Abstract
Freeze-thaw (F-T) cycle tests and triaxial shear tests are conducted under varying freezing ambient temperatures and different F-T cycles for remolded loess. The results indicate that nearly all stress–strain curves of remolded loess exhibit strain-hardening behavior under varying freezing ambient temperatures and different F-T cycles. A decrease in freezing temperature alters the yield strain of loess and diminishes its resistance to deformation. As the freezing temperature decreases and the number of F-T cycles increases, the failure deviatoric stress of loess initially decreases, then increases, and eventually stabilizes. The most detrimental freezing temperature is −12 °C, which significantly exacerbates the adverse effects of F-T cycles on failure deviatoric stress. The strength indices initially decrease and then increase with decreasing freezing temperatures, while they first decrease and then stabilize with an increasing number of F-T cycles. Notably, the deterioration of cohesion is significantly greater than that of the internal friction angle. A quantitative analysis is conducted to examine the relationship between failure deviatoric stress, shear strength index, temperature, and freeze-thaw cycles. The fitting results effectively quantify the influence of different variables on the strength characteristics of loess. The findings of this research have significant theoretical implications for practical engineering applications in the northwest loess region.
1. Introduction
Loess is a typical Quaternary aeolian sediment found in arid and semi-arid regions, characterized by its unique material composition and structural properties. It is widely distributed throughout the northwestern part of China [1,2,3]. The seasonal temperature variations and the differences between day and night temperatures are significant in northwest China, with low temperatures during winter and at night. These periodic temperature changes lead to repeated cycles of freezing and thawing in the loess soil, which can result in various hazards, such as subgrade deformation and slope failure [4,5,6,7]. These issues pose serious threats to the quality of construction projects and the safety of people’s lives. In light of the continued advancement of the “Belt and Road” Initiative, there has been a notable shift in the emphasis of infrastructure development, particularly concerning high-speed railways and highways, towards the northwestern loess region. Consequently, loess projects, such as roadbeds and slopes, are likely to undergo F-T cycles during both construction and operation [8,9,10,11]. It is imperative to investigate the impact of F-T cycles on the mechanical properties of soil for the purposes of practical engineering applications.
To date, numerous experts have conducted various studies on the effects of F-T cycles on the mechanical properties of different types of soil. Zhao et al. [12] conducted a study examining the effects of F-T cycles on the shear strength of loess through the application of triaxial testing methods. The findings reveal that an increase in the number of F-T cycles correlates with a reduction in both the internal friction angle (φ) and cohesion (c). This change pattern closely resembles the microstructural characteristics of the particles. Notably, both parameters exhibit significant changes before reaching five cycles and tend to stabilize after 15 cycles. Zhang et al. [13] investigated the changes in loess strength under F-T cycles. The results indicated that as the number of F-T cycles increased, the strength of the soil exhibited varying degrees of deterioration. Yang et al. [14] conducted triaxial shear tests on intact loess under F-T conditions and found that F-T cycles significantly weakened the failure strength, shear strength, cohesion, and initial tangent modulus of intact loess. However, there was no noticeable effect on the internal friction angle. Ghazavi et al. [15] conducted a study examining the effects of F-T cycles on the compressive strength of fiber-reinforced clay. The results indicated that the unconfined compressive strength of the soil decreased by 20 to 25% with an increase in the number of F-T cycles. Tang et al. [16] conducted consolidated undrained triaxial tests to investigate the impact of F-T cycles on the strength of expansive soil. The results indicated that the elastic modulus, failure strength, and shear strength parameters of the soil significantly decreased with an increasing number of F-T cycles. Wang et al. [17] performed direct shear tests on coarse salt soil samples that were exposed to F-T cycles. The results indicated a decline in cohesion as the F-T cycles advanced, whereas the φ exhibited no significant changes due to the F-T cycles. Chu et al. [18] conducted F-T cycle tests and triaxial shear tests to investigate the mechanical properties of loess at varying moisture contents. The results indicate that the failure mode of the stress–strain curve for loess is influenced by both moisture content and the number of F-T cycles. As the number of F-T cycles increases, the failure strength and shear strength parameters of loess gradually decrease before stabilizing. Guo et al. [19] conducted triaxial tests on the paleosoil subjected to various F-T cycles. The results indicated that the F-T cycles compromised the structure of the paleosoil, with the stress corresponding to the strain being greater under high confining pressure and low moisture conditions. It is evident that various environmental factors exert distinct effects on the mechanical properties of different soil types [20,21,22,23,24,25,26,27].
The F-T cycle alters the internal temperature of the soil by responding to changes in the external environmental temperature, causing the soil to repeatedly undergo the processes of freezing and melting. During the F-T cycle, the initial structure of soil is compromised, leading to alterations in microstructure, such as particle diameter and pore volume. Consequently, the macroscopic physical parameters and mechanical properties deteriorate due to changes in microstructure [28,29,30,31,32,33]. In loess engineering, issues such as frost heaving, thawing, and sinking have significantly compromised construction quality, leading to various degrees of engineering accidents [34,35]. Severe weather conditions, including heavy snow, freezing temperatures, strong winds, high temperatures, and both heavy and continuous rainfall, exacerbate the F-T cycle. Therefore, environmental temperature is a significant factor influencing soil properties. Investigating the effects of freezing and thawing temperature changes on the strength characteristics of loess is crucial for addressing the challenges posed by freezing and thawing disasters in loess engineering. Therefore, based on the application of the F-T cycle test followed by triaxial shear testing, this study investigates the evolution of the stress–strain characteristics, failure deviator stress, and shear strength index of loess as the temperature of the freeze-thaw environment changes.
2. Soil Materials and Test Methods
2.1. Preparation of Test Materials and Soil Samples
The loess samples were obtained from a construction site of a subway station currently under development in Xi’an City, Shaanxi Province, China. The locations and environmental conditions of the soil sampling are illustrated in Figure 1a,b, with the sampling depth ranging from 13.0 to 14.0 m. The soil samples exhibited a yellow-brown coloration, lacked distinct bedding, and were classified as Late Pleistocene loess (Q3eol). The original soil sample size was cut into approximately 30 cm × 30 cm × 30 cm blocks. Following successful collection, the samples were promptly wrapped and sealed with black plastic film and tape to mitigate water loss and prevent damage to the soil samples. The fundamental physical property indices of the soil samples, as determined through laboratory analyses, are presented in Table 1.
Figure 1.
Overview of sampling: (a) sampling site; (b) sampling site environment; (c) geological section.
Table 1.
Basic physical properties of soil samples.
Subsequent to the processes of cutting, drying, and pulverizing the soil sample, the resultant material was subjected to sieving through a mesh with a pore diameter of 2 mm. The sifted soil was then weighed, and distilled water was uniformly sprayed onto it. Subsequently, the soil was placed into a sealed bag and allowed to equilibrate for 24 h to achieve a uniform target moisture content of ω = 18.4%. Thereafter, based on the desired dry density of ρd = 1.5 g/cm3, the necessary mass of wet soil was determined. The soil was then compacted in three layers using a compaction method, ensuring that each layer had an equal weight. Upon completion of the compaction process, the surface of each layer was shaved to create a cylindrical remolded loess sample with a diameter of 39.1 mm and a height of 80 mm.
2.2. Test Equipment
A high-low temperature test chamber designated as XT5402-TC400-R60 was utilized for the testing. The external dimensions of the test chamber are 860 mm × 960 mm × 1780 mm (W × L × H), while the internal dimensions are 700 mm × 700 mm × 800 mm, as illustrated in Figure 2a. The dynamic constant temperature control system design of the test chamber effectively meets the precise temperature control requirements across the entire range, achieving an optimal constant temperature fluctuation of ±0.5 °C. This makes it suitable for environmental condition testing within a temperature range of −60 °C to +100 °C. Additionally, the programmable temperature control function allows for automatic temperature adjustments.
Figure 2.
Test equipment: (a) high-low temperature test chamber; (b) triaxial shear test system.
The experiment employed the TSZ30-2.0 strain-controlled triaxial testing apparatus, which consists of three primary components: the testing machine (including the load cell, pressure chamber, elevating platform, sensors, etc.), the pressure control system, and the PC-based data acquisition system, as illustrated in Figure 2b. This apparatus is engineered to evaluate the strength and deformation properties of soil specimens subjected to axial static loading conditions. The triaxial apparatus can accommodate sample sizes of 39.1 mm × 80 mm and 61.8 mm × 125 mm, and it allows for controlling strain rates ranging from 0.0024 to 4.5 mm/min.
2.3. Test Scheme
The remolded loess samples wrapped in plastic wrap were placed in the high-low temperature test chamber. According the variation curve of annual daily minimum temperature in Xi ‘an City from 1970 to 2020 (Figure 3), the minimum value of annual daily minimum temperature was −16 °C and the maximum value was −5.4 °C. The freezing temperature was set to −5, −8, −12, and −16 °C, and the melting temperature was set to 25 °C. The samples were frozen for 12 h at low temperature and melted for 12 h at high temperature. A freeze-thaw cycle of 24 h was used to ensure full freezing and complete melting of the samples. The frequency of F-T cycles is established at 1, 5, 10, and 20, respectively.
Figure 3.
Variation curves of annual and daily minimum temperature in Xi’an City from 1970 to 2020.
Upon completion of the freeze-thaw cycle test, which achieved the predetermined number of cycles, the remolded loess samples were extracted. The plastic wrap that had been applied to the surface was subsequently removed, and the triaxial shear test was conducted. The confining pressures of triaxial shear tests were set to 100, 200 and 300, respectively. The shearing rate was controlled to 0.012%/min. The detailed freeze-thaw cycle and triaxial shear test protocols are shown in Table 2.
Table 2.
Scheme of F-T cycle test and triaxial shear test.
3. Experimental Results
3.1. Stress–Strain Characteristics
Figure 4 illustrates the stress–strain relationships of remolded loess samples subjected to various freezing temperatures, using 10 F-T cycles as a representative example. As can be seen from the figure, the stress–strain curves are similar in terms of the morphological distribution but show some local differences due to the different freezing temperatures. The stress–strain curves corresponding to each freezing temperature are all strain hardening, which indicates that the freezing temperature has little effect on the morphological characteristics of the stress–strain curves.
Figure 4.
Stress–strain curves of remolded loess samples at different freezing temperatures: (a) −5 °C; (b) −8 °C; (c) −12 °C; (d) −16 °C.
When the freezing temperature is higher than −12 °C, the deviatoric stress corresponding to the same strain gradually decreases as the freezing temperature drops. This indicates that lower freezing temperatures can compromise the soil structure and reduce soil strength. Conversely, when the freezing temperature falls below −12 °C, the deviatoric stress corresponding to the same strain gradually increases with decreasing temperature, although the variation range is relatively small. The yield strain of the reshaped loess samples at freezing temperatures of −5 °C, −8 °C, −12 °C, and −16 °C decreased from 1.5% to 0.5%. This indicates that the resistance to deformation gradually diminished as the freezing temperature decreased.
Figure 5 illustrates the stress–strain curves of remolded loess samples subjected to different F-T cycles (taking a freezing temperature of −12 °C as an example). It can be noted that the stress–strain curves associated with the various numbers of cycles demonstrate a general tendency towards strain hardening behavior. Only the stress–strain curve at 10 F-T cycles and a confining pressure of 100 demonstrates a slight softening. The findings suggest that the quantity of F-T cycles exerts minimal influence on the morphological properties of the stress–strain curve.
Figure 5.
Stress–strain curves of remolded loess samples at different F-T cycles: (a) 1 cycle; (b) 5 cycles; (c) 10 cycles; (d) 20 cycles.
For a given confining pressure, the position of the stress–strain curve gradually decreases as the number of cycles increases. The deviatoric stress after 10 F-T cycles is slightly greater than that after 20 cycles, indicating that the initial number of F-T cycles significantly influences the stress–strain curve. However, this influence diminishes as the number of cycles increases. F-T cycles alter the structural characteristics of the soil, including its particles and pore structure, which in turn affects the soil’s strength and deformation properties. These changes in strength and deformation characteristics can be represented by the stress–strain curve. After 10 F-T cycles, the soil structure reaches a stable equilibrium state, and the stress–strain curve is no longer significantly affected by additional F-T cycles.
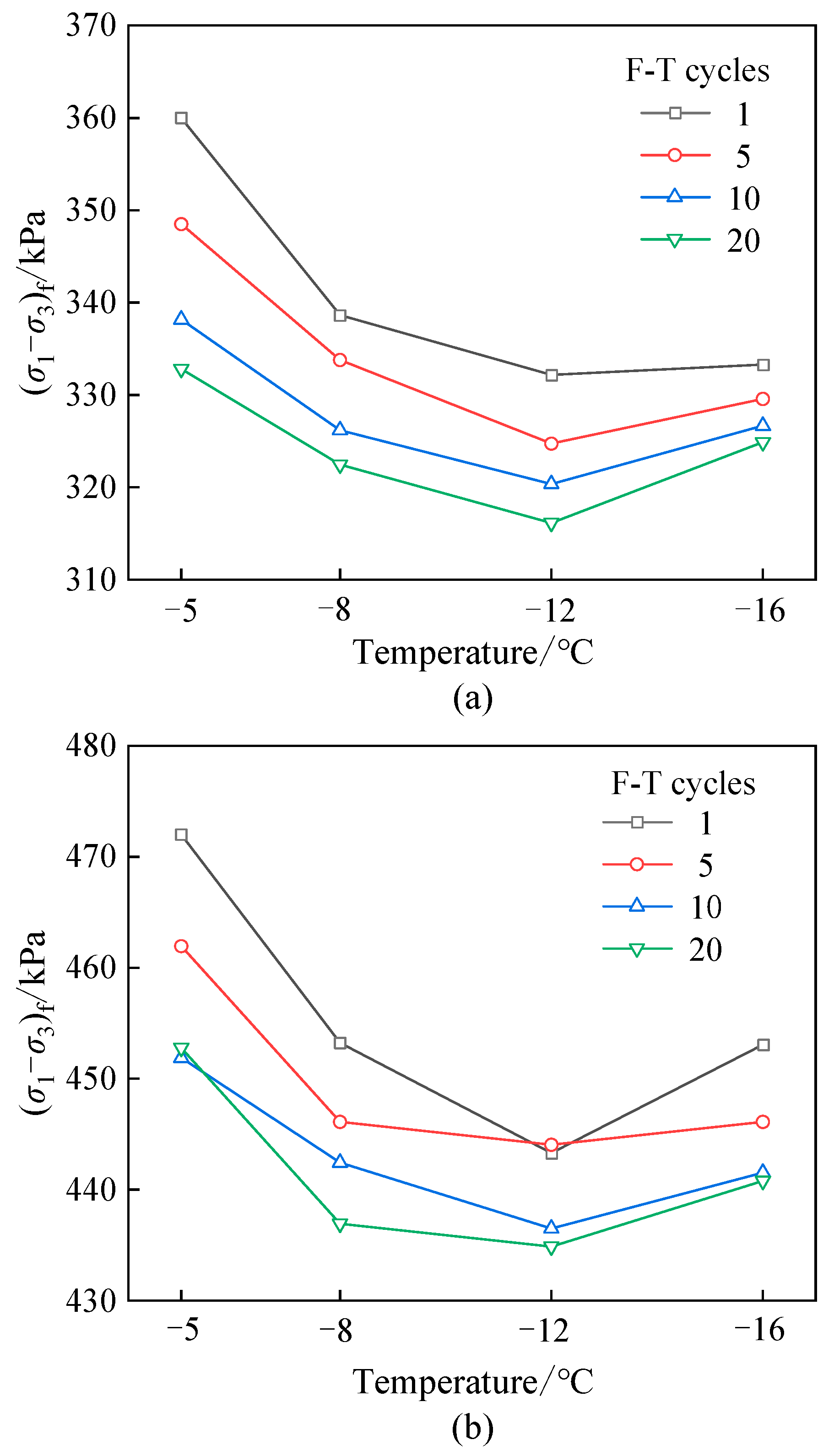
3.2. Failure Deviatoric Stress
The deviatoric stress corresponding to a 15% axial strain (ε1), or peak deviatoric stress, is designated as the failure deviatoric stress (σ1–σ3)f [36]. Figure 6 illustrates the relationship between failure deviatoric stress and freezing temperature (−5 °C, −8 °C, −12 °C, −16 °C) under various F-T cycles (1, 5, 10, 20). It is observed that as the freezing temperature decreases, the overall failure deviatoric stress also diminishes. Furthermore, the relationship exhibits a trend characterized by an initial decrease followed by an increase as the freezing temperature continues to decline. In the context of varying freeze-thaw effects, it was observed that as the freezing temperature decreased from −5 °C to −12 °C, the failure deviatoric stress of the sample exhibited a gradual decline. Conversely, when the temperature was further reduced from −12 °C to −16 °C, the failure deviatoric stress of the sample demonstrated a gradual increase. It can be inferred that the freezing temperature serves as a significant determinant of the deviatoric stress associated with sample failure. Notably, a freezing temperature of −12 °C emerges as the most detrimental, resulting in the most pronounced adverse effects on the deviatoric stress during F-T cycles.

Figure 6.
Variation relation between failure deviatoric stress and freezing temperature: (a) 100 kPa; (b) 200 kPa; (c) 300 kPa.
As the number of F-T cycles escalates from 1 to 20, there is a marked reduction in the failure deviatoric stress of the sample subjected to a consistent freezing temperature. This observation suggests that an increase in the number of F-T cycles exacerbates the detrimental impact of freezing temperatures on the failure deviatoric stress of the sample. An elevation in confining pressure (σ3) from 100 kPa to 300 kPa results in a substantial rise in the failure deviatoric stress of the sample subjected to identical freezing temperatures. This observation suggests that elevated confining pressure may mitigate the adverse effects of freezing temperatures on the failure deviatoric stress of the sample.
During the freezing process, the surface of the soil freezes first, causing the unfrozen water film on the surface of the ice crystals to become thinner. At this stage, the pore water pressure decreases, generating suction that causes the internal water in the soil to migrate to the surface, replenishing the thin unfrozen water film on the ice crystals. This process allows the ice crystals to expand continuously, and the freezing front gradually penetrates deeper into the soil, resulting in further freezing. When the soil thaws, the ice crystals on the surface melt first, causing a drop in pore water pressure within the soil and generating suction that allows soil water to migrate backward. This back-and-forth movement of soil moisture disrupts the soil structure. Uneven distribution of water within the soil can easily lead to the formation of a weak structural surface, which limits the overall strength of the soil. The F-T effect results in the continuous migration of water within the soil and ongoing changes to the soil structure, thereby affecting the soil’s strength behavior [37,38,39,40].
Figure 7 illustrates the correlation between failure deviatoric stress and the number of F-T cycles (1, 5, 10, 20) for remolded loess samples subjected to various freezing temperatures (−5 °C, −8 °C, −12 °C, −16 °C). The analysis indicates that the failure deviatoric stress of the remade loess sample exhibits an overall decline, characterized by an initial decrease followed by a stabilization as F-T cycles increase. As the cycles increased from 1 to 10, there was a progressive decline in the failure deviatoric stress of the sample. Subsequently, when the cycles rose from 11 to 20, the failure deviatoric stress exhibited a tendency to stabilize. It can be inferred that the frequency of F-T cycles serves as a significant determinant of the failure deviatoric stress of the sample. Furthermore, the observation that the failure deviatoric stress does not return to its original value after stabilization suggests that the damage inflicted on the sample by F-T cycles is irreversible.

Figure 7.
Variation relation between failure deviatoric stress and F-T cycles: (a) 100 kPa; (b) 200 kPa; (c) 300 kPa.
3.3. Shear Strength Index
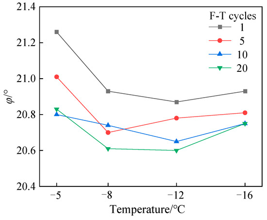
Figure 8 and Figure 9 illustrate the correlation between the shear strength parameters of the remolded loess samples, specifically, cohesion (c) and internal friction angle (φ), in relation to variations in freezing temperature. The data presented in the figure indicate that, under various cycles of F-T, the shear strength index of remolded loess samples exhibits a general decline. Notably, the reduction in c attributed to freezing temperatures is significantly more pronounced than the decrease observed in the φ. As the freezing temperature decreases, both the c and φ exhibit analogous patterns of variation, initially decreasing before subsequently increasing. When the freezing temperature ranges between −12 °C and −5 °C, both the c and φ exhibit a decline as the freezing temperature decreases. Conversely, within the range of −16 °C to −12 °C, both the c and φ increase as the freezing temperature decreases. Specifically, when comparing the freezing temperature of −5 °C to that of −12 °C, the average reductions in cohesion and internal friction angle are 7.39% and 1.19%, respectively. In contrast, when comparing −12 °C to −16 °C, the average increases in the c and φ are 1.95% and 0.41%, respectively. This indicates that −12 °C represents the most detrimental freezing temperature, at which the c and φ of the remolded loess sample reach their minimum values.
Figure 8.
Variation relation between c and freezing temperature.
Figure 9.
Variation relation between φ and freezing temperature.
Figure 10 and Figure 11 illustrate the correlation between the shear strength index and F-T cycles under various freezing temperatures. Research indicates that the shear strength index of remolded loess samples generally declines at various freezing temperatures. Furthermore, the extent of deterioration in the c due to F-T cycles is markedly more pronounced than that observed in the φ. The c and φ exhibit analogous patterns of change in response to the increasing number of F-T cycles, demonstrating an initial decline followed by a stabilization phase. Notably, the reduction in c and the variability in the φ are more pronounced at elevated freezing temperatures. Prior to reaching 10 F-T cycles, both the c and φ experience significant variations across different freezing temperatures, with values ranging from 84.00 kPa to 73.93 kPa and 21.26° to 20.65°, respectively. On average, the c and φ decreased by 11.99% and 2.87%, respectively. Following 10 cycles of F-T, the alterations in cohesion and internal friction angle under varying freezing temperatures are minimal, with values ranging from 79.08 kPa to 73.00 kPa and 20.83° to 20.60°, respectively. The average reductions in the c and φ during this phase are 7.69% and 1.10%, respectively.
Figure 10.
Variation relation between c and F-T cycles.
Figure 11.
Variation relation between φ and F-T cycles.
4. Quantitative Analysis
4.1. Effect of Quantitative Analysis on Failure Stress
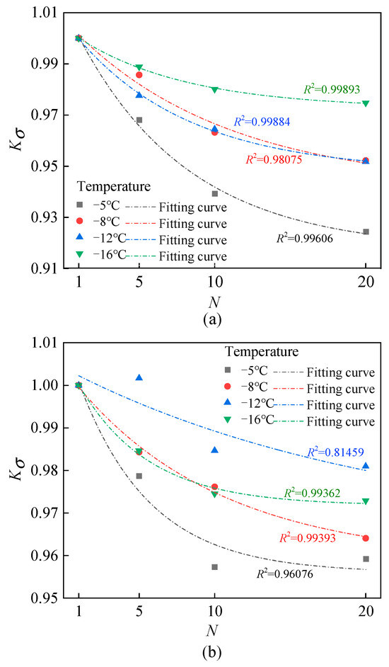
To enhance the quantification of the effects of the temperature and F-T cycles on failure deviatoric stress, the concept of the stress reduction coefficient (Kσ) [41] is introduced. The formulation of the stress reduction coefficient is presented in Equation (1):
where Kσ is the stress reduction coefficient; (σ1 − σ3)f0 is the failure deviatoric stress at initial conditions; (σ1 − σ3)f is the failure deviatoric stress under different freezing temperatures and F-T cycles.
The correlation between the stress reduction coefficient (Kσ) and the freezing temperature (T) can be described by Equation (2). The fitting results are illustrated in Figure 12, and the corresponding fitting parameters are detailed in Table 3.
where A1, A2, and A3 are the fitting parameters.
Figure 12.
Fitting results of Kσ and T: (a) 100 kPa; (b) 200 kPa; (c) 300 kPa.
Table 3.
Fitting parameters of Kσ and T.
The correlation between the stress reduction coefficient (Kσ) and the F-T cycles (N) can be described by Equation (3). The fitting results are illustrated in Figure 13, and the corresponding fitting parameters are detailed in Table 4.
where B1, B2, and B3 are the fitting parameters.

Figure 13.
Fitting results of Kσ and N: (a) 100 kPa; (b) 200 kPa; (c) 300 kPa.
Table 4.
Fitting parameters of Kσ and N.
4.2. Effect of Quantitative Analysis on Shear Strength Index
Considering the impact of freezing temperature (T) and F-T cycles on the shear strength index, the cohesion © can be fitted and analyzed using Equation (4). The fitting results are illustrated in Figure 14 and Table 5.
where y represents c; x represents F-T cycles; C1, C2, C3, and m represent fitting parameters.
Figure 14.
Fitting results of shear strength index.
Table 5.
Fitting parameters.
Based on the fitting parameters of c detailed in Table 5, it is evident that the association between C1, C2, and C3 with freezing temperature conforms to the quadratic polynomial model, as illustrated in Equation (5). The fitting results are presented in Figure 15.
where y represents C1, C2, and C3; x represents the freezing temperature; D1, D2, and D3 represent fitting parameters.

Figure 15.
Fitting results of fitting parameters and temperature: (a) C1~T; (b) C2~T; (c) C3~T.
Based on the fitting results, the relationships between the fitting parameters of cohesion (C1, C2, and C3) and freezing temperature (T) are presented in Equations (6)–(8).
5. Conclusions and Prospects
5.1. Conclusions
(1) The temperature and F-T cycles have little impact on the morphological characteristics of the stress–strain curves. A decrease in freezing temperature alters the yield strain of loess and reduces its resistance to deformation. Additionally, the effect of F-T cycles on the stress–strain curve of loess diminishes as the number of cycles increases.
(2) As the temperature of freezing decreases and F-T cycles increase, the failure deviatoric stress in loess demonstrates a pattern characterized by an initial decline, followed by an increase, and ultimately a state of stabilization. The most adverse freezing temperature is −12 °C, which markedly exacerbates the effects of freeze-thaw cycles on the degradation of failure deviatoric stress. Freezing temperatures ranging from −5 °C to −12 °C exacerbate the negative effects of the number of F-T cycles on failure deviatoric stress, while temperatures between −12 °C and −16 °C can inhibit or counteract this deterioration.
(3) The cohesion (c) and internal friction angle (φ) of loess exhibit a trend of initially decreasing and then increasing as the freezing temperature decreases. Additionally, they show a trend of first decreasing and then stabilizing with an increase in the number of F-T cycles. Notably, the degree of deterioration in cohesion is significantly greater than that of the internal friction angle. Compared to a freezing temperature of −5 °C, the c and φ decrease by an average of 7.39% and 1.19%, respectively. In contrast, when compared to a freezing temperature of −12 °C, the c and φ increase by an average of 1.95% and 0.41%, respectively. After 10 cycles of F-T, the c decreases by an average of 11.99% and 7.69%, while the φ decreases by an average of 2.87% and 1.10%.
(4) The relationship between the stress reduction coefficient (Kσ) and both the freezing temperature and the number of F-T cycles is best fitted by a quadratic polynomial model and an exponential model, respectively. The fitting results effectively quantify the impact of the temperature and F-T cycles on the failure deviatoric stress.
(5) Considering the effects of freezing temperatures and F-T cycles, both the logistic model and the quadratic polynomial model are employed to quantitatively analyze c. The fitting results effectively quantify the impact of freezing temperatures (T) and F-T cycles (N) on shear strength index.
5.2. Prospects
(1) This study focuses solely on the evolution of the mechanical properties of loess in response to changes in freezing temperature. However, melting temperature may also impact the stress–strain curve, failure deviatoric stress, and shear strength index of loess. The next step should involve a comprehensive analysis of how both melting and freezing temperature variations affect the strength characteristics of loess.
(2) At present, this study has only conducted research on the loess of Xi’an under the regional temperature conditions of Xi’an. The next step should involve conducting research on loess in various areas of Northwest China under different temperature conditions.
(3) Only macroscopic mechanical properties were examined in this study. In the next phase, the structural changes in the soil under varying freeze-thaw conditions should be analyzed both qualitatively and quantitatively from a microscopic perspective by incorporating microscopic testing methods.
(4) At present, this study is limited to the experimental stage as conducted in the laboratory. The next step should involve selecting representative projects and performing specific engineering simulation analyses based on the quantitative formulas derived from the tests and utilizing numerical analysis software.
Author Contributions
F.Z.: writing—original draft, methodology, conceptualization. X.X.: writing—review and editing, conceptualization, formal analysis. Z.S.: conceptualization, resources, funding acquisition. Y.Z.: writing– review and editing, funding acquisition. H.L.: validation, data curation. All authors have read and agreed to the published version of the manuscript.
Funding
This study was supported by the General Project of Shaanxi Natural Science Basic Research Program (2023-JC-YB-297), the Shaanxi Innovation Capability Support Plan—Science and Technology Innovation Team (2020TD-005), and the Youth Innovation Team of Shaanxi Universities (2023–2026).
Data Availability Statement
Data will be made available on request.
Conflicts of Interest
The authors declare that they have no known competing financial interests or personal relationships that could have appeared to influence the work reported in this paper.
References
- Liu, J.; Yue, Z.Q. On clay contents of loess deposits at eight regions in Loess Plateau and Ili area, China. J. Rock Mech. Geotech. Eng. 2025; in press. [Google Scholar] [CrossRef]
- Gao, X.; Xie, W.; Yuan, K.; Liu, Q. Mechanical properties and microstructural evolution of Malan loess with depth: Insights from multivariate statistical models. Soil Till. Res. 2025, 251, 106548. [Google Scholar] [CrossRef]
- Li, P.; Pan, Z.; Xiao, T.; Wang, J. Effects of molding water content and compaction degree on the microstructure and permeability of compacted loess. Acta Geotech. 2022, 18, 921–936. [Google Scholar] [CrossRef]
- Zhang, Y.; Song, Z.; Lai, J.; Li, Y. Spatial-temporal distribution of 3D temperature field of highway tunnel in seasonal frozen soil region. J. Highw. Transp. Res. Dev. 2020, 37, 96–103. [Google Scholar] [CrossRef]
- Xu, J.; Wang, Z.; Ren, J.; Wang, S.; Jin, L. Mechanism of slope failure in loess terrains during spring thawing. J. Mt. Sci. 2018, 15, 845–858. [Google Scholar] [CrossRef]
- Li, J.; Zhou, K.; Liu, J.; Zhang, Y. Analysis of the effect of freeze–thaw cycles on the degradation of mechanical parameters and slope stability. Bull. Eng. Geol. Environ. 2018, 77, 573–580. [Google Scholar] [CrossRef]
- Bo, X.; Liu, E.; Yang, L. Influences of freezing–thawing actions on mechanical properties of soils and stress and deformation of soil slope in cold regions. Sci. Rep. 2022, 12, 5387. [Google Scholar] [CrossRef]
- Li, G.; Ma, W.; Mu, Y.; Wang, F.; Fan, S.; Wu, Y. Effects of freeze-thaw cycle on engineering properties of loess used as road fills in seasonally frozen ground regions, North China. J. Mt. Sci. 2017, 14, 356–368. [Google Scholar] [CrossRef]
- Zhang, W.; Guo, A.; Lin, C. Effects of cyclic freeze and thaw on engineering properties of compacted loess and lime-stabilized loess. J. Mater. Civil. Eng. 2019, 31, 04019205. [Google Scholar] [CrossRef]
- Li, Z.; Yang, G.; Liu, H. The Influence of Regional Freeze–Thaw Cycles on Loess Landslides: Analysis of Strength Deterioration of Loess with Changes in Pore Structure. Water 2020, 12, 3047. [Google Scholar] [CrossRef]
- Jing, J.; Wu, Z.; Yan, W.; Ma, W.; Liang, C.; Lu, Y.; Chen, D. Experimental study on progressive deformation and failure mode of loess fill slopes under freeze-thaw cycles and earthquakes. Eng. Geol. 2022, 310, 106896. [Google Scholar] [CrossRef]
- Zhao, L.; Peng, J.; Ma, P.; Leng, Y.; Ma, Z. Microstructure response to shear strength deterioration in loess after freeze-thaw cycles. Eng. Geol. 2023, 323, 107229. [Google Scholar] [CrossRef]
- Zhang, Q.; Zhang, Y.; Zhang, Z.; Zhu, J.; Chen, W. Deterioration characteristics of Ili loess properties under freeze-thaw cycles and their influence on landslide stability. J. Eng. Geol. 2023, 31, 1319–1332. [Google Scholar] [CrossRef]
- Yang, S.; Chou, Y.; Wang, L.; Zhang, P. Experimental study on mechanical behavior deterioration of undisturbed loess considering freeze-thaw action. Soils Rocks 2023, 47, e2024005822. [Google Scholar] [CrossRef]
- Ghazavi, M.; Roustaie, M. The influence of freeze–thaw cycles on the unconfined compressive strength of fiber-reinforced clay. Cold Reg. Sci. Technol. 2010, 61, 125–131. [Google Scholar] [CrossRef]
- Tang, L.; Cong, S.; Geng, L.; Ling, X.; Gan, F. The effect of freeze-thaw cycling on the mechanical properties of expansive soils. Cold Reg. Sci. Technol. 2018, 145, 197–207. [Google Scholar] [CrossRef]
- Wang, S.; Ding, J.; Xu, J.; Ren, J.; Yang, Y. Shear strength behavior of coarse-grained saline soils after freeze-thaw. KSCE J. Civ. Eng. 2019, 23, 2437–2452. [Google Scholar] [CrossRef]
- Chu, C.; Yang, L.; Cheng, W.; Wang, J.; Wang, X. Triaxial mechanical behaviours of Ili loess after freeze–thaw. Front. Earth Sci. 2024, 12, 1454629. [Google Scholar] [CrossRef]
- Guo, Z.; Song, J.; Bai, Y.; Zhou, Z. Research on the multiscale mechanical properties of paleosols based on the freeze–thaw cycle. J. Mech. 2025, 41, 30–45. [Google Scholar] [CrossRef]
- Leuther, F.; Schlueter, S. Impact of freeze–thaw cycles on soil structure and soil hydraulic properties. Soil 2021, 7, 179–191. [Google Scholar] [CrossRef]
- Wang, T.; Wang, P.; Yin, Z.Y.; Zhang, F.; Xu, C. DEM-DFM modeling suffusion of granular soils under triaxial compression. Int. J. Geomech. 2025, 25, 04024352. [Google Scholar] [CrossRef]
- Xie, Q.; Cao, Z.; Tian, R.; Sun, W.; Fumagalli, A.; Peng, H.; Fu, X.; Luo, H. Complex sliding characteristics of landslides and evaluation of the reinforcement with arched anti-slide piles based on 3D discrete element method: A case study. Nat. Hazards 2024, 120, 8983–9007. [Google Scholar] [CrossRef]
- Han, Y.; Wang, Q.; Wang, N.; Wang, J.; Zhang, X.; Cheng, S.; Kong, Y. Effect of freeze-thaw cycles on shear strength of saline soil. Cold Reg. Sci. Technol. 2018, 154, 42–53. [Google Scholar] [CrossRef]
- Song, S.; Wang, P.; Yin, Z.; Cheng, Y.P. Micromechanical modeling of hollow cylinder torsional shear test on sand using discrete element method. J. Rock Mech. Geotech. Eng. 2024, 16, 5193–5208. [Google Scholar] [CrossRef]
- Chang, D.; Liu, J. Review of the influence of freeze-thaw cycles on the physical and mechanical properties of soil. Sci. Cold Arid Reg. 2013, 5, 457–0460. [Google Scholar] [CrossRef]
- Zhi, B.; Wang, S. Mechanical properties and damage mechanism of loess under dry-wet freeze-thaw cycle. Rock Soil Mech. 2024, 45, 1092–1102. [Google Scholar] [CrossRef]
- Yang, Z.; Lv, J.; Shi, W.; Jia, C.; Wang, C.; Hong, Y.; Ling, X. Experimental study of the freeze thaw characteristics of expansive soil slope models with different initial moisture contents. Sci. Rep. 2021, 11, 23177. [Google Scholar] [CrossRef]
- Xie, B.; Zhang, W.; Sun, X.; Huang, Y.; Liu, L. Experimental study on the effects of freeze–thaw cycles on strength and microstructure of Xining region loess in China. Buildings 2022, 12, 795. [Google Scholar] [CrossRef]
- Huang, S.; Wang, P.; Lai, Z.; Yin, Z.Y.; Huang, L.C.; Xu, C.J. Machine-learning-enabled discrete element method: The extension to three dimensions and computational issues. The extension to three dimensions and computational issues. Comput. Methods Appl. Mech. Eng. 2024, 432, 117445. [Google Scholar] [CrossRef]
- Xu, J.; Ren, Z.; Ren, J.; Yuan, J. Mechanism of shear strength deterioration of loess during freeze-thaw cycling. Geomech. Eng. 2018, 14, 307–314. [Google Scholar] [CrossRef]
- Wang, Q.; Li, Y.; Li, P.; Qi, Y. Using cement and calcium lignosulfonate to improve the mechanical properties and microstructure of loess in a seasonal freezing zone. Buildings 2024, 14, 1495. [Google Scholar] [CrossRef]
- Wang, T.; Wang, P.; Yin, Z.Y.; Laouafa, F.; Hicher, P.Y. Hydro-mechanical analysis of particle migration in fractures with CFD-DEM. Eng. Geol. 2024, 335, 107557. [Google Scholar] [CrossRef]
- Zheng, F.; Li, W.; Song, Z.; Wang, J.; Zhang, Y.; Wang, J. Experimental study on the damage properties of mechanical properties of saline soil under different influencing factors. Buildings 2025, 15, 324. [Google Scholar] [CrossRef]
- Gao, Z.; Zhong, X.; Wang, Q.; Su, Y.; Wang, J. The influence of freeze-thaw cycles on unconfined compressive strength of lignin fiber-reinforced loess. J. Renew. Mater. 2022, 10, 1063–1080. [Google Scholar] [CrossRef]
- Ye, W.; Zhou, Z.; Bai, Y.; Guo, Z. Multiscale study of the strength deterioration and microstructure changes in loess during dry–wet and freeze–thaw cycles. J. Chin. Inst. Eng. 2023, 47, 283–292. [Google Scholar] [CrossRef]
- GB/T 50123-2019; Standard for Geotechnical Testing Method. China Planning Press: Beijing, China, 2019. Available online: https://d.wanfangdata.com.cn/standard/GB/T%2050123-2019 (accessed on 29 April 2025).
- Zhang, L.H.; Ma, W.; Yang, C.S.; Dong, S. A review and prospect of the thermodynamics of soils subjected to freezing and thawing. J. Glaciol. Geocryol. 2013, 36, 1505–1518. [Google Scholar] [CrossRef]
- Zhang, L.H.; Ma, W.; Yang, C.S. Pore water pressure measurement for soil subjected to freeze-thaw cycles. Rock Soil Mech. 2015, 36, 1856–1864. [Google Scholar] [CrossRef]
- Wang, Q.Z.; Qi, J.L.; Wang, S.H.; Xu, J.; Yang, Y.G. Effect of freeze-thaw on freezing point of a saline loess. Cold Reg. Sci. Technol. 2020, 170, 102922. [Google Scholar] [CrossRef]
- Cai, X.L.; Yu, L. Experimental research on the effect of the sample preparation methods on the strength change of the unsaturated compacted loess. China Earthq. Eng. J. 2019, 41, 86–93. [Google Scholar] [CrossRef]
- Zhang, J.; Ma, C.; Lang, R.; Sun, L.; Yan, S. Experimental study on mechanical properties and microstructure of muddy soil under different freeze-thaw modes. Chin. J. Rock Mech. Eng. 2023, 42, 3801–3811. [Google Scholar] [CrossRef]
Disclaimer/Publisher’s Note: The statements, opinions and data contained in all publications are solely those of the individual author(s) and contributor(s) and not of MDPI and/or the editor(s). MDPI and/or the editor(s) disclaim responsibility for any injury to people or property resulting from any ideas, methods, instructions or products referred to in the content. |
© 2025 by the authors. Licensee MDPI, Basel, Switzerland. This article is an open access article distributed under the terms and conditions of the Creative Commons Attribution (CC BY) license (https://creativecommons.org/licenses/by/4.0/).