Flexural Performance and Flexural Toughness Evaluation Method of High-Strength Engineered Cementitious Composites
Abstract
1. Introduction
2. Test Setup and Existing Flexural Toughness Methods
2.1. Test Setup
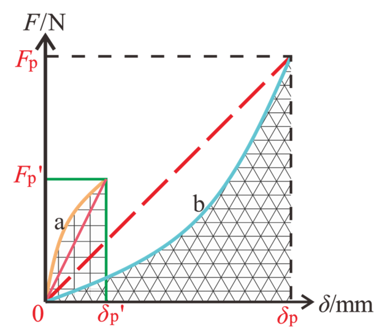
2.2. Existing Methods for Flexural Toughness Evaluation
3. Results and Discussion
3.1. Compressive Performance
3.2. Flexural Performance
4. Evaluation of Flexural Toughness
4.1. Flexural Toughness Evaluation Method for HS-ECC
4.2. Flexural Toughness Evaluation of HS-ECC
4.3. Comprehensive Performance Evaluation
5. Conclusions
- (i)
- Compared with the compressive strength of the matrix, the effect of PP fiber volume fraction on compressive strength shows an initial increase followed by a decrease, with enhancement observed only at a 0.5% volume fraction. PVA fibers consistently reduce compressive strength, while PE fibers initially reduce compressive strength at low volume fractions and enhance it only at a high-volume fraction of 2.5%.
- (ii)
- PE fibers exhibit the most significant improvement in flexural performance and deformability when the volume fraction is ≥1.0%. For applications where flexural strength requirements are moderate, low-cost PP fibers at a volume fraction ≥ 2.0% provide substantial deformability. PVA fibers at volume fractions ≥ 1.5% achieve higher flexural strength; however, due to strong fiber–matrix bonding, PVA fibers tend to fracture, resulting in limited deformability and only marginal improvement in flexural toughness. Therefore, domestically produced PVA fibers are not recommended for use in high-strength matrices.
- (iii)
- A physically meaningful flexural toughness evaluation method was proposed, which is applicable for analyzing HS-ECC specimens reinforced with different fiber types and volume fractions. For ductility-oriented designs, the flexural toughness index expressed in terms of the energy ratio is recommended, whereas for strength-oriented designs, the flexural toughness ratio in terms of the strength ratio can be adopted. This method reliably captures both deflection hardening and residual load-carrying behavior, providing an effective tool for toughness assessment.
Author Contributions
Funding
Data Availability Statement
Conflicts of Interest
References
- Zhou, S.; Jiang, Z.; Ou, Q.; Liu, J.; Wang, C. Analysis on flexural toughness of steel fiber reinforced concrete based on acoustic emission and digital image correlation techniques. Constr. Build. Mater. 2025, 492, 143039. [Google Scholar] [CrossRef]
- Li, P.; Huang, M.; Shang, Y.; Kuang, Y.; Xiong, G.; Tang, X. Study on mechanical properties of coarse-fine polypropylene fiber blended concrete. Buildings 2025, 15, 2971. [Google Scholar] [CrossRef]
- Ding, L.; Lin, Z.; Xu, C.; Li, B.; Shen, J. Study on the hybrid effect of basalt and polypropylene fibers on the mechanical properties of concrete. Buildings 2025, 15, 3197. [Google Scholar] [CrossRef]
- Manso-Morato, J.; Hurtado-Alonso, N.; Revilla-Cuesta, V.; Skaf, M.; Ortega-López, V. Fiber-Reinforced concrete and its life cycle assessment: A systematic review. J. Build. Eng. 2024, 94, 110062. [Google Scholar] [CrossRef]
- Zheng, Y.; Lv, X.; Hu, S.; Zhou, J.; Wan, C.; Liu, J. Mechanical properties and durability of steel fiber reinforced concrete: A review. J. Build. Eng. 2024, 82, 108025. [Google Scholar] [CrossRef]
- Bahmani, H.; Mostafaei, H. Impact of fibers on the mechanical and environmental properties of high-performance concrete incorporating zeolite. J. Compos. Sci. 2025, 9, 222. [Google Scholar] [CrossRef]
- Hu, Z.; Elchalakani, M.; Yehia, S.; Ran, H.; Sadakkathulla, M.A.; Guo, X. Engineered cementitious composite (ECC) strengthening of reinforced concrete structures: A state-of-the-art review. J. Build. Eng. 2024, 86, 108941. [Google Scholar] [CrossRef]
- Xu, S.; Li, W.; Wang, X.; Zhang, H.; Liu, J.; Jiang, H.; Wang, X.; Ma, H.; Shi, J.; Yu, Z.; et al. The mechanical properties and durability of the pe-bfrp hybrid-fiber-engineered cementitious composite (ECC). Buildings 2025, 15, 1860. [Google Scholar] [CrossRef]
- Chen, W.; Liang, L.; Jiang, F.; Tang, Z.; Sun, X.; Yu, J.; Li, V.C.; Yu, K. New opportunity: Materials genome strategy for engineered cementitious composites (ECC) design. Cem. Concr. Compos. 2025, 159, 106009. [Google Scholar] [CrossRef]
- Singh, M.; Saini, B.; Chalak, H.D. Performance and composition analysis of engineered cementitious composite (ECC)–A review. J. Build. Eng. 2019, 26, 100851. [Google Scholar] [CrossRef]
- Yuan, F.; Pan, J.; Leung, C.K.Y. Flexural behaviors of ECC and concrete/ECC composite beams reinforced with basalt fiber-reinforced polymer. J. Compos. Constr. 2013, 17, 591–602. [Google Scholar] [CrossRef]
- Ding, Y.; Yu, K.Q.; Yu, J.; Xu, S. Structural behaviors of ultra-high performance engineered cementitious composites (UHP-ECC) beams subjected to bending-experimental study. Constr. Build. Mater. 2018, 177, 102–115. [Google Scholar] [CrossRef]
- Sheng, J.; Yin, S.; Yue, J.; Yang, Y. Bending performance of ECC-RC composite beam reinforced with textile. Constr. Build. Mater. 2021, 287, 123079. [Google Scholar] [CrossRef]
- El-Helou, R.G.; Graybeal, B.A. Flexural behavior and design of ultrahigh-performance concrete beams. J. Struct. Eng. 2022, 148, 04022013. [Google Scholar] [CrossRef]
- Qin, F.; Han, Y.; Wei, X.; Wang, X.; Zhang, Z.; Zhang, X. Flexural behavior of engineered cementitious composites (ECC) slabs with different strength grades. Materials 2025, 18, 2047. [Google Scholar] [CrossRef]
- Tian, J.; Wu, X.; Tan, X.; Wang, W.W.; Hu, S.; Du, Y.; Yuan, J.; Huang, W.; Huang, X. Experimental study and analysis model of flexural synergistic effect of reinforced concrete beams strengthened with ECC. Constr. Build. Mater. 2022, 352, 128987. [Google Scholar] [CrossRef]
- Lu, C.; Pan, J.; Luo, B.; Li, Z.; Leung, C.K.Y. Correlation of flaw structure and cracking behavior in SHCC with X-ray CT scanning technique. Constr. Build. Mater. 2022, 331, 127296. [Google Scholar] [CrossRef]
- Men, P.; Wang, X.; Liu, D.; Zhang, Z.; Zhang, Q.; Lu, Y. On use of polyvinylpyrrolidone to modify polyethylene fibers for improving tensile properties of high strength ECC. Constr. Build. Mater. 2024, 417, 135354. [Google Scholar] [CrossRef]
- Xu, L.Y.; Huang, B.T.; Li, V.C.; Dai, J.G. High-strength high-ductility Engineered/Strain-Hardening Cementitious Composites (ECC/SHCC) incorporating geopolymer fine aggregates. Cem. Concr. Compos. 2022, 125, 104296. [Google Scholar] [CrossRef]
- Huang, B.T.; Zhu, J.X.; Weng, K.F.; Li, V.C.; Dai, J.G. Ultra-high-strength engineered/strain-hardening cementitious composites (ECC/SHCC): Material design and effect of fiber hybridization. Cem. Concr. Compos. 2022, 129, 104464. [Google Scholar] [CrossRef]
- Wu, J.D.; Guo, L.P.; Cao, Y.Z.; Lyu, B.C. Mechanical and fiber/matrix interfacial behavior of ultra-high-strength and high-ductility cementitious composites incorporating waste glass powder. Cem. Concr. Compos. 2022, 26, 104371. [Google Scholar] [CrossRef]
- Dong, S.; Zhou, D.; Ashour, A.; Han, B.; Ou, J. Flexural toughness and calculation model of superfine stainless wire reinforced reactive powder concrete. Cem. Concr. Compos. 2019, 104, 103367. [Google Scholar] [CrossRef]
- Das, C.S.; Dey, T.; Dandapat, R.; Mukharjee, B.B.; Kumar, J. Performance evaluation of polypropylene fiber reinforced recycled aggregate concrete. Constr. Build. Mater. 2018, 189, 649–659. [Google Scholar] [CrossRef]
- Ranade, R.; Li, V.C.; Stults, M.D.; Rushing, T.S.; Roth, J.; Heard, W.F. Micromechanics of high-strength, high-ductility concrete. ACI Mater. J. 2013, 110, 375–384. [Google Scholar]
- Zhang, Y.; Zhang, S.; Deng, M. Four-point bending tests of ECC: Mechanical response and toughness evaluation. Case Stud. Constr. Mater. 2022, 17, e01573. [Google Scholar] [CrossRef]
- Wang, D.; Che, J.; Liu, H.; Chin, S.C. Enhanced ductility and toughness of desert sand engineered cementitious composites. Buildings 2023, 13, 1538. [Google Scholar] [CrossRef]
- Zhu, M.; Chen, B.; Wu, M.; Han, J. Effects of different mixing ratio parameters on mechanical properties of cost-effective green engineered cementitious composites (ECC). Constr. Build. Mater. 2022, 328, 127093. [Google Scholar] [CrossRef]
- ASTM C 1018; Standard Test Method for Flexural Toughness and First-Crack Strength of Fiber Reinforced Concrete (Using Beam with Third Point Loading). ASTM Internation: West Conshohocken, PA, USA, 1997; pp. 544–551.
- JSCE-SF4; Method of Test for Flexural Strength and Flexural Toughness of Fiber Reinforced Concrete. Japan Concrete Institute: Tokyo, Japan, 1984; pp. 45–51.
- CECS 13:2009; Standard Test Methods for Fiber Reinforced Concrete. China Planning Press: Beijing, China, 2010.
- Alexander, M.G.; Magee, B.J. Durability performance of concrete containing condensed silica fume. Cem. Concr. Res. 1999, 29, 917–922. [Google Scholar] [CrossRef]
- Martinola, G.; Baeuml, M.F.; Wittmann, F.H. Modified ECC by means of internal impregnation. J. Adv. Concr. Technol. 2004, 12, 207–212. [Google Scholar] [CrossRef][Green Version]
- Yun, K.K.; Choi, S.Y.; Yeon, J.H. Effects of admixtures on the rheological properties of high performance wet-mix shotcrete mixtures. Constr. Build. Mater. 2015, 78, 194–202. [Google Scholar] [CrossRef]
- Zhang, P.; Li, Q.; Zhang, H. Combined effect of polypropylene fiber and silica fume on mechanical properties of concrete composite containing fly ash. J. Reinf. Plast. Compos. 2011, 30, 1349–1358. [Google Scholar] [CrossRef]
- Chen, C.; Habert, G.; Bouzidi, Y.; Jullien, A. Environmental impact of cement production: Detail of the different processes and cement plant variability evaluation. J. Clean. Prod. 2010, 18, 478–485. [Google Scholar] [CrossRef]
- Scrivener, K.; John, V.; Gartner, E. Eco-efficient cements: Potential economically viable solutions for a low-CO2 cement-based materials industry. Cem. Concr. Res. 2018, 114, 2–26. [Google Scholar] [CrossRef]
- Liu, L.; Xiao, J.; Wu, Z. The effect of fiber content on the static and dynamic performance of PE-ECC. Case Stud. Constr. Mater. 2024, 20, e03041. [Google Scholar] [CrossRef]
- Lin, J.; Song, Y.; Xie, Z.; Guo, Y.; Yuan, B.; Zeng, J.; Wei, X. Static and dynamic mechanical behavior of engineered cementitious composites with PP and PVA fibers. J. Build Eng. 2020, 29, 101097. [Google Scholar] [CrossRef]
- Ehrenbring, H.; Pacheco, F.; Christ, R.; Tutikian, B.F. Bending behavior of engineered cementitious composites (ECC) with different recycled and virgin polymer fibers. Constr. Build. Mater. 2022, 346, 128355. [Google Scholar] [CrossRef]
- Said, S.H.; Razak, H.A.; Othman, I. Flexural behavior of engineered cementitious composite (ECC) slabs with polyvinyl alcohol fibers. Constr. Build. Mater. 2015, 75, 176–188. [Google Scholar] [CrossRef]
- JC/T 2461-2018; Standard Test Method for the Mechanical Properties of Ductile Fiber Reinforced Cementitious Composites. China Building Materials Press: Beijing, China, 2018.
- Zhu, J.X.; Xu, L.Y.; Huang, B.T.; Weng, K.F.; Dai, J.G. Recent developments in engineered/strain-hardening cementitious composites (ECC/SHCC) with high and ultra-high strength. Constr. Build. Mater. 2022, 342, 127956. [Google Scholar] [CrossRef]
- Yang, E.H.; Yang, Y.; Li, V.C. Use of high volumes of fly ash to improve ECC mechanical properties and material greenness. ACI Mater. J. 2007, 104, 303–311. [Google Scholar] [CrossRef]
- He, S.; Wang, X.; Bai, H.; Xu, Z.; Ma, D. Effect of fiber dispersion, content and aspect ratio on tensile strength of PP fiber reinforced soil. J. Mater. Res. Technol. 2021, 15, 1613–1621. [Google Scholar] [CrossRef]
- Zhang, D.; Yu, J.; Wu, H.; Jaworska, B.; Ellis, B.; Li, V. Discontinuous micro-fibers as intrinsic reinforcement for ductile Engineered Cementitious Composites (ECC). Compos. Part B-Eng. 2020, 184, 107741. [Google Scholar] [CrossRef]
- JGJ/T 281-2012; Technical Specification for High-Strength Concrete Structures. China Architecture & Building Press: Beijing, China, 2012.
- Li, V.C.; Leung, C.K.Y. Steady-state and multiple cracking of short random fiber composites. J. Eng. Mech. 1992, 118, 2246–2264. [Google Scholar] [CrossRef]
- Yang, D.; Luo, Q.; Chen, R.; Li, Q.; Zhu, G.; Zhang, Y. Pullout behavior of polyethylene fiber from cement matrix: Effect of embedment length, matrix strength, and inclination angle. J. Build. Eng. 2024, 95, 110360. [Google Scholar] [CrossRef]
- Wu, J.; Guo, L.; Wang, L.; Fei, X.; Chen, M.; Yue, H.; Xu, R. Micromechanical design based on microscale fiber/matrix interactions for single PE fiber pullout. Constr. Build. Mater. 2024, 416, 135117. [Google Scholar] [CrossRef]
- Abbas, Y.; Iqbal, K. Fiber-matrix interactions in fiber-reinforced concrete: A review. Arab. J. Sci. Eng. 2016, 41, 1183–1198. [Google Scholar] [CrossRef]
- Singh, S.; Shukla, A.; Brown, R. Pullout behavior of polypropylene fibers from cementitious matrix. Cem. Concr. Res. 2004, 34, 1919–1925. [Google Scholar] [CrossRef]
- Deng, F.; Cao, C.; Xu, L.; Chi, Y. Interfacial bond characteristics of polypropylene fiber in steel/polypropylene blended fiber reinforced cementitious composite. Constr. Build. Mater. 2022, 341, 127897. [Google Scholar] [CrossRef]
- Haber, Z.B.; Varga, I.D.L.; Graybeal, B.A.; Nakashoji, B. FHWAHRT-18-036 Properties and Behavior of UHPC-Class Materials; Federal Highway Administration: Washington, DC, USA, 2018. [Google Scholar]
- Şimşek, B.; Uygunoğlu, T. Multi-response optimization of polymer blended concrete: A TOPSIS based Taguchi application. Constr. Build. Mater. 2016, 117, 251–262. [Google Scholar] [CrossRef]











| Fiber Type | Length/mm | Fiber Aspect Ratio | Elastic Modulus/GPa | Tensile Strength/MPa | Elongation/% |
|---|---|---|---|---|---|
| PP | 12 | 445 | 5.2 | 625 | 22 |
| PVA | 12 | 500 | 40 | 1600 | 8 |
| PE | 12 | 480 | 122 | 3100 | 3.5 |
| Mixture | Cement /kg∙m−3 | FA /kg∙m−3 | GGBFS /kg∙m−3 | SF /kg∙m−3 | SS /kg∙m−3 | Water /kg∙m−3 | PP Fiber/vol% | PVA Fiber/vol% | PE Fiber/vol% |
|---|---|---|---|---|---|---|---|---|---|
| Matrix | 543.2 | 543.2 | 135.8 | 135.8 | 502.5 | 339.5 | 0 | 0 | 0 |
| PP-0.5 | 543.2 | 543.2 | 135.8 | 135.8 | 502.5 | 339.5 | 0.5 | 0 | 0 |
| PP-1.0 | 543.2 | 543.2 | 135.8 | 135.8 | 502.5 | 339.5 | 1.0 | 0 | 0 |
| PP-1.5 | 543.2 | 543.2 | 135.8 | 135.8 | 502.5 | 339.5 | 1.5 | 0 | 0 |
| PP-2.0 | 543.2 | 543.2 | 135.8 | 135.8 | 502.5 | 339.5 | 2.0 | 0 | 0 |
| PP-2.5 | 543.2 | 543.2 | 135.8 | 135.8 | 502.5 | 339.5 | 2.5 | 0 | 0 |
| PE-0.5 | 543.2 | 543.2 | 135.8 | 135.8 | 502.5 | 339.5 | 0 | 0 | 0.5 |
| PE-1.0 | 543.2 | 543.2 | 135.8 | 135.8 | 502.5 | 339.5 | 0 | 0 | 1.0 |
| PE-1.5 | 543.2 | 543.2 | 135.8 | 135.8 | 502.5 | 339.5 | 0 | 0 | 1.5 |
| PE-2.0 | 543.2 | 543.2 | 135.8 | 135.8 | 502.5 | 339.5 | 0 | 0 | 2.0 |
| PE-2.5 | 543.2 | 543.2 | 135.8 | 135.8 | 502.5 | 339.5 | 0 | 0 | 2.5 |
| PVA-0.5 | 543.2 | 543.2 | 135.8 | 135.8 | 502.5 | 339.5 | 0 | 0.5 | 0 |
| PVA-1.0 | 543.2 | 543.2 | 135.8 | 135.8 | 502.5 | 339.5 | 0 | 1.0 | 0 |
| PVA-1.5 | 543.2 | 543.2 | 135.8 | 135.8 | 502.5 | 339.5 | 0 | 1.5 | 0 |
| PVA-2.0 | 543.2 | 543.2 | 135.8 | 135.8 | 502.5 | 339.5 | 0 | 2.0 | 0 |
| PVA-2.5 | 543.2 | 543.2 | 135.8 | 135.8 | 502.5 | 339.5 | 0 | 2.5 | 0 |
| Cost (¥/kg) | 0.40 | 0.45 | 0.50 | 0.55 | 3.00 | 0.0030 | 8 | 20 | 120 |
| Specimen ID | fcu/MPa | fp/MPa | δp/mm | δp∙fcu−1/mm∙MPa−1 |
|---|---|---|---|---|
| Matrix | 76.3 ± 2.3 | 3.60 ± 0.18 | 0.34 ± 0.02 | 0.0045 ± 0.00028 |
| PP-0.5 | 81.4 ± 2.1 | 4.31 ± 0.19 | 0.42 ± 0.03 | 0.0052 ± 0.00038 |
| PP-1.0 | 74.1 ± 2.2 | 4.65 ± 0.21 | 0.51 ± 0.04 | 0.0069 ± 0.00058 |
| PP-1.5 | 71.9 ± 2.0 | 4.83 ± 0.20 | 0.59 ± 0.02 | 0.0082 ± 0.00031 |
| PP-2.0 | 59.9 ± 1.8 | 5.12 ± 0.23 | 1.93 ± 0.10 | 0.0322 ± 0.00188 |
| PP-2.5 | 54.3 ± 1.7 | 5.17 ± 0.22 | 2.46 ± 0.12 | 0.0453 ± 0.00274 |
| PE-0.5 | 51.7 ± 1.4 | 3.89 ± 0.19 | 0.37 ± 0.02 | 0.0072 ± 0.00042 |
| PE-1.0 | 54.3 ± 1.2 | 6.01 ± 0.17 | 2.00 ± 0.10 | 0.0368 ± 0.00209 |
| PE-1.5 | 61.3 ± 1.8 | 9.80 ± 0.23 | 2.86 ± 0.14 | 0.0467 ± 0.00260 |
| PE-2.0 | 70.1 ± 2.0 | 11.14 ± 0.20 | 3.01 ± 0.15 | 0.0429 ± 0.00241 |
| PE-2.5 | 83.6 ± 2.3 | 11.56 ± 0.27 | 4.34 ± 0.22 | 0.0519 ± 0.00284 |
| PVA-0.5 | 50.1 ± 1.3 | 4.30 ± 0.21 | 0.35 ± 0.02 | 0.0070 ± 0.00044 |
| PVA-1.0 | 50.8 ± 1.6 | 4.67 ± 0.23 | 0.35 ± 0.04 | 0.0069 ± 0.00081 |
| PVA-1.5 | 56.3 ± 1.7 | 6.57 ± 0.19 | 0.60 ± 0.03 | 0.0107 ± 0.00063 |
| PVA-2.0 | 62.6 ± 1.9 | 6.79 ± 0.24 | 0.63 ± 0.06 | 0.0101 ± 0.00097 |
| PVA-2.5 | 58.4 ± 1.8 | 7.03 ± 0.22 | 1.03 ± 0.05 | 0.0176 ± 0.00094 |
| Specimen ID | Ip | Ik | Rp | Rk |
|---|---|---|---|---|
| Matrix | 26.0 ± 1.2 | 0 | 0.09 ± 0.03 | / |
| PP-0.5 | 41.5 ± 2.0 | 0.08 ± 0.004 | 0.17 ± 0.02 | 0.21 ± 0.03 |
| PP-1.0 | 50.2 ± 2.3 | 0.09 ± 0.005 | 0.18 ± 0.04 | 0.28 ± 0.04 |
| PP-1.5 | 66.7 ± 2.7 | 0.11 ± 0.005 | 0.20 ± 0.06 | 0.32 ± 0.03 |
| PP-2.0 | 430.8 ± 20.5 | 0.28 ± 0.014 | 0.40 ± 0.01 | 0.50 ± 0.02 |
| PP-2.5 | 533.3 ± 27.8 | 0.33 ± 0.016 | 0.41 ± 0.02 | 0.51 ± 0.05 |
| PE-0.5 | 38.6 ± 1.9 | 0.25 ± 0.013 | 0.19 ± 0.04 | 0.31 ± 0.02 |
| PE-1.0 | 454.7 ± 22.7 | 0.34 ± 0.017 | 0.41 ± 0.05 | 0.55 ± 0.03 |
| PE-1.5 | 1134.2 ± 56.8 | 0.42 ± 0.018 | 0.71 ± 0.08 | 0.69 ± 0.05 |
| PE-2.0 | 1389.5 ± 70.1 | 0.48 ± 0.018 | 0.93 ± 0.07 | 0.78 ± 0.06 |
| PE-2.5 | 2189.8 ± 100.8 | 0.52 ± 0.026 | 0.91 ± 0.06 | 0.84 ± 0.08 |
| PVA-0.5 | 34.6 ± 1.7 | 0.07 ± 0.004 | 0.18 ± 0.01 | 0.21 ± 0.01 |
| PVA-1.0 | 37.3 ± 1.9 | 0.09 ± 0.005 | 0.19 ± 0.03 | 0.33 ± 0.03 |
| PVA-1.5 | 114.7 ± 5.7 | 0.17 ± 0.009 | 0.34 ± 0.03 | 0.37 ± 0.03 |
| PVA-2.0 | 133.3 ± 6.7 | 0.23 ± 0.012 | 0.39 ± 0.05 | 0.49 ± 0.04 |
| PVA-2.5 | 277.5 ± 13.9 | 0.26 ± 0.017 | 0.48 ± 0.06 | 0.58 ± 0.06 |
| Specimen ID | Di+ | Di− | Ci |
|---|---|---|---|
| PP-0.5 | 1.459 | 0.587 | 0.287 |
| PP-1.0 | 1.444 | 0.499 | 0.257 |
| PP-1.5 | 1.408 | 0.522 | 0.270 |
| PP-2.0 | 1.137 | 0.674 | 0.372 |
| PP-2.5 | 1.078 | 0.715 | 0.399 |
| PE-0.5 | 1.523 | 0.399 | 0.208 |
| PE-1.0 | 1.080 | 0.635 | 0.370 |
| PE-1.5 | 0.734 | 0.959 | 0.566 |
| PE-2.0 | 0.624 | 1.094 | 0.637 |
| PE-2.5 | 0.329 | 1.559 | 0.826 |
| PVA-0.5 | 1.566 | 0.310 | 0.165 |
| PVA-1.0 | 1.550 | 0.300 | 0.162 |
| PVA-1.5 | 1.380 | 0.442 | 0.243 |
| PVA-2.0 | 1.293 | 0.562 | 0.303 |
| PVA-2.5 | 1.217 | 0.601 | 0.330 |
Disclaimer/Publisher’s Note: The statements, opinions and data contained in all publications are solely those of the individual author(s) and contributor(s) and not of MDPI and/or the editor(s). MDPI and/or the editor(s) disclaim responsibility for any injury to people or property resulting from any ideas, methods, instructions or products referred to in the content. |
© 2025 by the authors. Licensee MDPI, Basel, Switzerland. This article is an open access article distributed under the terms and conditions of the Creative Commons Attribution (CC BY) license (https://creativecommons.org/licenses/by/4.0/).
Share and Cite
Chen, B.; Hou, L.; Yan, R.-G.; Zhang, X.-Y.; Meng, H.; Li, J.-T. Flexural Performance and Flexural Toughness Evaluation Method of High-Strength Engineered Cementitious Composites. Buildings 2025, 15, 4003. https://doi.org/10.3390/buildings15214003
Chen B, Hou L, Yan R-G, Zhang X-Y, Meng H, Li J-T. Flexural Performance and Flexural Toughness Evaluation Method of High-Strength Engineered Cementitious Composites. Buildings. 2025; 15(21):4003. https://doi.org/10.3390/buildings15214003
Chicago/Turabian StyleChen, Bo, Liang Hou, Rong-Guo Yan, Xiang-Yu Zhang, Hao Meng, and Jing-Tian Li. 2025. "Flexural Performance and Flexural Toughness Evaluation Method of High-Strength Engineered Cementitious Composites" Buildings 15, no. 21: 4003. https://doi.org/10.3390/buildings15214003
APA StyleChen, B., Hou, L., Yan, R.-G., Zhang, X.-Y., Meng, H., & Li, J.-T. (2025). Flexural Performance and Flexural Toughness Evaluation Method of High-Strength Engineered Cementitious Composites. Buildings, 15(21), 4003. https://doi.org/10.3390/buildings15214003
