Study on Vibration Reduction Effect of the Building Structure Equipped with Intermediate Column–Lever Viscous Damper
Abstract
1. Introduction
2. Composition and Mechanical Model of CLVD
2.1. Composition and Characteristics of CLVD
2.2. Simplified Mechanical Model of CLVD
2.3. Kelvin Model of CLVD
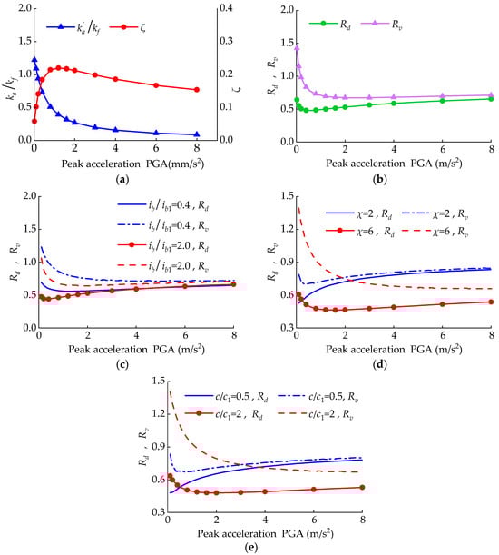
3. Parameter Analysis of CLVD’s Vibration Reduction Effect and Optimization
3.1. Evaluation Indicators of CLVD’s Vibration Reduction Effect
- (1)
- It is assumed that the displacement of the damper is equal to the inter-story displacement of the non-damping structure.
- (2)
- is substituted into Equation (9) for calculation , and , , , , and are calculated through Equations (10)–(13), respectively.
- (3)
- The error is calculated. When , is made to be equal to . Steps 2 and 3 are repeated. When , the iteration ends, and the final calculation values and are obtained.
3.2. Parameter Analysis
3.2.1. Impact of the Position of Intermediate Column
3.2.2. Impact of Beam’s Bending Line Stiffness
3.2.3. Impact of the Leverage Amplification Factor
3.2.4. Impact of the Damping Coefficient and Damping Index
3.2.5. Impact of Earthquake Intensity
3.3. Optimization Strategy for CLVD
- (1)
- As long as permitted by the building space, efforts should be made to position the CLVD at the mid-span.
- (2)
- If both and are very large in frequent earthquakes (or fortification earthquakes), the optimization measures should be as follows: try to increase the damping coefficient while increasing the beam section, or try to increase the lever amplification factor while increasing the beam section.
- (3)
- If is relatively small while is relatively large under frequent earthquakes (or fortification earthquakes), and both and are relatively small under rare earthquakes, the optimization measures are as follows: try to increase the beam section, or reduce the damping coefficient , or reduce the leverage amplification factor .
- (4)
- If is relatively small while is relatively large under frequent earthquakes (or fortification earthquakes), and is relatively large under rare earthquakes, the optimization measures are as follows: try to increase the beam section while increasing the quantity of CLVDs.
- (5)
- If both and are relatively small under frequent earthquakes (or fortification earthquakes), and is relatively large under rare earthquakes, the optimization measures are as follows: try to increase the damping coefficient , or increase the leverage amplification factor , or increase the quantity of CLVDs.
4. Finite Element Analysis of Engineering Example
4.1. Project Overview
4.2. Scheme Design
4.3. Vibration Reduction Effect
5. Conclusions
- (1)
- In contrast to the intermediate column located at both ends of the span, when the ratio of the distance from the intermediate column to the edge column to the span of the beam is 0.5, the stiffness and total damping ratio provided by CLVDs to the structure reach the maximum value, and the CLVD owns the optimal vibration reduction effect.
- (2)
- When the intermediate column is located at the end of the span, increases with the increase in the beam’s bending line stiffness . When the intermediate column is located in the middle of the span, decreases as increases. Regardless of the position of the intermediate column, increases as increases. Meanwhile, increasing the beam’s bending line stiffness is beneficial for CLVD to control structural displacement and shear force.
- (3)
- There exists an optimal lever amplification factor , viscous damping coefficient , and exponent to achieve the optimal values of and . When the leverage amplification factor is too large, the CLVD provides the structure with stiffness as the main factor, followed by damping. When the ratio of the displacement amplification factor to the geometric amplification factor satisfies fd/γ = 1/21−0.5α, the CLVD possesses the optimal effect for controlling structural displacement.
- (4)
- In order to ensure that the CLVD has positive control effects on the structure’s displacement and shear force under different intensity earthquakes, there are three approaches for achieving this goal. The first approach is to simultaneously increase the leverage amplification factor and the beam’s bending stiffness ; the second one is to simultaneously increase the damping coefficient and the beam’s bending line stiffness ; and the third one is to increase the leverage amplification factor while reducing the damping coefficient .
- (5)
- In the design of energy dissipation and vibration reduction, it is recommended to adopt the CLVD optimization strategy proposed in Section 3.3 to guide the design analysis. The CLVD with optimized parameters possesses a good control effect on the structure’s inter-story displacement and story shear force. Scheme 1 using optimization methods has an additional damping ratio of up to 12% under fortification earthquakes. At the same time, the inter-story displacement was reduced by almost 40% under fortification earthquakes, and the inter-story displacement was reduced by almost 30% under rare earthquakes.
Author Contributions
Funding
Data Availability Statement
Conflicts of Interest
References
- Symans, M.D.; Charney, F.A.; Whittaker, A.S.; Constantinou, M.C. Energy dissipation systems for seismic applications: Current practice and recent developments. J. Struct. Eng. 2008, 134, 3–21. [Google Scholar] [CrossRef]
- Gioiella, L.; Tubaldi, E.; Gara, F.; Dezi, L.; Dall’Asta, A. Modal properties and seismic behaviour of buildings equipped with external dissipative pinned rocking braced frames. Eng. Struct. 2018, 172, 807–819. [Google Scholar] [CrossRef]
- Mcnamara, R.J.; Taylor, D.P. Fluid viscous dampers for high–rise buildings. Struct. Des. Tall Spec. Build. 2003, 12, 145–154. [Google Scholar] [CrossRef]
- Pavia, A.; Scozzese, F.; Petrucci, E.; Zona, A. Seismic upgrading of a historical masonry bell tower through an internal dissipative steel structure. Buildings 2021, 11, 24. [Google Scholar] [CrossRef]
- Ou, J.P.; Li, H. Design approaches for active, semi-active and passive control systems based on analysis of characteristics of active control force. Earthq. Eng. Eng. Vib. 2009, 8, 493–506. [Google Scholar] [CrossRef]
- Bhowmik, K.; Debnath, N. Semi-active Vibration Control of Soft-Storey Building with Magnetorheological Damper under Seismic Excitation. J. Vib. Eng. Technol. 2024, 12, 6943–6961. [Google Scholar] [CrossRef]
- Naeem, A.; Kim, J. Seismic retrofit of structures using rotational friction dampers with restoring force. Adv. Struct. Eng. 2020, 23, 16. [Google Scholar] [CrossRef]
- Rayegani, A.; Soureshjani, O.K.; Alaee, S.A.M.; Mualla, I.H.; Nemati, F. Seismic Performance of Buildings Equipped with Four-Joint Rotational Friction Dampers in Mainshock–Aftershock Sequences. J. Struct. Eng. 2024, 150, 04023235. [Google Scholar] [CrossRef]
- Dong, B.; Sause, R.; Ricles, J.M. Seismic Response and Damage of Reduced–Strength Steel MRF Structures with Nonlinear Viscous Dampers. J. Struct. Eng. 2018, 144, 04018221. [Google Scholar] [CrossRef]
- Kang, J.D.; Tagawa, H. Seismic performance of steel structures with seesaw energy dissipation system using fluid viscous dampers. Eng. Struct. 2013, 56, 431–442. [Google Scholar] [CrossRef]
- Pollini, N.; Lavan, O.; Amir, O. Minimum–cost optimization of nonlinear fluid viscous dampers and their supporting members for seismic retrofitting. Earthq. Eng. Struct. Dyn. 2017, 46, 1941–1961. [Google Scholar] [CrossRef]
- Chen, Y.T.; Chai, Y.H. Effects of brace stiffness on performance of structures with supplemental Maxwell model–based brace–damper systems. Earthq. Eng. Struct. Dyn. 2011, 40, 75–92. [Google Scholar] [CrossRef]
- Londono, J.M.; Neild, S.A.; Wagg, D.J. A noniterative design procedure for supplemental brace–damper systems in single–degree–of–freedom systems. Earthq. Eng. Struct. Dyn. 2013, 42, 2361–2367. [Google Scholar] [CrossRef]
- Li, S.Y.; Chen, Y.T.; Chai, Y.H. Effects of Brace Stiffness and Nonlinearity of Viscous Dampers on Seismic Performance of Structures. Int. J. Struct. Stab. Dyn. 2021, 21, 2150188. [Google Scholar] [CrossRef]
- Yang, L.Y.; Ye, M.; Huang, Y.H.; Dong, J.K. Study on Mechanical Properties of Displacement-Amplified Mild Steel Bar Joint Damper. Iran. J. Sci. Technol. Trans. Civ. Eng. 2023, 7, 01268. [Google Scholar] [CrossRef]
- Ribakov, Y.; Gluck, J.; Gluck, N. Practical design of MDOF structures with supplemental viscous dampers using mechanical levers. In Proceedings of the 8th ASCE Specialty Conference on Probabilistic Mechanics and Structural Reliability, Notre Dame, IN, USA, 24–26 July 2000. [Google Scholar]
- Ribakov, Y.; Reinhorn, A.M. Design of Amplified Structural Damping Using Optimal Considerations. J. Struct. Eng. 2003, 129, 1422–1427. [Google Scholar] [CrossRef]
- Aly, S.A.; Zasso, A.; Resta, F. Proposed Configurations for the Use of Smart Dampers with Bracings in Tall Buildings. Smart Mater. Res. 2012, 2012, 251543. [Google Scholar] [CrossRef]
- He, W.; Xu, H.; Xu, Z.; Liu, W. Experimental investigation and earthquake response analysis of a multilayer viscous damping wall with amplified deformation. Eng. Struct. 2022, 251, 113427. [Google Scholar] [CrossRef]
- Shang, F.; Liu, W.G.; Zhang, Q.; Xu, H.; Guo, Y. Shaking table test and seismic behaviour evaluation of viscous damping wall with amplification mechanism. Eng. Struct. 2023, 284, 115974. [Google Scholar] [CrossRef]
- Fournier, J.A.; Cheng, S.H. Impact of damper stiffness and damper support stiffness on the efficiency of a linear viscous damper in controlling stay cable vibrations. J. Bridge Eng. 2014, 19, 04013022. [Google Scholar] [CrossRef]
- Losanno, D.; Londono, J.M.; Zinno, S.; Serino, G. Effective damping and frequencies of viscous damper braced structures considering the supports flexibility. Comput. Struct. 2017, 207, 121–131. [Google Scholar] [CrossRef]
- Constantinou, M.C.; Tsopelas, P.; Hammel, W.; Sigaher, A.N. New configurations of fluid viscous dampers for improved performance. In Proceedings of the Passive Structural Control Symposium; Tokyo Institute of Technology: Yokohama, Japan, 2000. [Google Scholar]
- Constantinou, M.C.; Tsopelas, P.; Hammel, W.; Sigaher, A.N. Toggle–brace–damper seismic energy dissipation systems. J. Struct. Eng. 2001, 127, 105–112. [Google Scholar] [CrossRef]
- Sigaher, A.N.; Constantinou, M.C. Scissor–jack–damper energy dissipation system. Earthq. Spectra. 2003, 19, 133–158. [Google Scholar] [CrossRef]
- Hwang, J.S.; Huang, Y.N.; Hung, Y.H. Analytical and experimental study of toggle–brace–damper systems. J. Struct. Eng. 2005, 131, 1035–1043. [Google Scholar] [CrossRef]
- Huang, H.C. Efficiency of the motion amplification device with viscous dampers and its application in high–rise buildings. Earthq. Eng. Eng. Vib. 2009, 8, 521–536. [Google Scholar] [CrossRef]
- Jiang, H.J.; Wu, S.Y.; He, L.S. Theoretical analysis and optimization of toggle–brace damper for cable tray system. J. Constr. Steel Res. 2021, 187, 106936. [Google Scholar] [CrossRef]
- Polat, E.; Constantinou, M.C. Open–space damping system description, theory, and verification. J. Struct. Eng. 2017, 143, 04016201. [Google Scholar] [CrossRef]
- Lan, B.J.; He, H.X.; Wu, S.; Cheng, S.T.; Chen, Y.F. Multi–performance objectives optimum design method and vibration control application of generalized toggle–brace–damper system. Earthq. Eng. Struct. Dyn. 2022, 51, 1410–1435. [Google Scholar] [CrossRef]
- Xu, J.W.; Ma, P.F.; Hu, Y.k.; Yao, J.T. Discussion on Calculation Method of Magnification Factor of Toggle-Brace-Viscous Damper. Buildings 2024, 13, 2006. [Google Scholar] [CrossRef]
- Zhou, Q.; Pan, W.; Lan, X. Analysis of Amplification Effect and Optimal Control of the Toggle-Style Negative Stiffness Viscous Damper. Buildings 2024, 14, 1625. [Google Scholar] [CrossRef]
- Lan, X.; Pan, W.; Kuang, H.W. Correction additional damping of an energy–dissipation structure based on a story drifts utilization ratio method. J. Vib. Shock. 2017, 36, 64–71. (In Chinese) [Google Scholar]
- Çerçevik, A.E.; Avşar, Ö.; Dilsiz, A. Optimal placement of viscous wall dampers in RC moment resisting frames using metaheuristic search methods. Eng. Struct. 2021, 249, 113108. [Google Scholar] [CrossRef]
- Lan, X.; Zhang, L.F.; Sun, B.F.; Pan, W. Study on the Damping Efficiency of a Structure with Additional Viscous Dampers Based on the Shaking Table Test. Buildings 2024, 14, 1506. [Google Scholar] [CrossRef]
- Sonmez, M.; Aydin, E.; Karabork, T. Using an artificial bee colony algorithm for the optimal placement of viscous dampers in planar building frames. Struct. Multidiscip. Optim. 2013, 48, 395–409. [Google Scholar] [CrossRef]
- Bishop, J.A.; Striz, A.G. On using genetic algorithms for optimum damper placement in space trusses. Struct. Multidiscip. Optim. 2004, 28, 2–3. [Google Scholar] [CrossRef]
- Sarcheshmehpour, M.; Estekanchi, H.E.; Ghannad, M.A. Optimum placement of supplementary viscous dampers for seismic rehabilitation of steel frames considering soil–structure interaction. Struct. Des. Tall Spec. Build. 2020, 29, e1682. [Google Scholar] [CrossRef]
- Lan, X.; Wei, G.L.; Zhang, X.X. Study on the Influence and Optimization Design of Viscous Damper Parameters on the Damping Efficiency of Frame Shear Wall Structure. Buildings 2024, 14, 497. [Google Scholar] [CrossRef]
- JGJ 297–2013; Chinese Standard, Technical Specification for Seismic Energy Dissipation of Buildings. Chinese Architecture and Building Press: Beijing, China, 2013.
- Kasal, K.; Ito, H.; Watanabe, A. Peak response prediction rule for a SDOF elasto–plastic system based on equivalent linearization technique. J. Struct. Constr. Eng. 2003, 571, 53–62. (in Japanese). [Google Scholar]
- GB 50011–2016; Chinese Standard, Code for Seismic Design of Buildings. Chinese Architecture and Building Press: Beijing, China, 2016.
















| Scheme | Story | |||||
|---|---|---|---|---|---|---|
| Scheme 1 | 6–8 | 0.5 | 400 × 800 | 1700 × 350 | 4 | 6 |
| 2–5 | 0.5 | 400 × 800 | 1700 × 350 | 4 | 10 | |
| Scheme 2 | 6–8 | 0.2 | 400 × 800 | 1700 × 350 | 4 | 6 |
| 2–5 | 0.2 | 400 × 800 | 1700 × 350 | 4 | 10 | |
| Scheme 3 | 6–8 | 0.2 | 300 × 600 | 1700 × 350 | 4 | 6 |
| 2–5 | 0.2 | 300 × 600 | 1700 × 350 | 4 | 10 |
| Earthquake Wave | Scheme 1 | Scheme 2 | Scheme 3 |
|---|---|---|---|
| Artificial wave 1 | 11.2% | 6.8% | 3.9% |
| Artificial wave 2 | 12.2% | 6.9% | 4.3% |
| Chi-Chi | 12.6% | 7.3% | 4.9% |
| Coalinga | 12.8% | 7.1% | 4.1% |
| Imperial Valley | 12.6% | 7.9% | 4.8% |
| Manjil | 11.6% | 6.6% | 4.3% |
| Big Bear | 11.9% | 7.1% | 4.2% |
| Average of multiple waves | 12.1% | 7.1% | 4.4% |
Disclaimer/Publisher’s Note: The statements, opinions and data contained in all publications are solely those of the individual author(s) and contributor(s) and not of MDPI and/or the editor(s). MDPI and/or the editor(s) disclaim responsibility for any injury to people or property resulting from any ideas, methods, instructions or products referred to in the content. |
© 2024 by the authors. Licensee MDPI, Basel, Switzerland. This article is an open access article distributed under the terms and conditions of the Creative Commons Attribution (CC BY) license (https://creativecommons.org/licenses/by/4.0/).
Share and Cite
Zhou, Q.; Pan, W.; Lan, X. Study on Vibration Reduction Effect of the Building Structure Equipped with Intermediate Column–Lever Viscous Damper. Buildings 2024, 14, 1881. https://doi.org/10.3390/buildings14061881
Zhou Q, Pan W, Lan X. Study on Vibration Reduction Effect of the Building Structure Equipped with Intermediate Column–Lever Viscous Damper. Buildings. 2024; 14(6):1881. https://doi.org/10.3390/buildings14061881
Chicago/Turabian StyleZhou, Qiang, Wen Pan, and Xiang Lan. 2024. "Study on Vibration Reduction Effect of the Building Structure Equipped with Intermediate Column–Lever Viscous Damper" Buildings 14, no. 6: 1881. https://doi.org/10.3390/buildings14061881
APA StyleZhou, Q., Pan, W., & Lan, X. (2024). Study on Vibration Reduction Effect of the Building Structure Equipped with Intermediate Column–Lever Viscous Damper. Buildings, 14(6), 1881. https://doi.org/10.3390/buildings14061881

