Performance of EPS-Modified Lightweight Geopolymer and Cement Mortars Under Different Thermal and Cooling Regimes: A Comparative Study
Abstract
1. Introduction
2. Research Significance
3. Experimental Program
3.1. Materials and Mixtures
- High-Strength Alkali-Activated Mixture (HSAAM): A normal-weight reference mixture formulated using ground granulated blast-furnace slag as the primary aluminosilicate precursor. The slag had a specific gravity of 2.61 and a Blaine fineness of approximately 420 m2/kg. Its chemical composition is detailed in Table 1. The alkaline activator consisted of sodium silicate (Na2SiO3) solution and sodium hydroxide (NaOH) pellets (99% purity), with their respective chemical profiles provided in Table 2. Natural sand served as the fine aggregate.
- Lightweight Alkali-Activated Mixture (LWAS): This mixture was derived from the HSAAM formulation but incorporated EPS beads as a partial volumetric replacement (50%) for the natural sand. The objective was to evaluate the efficacy of EPS in simultaneously reducing density and mitigating explosive spalling within an alkali-activated matrix.
- High-Strength Conventional Mixture (HSCM): A normal-weight Portland cement-based control mixture employing a binary binder system of 91% ordinary Portland cement (CEM I 52.5N) and 9% silica fume. The cement had a specific gravity of 3.14 and a Blaine fineness of about 340 m2/kg. The Chemical properties of these constituents are summarized in Table 1. Natural sand was utilized as fine aggregate.
- Lightweight Conventional Mixture (LWPC): This mixture was based on the HSCM design but included EPS beads as a 50% volumetric substitute for sand. Its purpose was to assess the dual role of EPS as a lightweight filler and a potential agent for spalling reduction in conventional concrete systems.
3.2. Mixing Methodology
3.3. Heating and Cooling Methods
3.4. Evaluation of Mechanical Properties and Microscopic Analysis
4. Results and Discussion
4.1. The Influence of Heating Duration and Cooling Methodology on the Compressive Strength of the S/50 Mixture
4.2. The Influence of Heating Duration and Cooling Methodology on the Compressive Strength of the C/50 Mixture
4.3. The Influence of Heating Duration and Cooling Methodology on the Splitting Tensile Strength of S/50 Mixture
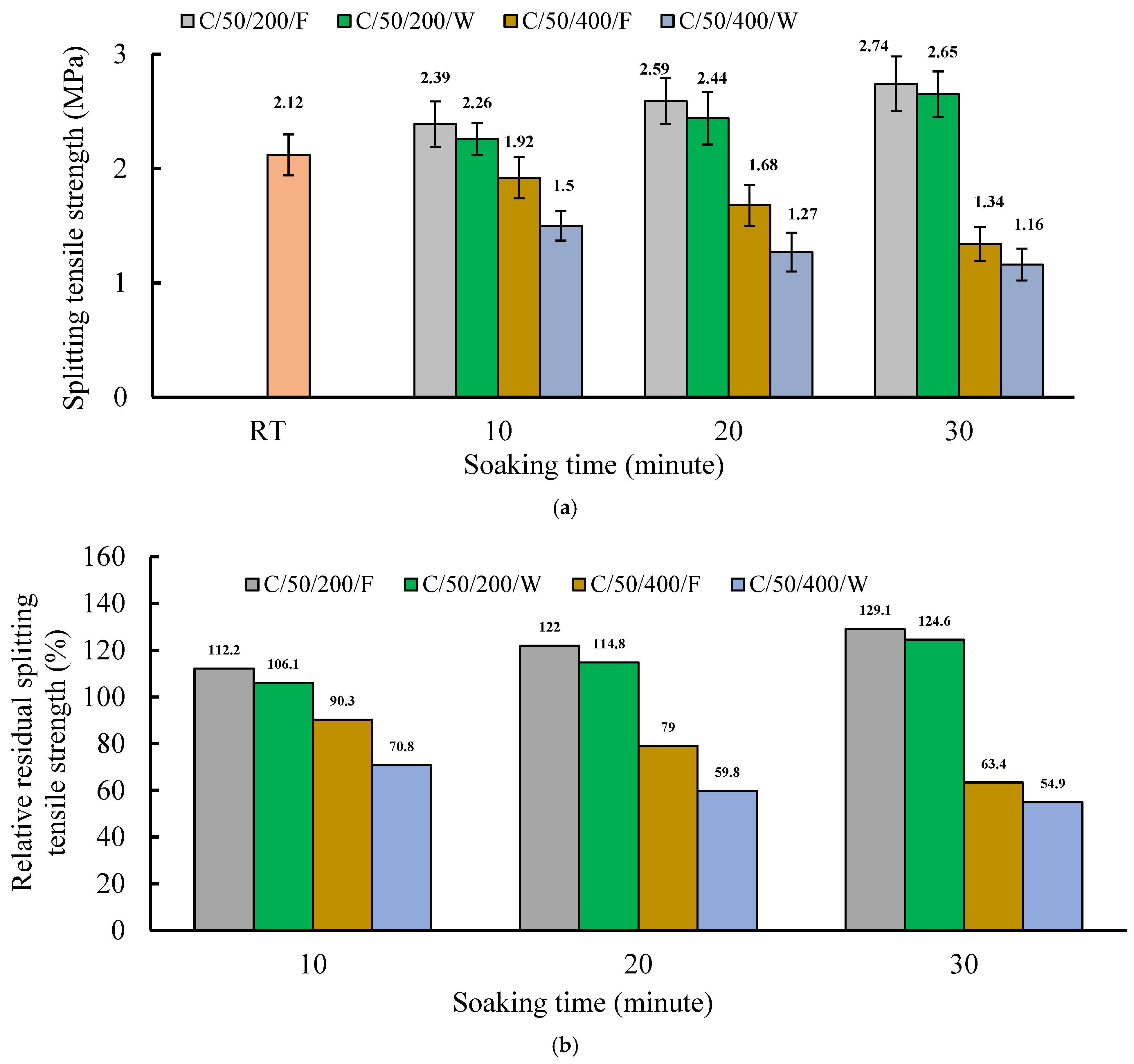
4.4. The Influence of Heating Duration and Cooling Methodology on the Splitting Tensile Strength of C/50 Mixture
4.5. The Influence of Heating Duration and Cooling Methodology on the Impact Resistance of the S/50 Mixture
4.6. The Influence of Heating Duration and Cooling Methodology on the Impact Resistance of the C/50 Mixture
4.7. Influence of Expanded Polystyrene and Binder Composition on Thermal Insulation Characteristics
4.8. Weight Loss
4.9. Explosive Spalling Potential and Visual Characteristics
4.10. SEM Analysis
- C/0-RT (Cement Reference at Room Temperature):
- ◦
- Ca/Si = 33.42/10.01 ≈ 3.34
- ◦
- This very high Ca/Si ratio is classic for conventional Portland cement, dominated by high-lime C-S-H gel and the presence of portlandite (Ca(OH)2), which is highly susceptible to decomposition at elevated temperatures.
- S/0-RT (Slag Reference at Room Temperature):
- ◦
- Ca/Si = 6.84/4.98 ≈ 1.37
- ◦
- (Ca+Al)/Si = (6.84 + 1.83)/4.98 ≈ 1.74
- ◦
- This lower ratio confirms the formation of a calcium aluminosilicate hydrate (C-A-S-H) gel, typical of alkali-activated slag. This gel is more cross-linked and thermally stable than the high-lime C-S-H found in cement.
- S/50-400-10-F (Slag+EPS, Furnace Cooled):
- ◦
- Ca/Si = 14.48/10.62 ≈ 1.36
- ◦
- (Ca+Al)/Si = (14.48 + 4.20)/10.62 ≈ 1.76
- ◦
- The ratios remain remarkably similar to the room-temperature S/0 sample. This indicates a high degree of stability in the C-A-S-H gel structure even after exposure to 400 °C. The gel has not significantly decomposed or reconfigured into weaker crystalline phases.
- S/50-400-10-W (Slag+EPS, Water Cooled):
- ◦
- Ca/Si = 16.96/8.13 ≈ 2.09
- ◦
- (Ca+Al)/Si = (16.96 + 9.07)/8.13 ≈ 3.20
- ◦
- The increase in these ratios, especially the significant jump in Al content, suggests a potential rehydration and re-precipitation process during water quenching. The rapid cooling may have allowed dissolved species to form new, dense reaction products that fill cracks, explaining the higher residual compressive strength observed in water-cooled slag specimens.
- C/50-400-10-F (Cement+EPS, Furnace Cooled):
- ◦
- Ca/Si = 34.93/9.65 ≈ 3.62
- ◦
- This ratio is even higher than the cement reference, likely due to the decomposition of other phases (like ettringite and C-S-H itself), leaving behind a relative enrichment of lime (CaO) and other calcium-rich compounds. This signifies severe degradation of the binding matrix.
- C/50-400-10-W (Cement+EPS, Water Cooled):
- ◦
- Ca/Si = 13.51/7.71 ≈ 1.75
- ◦
- The dramatic drop in the Ca/Si ratio and the very high Carbon (C) content (25.41%) is anomalous and likely an artifact of the measurement. The high C signal suggests that the EDS scan may have been performed on a piece of charred EPS residue or a carbon-coated pore, rather than on the cementitious gel itself. Therefore, this specific data point may not be representative of the bulk matrix chemistry and should be interpreted with caution.
| Sample | O | Na | Ca | Fe | Si | C | Al | Mg | K | Cl | Cr | P | Ti |
|---|---|---|---|---|---|---|---|---|---|---|---|---|---|
| S/0-RT | 56.57 | 17.87 | 6.84 | 4.5 | 4.98 | 5.76 | 1.83 | 1.45 | 0.21 | - | - | - | - |
| S/50-400-10-F | 54.25 | 5.44 | 14.48 | 0.23 | 10.62 | 8.05 | 4.2 | 2.21 | 0.25 | 0.13 | 0.07 | 0.08 | - |
| S/50-400-10-W | 40.93 | 3.41 | 16.96 | 2.64 | 8.13 | 11.11 | 9.07 | 0.95 | 0.6 | 0.72 | 0.16 | 0.44 | - |
| C/0-RT | 54.84 | 0.16 | 33.42 | 0.82 | 10.01 | - | 0.75 | - | - | - | - | - | - |
| C/50-400-10-F | 43.16 | 1.04 | 34.93 | 1.74 | 9.65 | 6.6 | 1.79 | 0.49 | 0.26 | 0.01 | 0.14 | 0.09 | - |
| C/50-400-10-W | 36.3 | 2.54 | 13.51 | 2.56 | 7.71 | 25.41 | 1.95 | 2.22 | 0.32 | 0.09 | 0.01 | 0.07 | 0.18 |
- Superior Spalling Resistance of LWAS (S/50): The stable, low Ca/Si C-A-S-H gel in the slag system creates a nanoporous and finely cracked microstructure (as seen in SEM). This structure provides continuous pathways for steam pressure to escape. The EDS confirms that this gel remains chemically intact at 400 °C, meaning the pore network remains functional under thermal stress. In contrast, the cement paste’s high Ca/Si gel breaks down irreversibly, and the voids from EPS are isolated, leading to pressure build-up and explosive spalling.
- Mechanical Performance Divergence: The stability of the C-A-S-H gel in S/50 explains its more gradual strength loss. Even at 400 °C, the gel structure, while coarsened, is still present and providing some binding force. The cementitious C-S-H gel in C/50, with its inherent thermal instability, undergoes rapid and catastrophic breakdown, leading to swift mechanical degradation even before the point of spalling. The potential for rehydration in water-cooled S/50 (hinted at by the changed ratios) directly correlates with its better retention of compressive strength compared to its furnace-cooled counterpart.
- Role of EPS: The EDS results show that the fundamental difference lies in the binder, not the EPS. In both systems, EPS decomposes and creates pores. However, the interaction of these pores with the matrix is different. In the stable, micro-cracked slag matrix, EPS pores simply integrate into the existing escape network. In the dense, impermeable cement matrix, they become isolated defects that amplify internal stresses.
5. Conclusions
- Superior Spalling Resistance: The lightweight alkali-activated slag composite (LWAS-S/50) demonstrated complete resistance to explosive spalling up to 600 °C due to its inherent nanoporous microstructure, which provides a pervasive network for vapor pressure release. Conversely, the lightweight cementitious composite (LWPC-C/50) experienced catastrophic explosive spalling at approximately 550 °C, proving that the macro-voids formed by expanded polystyrene (EPS) decomposition in an OPC matrix are insufficient to prevent failure under rapid heating.
- Divergent Mechanical Performance: Both LWAS and LWPC mixtures exhibited strength enhancement at 200 °C due to continued hydration and pore structure densification. However, their performance diverged significantly at higher temperatures. LWAS underwent a more gradual and predictable strength reduction (e.g., ~68% compressive strength loss at 400 °C after 30 min), whereas LWPC degraded rapidly before its eventual failure. Water quenching was generally beneficial for residual compressive strength but detrimental to tensile and impact properties due to induced thermal shock.
- Thermal Insulation Trade-off: The incorporation of EPS beads significantly improved thermal insulation, particularly in the LWAS, where the core temperature was reduced by 105.5 °C at 400 °C. However, this benefit comes with a trade-off, as the voids left by decomposed EPS contribute to increased porosity and accelerated mechanical degradation at extreme temperatures.
- Microstructural Validation: Microstructural analysis confirmed that the stable, interconnected microcrack network in the slag-based matrix is the fundamental factor enabling its spalling resistance. In contrast, EPS decomposition in the cement matrix creates unstable, isolated voids that exacerbate thermal stresses and lead to failure.
- Practical Design Implications: Alkali-activated slag composites (LWAS) are recommended for applications requiring fire resistance up to 600 °C, though their high-temperature strength loss necessitates the use of hybrid fiber reinforcement for structural purposes. Ordinary Portland cement composite with EPS (LWPC) are suitable only for applications where the maximum service temperature is guaranteed to remain below 400 °C.
- The cooling method also influenced the results: furnace-cooled specimens showed higher strength at 200 °C due to gradual stress release, while water-quenched ones retained slightly more strength at 400 °C owing to partial rehydration. At 600 °C, this effect became negligible as thermal damage prevailed.
- Alkali-activated slag composites showed promising potential for practical use in fire-resistant panels, tunnel linings, and façade claddings due to their spalling-proof and thermally stable behavior.
Author Contributions
Funding
Data Availability Statement
Conflicts of Interest
References
- Mindess, S.; Young, J.F.; Darwin, D. Concrete, 2nd ed.; Prentice Hall: Upper Saddle River, NJ, USA, 2003. [Google Scholar]
- Lahoti, M.; Tan, K.H.; Yang, E.-H. A critical review of geopolymer properties for structural fire-resistance applications. Constr. Build. Mater. 2019, 221, 514–526. [Google Scholar] [CrossRef]
- Phan, L.T. High-strength concrete at high temperature: An overview. In Proceedings of the Sixth International Symposium on the Utilization of High Strength/High Performance, Concrete, Leipzig, Germany, 23 June 2022; Konig, G., Dehn, F., Faust, T., Eds.; Volume 1, pp. 501–518. [Google Scholar]
- Poon, C.-S.; Azhar, S.; Anson, M.; Wong, Y.-L. Comparison of the strength and durability performance of normal- and high-strength pozzolanic concretes at elevated temperatures. Cem. Concr. Res. 2001, 31, 1291–1300. [Google Scholar] [CrossRef]
- Matesová, D.; Bonen, D.; Shah, S.P. Factors affecting the resistance of cementitious materials at high temperatures and medium heating rates. Mater. Struct. 2006, 39, 921–935. [Google Scholar] [CrossRef]
- Aslani, F.; Ma, G. Normal and High-Strength Lightweight Self-Compacting Concrete Incorporating Perlite, Scoria, and Polystyrene Aggregates at Elevated Temperatures. J. Mater. Civ. Eng. 2018, 30, 04018328. [Google Scholar] [CrossRef]
- Zhao, J.; Zheng, J.-J.; Peng, G.-F.; Sun, P.-S. Spalling and cracking modelling of high-performance concrete exposed to elevated temperatures. Mag. Concr. Res. 2017, 69, 1276–1287. [Google Scholar] [CrossRef]
- Ali, M.B.; Saidur, R.; Hossain, M.S. A review on emission analysis in cement industries. Renew. Sustain. Energy Rev. 2011, 15, 2252–2261. [Google Scholar] [CrossRef]
- Batran, T.Z.; Ismail, M.K.; Serag, M.I.; Ragab, A.M. Cement-Free Geopolymer Paste: An Eco-Friendly Adhesive Agent for Concrete and Masonry Repairs. Buildings 2024, 14, 3426. [Google Scholar] [CrossRef]
- Meyer, C. The greening of the concrete industry. Cem. Concr. Compos. 2009, 31, 601–605. [Google Scholar] [CrossRef]
- Fernández-Jiménez, A.M.; Palomo, A.; López-Hombrados, C. Engineering properties of alkali-activated fly ash concrete. ACI Mater. J. 2006, 103, 106–112. [Google Scholar] [CrossRef] [PubMed]
- Zhang, H.; Li, L.; Yuan, C.; Wang, Q.; Sarker, P.K.; Shi, X. Deterioration of ambient-cured and heat-cured fly ash geopolymer concrete by high temperature exposure and prediction of its residual compressive strength. Constr. Build. Mater. 2020, 262, 120924. [Google Scholar] [CrossRef]
- Wang, A.; Zheng, Y.; Zhang, Z.; Liu, K.; Li, Y.; Shi, L.; Sun, D. The durability of alkali-activated materials in comparison with ordinary Portland cements and concretes: A review. Engineering 2020, 6, 695–706. [Google Scholar] [CrossRef]
- Provis, J.L. Cement and concrete research alkali-activated materials. Cement Concr. Res. 2018, 114, 40–48. [Google Scholar] [CrossRef]
- Ali, A.; Ahmed, S.A.; El-Feky, M. Alkali-activated concrete with expanded polystyrene: A lightweight, high-strength solution for fire resistance and explosive protection. J. Build. Eng. 2025, 99, 111648. [Google Scholar] [CrossRef]
- Amer, I.; Kohail, M.; El-Feky, M.S.; Rashad, A.; Khalaf, M.A. Enhancing the Resistance to Elevated Temperature of Alkali-Activated Slag Concrete: A Comparative Study of the Role of Polypropylene Fibers. J. Mater. Civ. Eng. 2025, 37, 04024476. [Google Scholar] [CrossRef]
- Amer, I.; Kohail, M.; El-Feky, M.S.; Rashad, A.; Khalaf, M.A. Realistic Evaluation of Reinforcement Bond Strength in Alkali-Activated Slag Concrete Exposed to Elevated Temperature. Int. J. Concr. Struct. Mater. 2023, 17, 36. [Google Scholar] [CrossRef]
- Wetzel, A.; Middendorf, B. Influence of silica fume on properties of fresh and hardened ultra-high-performance concrete based on alkali-activated slag. Cem. Concr. Compos. 2019, 100, 53–59. [Google Scholar] [CrossRef]
- Albitar, M.; Ali, M.M.; Visintin, P.; Drechsler, M. Durability evaluation of geopolymer and conventional concretes. Construct. Build Mater. 2017, 136, 374–385. [Google Scholar] [CrossRef]
- Albidah, A.; Alqarni, A.S.; Abbas, H.; Almusallam, T.; Al-Salloum, Y. Behavior of Metakaolin-Based geopolymer concrete at ambient and elevated temperatures. Construct. Build Mater. 2022, 317, 125910. [Google Scholar] [CrossRef]
- Ahmed, S.A.; Ebrahem, E.; El-amir, A.A.M. Developing lightweight structural concrete with enhanced thermal and durability properties through nano-silica and expanded polystyrene integration. Sci. Rep. 2025, 15, 27100. [Google Scholar] [CrossRef]
- Al-Jabri, K.S.; Hago, A.W.; Al-Nuaimi, A.S.; Al-Saidy, A.H. Concrete blocks for thermal insulation in hot climate. Cem. Concr. Res. 2005, 35, 1472–1479. [Google Scholar] [CrossRef]
- Bilodeau, A.; Kodur, V.K.R.; Hoff, G.C. Optimization of the type and amount of polypropylene fibres for preventing the spalling of lightweight concrete subjected to hydrocarbon fire. Cem. Concr. Compos. 2004, 26, 163–174. [Google Scholar] [CrossRef]
- Al-Khaiat, H.; Haque, M.N. Effect of initial curing on early strength and physical properties of lightweight concrete. Cem. Concr. Res. 1998, 28, 859–866. [Google Scholar] [CrossRef]
- Ahmed, S.A.; Ebrahem, E.; El-Feky, M.S. Achieving sustainable performance: Synergistic effects of nano-silica and recycled expanded polystyrene in lightweight structural concrete. Sci. Rep. 2024, 14, 26648. [Google Scholar] [CrossRef]
- Ali, A.Y.F.; Ahmed, S.A.; Youssef, P.; Abdel-Wahab, A.M.; El-Feky, M.S. Fire performance and spalling mitigation in high-strength and eps-modified mortars under transient thermal exposure. Sci. Rep. 2025, 15, 32497. [Google Scholar] [CrossRef]
- Dixit, A.; Pang, S.D.; Kang, S.H.; Moon, J. Lightweight structural cement composites with expanded polystyrene (EPS) for enhanced thermal insulation. Cem. Concr. Compos. 2019, 102, 185–197. [Google Scholar] [CrossRef]
- International Energy Agency. Transition to Sustainable Buildings; International Energy Agency: Paris, France, 2013. [Google Scholar]
- Ozawa, M.; Parajuli, S.S.; Uchida, Y.; Zhou, B. Preventive effects of polypropylene and jute fibers on spalling of UHPC at high temperatures in combination with waste porous ceramic fine aggregate as an internal curing material. Constr. Build. Mater. 2019, 206, 219–225. [Google Scholar] [CrossRef]
- Liu, J.C.; Tan, K.H. Mechanism of PVA fibers in mitigating explosive spalling of engineered cementitious composite at elevated temperature. Cem. Concr. Compos. 2018, 93, 235–245. [Google Scholar] [CrossRef]
- Missemer, L.; Ouedraogo, E.; Malecot, Y.; Clergue, C.; Rogat, D. Fire spalling of ultra-high performance concrete: From a global analysis to microstructure investigations. Cem. Concr. Res. 2019, 115, 207–219. [Google Scholar] [CrossRef]
- Lee, G.; Han, D.; Han, M.C.; Han, C.G.; Son, H.J. Combining polypropylene and nylon fibers to optimize fiber addition for spalling protection of high-strength concrete. Constr. Build. Mater. 2012, 34, 313–320. [Google Scholar] [CrossRef]
- Cai, R.; Liu, J.-C.; Ye, H. Spalling Prevention of Ultrahigh-Performance Concrete: Comparative Effectiveness of Polyethylene Terephthalate and Polypropylene Fibers. J. Mater. Civ. Eng. 2021, 33, 04021344. [Google Scholar] [CrossRef]
- Short, A.; Kinniburgh, W. Lightweight Concrete, 3rd ed.; Applied Science Publishers: London, UK, 1978. [Google Scholar]
- Sussman, V. Lightweight plastic–aggregate concrete. J. Am. Concr. Inst. Proc. 1975, 72, 321–323. [Google Scholar]
- Zhao, D.; Xu, J.; Bai, E. Study on toughening effect in EPS concrete. Appl. Mech. Mater. 2012, 105–107, 1717–1722. [Google Scholar] [CrossRef]
- Bažant, Z.P.; Thonguthai, W. Pore pressure in heated concrete walls: Theoretical prediction. Mater. Struct. 1979, 31, 67–76. [Google Scholar] [CrossRef]
- Handoo, S.K.; Agarwal, S.; Agarwal, S.K. Physicochemical, mineralogical, and morphological characteristics of concrete exposed to elevated temperatures. Cem. Concr. Res. 2002, 32, 1009–1018. [Google Scholar] [CrossRef]
- Castillo, C. Effect of transient high temperature on High-Strength Concrete. ACI Mater. J. 1990, 87, 47–53. [Google Scholar] [CrossRef]
- Pulkit, U.; Adhikary, S.D. Effect of micro-structural changes on concrete properties at elevated temperature: Current knowledge and outlook. Struct. Concr. 2022, 23, 1995–2014. [Google Scholar] [CrossRef]
- Furumura, F.; Abe, T.; Shinohara, Y. Mechanical Properties of High Strength Concrete at High Temperatures. In Proceedings of the Fourth Weimar Workshop on High strength Concrete: Material Properties and Design, Weimar, Germany, 4–5 October 1995; Hochschule für Architektur und Bauwesen (HAB): Weimar, Germany, 1995. [Google Scholar]
- Phan, L.T.; Carino, N.J. Review of mechanical properties of HSC at elevated temperature. J. Mater. Civ. Eng. Am. Soc. Civ. Eng. 1998, 10, 58–64. [Google Scholar] [CrossRef]
- Phan, L.T.; Carino, N.J. Mechanical Properties of High Strength Concrete at Elevated Temperatures; NISTIR 6726; Building and Fire Research Laboratory, National Institute of Standards and Technology: Gaithersburg, MD, USA, 2001. [Google Scholar]
- Phan, L.T.; Carino, N.J. Effects of test conditions and mixture proportions on behavior of high_strength concrete exposed to high temperatures. ACI Mater. J. Am. Concr. Inst. 2002, 99, 54–66. [Google Scholar]
- Saeed, N.M.; Omer, B.; Jamal, A.S.; Dheyaaldin, M.H. Performance of cement mortar modified with GGBFS at elevated temperatures with various w/b ratios and superplasticizer dosages. Constr. Build. Mater. 2023, 368, 130493. [Google Scholar] [CrossRef]
- Cu, M.S.; Zturan, T.O. Effect of elevated temperatures on the mechanical properties of concrete. Procedia Struct. Integr. 2019, 14, 384–394. [Google Scholar] [CrossRef]
- Badawy, A.H.; El-hadad, A.S.; El-Hariri, M.O.R.; Gamal, A.A.; El-Gammal, M.A.; El-Feky, M.S. Enhancing Post-Fire Residual Performance of Concrete: A Comprehensive study on the Synergistic Effects of Multiwalled Carbon Nanotubes and Nano Clay at Elevated Temperatures. Egypt. J. Chem. 2025, 68, 325–342. [Google Scholar] [CrossRef]
- Djaknoun, S.; Ouedraogo, E.; Benyahia, A.A. Characterisation of the behaviour of high performance mortar subjected to high temperatures. Constr. Build. Mater. 2012, 28, 176–186. [Google Scholar] [CrossRef]
- Sullivan, P.J. A probabilistic method of testing for the assessment of deterioration and explosive spalling of high strength concrete beams in flexure at high temperature. Cem. Concr. Compos. 2004, 26, 155–162. [Google Scholar] [CrossRef]
- Khoury, G.A.; Grainger, B.N.; Sullivan, P.J. Transient thermal strain of concrete: Literature review, conditions within specimen and behavior of individual constituents. Mater. Struct. 1985, 37, 131–144. [Google Scholar] [CrossRef]
- Phan, L.T. Fire Performance of High-Strength Concrete: A Report of the State-of-the-Art; NISTIR 5934; Building and Fire Research Laboratory, National Institute of Standards and Technology: Gaithersburg, MD, USA, 1996; p. 105. [Google Scholar]
- Ta, H. High Strength Concrete, Phase 3. SP6 Fire Resistance-Report 6.2, Spalling Reduction through Material Design; STF70 F92156; SINTEF: Trondheim, Norway, 1992. [Google Scholar]
- Sanjayan, G.; Stocks, L.J. Spalling of high-strength silica fume concrete in fire. ACI Mat. J. 1993, 90, 170–174. [Google Scholar]
- Phan, L.T.; Lawson, J.R.; Davis, F.L. Effects of elevated temperature exposure on heating characteristics, spalling and residual properties of high performance concrete. Mat. Struct. 2001, 34, 83–91. [Google Scholar] [CrossRef]
- Çelikten, S.; Sarıdemir, M.; Deneme, İ.Ö. Mechanical and microstructural properties of alkali-activated slag and slag+ fly ash mortars exposed to high temperature. Constr. Build. Mater. 2019, 217, 50–61. [Google Scholar] [CrossRef]
- Guerrieri, M.; Sanjayan, J.; Collins, F. Residual compressive behavior of alkali_activated concrete exposed to elevated temperatures. Fire Mater. 2009, 33, 51–62. [Google Scholar] [CrossRef]
- Kong, D.L.; Sanjayan, J.G. Damage behaviour of geopolymer composites exposed to elevated temperatures. Cem. Concr. Compos. 2008, 30, 986–991. [Google Scholar] [CrossRef]
- Abdulkareem, O.A.; Al Bakri, A.M.; Kamarudin, H.; Nizar, I.K.; Saif, A.E.A. Effects of elevated temperatures on the thermal behaviour and mechanical performance of fly ash geopolymer paste, mortar and lightweight concrete. Constr. Build. Mater. 2014, 50, 377–387. [Google Scholar] [CrossRef]
- Sarker, P.K.; Mcbeath, S. Fire endurance of steel reinforced fly ash geopolymer concrete elements. Constr. Build. Mater. 2015, 90, 91–98. [Google Scholar] [CrossRef]
- Lee, N.K.; Koh, K.T.; An, G.H.; Ryu, G.S. Influence of binder composition on the gel structure in alkali activated fly ash/slag pastes exposed to elevated temperatures. Ceram. Int. 2017, 43, 2471–2480. [Google Scholar] [CrossRef]
- Cai, R.; Wu, T.; Fu, C.; Ye, H. Thermal degradation of potassium-activated ternary slag-fly ash-silica fume binders. Constr. Build. Mater. 2022, 320, 126304. [Google Scholar] [CrossRef]
- Sarker, P.K.; Kelly, S.; Yao, Z. Effetc of fire exposure on cracking, spalling and residual strength of fly ash geopolymer concrete. Mater Des. 2014, 63, 584–592. [Google Scholar] [CrossRef]
- Zhao, R.; Sanjayan, J. Geopolymer and Portland cement concretes in simulated fire. Mag. Concr. Res. 2011, 63, 163–173. [Google Scholar] [CrossRef]
- Kong, D.L.; Sanjayan, J.G. Effect of elevated temperatures on geopolymer paste, mortar and concrete. Cem. Concr. Res. 2010, 40, 334–339. [Google Scholar] [CrossRef]
- Shaikh, F.U.A.; Vimonsatit, V. Compressive strength of fly ash based geopolymer concrete at elevated temperatures. Fire Mater. 2015, 39, 174–188. [Google Scholar] [CrossRef]
- Shaikh, F.U.A.; Hosan, A. Mechanical properties of steel fibre reinforced geopolymer concretes at elevated temperatures. Constr. Build. Mater. 2016, 114, 15–28. [Google Scholar] [CrossRef]
- Hertz, K.D. Concrete strength for fire safety design. Mag. Concr. Res. 2005, 57, 445–453. [Google Scholar] [CrossRef]
- Aydin, S. Development of a high-temperature-resistant mortar by using slag and pumice. Fire Saf. J. 2008, 43, 610–617. [Google Scholar] [CrossRef]
- Shaikh, F.U.A.; Vimonsatit, V. Effect of cooling methods on residual compressive strength and cracking behavior of fly ash concretes exposed at elevated temperatures. Fire Mater. 2016, 40, 335–350. [Google Scholar] [CrossRef]
- Shoaib, M.M.; Ahmed, S.A.; Balaha, M.M. Effect of fire and cooling mode on the properties of slag mortars. Cem. Concr. Res. 2001, 31, 1533–1538. [Google Scholar] [CrossRef]
- Karakoç, M.B. Effect of cooling regimes on compressive strength of concrete with lightweight aggregate exposed to high temperature. Construct. Build. Mater. 2013, 41, 21–25. [Google Scholar] [CrossRef]
- Chan, S.Y.N.; Luo, X.; Sun, W. Effect of high temperature and cooling regimes on the compressive strength and pore properties of high performance concrete. Construct. Build. Mater. 2000, 14, 261–266. [Google Scholar] [CrossRef]
- Kara, I.B.; Arslan, M. Effects of plasticizer and antifreeze on concrete at elevated temperatures and different cooling regimes. Rev. Constr. 2020, 19, 347–357. [Google Scholar]
- Zhai, Y.; Li, Y.; Li, Y.B.; Wang, S.W.; Liu, Y.; Song, K.I. Impact of high-temperature-water cooling damage on the mechanical properties of concrete. Construct. Build. Mater. 2019, 215, 233–243. [Google Scholar] [CrossRef]
- Luo, X.; Suna, W.; Sammy, Y.N.C. Effect of heating and cooling regimes on residual strength and microstructure of normal strength and high-performance concrete. Cem. Concr. Res. 2000, 30, 379–383. [Google Scholar] [CrossRef]
- Koksal, F.; Kocabeyoglu, E.T.; Gencel, O.; Benli, A. The effects of high temperature and cooling regimes on the mechanical and durability properties of basalt fiber reinforced mortars with silica fume. Cem. Concr. Compos. 2021, 121, 104107. [Google Scholar] [CrossRef]
- Li, Y.; Yang, E.H.; Tan, K.H. Effects of heating followed by water quenching on strength and microstructure of ultra-high performance concrete. Constr. Build. Mater. 2019, 207, 403–411. [Google Scholar] [CrossRef]
- ESS 1109/2002; Aggregate for Concrete: Egyptian Standard Specification. Egyptian Organization for Standards and Quality: Cairo, Egypt, 2002.
- Wu, H.C.; Sun, P. New building materials from fly ash-based lightweight inorganic polymer. Constr. Build. Mater. 2007, 21, 211–217. [Google Scholar] [CrossRef]
- Babu, K.G.; Babu, D.S. Performance of fly ash concretes containing lightweight EPS aggregates. Cem. Concr. Compos. 2004, 26, 605–611. [Google Scholar] [CrossRef]
- BS EN 12390–3; Testing Hardened Concrete: Compressive Strength of Test Specimens. British Standard Institution: London, UK, 2009.
- BS EN 12390–6; Testing Hardened Concrete Part 6: Tensile Splitting Strength of Test Specimens. British Standards Institution: London, UK, 2009.
- ACI 544.2R-89; Measurement of Properties of Fiber Reinforced Concrete (Reapproved 1999). American Concrete Institute: Farmington Hills, MI, USA, 1984.
- Alhnifat, R.S.; Abdel-Jaber, M.; Al-Dala’ien, R.N. Behavior of Lightweight Concrete Incorporating Pozzolana Aggregate and Expanded Polystyrene Beads. Eng. Sci. 2023, 25, 934. [Google Scholar] [CrossRef]
- Sarıdemir, M.; Çelikten, S. Investigation of fire and chemical effects on the properties of alkali-activated lightweight concretes produced with basaltic pumice aggregate. Constr. Build. Mater. 2020, 260, 119969. [Google Scholar] [CrossRef]
- Rovnaník, P.; Bayer, P.; Rovnaníkov, P. Characterization of alkali activated slag paste after exposure to high temperatures. Constr. Build. Mater. 2013, 47, 1479–1487. [Google Scholar] [CrossRef]
- Ambily, P.S.; Ravisankar, K.; Umarani, C.; Dattatreya, J.K.; Iyer, N.R. Development of ultra-high-performance geopolymer concrete. Mag. Concr. Res. 2014, 66, 82–89. [Google Scholar] [CrossRef]
- Morsy, M.S.; Al-Salloum, Y.A.; Abbas, H.; Alsayed, S.H. Behavior of blended cement mortars containing nano-metakaolin at elevated temperatures. Constr. Build. Mater. 2012, 35, 900–905. [Google Scholar] [CrossRef]
- Jambor, J. Influence of phase composition of hardened binder pastes on its pore structure and strength. Proc. Conf. Porestructure Prop. Mater. Prague 1973, 11, D75–D96. [Google Scholar]
- Wang, H.; Lyu, H.; Liu, T.; Li, Y.; Tan, K.H. Effect of post-fire curing on compressive strength of ultra-high performance concrete and mortar. Constr. Build. Mater. 2022, 346, 128447. [Google Scholar] [CrossRef]
- Cai, R.; Ye, H. Clinkerless ultra-high strength concrete based on alkali-activated slag at high temperatures. Cem. Concr. Res. 2021, 145, 106465. [Google Scholar] [CrossRef]
- Türker, H.T.; Balçikanli, M.; Durmuş, I.H.; Özbay, E.; Erdemir, M. Microstructural alteration of alkali activated slag mortars depend on exposed high temperature level. Constr. Build. Mater. 2016, 104, 169–180. [Google Scholar] [CrossRef]
- Ali, H.K.; Abid, S.R.; Tayşi, N. Thermal Behaviour and Microstructure of Self-Cured High-Strength Plain and Fibrous Geopolymer Concrete Exposed to Various Fire Scenarios. Buildings 2023, 13, 2444. [Google Scholar] [CrossRef]
- Taylo, H.F.W. Cement Chemistry; Academic Press: New York, NY, USA, 1990. [Google Scholar]
- Mohamedbhai, G.T.G. Effect of exposure time and rates of heating and cooling on residual strength of heated concrete. Mag. Concr. Res. 1986, 38, 151–158. [Google Scholar] [CrossRef]
- Shaikh, F.U.A. Effect of cooling on the residual mechanical properties and cracking of plain and fibrous geopolymer concretes at elevated temperatures. Struct. Concr. 2019, 20, 1583–1595. [Google Scholar] [CrossRef]
- Lim, S.; Mondal, P. Effects of nanosilica addition on increased thermal stability of cement-based composite. ACI Mater. J. 2015, 112, 305. [Google Scholar] [CrossRef]
- Monte, F.L.; Bamonte, P.; Gambarova, P.G. Physical and mechanical properties of heat-damaged structural concrete containing expanded polystyrene syntherized particles. Fire Mater. 2015, 39, 58–71. [Google Scholar] [CrossRef]
- Ye, H.; Radlinska, A. Shrinkage mechanisms of alkali-activated slag. Cem. Concr. Res. 2016, 88, 126–135. [Google Scholar] [CrossRef]
- Ye, H.; Cartwright, C.; Rajabipour, F.; Radli, A. Understanding the drying shrinkage performance of alkali-activated slag mortars. Cem. Concr. Compos. 2017, 76, 13–24. [Google Scholar] [CrossRef]
- Fenner, C.N. The stability relations of the silica minerals. Am. J. Sci. 1913, 36, 331–384. [Google Scholar] [CrossRef]
- Shah, S.P.; Swartz, S.E.; Ouyang, C. Fracture Mechanics of Concrete: Applications of Fracture Mechanics to Concrete, Rock and Other Quasi-Brittle Materials; John Wiley & Sons: Hoboken, NJ, USA, 1995; 552p, Available online: https://www.wiley.com/en-us/Fracture+Mechanics+of+Concrete%3A+Applications+of+Fracture+Mechanics+to+Concrete%2C+Rock+and+Other+Quasi-Brittle+Materials-p-9780471303114 (accessed on 4 August 2024).
- Ali, A.Y.F.; El-Emam, H.M.; Seleem, M.H.; Sallam, H.E.M.; Moawad, M. Effect of crack and fiber length on mode I fracture toughness of matrix-cracked FRC beams. Constr. Build. Mater. 2022, 341, 127924. [Google Scholar] [CrossRef]
- Hu, J.; Ren, J.; Wu, D. Dynamic Mechanical Properties of EPS Concrete Under Impact Loading. J. Shanghai Jiaotong Univ. 2019, 24, 94–100. [Google Scholar] [CrossRef]
- Tritt, T.M. Thermal Conductivity: Theory, Properties, and Applications; Springer: Princeton, NJ, USA, 2005; Available online: https://books.google.com/books?id=whJNfKmziiIC (accessed on 17 March 2019).
- Jelle, B.P. Traditional, state-of-the-art and future thermal building insulation materials and solutions–Properties, require ments and possibilities. Energy Build. 2011, 43, 2549–2563. [Google Scholar] [CrossRef]
- Kanema, M.; de Morais, M.V.G.; Noumowe, A.; Gallias, J.L.; Cabrillac, R. Experimental and numerical studies of thermo-hydrous transfers in concrete exposed to high temperature. Heat Mass Transf. 2007, 44, 149–164. [Google Scholar] [CrossRef]
- Nath, S.K.; Kumar, S. Influence of Iron Making Slags on Strength and Microstructure of Fly Ash Geopolymer. Constr. Build. Mater. 2013, 38, 924–930. [Google Scholar] [CrossRef]
- Collepardi, M. The New Concrete; Grafiche Tintoretto: Lancenigo, Italy, 2006. [Google Scholar]
- Vickers, L.; Riessen, A.V.; Rickard, W.D.A. Fire-Resistant Geopolymers: Role of Fibres and Fillers to Enhance Thermal Properties; Springer: Singapore, 2015. [Google Scholar]
- Davidovits, J. Geopolymers: Inorganic polymeric new materials. J. Therm. Anal. 1991, 37, 1633–1656. [Google Scholar] [CrossRef]
- Davidovits, J. Fire proof geopolymeric cements. In Proceedings of the Second International Conference Geopolymere 1999, Saint-Quentin, France, 30 June–2 July 1999; pp. 165–169. [Google Scholar]
- Zhao, C.; Zhou, W.; Zhou, Q.; Wang, Z.; Sant, G.; Guo, L.; Bauchy, M. Topological origin of phase separation in hydrated gels. J. Colloid Interface Sci. 2021, 590, 199–209. [Google Scholar] [CrossRef]
- Zhao, C.; Yu, J.; Chen, X.; Wu, Q.; Zhou, W.; Bauchy, M. Atomistic origin of kinetics in hydrated aluminosilicate gels upon precipitation. J. Chem. Phys. 2023, 159, 144501. [Google Scholar] [CrossRef]
- Zhao, C.; Li, Z.; Peng, S.; Liu, J.; Wu, Q.; Xu, X. State-of-the-art review of geopolymer concrete carbonation: From impact analysis to model establishment. Case Stud. Constr. Mater. 2024, 20, e03124. [Google Scholar] [CrossRef]
















| Materials | Chemical Properties | ||||||||||||
|---|---|---|---|---|---|---|---|---|---|---|---|---|---|
| SiO2 | AL2O3 | Fe2O3 | CaO | MgO | SO3 | K2O | Na2O | TiO2 | P2O5 | MnO | Cl | L.O.I | |
| OPC | 21.2 | 4.67 | 5.05 | 64.73 | 1.5 | 2.05 | 0.22 | 0.3 | - | - | - | - | 2.6 |
| GGBFS | 38.25 | 7.64 | 0.53 | 34.2 | 7.73 | 3.01 | 1.35 | 1.14 | 0.54 | ≥0.01 | 5.17 | 0.18 | ≤0.01 |
| SF | 88.9 | 0.29 | 0.94 | 0.2 | 0.36 | 5.12 | - | 0.52 | - | - | - | - | 3.4 |
| Component | Na2O (%) | SiO2 (%) | H2O (%) |
|---|---|---|---|
| Sodium silicate | 11.98 | 31.00 | 57.00 |
| Sodium hydroxide | 60.25 | - | 39.75 |
| Mixture Code | Slag (kg/m3) | Sand (kg/m3) | Na2SiO3 (kg/m3) | NaOH (kg/m3) | Water (kg/m3) | EPS (kg/m3) |
|---|---|---|---|---|---|---|
| HSAAM (S/0) | 880 | 880 | 221.8 | 72.5 | 156 | - |
| LWAS (S/50) | 880 | 440 | 221.8 | 72.5 | 156 | 2.175 |
| Mixture Code | Cement | Silica Fume | Sand | EPS | Water | Superplasticizer |
|---|---|---|---|---|---|---|
| HSCM (C/0) | 710 | 70 | 1354 | - | 203 | 23.4 |
| LWPC (C/50) | 710 | 70 | 677 | 3.346 | 203 | 23.4 |
Disclaimer/Publisher’s Note: The statements, opinions and data contained in all publications are solely those of the individual author(s) and contributor(s) and not of MDPI and/or the editor(s). MDPI and/or the editor(s) disclaim responsibility for any injury to people or property resulting from any ideas, methods, instructions or products referred to in the content. |
© 2025 by the authors. Licensee MDPI, Basel, Switzerland. This article is an open access article distributed under the terms and conditions of the Creative Commons Attribution (CC BY) license (https://creativecommons.org/licenses/by/4.0/).
Share and Cite
Ali, A.Y.F.; Ismail, M.K.; Ahmed, S.A.; Youssef, P.; El-Feky, M.S. Performance of EPS-Modified Lightweight Geopolymer and Cement Mortars Under Different Thermal and Cooling Regimes: A Comparative Study. Buildings 2025, 15, 3991. https://doi.org/10.3390/buildings15213991
Ali AYF, Ismail MK, Ahmed SA, Youssef P, El-Feky MS. Performance of EPS-Modified Lightweight Geopolymer and Cement Mortars Under Different Thermal and Cooling Regimes: A Comparative Study. Buildings. 2025; 15(21):3991. https://doi.org/10.3390/buildings15213991
Chicago/Turabian StyleAli, A. Y. F., Mohamed K. Ismail, Sabry A. Ahmed, Passant Youssef, and M. S. El-Feky. 2025. "Performance of EPS-Modified Lightweight Geopolymer and Cement Mortars Under Different Thermal and Cooling Regimes: A Comparative Study" Buildings 15, no. 21: 3991. https://doi.org/10.3390/buildings15213991
APA StyleAli, A. Y. F., Ismail, M. K., Ahmed, S. A., Youssef, P., & El-Feky, M. S. (2025). Performance of EPS-Modified Lightweight Geopolymer and Cement Mortars Under Different Thermal and Cooling Regimes: A Comparative Study. Buildings, 15(21), 3991. https://doi.org/10.3390/buildings15213991

