Comparative Study of the Degradation of CFRP–Concrete Interfacial Bond Performance with EP and MPC Adhesives Under Sulfate Freeze–Thaw Cycles
Abstract
1. Introduction
2. Materials and Methods
2.1. Experimental Materials
2.1.1. MPC
2.1.2. EP
2.1.3. Concrete
2.1.4. Salt Solution
2.1.5. CFRP
2.2. Experimental Design
2.2.1. Sulfate Freeze–Thaw Cycle
2.2.2. Compressive Strength Test
2.2.3. Double Shear Test
- 1.
- Preparation of Double Shear Specimens
- (1)
- Cast concrete prisms measuring 100 mm × 100 mm × 200 mm and cure under standard conditions for 28 days.
- (2)
- After casting, two opposite faces of each concrete specimen were prepared for CFRP bonding. Surfaces were ground with an angle grinder until the coarse aggregate was exposed, and surface roughness was measured with a profilometer to confirm a Ra of 30–50 μm. Prior to bonding, surfaces were cleaned with anhydrous ethanol and conditioned at 23 ± 2 °C and 60 ± 10% relative humidity for at least 24 h to ensure substrate dryness.
- (3)
- Clean the ground surfaces with anhydrous ethanol and mark the CFRP bonding areas.
- (4)
- Bond CFRP using either EP or MPC to evaluate adhesive effects on shear performance. The design bond length is 200 mm [44]. For EP bonding, mix components A and B in a 2:1 ratio, stir thoroughly, and apply to the bonding area. After approximately 7 h, reapply the epoxy, position the CFRP, roll to consolidate, reapply epoxy, and cure for 48 h. Repeat the same procedure on the opposite face. For MPC bonding, apply freshly mixed MPC to the bonding area, position the CFRP, roll to consolidate, apply an additional MPC layer over the CFRP, allow 6 h set time, and then repeat on the other face. The selection of 48 h curing for EP and 6 h hardening for MPC in this study is based on their markedly different curing behaviors. EP undergoes a relatively slow polymerization reaction, and a 48 h cure ensures attainment of a stable strength plateau. By contrast, MPC hardens via a rapid acid–base reaction and develops load-bearing early strength within 6 h, reflecting its advantage of fast setting and early strength gain. Spacers were placed on both sides of the concrete bonding area to control bond-layer thickness. After adhesive application, the layer was leveled with a trowel and the CFRP was rolled to ensure full contact. Spacers were removed to produce a uniform bond layer, and thickness was measured at the specimen side with a vernier caliper. The mean controlled thickness was 1.5 ± 0.5 mm for EP and 2.5 ± 0.5 mm for MPC. The thicker MPC layer, due to incorporated aggregate, was trimmed by sanding [45,46].
- (5)
- To mitigate stress concentration at the CFRP ends during loading, bond a 50 mm × 50 mm patch of carbon fiber fabric to each CFRP end using the corresponding adhesive.
- 2.
- Test Method
3. Results and Analysis
3.1. Compressive Strength
3.2. Interface Failure Modes
- (1)
- EP-bonded specimens
- (2)
- MPC-bonded specimens
3.3. Interfacial Load Capacity
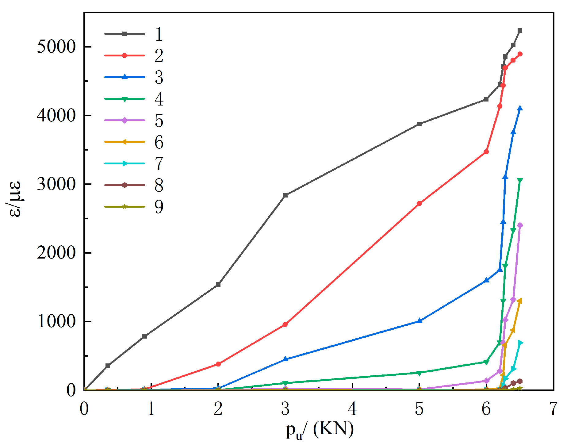
3.4. Strain Distribution
3.5. Stress Distribution
3.6. Effective Bond Length
3.7. Local Interface Bond–Slip Analysis
- (1)
- Bond–slip curves of double shear specimens
- (2)
- Local interface bond–slip constitutive relation
4. Conclusions
- (1)
- Under sulfate freeze–thaw cycles, most failures in both groups occurred near the concrete substrate side of the adhesive–concrete interface. EP specimens primarily exhibited shear failure of the concrete substrate, whereas MPC specimens mainly exhibited adhesive layer–concrete peeling. This contrast reflects the MPC adhesive’s lower permeability and greater post-freeze–thaw ductility, which favor interfacial peeling, whereas EP forms a dense barrier layer that provides higher initial bond strength but fails in a brittle manner.
- (2)
- The MPC group showed higher peak strains than the EP group by 9.28%, 10.13%, 5.99%, and 0.86% at 0, 25, 50, and 75 cycles, respectively, indicating greater ductility. Accordingly, MPC specimens can absorb more deformation energy before failure, thereby delaying damage propagation.
- (3)
- With increasing sulfate freeze–thaw cycles, the interfacial load capacity of both MPC- and EP-bonded specimens declined. The peak bond stress decreased, while the effective bond length generally increased with cycle number. After 75 cycles, compared with EP specimens, MPC specimens exhibited 16.56% lower interfacial load capacity, 21.53% lower peak bond stress, and a 6.03% shorter effective bond length. Thus, bond deterioration under sulfate freeze–thaw cycles was slightly greater for MPC than for EP.
- (4)
- Predictive models for effective bond length and for bond–slip behavior were calibrated to the experimental data for MPC and EP adhesives. The effective-bond-length model achieved R2 = 0.98 for the MPC group and R2 = 0.99 for the EP group. The bond–slip model produced R2 ranges of 0.93–0.96 (MPC) and 0.96–0.98 (EP), indicating close agreement with the experimental results.
Author Contributions
Funding
Data Availability Statement
Acknowledgments
Conflicts of Interest
References
- Naderi, M.; Rahbari, R. Efficiency of coating layers used for harsh environmental conditions protection of CFRP–strengthened concrete. J. Build. Eng. 2021, 44, 102892. [Google Scholar] [CrossRef]
- Liu, J.; Zhang, B.L.; Chen, F.J. CFRP–strengthened shear walls: Combined effects of CFRP and reinforcement ratio. Int. J. Mech. Sci. 2024, 282, 109634. [Google Scholar]
- Řepka, J.; Vlach, T.; Hájek, J. Flexural behavior of hollow HPC beams with cross–wound CFRP shear reinforcement. Eng. Struct. 2025, 322, 119055. [Google Scholar] [CrossRef]
- Souphavanh, S.; Sonoda, S. Impact Response in Flexural Strengthening of Reinforced Concrete Beams with CFRP Grid and PCM. Int. J. Civ. Eng. 2025, 23, 539–562. [Google Scholar]
- Teng, J.G. Behaviour of GFRP–strengthened RC cantilever slabs. Constr. Build. Mater. 2001, 15, 339–349. [Google Scholar] [CrossRef]
- Zang, Y.M.; Zhan, Y.L.; Liang, S.X. Study on the effects of steel bar diameter and anchorage length on bond-slip characteristics of reinforced concrete under freeze–thaw cycles. Constr. Build. Mater. 2025, 460, 139786. [Google Scholar] [CrossRef]
- Mei, X.F.; Zhang, Y.M.; Ni, D.Y. Analysis of the ion diffusion mechanism affecting the durability of concrete in saline–alkali soils in Western China. Constr. Build. Mater. 2025, 475, 141213. [Google Scholar] [CrossRef]
- Zhang, Y.S.; Jia, J. Salt-Lake Basin Bedrock Weathered Crust Gas Reservoir in the Altun Mountains Front of the Qaidam Basin, Western China. Acta Geol. Sin. 2023, 97, 1555–1567. [Google Scholar] [CrossRef]
- Wang, X.; Petrů, M. Mode I fracture evaluation of CFRP-to-concrete interfaces subject to aggressive environments agents: Freeze-thaw cycles, acid and alkaline solution. Compos. Part B Eng. 2019, 168, 581–588. [Google Scholar] [CrossRef]
- Jiang, F.; Yang, Q.; Wang, Y.; Wang, P.; Hou, D.; Jin, Z. Insights on the adhesive properties and debonding mechanism of CFRP/concrete interface under sulfate environment: From experiments to molecular dynamics. Constr. Build. Mater. 2021, 269, 121247. [Google Scholar] [CrossRef]
- Carloni, C.; Verre, S.; Sneed, L.H. Open issues on the investigation of PBO FRCM-Concrete debonding. Compos. Struct. 2022, 299, 116062. [Google Scholar] [CrossRef]
- Ciupack, Y.; Sternsdorff, S. Crack repair with CFRP patches and toughened EP adhesives. Adhäs. Kleb. Dicht. 2023, 67, 12–19. [Google Scholar] [CrossRef]
- Firmo, J.P.; Correia, J.R.; Pitta, D. Bond Behavior between Near–Surface–Mounted CFRP Strips and Concrete at High Temperatures. J. Compos. Constr. 2015, 19, 04014071. [Google Scholar] [CrossRef]
- Deng, J.; Surahman, R.; Huang, H. Improving bonding performance of PCM–concrete interface under elevated temperatures by using different adhesives. J. Adhes. Sci. Technol. 2024, 38, 4220–4235. [Google Scholar] [CrossRef]
- Huang, Y.Q.; Wong, C.K.C.; Zheng, J.S. Bisphenol A (BPA) in China: A review of sources, environmental levels, and potential human health impacts. Environ. Int. 2012, 42, 91–99. [Google Scholar] [CrossRef]
- Quan, D.; Zhao, G.Q.; Scarselli, G. Co-curingg bonding of carbon fibre/epoxy composite joints with excellent structure integrityusing carbon1 fibre/PEEK tapes. Compos. Sci. Technol. 2022, 227, 109567. [Google Scholar] [CrossRef]
- Walling, S.A.; Provis, J.L. Magnesia–Based Cements: A Journey of 150 Years, and Cements for the Future? Chem. Rev. 2016, 116, 4170–4204. [Google Scholar] [CrossRef]
- Fang, B.; Hu, Z.; Shi, T.; Liu, Y.; Wang, X.; Yang, D.; Zhu, K.; Zhao, X.; Zhao, Z. Research progress on the properties and applications of magnesium phosphate cement. Ceram. Int. 2023, 49, 4001–4016. [Google Scholar] [CrossRef]
- Ding, Z. Study on an Improved Phosphate Cement Binder for the Development of Fiber–Reinforced Inorganic Polymer Composites. Polymers 2014, 6, 2819–2831. [Google Scholar] [CrossRef]
- Nie, S.; Guo, A.F.; Feng, H. Bonding properties of composite interface composed of concrete/magnesium phosphate cement–based ECC/CFRP plate. J. Build. Eng. 2024, 90, 109486. [Google Scholar] [CrossRef]
- Sun, W.; Zheng, Y.; Zhou, L.Z. A study of the bond behavior of FRP bars in MPC seawater concrete. Adv. Struct. Eng. 2021, 24, 1110–1123. [Google Scholar] [CrossRef]
- Li, Y.; Bai, W.; Shi, T. A study of the bonding performance of magnesium phosphate cement on mortar and concrete. Constr. Build. Mater. 2017, 142, 459–468. [Google Scholar] [CrossRef]
- Ma, J.; Wang, H.Y.; Tian, Y.W. Preparation of Nanoscale β–Zeolite by Microwave Radiation Method. Bull. Chin. Ceram. Soc. 2006, 25, 10–12. [Google Scholar]
- Li, J.; Zhang, W.; Cao, Y. Laboratory evaluation of magnesium phosphate cement paste and mortar for rapid repair of cement concrete pavement. Constr. Build. Mater. 2014, 58, 122–128. [Google Scholar] [CrossRef]
- Li, Y.; Bai, W. Research on Axial Compression Test of CFRP Confined Concrete Column With MPC. J. Beijing Univ. Technol. 2017, 43, 467–472. [Google Scholar]
- Yao, Y.; Wang, Z.; Wang, L. Durability of concrete under combined mechanical load and environmental actions: A review. J. Sustain. Cem. Based Mater. 2012, 1, 2–15. [Google Scholar] [CrossRef]
- Sarkar, A.K. Phosphate Cement-based fast-setting bonders. Am. Ceram. Soc. Bull. 1990, 69, 234–238. [Google Scholar]
- Yuan, J.; Zhang, Z.P.; Chen, X. Microstructures and Properties of Modified Magnesium Phosphate Cement Mortar Prepared at Low Temperatures and Subjected to Freeze-Thaw Cycling at Early Ages. J. Wuhan Univ. Technol. Mater. Sci. Ed. 2025, 40, 427–438. [Google Scholar] [CrossRef]
- Zhu, D.; Li, Z.; Xing, F. Chemical durability investigation of magnesium phosphosilicate cement. Key Eng. Mater. 2006, 302–303, 275–281. [Google Scholar] [CrossRef]
- Li, Y.; Shi, T.; Li, J. Effects of fly ash and quartz sand on water–resistance and salt–resistance of magnesium phosphate cement. Constr. Build. Mater. 2006, 105, 384–390. [Google Scholar] [CrossRef]
- Li, C.Z.; Meng, X.K.; Zhu, J.C. Corrosion resistance of magnesium phosphate cement under long–term immersion in different solutions. J. Build. Eng. 2023, 66, 105879. [Google Scholar] [CrossRef]
- Yang, B.; Ji, Y. Sulfate Freeze–Thaw Resistance of Magnesium Potassium Phosphate Cement Mortar. Materials 2022, 15, 3342. [Google Scholar] [CrossRef]
- Shan, C.M.; Yang, J.M.; Chen, Y.D. Experimental study on salt freeze-thaw resistance of magnesium potassium phosphate cement paste in coastal areas. Bull. Chin. Ceram. Soc. 2019, 38, 3687–3694. [Google Scholar]
- Jun, L.; Yongsheng, J.; Linglei, Z.; Benlin, L. Resistance to sulfate attack of magnesium phosphate cement–coated concrete. Constr. Build. Mater. 2019, 195, 156–164. [Google Scholar] [CrossRef]
- Li, J.; Ji, Y.; Huang, G.; Zhang, L. Microstructure evolution of a magnesium phosphate protective layer on concrete structures in a sulfate environment. Coatings 2018, 8, 140. [Google Scholar] [CrossRef]
- Li, Y.; Shi, T.; Li, Y.; Bai, W.; Lin, H. Damage of magnesium potassium phosphate cement under dry and wet cycles and sulfate attack. Constr. Build. Mater. 2019, 210, 111–117. [Google Scholar] [CrossRef]
- Yan, K.; Song, Y.B.; Yuan, T.F. Comparative axial compressive behavior of CFRPs-confined columns containing high-performance magnesium phosphate cement-based composites and epoxy resin. Case Stud. Constr. Mater. 2025, 23, e05340. [Google Scholar] [CrossRef]
- Feng, X.Z.; Ren, J.G.; Liu, Q.L. Tailoring magnesium potassium phosphate cement-based adhesive for the improved bonding performance of CFRP/concrete interface. Constr. Build. Mater. 2024, 453, 139121. [Google Scholar] [CrossRef]
- Zhang, J.W.; Li, H.; Liu, S.W. Effects of sulfate and freeze–thaw cycles on the bond behavior of CFRP–concrete interface. Constr. Build. Mater. 2023, 368, 130368. [Google Scholar] [CrossRef]
- GB/T 8077-2023; Methods for Testing Uniformity of Concrete Admixtures. State Administration for Market Regulation & Standardization Administration of China: Beijing, China, 2023.
- Yao, Y.Y.; Zhang, D. Mechanical and microscopic properties of magnesium phosphate cement-based concrete with fly ash. J. Build. Eng. 2024, 91, 109640. [Google Scholar] [CrossRef]
- DL/T 5150–2017; Test Code for Hydraulic Concrete. China Electric Power Press: Beijing, China, 2017.
- GB/T 50081–2019; Standard for Test Methods of Concrete Physical and Mechanical Properties. China Architecture and Building Press: Beijing, China, 2019.
- Liu, S.W.; Zhang, J.W.; Zhao, J.C. Effect of sulfate dry-wet cycles on the interfacial bonding performance of carbon fiber reinforced epoxy resin-concrete. Acta Mater. Compos. Sin. 2018, 35, 16–23. [Google Scholar]
- Guo, S.H.; Zhang, J.R.; Gao, Y. Effect of Adhesive Thickness on Bond Behavior of CFRP Plate-concrete Interface. J. Highw. Transp. Res. Dev. 2015, 32, 87–91,97. [Google Scholar]
- Hawileh, R.; Douier, K.; Gowrishankar, P. Durability of externally strengthened concrete prisms with CFRP laminates and galvanized steel mesh attached with epoxy adhesives and mortar. Compos. Part C Open Access 2024, 14, 100493. [Google Scholar] [CrossRef]
- Jiang, L.; Niu, D.T. Deterioration Law of Concrete under Combined Action of Sulfate and Freeze–Thaw Cycles. J. Cent. South Univ. (Sci. Technol.) 2016, 47, 3208–3216. [Google Scholar]
- Jiang, L. Durability of concrete under sulfate attack exposed to freeze–thaw cycles. Cold Reg. Sci. Technol. 2015, 112, 112–117. [Google Scholar] [CrossRef]
- Ren, H.T.; Hu, A.N.; Zhao, G.F. Influence of Freeze–Thaw Cycles on Mechanical Performance of Concrete Beams Reinforced with Glass Fiber Cloth. J. Civ. Eng. 2004, 37, 104–110. [Google Scholar]
- Chen, J.F.; Teng, J.G. Anchorage strength models for FRP and steel plates bonded to concrete. J. Struct. Eng. 2001, 127, 784–791. [Google Scholar] [CrossRef]
- Xiong, H.X.; Zhang, Q.; Guo, S.H. Adhesive thickness effect upon the CFRP plate–concrete interface bond behaviours. Eng. Res. Express 2025, 7, 015101. [Google Scholar] [CrossRef]
- Yang, Q.B. Mechanism of Salt Freezing Damage in Concrete (II): Freeze–Thaw Saturation Degree and Ice Formation Pressure. J. Build. Mater. 2012, 15, 741–746. [Google Scholar]
- Zhang, L.C.; Zhang, A.L.; Wang, Q. Corrosion resistance of wollastonite modified magnesium phosphate cement paste exposed to freeze–thaw cycles and acid–base corrosion. Case Stud. Constr. Mater. 2020, 13, e00421. [Google Scholar] [CrossRef]
- Rahman, M.M.; Islam, A. Application of epoxy resins in building materials: Progress and prospects. Polym. Bull. 2022, 79, 1949–1975. [Google Scholar] [CrossRef]
- Ding, Z.; Li, Z.J. Preparation and Properties of Early–Strength Phosphoaluminate Cement. Chin. J. Mater. Res. 2006, 20, 141–147. [Google Scholar]
- Ma, C. Properties of magnesium phosphate cement containing redispersible polymer powder. Constr. Build. Mater. 2016, 113, 255–263. [Google Scholar] [CrossRef]
- Du, Y.B.; Gao, P.W.; Yang, J.M.; Shi, F.T. Research on the Chloride Ion Penetration Resistance of Magnesium Phosphate Cement (MPC) Material as Coating for Reinforced Concrete Structures. Coatings 2020, 10, 1145. [Google Scholar] [CrossRef]
- Zhang, J.; Yang, H.T.; Hu, X.M. Effect of Steel Fiber on Mechanical Properties and Microstructure of Magnesium Phosphate Cement–Based Concrete Exposed to Water and Sulfate Attack. J. Mater. Civ. Eng. 2023, 35, 04023450. [Google Scholar] [CrossRef]
- Steiger, M.; Asmussen, S. Crystallization of sodium sulfate phases in porous materials: The phase diagram Na2SO4-H2O and the generation of stress. Geochim. Cosmochim. Acta 2008, 72, 4291–4306. [Google Scholar] [CrossRef]
- Zhang, L.W.; Wu, Q.; Akbar, M. Multiscale investigation of differential corrosion mechanisms in magnesium potassium phosphate cement coatings under chloride and sulfate attack. J. Build. Eng. 2025, 112, 113842. [Google Scholar] [CrossRef]
- Torii, K.; Taniguchi, K.; Kawamura, M. Sulfate resistance of high fly ash content concrete. Cem. Concr. Res. 1995, 25, 759–768. [Google Scholar] [CrossRef]
- Zhou, Z.H.; Wang, Q.; Shen, Y.J. Interfacial debonding mechanism of magnesium phosphate cement onto old concrete substrates under freeze-thaw conditions. Compos. Part B Eng. 2024, 268, 111076. [Google Scholar] [CrossRef]
- Manson, J.A.; Chiu, E.H. Permeation of liquid water in a filled epoxy resin. J. Polym. Sci. Polym. Symp. 1973, 41, 95–108. [Google Scholar] [CrossRef]
- Ajir, K.; Toufigh, V.; Ghaemian, M. Protecting ordinary cement concrete against acidic and alkaline attacks utilizing epoxy resin coating. Constr. Build. Mater. 2025, 472, 141003. [Google Scholar] [CrossRef]
- Yuan, H.; Teng, J.G.; Seracino, R. Full–range behavior of FRP–to–concrete bonded joints. Eng. Struct. 2004, 26, 553–565. [Google Scholar] [CrossRef]
- Nakaba, K.; Kanakubo, T.; Furuta, T. Bond behavior between fiber–reinforced polymer laminates and concrete. Struct. J. 2001, 98, 359–367. [Google Scholar]
- Rizkalla, S.; Hassan, T. Design recommendations for the use of FRP for reinforcement and strengthening of concrete structures. Prog. Struct. Eng. Mater. 2003, 5, 16–28. [Google Scholar] [CrossRef]
- Chaallal, O.; Nollet, M. Perraton, Strengthening of reinforced concrete beams with externally bonded fiber–reinforced–plastic plates. Can. J. Civ. Eng. 1998, 25, 62–70. [Google Scholar] [CrossRef]
- Liu, L.M.; Zhang, W.P.; Gu, X.L. Study on Bond Performance and Durability of Carbon Fiber Sheet to Concrete. Build. Struct. 2006, A1, 788–791. [Google Scholar]
- Lu, X.Z.; Tan, Z.; Ye, L.P. Finite element analysis of interfacial bond behavior between FRP sheet and concrete. Eng. Mech. 2004, 21, 45–51. [Google Scholar]



















| Oxide | MgO | SiO2 | Al2O3 | Fe2O3 | CaO | Other |
|---|---|---|---|---|---|---|
| Content | 90.52 | 3.14 | 2.41 | 1.54 | 1.48 | 0.91 |
| P | M | B | W | FA | SF |
|---|---|---|---|---|---|
| 242 | 547.2 | 61 | 153 | 30.4 | 30.4 |
| W | C | FA | S | G |
|---|---|---|---|---|
| 165 | 371 | 110 | 761 | 1010 |
| Basis Weight (g/m2) | 300 |
| Tensile Strength (MPa) | ≥3400 |
| Elongation (%) | ≥1.6 |
| Thickness (mm) | 0.167 |
| Elastic Modulus (GPa) | ≥230 |
| Adhesive Material | Number of Freeze–Thaw Cycles | Specimen Number |
|---|---|---|
| MPC | 0 | M0 |
| 25 | MD25 | |
| 50 | MD50 | |
| 75 | MD75 | |
| EP | 0 | E0 |
| 25 | ED25 | |
| 50 | ED50 | |
| 75 | ED75 |
| Specimen Number | (kN) | (MPa) | |||||
|---|---|---|---|---|---|---|---|
| M0 | 6.5 | 0.06 | - | 0.68 | 0.106 | - | 5238.51 |
| MD25 | 6.15 | 0.13 | −5.35% | 0.65 | 0.101 | 5.32% | 4962.06 |
| MD50 | 5.35 | 0.21 | −17.70% | 0.56 | 0.087 | 17.68% | 4263.23 |
| MD75 | 3.06 | 0.14 | −52.89% | 0.32 | 0.05 | 52.88% | 2545 |
| E0 | 6.81 | 0.02 | - | 0.72 | 0.111 | - | 4790.43 |
| ED25 | 6.77 | 0.22 | −0.53% | 0.71 | 0.111 | 0.53% | 4459.66 |
| ED50 | 5.89 | 0.14 | −13.47% | 0.62 | 0.096 | 13.47% | 4031.38 |
| ED75 | 3.94 | 0.19 | −42.07% | 0.42 | 0.064 | 42.07% | 2617.62 |
Disclaimer/Publisher’s Note: The statements, opinions and data contained in all publications are solely those of the individual author(s) and contributor(s) and not of MDPI and/or the editor(s). MDPI and/or the editor(s) disclaim responsibility for any injury to people or property resulting from any ideas, methods, instructions or products referred to in the content. |
© 2025 by the authors. Licensee MDPI, Basel, Switzerland. This article is an open access article distributed under the terms and conditions of the Creative Commons Attribution (CC BY) license (https://creativecommons.org/licenses/by/4.0/).
Share and Cite
Wu, Q.; Zhang, J.; Huang, W.; Han, S.; Zheng, Y.; Hu, P.; Niu, Y. Comparative Study of the Degradation of CFRP–Concrete Interfacial Bond Performance with EP and MPC Adhesives Under Sulfate Freeze–Thaw Cycles. Buildings 2025, 15, 4111. https://doi.org/10.3390/buildings15224111
Wu Q, Zhang J, Huang W, Han S, Zheng Y, Hu P, Niu Y. Comparative Study of the Degradation of CFRP–Concrete Interfacial Bond Performance with EP and MPC Adhesives Under Sulfate Freeze–Thaw Cycles. Buildings. 2025; 15(22):4111. https://doi.org/10.3390/buildings15224111
Chicago/Turabian StyleWu, Qingyang, Jiawei Zhang, Wei Huang, Shuhao Han, Yong Zheng, Pu Hu, and Yuanchun Niu. 2025. "Comparative Study of the Degradation of CFRP–Concrete Interfacial Bond Performance with EP and MPC Adhesives Under Sulfate Freeze–Thaw Cycles" Buildings 15, no. 22: 4111. https://doi.org/10.3390/buildings15224111
APA StyleWu, Q., Zhang, J., Huang, W., Han, S., Zheng, Y., Hu, P., & Niu, Y. (2025). Comparative Study of the Degradation of CFRP–Concrete Interfacial Bond Performance with EP and MPC Adhesives Under Sulfate Freeze–Thaw Cycles. Buildings, 15(22), 4111. https://doi.org/10.3390/buildings15224111
