0.2195 | 0.2496 | 0.6223 | 0.9858 | 0.8866 | |
| DC5 | DE-IRSA-RF | 0.0753 | 0.0886 | 0.2501 | 0.9677 | 0.9298 |
| MLR | 0.1360 | 0.1574 | 0.3936 | 0.9002 | 0.7778 | |
| SVR | 0.2008 | 0.2640 | 0.5189 | 0.8871 | 0.3751 | |
| LSTM | 0.1373 | 0.1535 | 0.2924 | 0.9766 | 0.7886 |
Disclaimer/Publisher’s Note: The statements, opinions and data contained in all publications are solely those of the individual author(s) and contributor(s) and not of MDPI and/or the editor(s). MDPI and/or the editor(s) disclaim responsibility for any injury to people or property resulting from any ideas, methods, instructions or products referred to in the content. |
© 2025 by the authors. Licensee MDPI, Basel, Switzerland. This article is an open access article distributed under the terms and conditions of the Creative Commons Attribution (CC BY) license (https://creativecommons.org/licenses/by/4.0/).
Share and Cite
Deng, Z.; Wu, Q.; Huang, M. Two-Stage Dam Displacement Analysis Framework Based on Improved Isolation Forest and Metaheuristic-Optimized Random Forest. Buildings 2025, 15, 4467. https://doi.org/10.3390/buildings15244467
Deng Z, Wu Q, Huang M. Two-Stage Dam Displacement Analysis Framework Based on Improved Isolation Forest and Metaheuristic-Optimized Random Forest. Buildings. 2025; 15(24):4467. https://doi.org/10.3390/buildings15244467
Chicago/Turabian StyleDeng, Zhihang, Qiang Wu, and Minshui Huang. 2025. "Two-Stage Dam Displacement Analysis Framework Based on Improved Isolation Forest and Metaheuristic-Optimized Random Forest" Buildings 15, no. 24: 4467. https://doi.org/10.3390/buildings15244467
APA StyleDeng, Z., Wu, Q., & Huang, M. (2025). Two-Stage Dam Displacement Analysis Framework Based on Improved Isolation Forest and Metaheuristic-Optimized Random Forest. Buildings, 15(24), 4467. https://doi.org/10.3390/buildings15244467

