Three-Dimensional Numerical Analyses of a Monitored Deep Excavation Pit: A Case Study in the Guangzhou Metro
Abstract
1. Introduction
2. Project Overview
2.1. Study Area
2.2. Geological and Hydrogeological Conditions
2.3. Construction Sequence of the Excavation Pit
- ①
- Complete site enclosure and pipeline relocation, while constructing the bored piles and cutoff walls for the retaining structures.
- ②
- Excavate the pit to the underside of the top slab and build the cover-and-excavation top slab, leaving openings for soil removal, while constructing floor slabs for each level.
- ③
- Once the top slab attains the required strength, pour concrete and apply waterproofing, backfill the top slab with soil, and reinstate the road surface.
- ④
- Excavate further to the underside elevation of the Level-1 intermediate slab, pour the Level-1 slab, and complete the reinforcement connections with the retaining piles.
- ⑤
- Once the Level-1 intermediate slab meets the design strength, excavate to the underside of the Level-2 slab, construct it, and finalize reinforcement connections.
- ⑥
- Following the attainment of design strength in the Level-2 slab, excavate to the bottom of the Level-3 slab (with shallow pits using the base slab), build the slab and sidewall waterproofing, and complete reinforcement connections.
- ⑦
- After the Level-3 slab and sidewalls attain design strength, excavate to construct the Level-4 intermediate slab and finalize the reinforcement connections.
- ⑧
- Once the Level-4 slab achieves design strength, continue excavation to the pit bottom, perform waterproofing at the bottom of the ventilation shaft, and construct the base slab along with the remaining sidewall structures.
3. Field Monitoring
3.1. Monitoring Scheme
3.1.1. Monitored Parameters
3.1.2. Monitoring Points
- (1)
- inclinometer: used to measure the horizontal displacement of retaining piles, with an accuracy of ±2 mm/30 m;
- (2)
- level Instrument: used to measure settlement at pile tops and ground surface, with an accuracy of ±0.5 mm;
- (3)
- theodolite: used to measure horizontal displacement at pile tops, with an accuracy of ±1 mm.
3.2. Monitoring Data Analysis
3.2.1. Lateral Deformation of Retaining Piles
3.2.2. Vertical Soil Deformation Outside the Pit
4. Numerical Analyses
4.1. Finite Element Model
4.1.1. Basic Assumptions
- (1)
- The soil and rock mass is considered as a continuous, homogeneous, and isotropic medium;
- (2)
- The rock strata are treated as homogeneously layered, and the initial stress field considers only the self-weight stress;
- (3)
- The retaining and main structural materials are simplified as linear elastic materials for simulation;
- (4)
- The influence of groundwater is not considered;
- (5)
- The time-dependent deformation of soil and rock and the influence of time-related factors on surrounding rock stability are not taken into account.
4.1.2. Constitutive Model and Material Parameters
4.1.3. Model Dimensions and Mesh Discretization
4.1.4. Boundary Conditions and Load Application
4.1.5. Simulation Steps
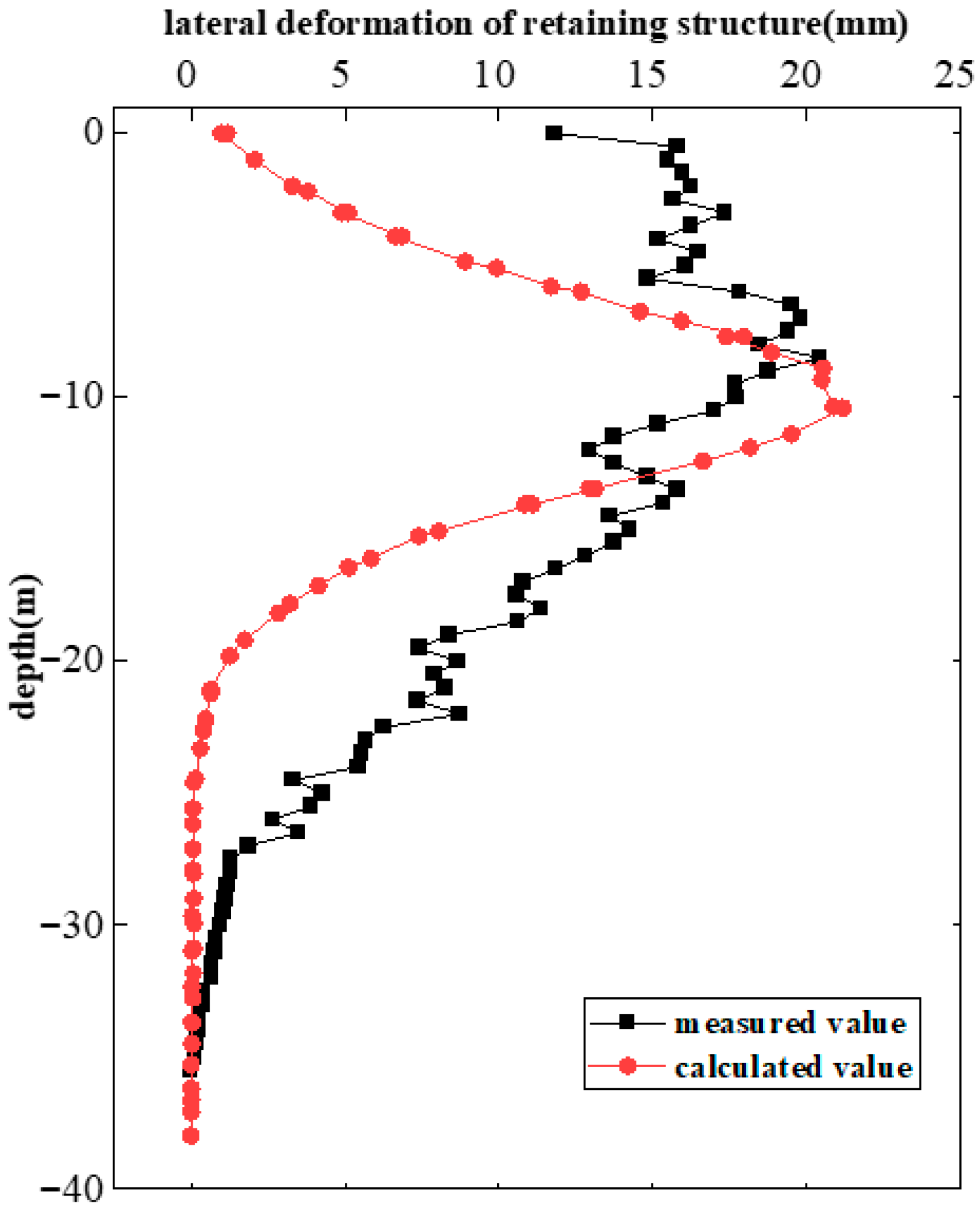
4.2. Verification of Model Rationality
5. Optimization Study of the Retaining Structure for the Excavation Pit
5.1. Effect of Retaining Structure Parameters on the Deformations of the Excavation Pit
5.1.1. Effect of Pile Diameter on the Deformations of the Excavation Pit
- (1)
- Influence of Pile Diameter on the Horizontal Lateral Displacement of Retaining Structures
- (2)
- Effect of Pile Diameter on Horizontal Lateral Displacement of Retaining Structures
5.1.2. Effect of Pile Spacing on the Deformations of the Excavation Pit
5.1.3. Effect of Embedment Depth on the Deformations of the Excavation Pit
5.1.4. Analysis of the Influence of Retaining Structure Types on Foundation Pit Deformation
5.2. Comparison Between the Optimized Design and the Original Design of the Retaining Structure
5.2.1. Comparison of Deformations
5.2.2. Comparison of Overall Stability
- (1)
- Stability Check of the Excavation against Overturning
- (1)
- Overturning Stability Check (Moment taken about the base of the support:In the formula: —Overturning-resisting moment at the pile base due to passive earth pressure and support reactions;—Overturning moment at the pile base due to active earth pressure.
- (2)
- Overturning (toe failure) stability check:In the formula: —Safety factor for overturning stability;—Sum of overturning-resisting moments from the passive zone (kN·m);—Sum of overturning-driving moments from the active zone (kN·m)
- (2)
- Verification of Basal heave
5.2.3. Cost Comparison
6. Conclusions
- (1)
- Field monitoring of the cover excavation reverse deep foundation pit indicates that the lateral deformation of the retaining piles along the long sides of the pit is greater than that along the short sides. The maximum deformation on the short sides is 16.22 mm, while the long sides reach 20.59 mm. Within the monitored area, the maximum surface settlement outside the pit is approximately 11 mm, and the maximum heave is about 13 mm.
- (2)
- Increasing pile diameter and reducing pile spacing can effectively reduce foundation pit deformation. However, when the pile diameter reaches 1000 mm and the spacing is 1600 mm, further adjustments have limited effect on deformation control. An appropriate embedding depth of the retaining structure is beneficial for deformation control, but excessive depth increases construction difficulty and cost. In terms of deformation control, diaphragm walls outperform bored piles and composite piles, and all three types of structures are feasible in the Guangzhou soil-rock composite strata, offering practical applicability.
- (3)
- Orthogonal tests on retaining structure embedding depth and pile diameter determined the optimal embedding depth as 4 m for shallow pits and 2.5 m for deep pits, with an optimal pile diameter of 1000 mm. Performance evaluation of the optimal scheme showed that it significantly improves economic efficiency while ensuring that pit stability and deformation control meet the required standards.
Author Contributions
Funding
Data Availability Statement
Conflicts of Interest
References
- Zhou, D.; Mei, Y.; Ke, X.; Liu, Z.; Xu, W. Study on the structural behavior and reinforcement design of openings in subway station floor slabs. J. Build. Eng. 2024, 98, 110994. [Google Scholar] [CrossRef]
- Wang, X.; Chen, C. Vibration Table Test of Prefabricated L-Shaped Column Concrete Structure. Buildings 2025, 15, 2329. [Google Scholar] [CrossRef]
- Wang, X.; Wang, B.; Yuan, Y.; Yang, T.; Dong, G.; Shi, C. Study on the Effect of EICP Combined with Nano-SiO2 and Soil Stabilizer on Improving Loess Surface Strength. Buildings 2025, 15, 1998. [Google Scholar] [CrossRef]
- Liu, Z.; Zhu, J. Numerical simulation of construction mechanics for cut-and-cover reverse metro interchange stations. Low Temp. Archit. Technol. 2021, 43, 94–97. [Google Scholar]
- Ma, Y.; Ling, T. Research on attitude control technology of steel pipe columns in metro stations constructed by the cover-and-cut method. Eng. Constr. 2021, 53, 56–61. [Google Scholar]
- Wang, Z.; Zhao, Y.; Yang, X.; Ding, Z.; Zhu, W.; Wang, Q. Study on Bearing Capacity of the Existing Engineering Pile Group without Lateral Displacement during Dynamic Top-Down Construction. Adv. Civ. Eng. 2022, 2022, 4034227. [Google Scholar] [CrossRef]
- Houhou, M.N.; Emeriault, F.; Belounar, A. Three-Dimensional Numerical Back-Analysis of a Monitored Deep Excavation Retained by Strutted Diaphragm Walls. Tunn. Undergr. Space Technol. 2019, 83, 153–164. [Google Scholar] [CrossRef]
- Yang, Z.; Chen, Y.; Azzam, R.; Yan, C. Performance of a top-down excavation in shanghai: Case study and numerical exploration. Eur. J. Environ. Civ. Eng. 2021, 26, 7932–7957. [Google Scholar] [CrossRef]
- Russo, G.; Nicotera, M.V.; Esposito, I. 3D FEM Back Analysis of the Observed Performance of a Very Deep Excavation in the Historical Center of Naples, Italy. J. Geotech. Geoenviron. Eng. 2024, 150, 4024010. [Google Scholar] [CrossRef]
- Bai, T.; Xie, D. The Deformation Analysis of a Deep Frame Top-down Excavation in Downtown Shanghai Based on the 3D FEM. Adv. Civ. Eng. 2021, 2021, 2947544. [Google Scholar] [CrossRef]
- Koltuk, S.; Azzam, R. Design Charts for Circular-Shaped Sheeted Excavation Pits against Seepage Failure by Heave. Period. Polytech. Civ. Eng. 2016, 60, 421–426. [Google Scholar] [CrossRef]
- Li, X.; Zhou, T.; Wang, Y.; Han, J.; Wang, Y.; Tong, F.; Li, D.; Wen, J. Response Analysis of Deep Foundation Excavation and Dewatering on Surface Settlements. Adv. Civ. Eng. 2020, 2020, 8855839. [Google Scholar] [CrossRef]
- Koltuk, S.; Fernandez-Steeger, T. Evaluation of seepage failure by heave in homogeneous cohesionless soils using finite element method. Int. J. Geotech. Eng. 2022, 16, 1201–1210. [Google Scholar] [CrossRef]
- Fernández, F.; Juajinoy, D.S.C.; Vargas, E.; Velloso, R.Q.; Dias, D. Basal Heave Stability Analysis of a Circular Shaft Excavation Considering FEM, NLA, and MPM Approaches. Geotech. Geol. Eng. 2024, 42, 2601–2622. [Google Scholar] [CrossRef]
- Yong, T.; Wang, D. Characteristics of a Large-Scale Deep Foundation Pit Excavated by the Central-Island Technique in Shanghai Soft Clay. II: Top-Down Construction of the Peripheral Rectangular Pit. J. Geotech. Geoenviron. Eng. 2013, 139, 1894–1910. [Google Scholar]
- Huang, Z.; Liu, C.; Zhang, N.; Wang, G.; Yu, F. Influence of cover-and-cut construction of deep foundation pits in water-rich sandy strata on surrounding environment. Urban Rail Transit Res. 2024, 27, 188–195. [Google Scholar]
- He, Y.; Li, H.; He, Y.; Chen, C.; Zhao, P.; Xu, Y.; Zhang, X.; Cheng, H. Measured analysis of excavation deformation of deep foundation pits in metro stations constructed by cover-and-cut method. Build. Struct. 2021, 51, 1940–1944. [Google Scholar]
- Li, W.; Zhang, C. Key technologies in design and construction of pile foundations for underground structures constructed by cover-and-cut method in reclaimed silt strata. Build. Technol. Dev. 2022, 49, 154–158. [Google Scholar]
- Jamsawang, P.; Jamnam, S.; Jongpradist, P.; Tanseng, P.; Horpibulsuk, S. Numerical Analysis of Lateral Movements and Strut Forces in Deep Cement Mixing Walls with Top-down Construction in Soft Clay. Comput. Geotech. 2017, 88, 174–181. [Google Scholar] [CrossRef]
- Li, P.; Li, Z.; Ge, H.; Guo, F. Deformation characteristics and redundancy analysis of deep foundation pit excavation of metro stations constructed by the cover-and-cut method in sandy strata. Tunn. Constr. 2023, 43, 98–108. [Google Scholar]
- Hsiung, B.C.B.; Phan, H.K. Exploration of Maximum Wall Deflection and Stability for Deep Excavation in Loose to Medium-Dense Sand. Acta Geotech. 2024, 19, 531–547. [Google Scholar] [CrossRef]
- Lin, Z.; Xie, S.; Xia, C.; Dou, H. Design and Practice of Deep Foundation Pits for Large Storage Ponds in Complex Environments. Sustainability 2022, 14, 14046. [Google Scholar] [CrossRef]
- JGJ 120-2012; Technical Specification for Retaining and Protection of Building Foundation Excavations. China Architecture & Building Press: Beijing, China, 2012.
- Chen, Y. Study on Excavation Deformation and Optimization Design of Supporting Structure of Ultra-Large Deep Foundation Pit of Pazhou Station of Guangzhou Metro. Master’s Thesis, Changsha University of Science and Technology, Changsha, China, 2021. [Google Scholar]
























| Monitored Parameters | Location of Instrumentation | Instrumentation | Monitoring Limits | ||
|---|---|---|---|---|---|
| Design Value | Alarm Value | Rate of Change | |||
| Horizontal and vertical displacement at pile tops | Top of bored pile | Theodolite, Level Instrument | 30 mm | 80% of design value | 3 mm/d |
| Surface settlement | Around the pit perimete | Level Instrument | 30 mm | 80% of design value | 3 mm/d |
| No. | Soil Type | Density ρ/(g/cm3) | Young’s Modulus (MPa) | Cohesion (kPa) | Internal Friction Angle (°) | Poisson’s Ratio | Thickness of Layer (m) |
|---|---|---|---|---|---|---|---|
| 1 | Artificial Fill | 1.87 | 10 | 10 | 15 | 0.3 | 2.2 |
| 2 | Silty Clay | 1.92 | 6 | 14.0 | 10.2 | 0.4 | 2.9 |
| 3 | Medium-Coarse Sand | 1.95 | 12 | 3 | 26 | 0.30 | 0.9 |
| 4 | Silty Clay | 1.92 | 6 | 14.0 | 10.2 | 0.4 | 1.1 |
| 5 | Silty Fine Sand | 1.77 | 8 | 3 | 22 | 0.35 | 1.201 |
| 6 | Silty Clay | 1.92 | 6 | 14.2 | 11.4 | 0.4 | 0.6 |
| 7 | Medium-Coarse Sand | 1.95 | 25 | 2 | 34 | 0.30 | 3 |
| 8 | Silty Clay | 1.92 | 6 | 23.9 | 18.0 | 0.4 | 1.55 |
| 9 | Completely Weathered Clastic Rock | 2.02 | 60 | 26.7 | 23 | 0.30 | 3 |
| 10 | Highly Weathered (Gravelly) Siltstone | 2.05 | 80 | 28 | 25 | 0.25 | 6.2 |
| 11 | Moderately Weathered (Gravelly) Siltstone | 2.29 | 2000 | 150 | 28 | 0.20 | 7 |
| 12 | Slightly Weathered Gravelly Sandstone | 2.660 | 7500 | 480 | 34 | 0.20 | 1.5 |
| 13 | Moderately Weathered (Gravelly) Siltstone | 2.29 | 2000 | 150 | 28 | 0.20 | 1.4 |
| 14 | Slightly Weathered Gravelly Sandstone | 2.660 | 7500 | 480 | 34 | 0.20 | / |
| Structure Name | Unit Weight (kN/m3) | Elastic Modulus (MPa) | Poisson’s Ratio |
|---|---|---|---|
| Retaining Pile Equivalent Diaphragm Wall (1.2 m Thickness) | 25 | 13,914 | 0.2 |
| Top Slab | 25 | 32,500 | 0.2 |
| Middle Slab, Base Slab, Side Walls | 25 | 31,500 | 0.2 |
| Analysis Steps | Simulation Process |
|---|---|
| Step 1 | Geostatic stress equilibrium to eliminate displacements caused by the self-weight of soil |
| Step 2 | Excavation of soil around the retaining structure and construction of the retaining system |
| Step 3 | Excavation of the foundation pit to the bottom of the top slab |
| Step 4 | Construction of the top-down excavation top slab |
| Step 5 | Backfill soil above the top slab and excavate the pit to the bottom of the first basement middle slab |
| Step 6 | Construction of the first basement middle slab |
| Step 7 | Excavation of the pit to the bottom of the second basement middle slab |
| Step 8 | Construction of the second basement middle slab |
| Step 9 | Excavation of the pit to the bottom of the third basement middle slab |
| Step 10 | Construction of the third basement middle slab and the side walls above it |
| Step 11 | Excavation of the pit to the bottom of the fourth basement middle slab |
| Step 12 | Construction of the fourth basement middle slab |
| Step 13 | Excavation of the pit to the foundation bottom |
| Step 14 | Construction of the base slab and the side walls of the fourth and fifth basement levels |
| Pile Diameter (mm) | 800 | 1000 | 1200 | 1400 |
| Maximum Displacement (mm) | 37.081 | 25.701 | 20.87 | 17.86 |
| Deformation Change Value (mm) Change in Dislacement/mm | 0 | 13.68 | 4.831 | 3.005 |
| Relative Change | — | 30.69% | 18.79% | 14.4% |
| Displacement-to-Diameter Ratio | 0.046 | 0.0257 | 0.01739 | 0.01276 |
| Pile Diameter (mm) | 800 | 1000 | 1200 | 1400 |
| Maximum Displacement (mm) | 32.32 | 20.09 | 13.12 | 8.89 |
| Deformation Change Value (mm) | 0 | 12.23 | 6.97 | 4.2352 |
| Relative Change | — | 37.84% | 34.69% | 32.28% |
| Displacement-to-Diameter Ratio | 0.0404 | 0.02009 | 0.01093 | 0.0064 |
| Retaining Structure Type | Pile Diamete (mm) | Pile Spacing (mm) | Flexural Stiffness EI/kN·m2 | Equivalent Diaphragm Wall Thickness (mm) |
|---|---|---|---|---|
| Bored Interlocking Pile | 1200 | 1600 | 3.852 × 106 | 971 |
| Bored Cast-in-Place Pile | 1200 | 1600 | 3.21 × 106 | 914 |
| Embedded Depth of Retaining Piles | Pile Diameter (m) |
|---|---|
| ① Embedment depth of the shallow excavation section: 3 m; embedment depth of the deep excavation section: 1.5 m | 0.8 |
| ② Embedment depth of the shallow excavation section: 4 m; embedment depth of the deep excavation section: 2.5 m | 1 |
| ③ Embedment depth of the shallow excavation section: 5m; embedment depth of the deep excavation section: 3.5 m | 1.2 |
| ④ Embedment depth of the shallow excavation section: 6m; embedment depth of the deep excavation section: 4.5 m | 1.4 |
| Pile Embedment Scheme | Pile Diameter (m) | Uvmax (mm) | Uhmax (mm) |
|---|---|---|---|
| ① | 0.8 | 39.19 | 44.41 |
| ① | 1 | 29.46 | 31.8 |
| ① | 1.2 | 24.58 | 28.76 |
| ① | 1.4 | 21.02 | 23.97 |
| ② | 0.8 | 36.48 | 39.83 |
| ② | 1 | 26.54 | 28.71 |
| ② | 1.2 | 22.15 | 25.79 |
| ② | 1.4 | 18.93 | 21.50 |
| ③ | 0.8 | 33.29 | 38.08 |
| ③ | 1 | 24.22 | 27.29 |
| ③ | 1.2 | 20.21 | 24.66 |
| ③ | 1.4 | 17.28 | 20.56 |
| ④ | 0.8 | 32.68 | 37.26 |
| ④ | 1 | 24.01 | 26.82 |
| ④ | 1.2 | 19.81 | 23.57 |
| ④ | 1.4 | 17.11 | 20.19 |
| Retaining Structure Parameters | Optimized Scheme | Original Design Scheme |
|---|---|---|
| Type of retaining structure | Bored combi-pile | Bored cast-in-place pile |
| Pile diameter (mm) | 1000 | 1200 |
| Embedment depth (m) | Embedment depth: 4 m for shallow pit, 2.5 m for deep pit | Embedment depth: 5 m for shallow pit, 3.5 m for deep pit |
| Item | Unit | Unit Price (CNY) | Quantity | |
|---|---|---|---|---|
| Optimized Scheme | Original Design Scheme | |||
| C35 Concrete | m3 | 850 | 42.381 | 52.314 |
| Reinforcement | t | 6000 | 0.192 | 0.218 |
| Total | Yuan | — | 37,175.85 | 45,774.9 |
Disclaimer/Publisher’s Note: The statements, opinions and data contained in all publications are solely those of the individual author(s) and contributor(s) and not of MDPI and/or the editor(s). MDPI and/or the editor(s) disclaim responsibility for any injury to people or property resulting from any ideas, methods, instructions or products referred to in the content. |
© 2025 by the authors. Licensee MDPI, Basel, Switzerland. This article is an open access article distributed under the terms and conditions of the Creative Commons Attribution (CC BY) license (https://creativecommons.org/licenses/by/4.0/).
Share and Cite
Xu, W.; Lin, L.; Zhu, N.; Zhao, Y.; Yang, H.; Mei, Y.; Zhou, D. Three-Dimensional Numerical Analyses of a Monitored Deep Excavation Pit: A Case Study in the Guangzhou Metro. Buildings 2025, 15, 4018. https://doi.org/10.3390/buildings15224018
Xu W, Lin L, Zhu N, Zhao Y, Yang H, Mei Y, Zhou D. Three-Dimensional Numerical Analyses of a Monitored Deep Excavation Pit: A Case Study in the Guangzhou Metro. Buildings. 2025; 15(22):4018. https://doi.org/10.3390/buildings15224018
Chicago/Turabian StyleXu, Wentian, Lifen Lin, Nengwen Zhu, Yan Zhao, Hong Yang, Yuan Mei, and Dongbo Zhou. 2025. "Three-Dimensional Numerical Analyses of a Monitored Deep Excavation Pit: A Case Study in the Guangzhou Metro" Buildings 15, no. 22: 4018. https://doi.org/10.3390/buildings15224018
APA StyleXu, W., Lin, L., Zhu, N., Zhao, Y., Yang, H., Mei, Y., & Zhou, D. (2025). Three-Dimensional Numerical Analyses of a Monitored Deep Excavation Pit: A Case Study in the Guangzhou Metro. Buildings, 15(22), 4018. https://doi.org/10.3390/buildings15224018
