Bridging the Cold Divide: Mapping and Mitigating Undercooling Inequities in Southern China’s Rural Homes
Abstract
1. Introduction
2. Methods
2.1. Study Area and Its Meteorological Characteristic
2.2. Economy and Population
2.3. Typical Rural Residential Building
2.4. Retrofit Strategies
2.5. Key Indicators
2.5.1. Undercooling Criteria
2.5.2. Gini Coefficient
3. Results
3.1. Indoor Undercooling Risk in Rural Areas of Southern China
3.2. Economy, Rural Population, and Undercooling Situation
3.3. Equity Assessment
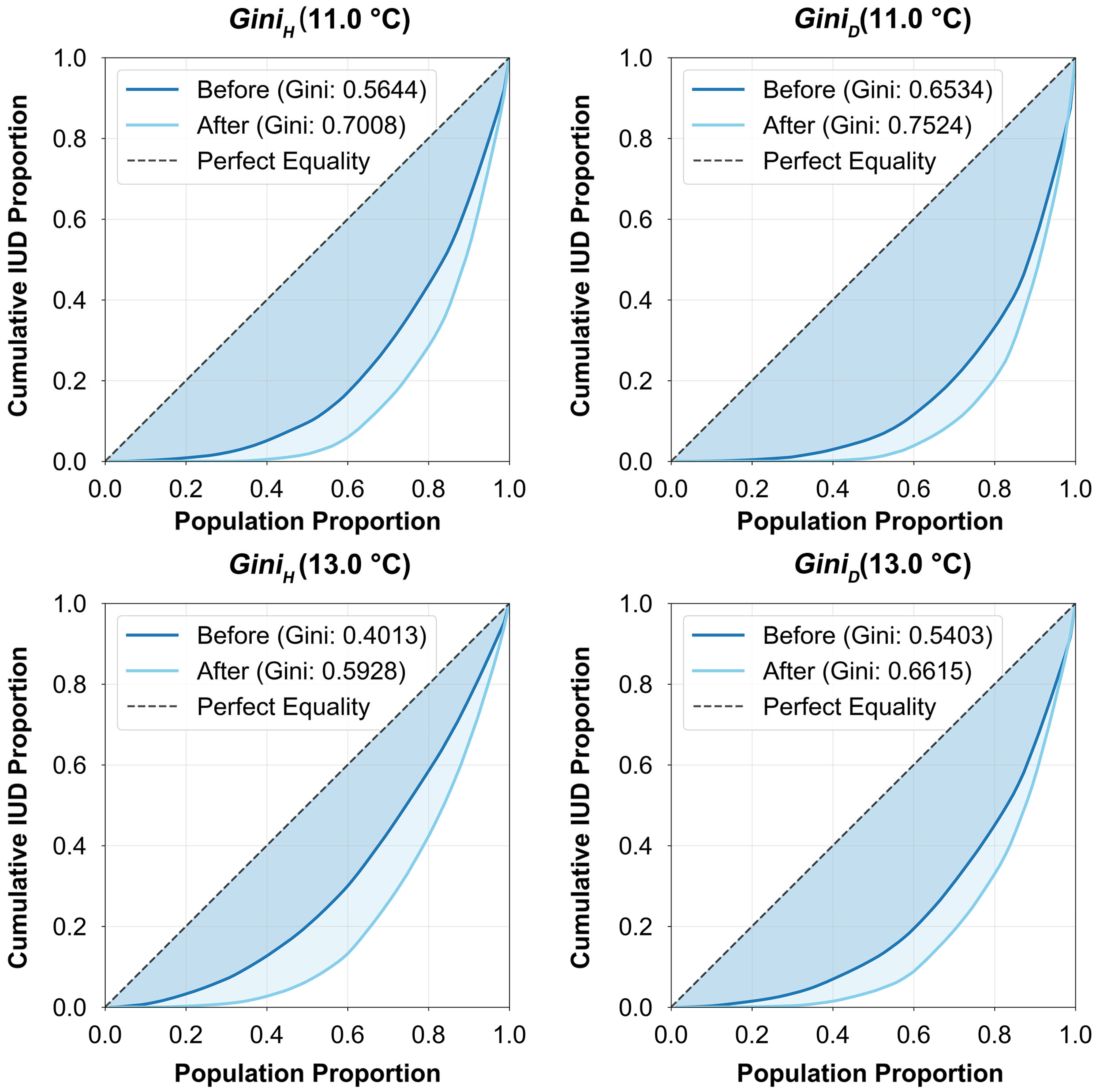
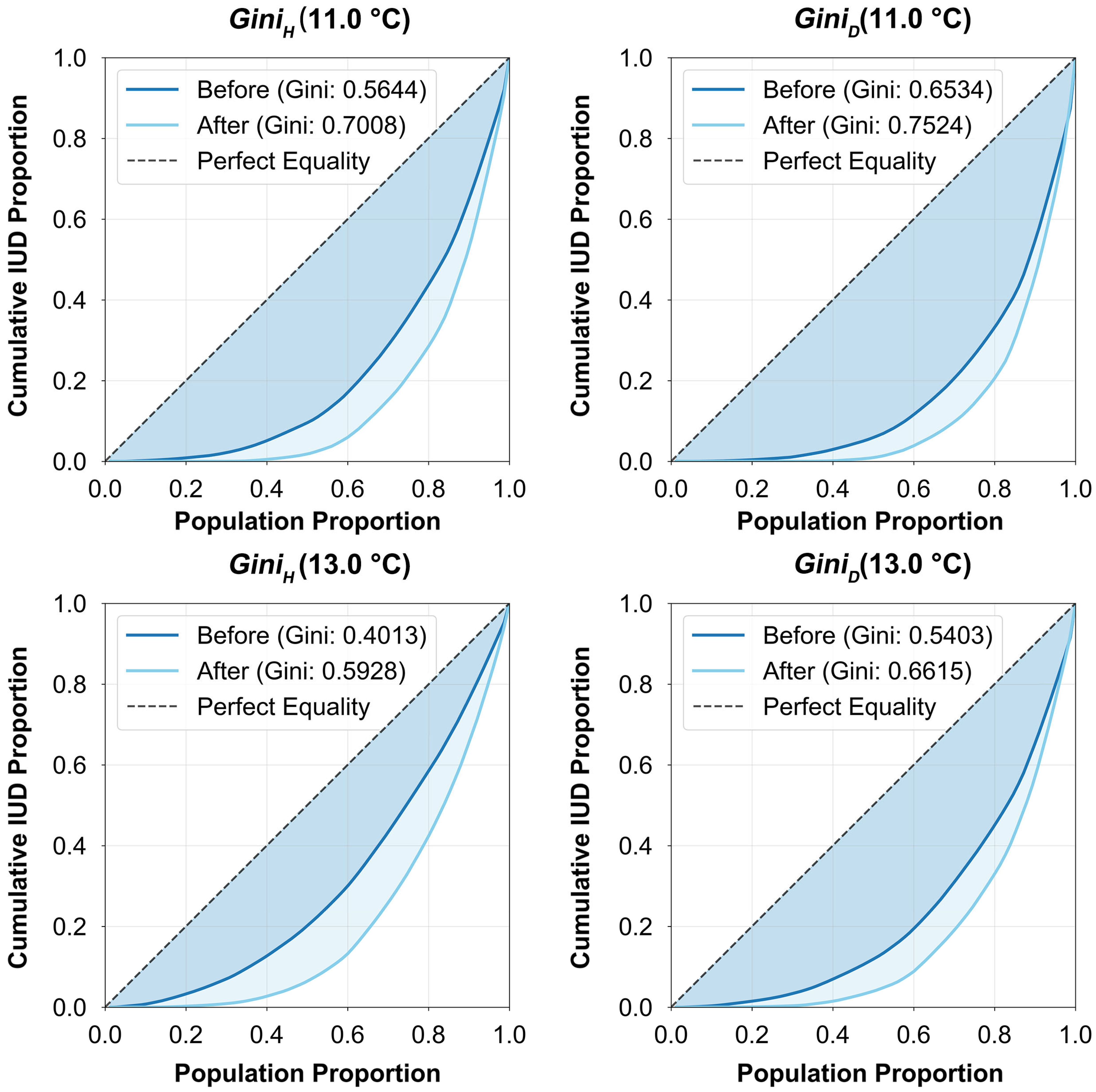
3.4. Post-Renovation Undercooling Indicators and Fairness
4. Discussion
4.1. Pre-Retrofit Status Research
4.2. Post-Retrofit Equity Assessment
4.3. Policy Recommendations
4.4. Limitations
5. Conclusions
- Indoor undercooling is a prevalent and spatially heterogeneous risk in rural housing across southern China.
- The distribution of this risk is markedly inequitable, with and at 0.46 and 0.58, respectively.
- The undercooling risks and economic and population conditions differ across regions, with the southwestern highlands facing severe undercooling risks due to poor economic conditions and low population density.
- While a standardized passive retrofit strategy can lower the overall risk, it can paradoxically amplify the relative inequity of the remaining risk distribution. For the most severely affected regions, passive measures alone are likely insufficient, necessitating integrated interventions that may include active heating.
Author Contributions
Funding
Data Availability Statement
Conflicts of Interest
Abbreviations
| SET | Standard Effective Temperature |
| TMY | Typical Meteorological Year |
| CSWD | Chinese Standard Weather Data |
| IUH | Indoor Undercooling Hour |
| IUD | Indoor Undercooling Degree |
| IOH | Indoor Overheating Hour |
| IOD | Indoor Overheating Degree |
Appendix A
| Group | Before Renovation | Wall Insulation | Window Performance | Permeability | Hybrid Renovation | |||||
|---|---|---|---|---|---|---|---|---|---|---|
| IUH | IUD | IUH | IUD | IUH | IUD | IUH | IUD | IUH | IUD | |
| °C∙h | h | °C∙h | h | °C∙h | h | °C∙h | h | °C∙h | h | |
| Low | ||||||||||
| Min | 0 | 0 | 0 | 0 | 0 | 0 | 0 | 0 | 0 | 0 |
| Max | 132 | 112 | 38 | 27 | 87 | 77 | 37 | 38 | 11 | 11 |
| Mean | 65 | 63 | 10 | 6 | 36 | 31 | 17 | 13 | 3 | 2 |
| Improvement % | - | - | 87 | 92 | 53 | 60 | 74 | 82 | 96 | 98 |
| Medium | ||||||||||
| Min | 141 | 143 | 38 | 24 | 100 | 90 | 25 | 27 | 8 | 1 |
| Max | 389 | 587 | 236 | 384 | 331 | 528 | 212 | 267 | 90 | 155 |
| Mean | 255 | 356 | 124 | 143 | 207 | 315 | 116 | 127 | 40 | 42 |
| Improvement % | - | - | 53 | 62 | 22 | 24 | 56 | 67 | 85 | 89 |
| High | ||||||||||
| Min | 401 | 495 | 263 | 298 | 309 | 441 | 157 | 157 | 92 | 81 |
| Max | 825 | 1601 | 649 | 1161 | 702 | 1441 | 500 | 691 | 339 | 461 |
| Mean | 619 | 1080 | 480 | 736 | 550 | 931 | 351 | 439 | 212 | 271 |
| Improvement % | - | - | 23 | 32 | 11 | 12 | 44 | 61 | 67 | 76 |
| Highest | ||||||||||
| Min | 844 | 1400 | 641 | 810 | 713 | 918 | 447 | 500 | 358 | 412 |
| Max | 1419 | 3986 | 1245 | 3147 | 1379 | 3817 | 1159 | 2443 | 989 | 1791 |
| Mean | 1096 | 2597 | 939 | 1996 | 1020 | 2268 | 782 | 1323 | 582 | 1008 |
| Improvement % | - | - | 14 | 24 | 7 | 13 | 30 | 51 | 48 | 62 |


References
- Wang, Y.; Zhao, N.; Wu, C.; Quan, J.; Chen, M. Future population exposure to heatwaves in 83 global megacities. Sci. Total Environ. 2023, 888, 164142. [Google Scholar] [CrossRef] [PubMed]
- Dasgupta, P.; Dayal, V.; Dasgupta, R.; Ebi, K.L.; Heaviside, C.; Joe, W.; Kolli, R.K.; Mehra, M.K.; Mishra, A.; Raghav, P. Responding to heat-related health risks: The urgency of an equipoise between emergency and equity. Lancet Planet. Health 2024, 8, e933–e936. [Google Scholar] [CrossRef] [PubMed]
- Gasparrini, A.; Guo, Y.; Hashizume, M.; Lavigne, E.; Zanobetti, A.; Schwartz, J.; Tobias, A.; Tong, S.; Rocklöv, J.; Forsberg, B.; et al. Mortality risk attributable to high and low ambient temperature: A multicountry observational study. Lancet 2015, 386, 369–375. [Google Scholar] [CrossRef] [PubMed]
- Xiong, K.; He, B.-J. Wintertime outdoor thermal sensations and comfort in cold-humid environments of Chongqing China. Sustain. Cities Soc. 2022, 87, 104203. [Google Scholar] [CrossRef]
- Gómez-Acebo, I.; Llorca, J.; Dierssen, T. Cold-related mortality due to cardiovascular diseases, respiratory diseases and cancer: A case-crossover study. Public Health 2013, 127, 252–258. [Google Scholar] [CrossRef]
- Huang, Y.; Li, C.; Liu, D.L.; Yang, J. Projection of temperature-related mortality among the elderly under advanced aging and climate change scenario. npj Clim. Atmos. Sci. 2023, 6, 153. [Google Scholar] [CrossRef]
- Jiang, Y.; Hu, J.; Peng, L.; Li, H.; Ji, J.S.; Fang, W.; Yan, H.; Chen, J.; Wang, W.; Xiang, D.; et al. Non-optimum temperature increases risk and burden of acute myocardial infarction onSET: A nationwide case-crossover study at hourly level in 324 Chinese cities. eClinicalMedicine 2022, 50, 101501. [Google Scholar] [CrossRef]
- González-Eguino, M. Energy poverty: An overview. Renew. Sustain. Energy Rev. 2015, 47, 377–385. [Google Scholar] [CrossRef]
- Hernández, H.; Molina, C. Analyzing energy poverty and carbon emissions in a social housing complex due to changes in thermal standards. Energy Sustain. Dev. 2023, 77, 101347. [Google Scholar] [CrossRef]
- Thomson, H.; Thomas, S.; Sellstrom, E.; Petticrew, M. Housing improvements for health and associated socio-economic outcomes. Cochrane Database Syst. Rev. 2013, 28, CD008657. [Google Scholar] [CrossRef]
- Han, J.; Yang, W.; Zhou, J.; Zhang, G.; Zhang, Q.; Moschandreas, D.J. A comparative analysis of urban and rural residential thermal comfort under natural ventilation environment. Energy Build. 2009, 41, 139–145. [Google Scholar] [CrossRef]
- Xiong, Y.; Liu, J.; Kim, J. Understanding differences in thermal comfort between urban and rural residents in hot summer and cold winter climate. Build. Environ. 2019, 165, 106393. [Google Scholar] [CrossRef]
- Zhang, J.; Lu, J.; Deng, W.; Beccarelli, P.; Lun, I.Y.F. Thermal comfort investigation of rural houses in China: A review. Build. Environ. 2023, 235, 110208. [Google Scholar] [CrossRef]
- Gong, X.; Lai, S.; Meng, Q.; Santamouris, M.; Yu, Y.; Zhang, L. Comparison of indoor thermal comfort of the elderly in urban, suburban rural and mountainous rural areas in South China karst. Build. Environ. 2025, 282, 113260. [Google Scholar] [CrossRef]
- Hou, C.; Gao, W.; Gao, Y. Winter indoor thermal environment and livability analysis of traditional residential houses in northeast Sichuan, China. Case Stud. Therm. Eng. 2024, 60, 104636. [Google Scholar] [CrossRef]
- Zhou, H.; Yu, W.; Wei, S.; Zhao, K.; Shan, H.; Zheng, S.; Guo, L.; Zhang, Y. Variability in thermal comfort and behavior of elderly individuals with different levels of frailty in residential buildings during winter. Build. Environ. 2025, 267, 112290. [Google Scholar] [CrossRef]
- Sejo, C.; Mehta, N.; Wilairat, S.; Barry, M.; Odden, M.C.; Chang, A.Y. Extreme heat and cardiovascular mortality among structurally marginalized populations in the United States: A scoping review. J. Clim. Change Health 2024, 20, 100343. [Google Scholar] [CrossRef]
- Zou, Y.; Zhan, Q.; Xiang, K. A comprehensive method for optimizing the design of a regular architectural space to improve building performance. Energy Rep. 2021, 7, 981–996. [Google Scholar] [CrossRef]
- Baydil, B.; de la Peña, V.H.; Zou, H.; Yao, H. Unbiased estimation of the Gini coefficient. Stat. Probab. Lett. 2025, 222, 110376. [Google Scholar] [CrossRef]
- Zou, Y.; Deng, Y.; Xia, D.; Lou, S.; Yang, X.; Huang, Y.; Guo, J.; Zhong, Z. Comprehensive analysis on the energy resilience performance of urban residential sector in hot-humid area of China under climate change. Sustain. Cities Soc. 2023, 88, 104233. [Google Scholar] [CrossRef]
- Xia, D.; Zhong, Z.; Huang, Y.; Zou, Y.; Lou, S.; Zhan, Q.; Guo, J.; Yang, J.; Guo, T. Impact of coupled heat and moisture transfer on indoor comfort and energy demand for residential buildings in hot-humid regions. Energy Build. 2023, 288, 113029. [Google Scholar] [CrossRef]
- Mushtaha, E.; Salameh, T.; Kharrufa, S.; Mori, T.; Aldawoud, A.; Hamad, R.; Nemer, T. The impact of passive design strategies on cooling loads of buildings in temperate climate. Case Stud. Therm. Eng. 2021, 28, 101588. [Google Scholar] [CrossRef]
- Yang, H.; Jin, C.; Li, T. Megacity urban green space equity evaluation and its driving factors from supply and demand perspective: A case study of Tianjin. J. Clean. Prod. 2024, 474, 143583. [Google Scholar] [CrossRef]
- Raza, A.; Zhong, M.; Akuh, R.; Safdar, M. Public transport equity with the concept of time-dependent accessibility using Geostatistics methods, Lorenz curves, and Gini coefficients. Case Stud. Transp. Policy 2023, 11, 100956. [Google Scholar] [CrossRef]
- Gu, Z.; Luo, X.; Tang, M.; Liu, X. Does the edge effect impact the healthcare equity? An examination of the equity in hospitals accessibility in the edge city in multi-scale. J. Transp. Geogr. 2023, 106, 103513. [Google Scholar] [CrossRef]
- Li, H.; Huo, Y.; Fu, Y.; Yang, Y.; Yang, L. Improvement of methods of obtaining urban TMY and application for building energy consumption simulation. Energy Build. 2023, 295, 113300. [Google Scholar] [CrossRef]
- Kong, D.; Liu, H.; Wu, Y.; Li, B.; Wei, S.; Yuan, M. Effects of indoor humidity on building occupants’ thermal comfort and evidence in terms of climate adaptation. Build. Environ. 2019, 155, 298–307. [Google Scholar] [CrossRef]
- Guo, J.; Xia, D.; Zhang, L.; Zou, Y.; Guo, G.; Chen, Z.; Xie, W. Assessing the winter indoor environment with different comfort metrics in self-built houses of hot-humid areas: Does undercooling matter for the elderly? Build. Environ. 2024, 263, 111871. [Google Scholar] [CrossRef]
- Song, L.; Wu, R. Impacts of MJO convection over the maritime continent on eastern China cold temperatures. J. Clim. 2019, 32, 3429–3449. [Google Scholar] [CrossRef]
- Jin, S.; Bi, X.; Wu, C.; Fang, B.; Li, Q.; Wang, C.; Song, C.; Li, J. The associations of cold spells with human mortality in Shanghai, China. Urban Clim. 2024, 58, 102175. [Google Scholar] [CrossRef]
- Jia, H.; Lin, B. Who wants to use it most? Exploring public willingness to pay for district heating in hotly debated southern Chinese cities. Energy Policy 2024, 192, 114236. [Google Scholar] [CrossRef]
- Malik, J.; Bardhan, R.; Hong, T.; Piette, M.A. Developing occupant archetypes within urban low-income housing: A case study in Mumbai, India. Build. Simul. 2022, 15, 1661–1683. [Google Scholar] [CrossRef]
- Sánchez-García, D.; Rubio-Bellido, C.; Tristancho, M.; Marrero, M. A comparative study on energy demand through the adaptive thermal comfort approach considering climate change in office buildings of Spain. Build. Simul. 2020, 13, 51–63. [Google Scholar] [CrossRef]
- Xie, X.; Luo, Z.; Grimmond, S.; Sun, T. Impact of building density on natural ventilation potential and cooling energy saving across Chinese climate zones. Build. Environ. 2023, 244, 110621. [Google Scholar] [CrossRef]
- Guo, J.; Xia, D.; Zhang, L.; Zou, Y.; Yang, X.; Xie, W.; Zhong, Z. Future indoor overheating risk for urban village housing in subtropical region of China under long-term changing climate. Build. Environ. 2023, 246, 110978. [Google Scholar] [CrossRef]
- Guo, M.; Yu, W.; Zhang, Y.; Li, B.; Zhou, H.; Du, C. Associations of household dampness and cold exposure with cardiovascular disease and symptoms among elderly people in Chongqing and Beijing. Build. Environ. 2023, 233, 110079. [Google Scholar] [CrossRef]
- He, B.-j.; Yang, L.; Ye, M.; Mou, B.; Zhou, Y. Overview of rural building energy efficiency in China. Energy Policy 2014, 69, 385–396. [Google Scholar] [CrossRef]
- Zhang, N.; Liu, G.; Man, X.; Wang, Q. Climate and resource characteristics-based zoning of heat source retrofit for heating systems and implications for heat consumption of urban SETtlements in cold regions of China. Energy 2025, 314, 134261. [Google Scholar] [CrossRef]
- Shu, Z.; Qing, S.; Yang, X.; Ma, P.; Wu, Y.; Li, B.; Fang, F.; Yao, R. A molecular toxicological study to explore potential health risks associated with ultrafine particle exposure in cold and humid indoor environments. Ecotoxicol. Environ. Saf. 2025, 289, 117638. [Google Scholar] [CrossRef]
- Wong, E.L.-Y.; Qiu, H. Cold temperature-related attributable risk for emergency circulatory hospitalizations, length of stay, and healthcare costs in Hong Kong. Ecotoxicol. Environ. Saf. 2025, 291, 117827. [Google Scholar] [CrossRef]
- GB 50176-2016; Code for Thermal Design of Civil Building. Ministry of Housing and Urban-Rural Development of the China: Beijing, China, 2016.
- Hoseinzadeh, P.; Khalaji Assadi, M.; Heidari, S.; Khalatbari, M.; Saidur, R.; Haghighat nejad, K.; Sangin, H. Energy performance of building integrated photovoltaic high-rise building: Case study, Tehran, Iran. Energy Build. 2021, 235, 110707. [Google Scholar] [CrossRef]
- Gamero-Salinas, J.; Monge-Barrio, A.; Kishnani, N.; López-Fidalgo, J.; Sánchez-Ostiz, A. Passive cooling design strategies as adaptation measures for lowering the indoor overheating risk in tropical climates. Energy Build. 2021, 252, 111417. [Google Scholar] [CrossRef]
- Neto, A.H.; Durante, L.C.; Callejas, I.J.A.; da Guarda, E.L.A.; Moreira, J.V.R. The challenges on operating a zero net energy building facing global warming conditions. Build. Simul. 2022, 15, 435–451. [Google Scholar] [CrossRef]
- Calama-González, C.M.; Symonds, P.; León-Rodríguez, Á.L.; Suárez, R. Optimal retrofit solutions considering thermal comfort and intervention costs for the Mediterranean social housing stock. Energy Build. 2022, 259, 111915. [Google Scholar] [CrossRef]
- Roostaie, S.; Kouhirostami, M.; Sam, M.; Kibert, C.J. Resilience coverage of global sustainability assessment frameworks: A systematic review. J. Green Build. 2021, 16, 23–53. [Google Scholar] [CrossRef]
- ASHRAE Standard 55; Thermal Environmental Conditions for Human Occupancy. American Society of Heating, Refrigerating and Air-Conditioning Engineers: Atlanta, GA, USA, 2017.
- Ismail, N.; Ouahrani, D.; Al Touma, A. Quantifying thermal resilience of office buildings during power outages: Development of a simplified model metric and validation through experimentation. J. Build. Eng. 2023, 72, 106564. [Google Scholar] [CrossRef]
- Sheng, M.; Reiner, M.; Sun, K.; Hong, T. Assessing thermal resilience of an assisted living facility during heat waves and cold snaps with power outages. Build. Environ. 2023, 230, 110001. [Google Scholar] [CrossRef]
- National Bureau of Statistics of China. Communiqué on China’s Third National Time Use Survey (No. 2)—Overview of National Residents’ Time Use by Primary Activity Domains and Major Activity Categories; National Bureau of Statistics of China: Beijing, China, 2024.
- National Bureau of Statistics of China. Communiqué on China’s Third National Time Use Survey (No. 3)—Time Use of Participants by Urban and Rural Areas, Gender, and Age Group in Primary Activity Domains; National Bureau of Statistics of China: Beijing, China, 2024.
- Dino, I.G.; Meral Akgül, C. Impact of climate change on the existing residential building stock in Turkey: An analysis on energy use, greenhouse gas emissions and occupant comfort. Renew. Energy 2019, 141, 828–846. [Google Scholar] [CrossRef]
- Ceriani, L.; Verme, P. The origins of the Gini index: Extracts from Variabilità e Mutabilità (1912) by Corrado Gini. J. Econ. Inequal. 2012, 10, 421–443. [Google Scholar] [CrossRef]
- Cowell, F.A.; Flachaire, E. Chapter 6—Statistical Methods for Distributional Analysis. In Handbook of Income Distribution; Atkinson, A.B., Bourguignon, F., Eds.; Elsevier: Amsterdam, The Netherlands, 2015; Volume 2, pp. 359–465. [Google Scholar]
- Karam, S.; Ryerson, M.S. Operating at the individual level: A review of literature and a research agenda to support needs-forward models of transport resource allocation. Transp. Res. Interdiscip. Perspect. 2023, 21, 100887. [Google Scholar] [CrossRef]
- Wildman, J.; Shen, J. Impact of Income Inequality on Health. In Encyclopedia of Health Economics; Culyer, A.J., Ed.; Elsevier: San Diego, CA, USA, 2014; pp. 10–14. [Google Scholar]
- Wüstemann, H.; Kalisch, D.; Kolbe, J. Access to urban green space and environmental inequalities in Germany. Landsc. Urban Plan. 2017, 164, 124–131. [Google Scholar] [CrossRef]
- Qin, M.; Duan, K.; Ma, Z.; Li, Z.; Ju, X.; Sun, H. What makes the provincial inequality of natural gas consumption in China? Evidence from Gini-coefficient approach. Energy Convers. Manag. X 2024, 22, 100601. [Google Scholar] [CrossRef]
- Li, C.-E.; Lin, Z.-H.; Hsu, Y.-Y.; Kuo, N.-W. Lessons from COVID-19 pandemic: Analysis of unequal access to food stores using the Gini coefficient. Cities 2023, 135, 104217. [Google Scholar] [CrossRef] [PubMed]
- Liu, T.; Zhou, C.; Zhang, H.; Huang, B.; Xu, Y.; Lin, L.; Wang, L.; Hu, R.; Hou, Z.; Xiao, Y.; et al. Ambient Temperature and Years of Life Lost: A National Study in China. Innovation 2021, 2, 100072. [Google Scholar] [CrossRef]
- Lee, J.S.; Han, A.T. Heat vulnerability and spatial equity of cooling center: Planning implications from the Korean case. Urban Clim. 2024, 55, 101869. [Google Scholar] [CrossRef]
- Chen, R.; Samuelson, H.; Zou, Y.; Zheng, X.; Cao, Y. Improving building resilience in the face of future climate uncertainty: A comprehensive framework for enhancing building life cycle performance. Energy Build. 2024, 302, 113761. [Google Scholar] [CrossRef]
- Zou, Y.; Xiang, K.; Zhan, Q.; Li, Z. A simulation-based method to predict the life cycle energy performance of residential buildings in different climate zones of China. Build. Environ. 2021, 193, 107663. [Google Scholar] [CrossRef]
- Howe, P.D. Extreme weather experience and climate change opinion. Curr. Opin. Behav. Sci. 2021, 42, 127–131. [Google Scholar] [CrossRef]
- Siu, C.Y.; Liao, Z. Is building energy simulation based on TMY representative: A comparative simulation study on doe reference buildings in Toronto with typical year and historical year type weather files. Energy Build. 2020, 211, 109760. [Google Scholar] [CrossRef]
- Yang, Z.; Zhang, W.; Qin, M.; Liu, H. Comparative study of indoor thermal environment and human thermal comfort in residential buildings among cities, towns, and rural areas in arid regions of China. Energy Build. 2022, 273, 112373. [Google Scholar] [CrossRef]
- Li, S.; Wang, M.; Shen, P.; Cui, X.; Bu, L.; Wei, R.; Zhang, L.; Wu, C. Energy Saving and Thermal Comfort Performance of Passive Retrofitting Measures for Traditional Rammed Earth House in Lingnan, China. Buildings 2022, 12, 1716. [Google Scholar] [CrossRef]
- Zhao, M.; Mehra, S.-R.; Künzel, H.M. Energy-saving potential of deeply retrofitting building enclosures of traditional courtyard houses—A case study in the Chinese Hot-Summer-Cold-Winter zone. Build. Environ. 2022, 217, 109106. [Google Scholar] [CrossRef]
- Parracha, J.L.; Lima, J.; Freire, M.T.; Ferreira, M.; Faria, P. Vernacular earthen buildings from Leiria, Portugal—Architectural survey towards their conservation and retrofitting. J. Build. Eng. 2021, 35, 102115. [Google Scholar] [CrossRef]











| Parameter Symbol | Parameter Name | Unit | Description |
|---|---|---|---|
| z | Building thermal zone index | - | Index identifier for building thermal zones, included Bedroom 1, the kitchen, the toilet, and the living room. |
| i | Occupied hour index | - | Index for occupied time hours |
| Time step | h | SET to 1 h to ensure consistent temporal granularity, | |
| Z | Total number of zones | - | Total number of thermal zones in the building |
| Total occupied hours for zone z | h | Total number of occupied hours for zone z over the simulation period | |
| Standard Effective Temperature | °C | SET value in zone z at hour i | |
| Lower limit of SET comfort temperature | °C | Lower limit of SET comfort temperature in zone z at hour i |
| Parameter Symbol | Parameter Name | Description |
|---|---|---|
| Gini coefficient for undercooling hours | Measure of inequality in undercooling hours distribution | |
| Gini coefficient for undercooling degree | Measure of inequality in undercooling degree distribution | |
| Cumulative proportion of the population | Proportion of population up to individual i | |
| Cumulative proportion of total undercooling hours | Proportion of total undercooling hours corresponding to individual i | |
| Cumulative proportion of total undercooling degree | Proportion of total undercooling degree for individual i |
Disclaimer/Publisher’s Note: The statements, opinions and data contained in all publications are solely those of the individual author(s) and contributor(s) and not of MDPI and/or the editor(s). MDPI and/or the editor(s) disclaim responsibility for any injury to people or property resulting from any ideas, methods, instructions or products referred to in the content. |
© 2025 by the authors. Licensee MDPI, Basel, Switzerland. This article is an open access article distributed under the terms and conditions of the Creative Commons Attribution (CC BY) license (https://creativecommons.org/licenses/by/4.0/).
Share and Cite
Yang, L.; Chen, Z.; Zou, Y. Bridging the Cold Divide: Mapping and Mitigating Undercooling Inequities in Southern China’s Rural Homes. Buildings 2025, 15, 3531. https://doi.org/10.3390/buildings15193531
Yang L, Chen Z, Zou Y. Bridging the Cold Divide: Mapping and Mitigating Undercooling Inequities in Southern China’s Rural Homes. Buildings. 2025; 15(19):3531. https://doi.org/10.3390/buildings15193531
Chicago/Turabian StyleYang, Leyan, Zhibiao Chen, and Yukai Zou. 2025. "Bridging the Cold Divide: Mapping and Mitigating Undercooling Inequities in Southern China’s Rural Homes" Buildings 15, no. 19: 3531. https://doi.org/10.3390/buildings15193531
APA StyleYang, L., Chen, Z., & Zou, Y. (2025). Bridging the Cold Divide: Mapping and Mitigating Undercooling Inequities in Southern China’s Rural Homes. Buildings, 15(19), 3531. https://doi.org/10.3390/buildings15193531

