Abstract
This paper proposes a new toggle-style negative stiffness viscous damper (TNVD), and evaluates the performance of the TNVD with the displacement amplification factor (fd) and the energy dissipation factor (fE). Firstly, the composition and characteristics of the TNVD are introduced. Subsequently, the displacement amplification factor is introduced to evaluate the displacement amplification ability of the TNVD, and it is decomposed into a geometric amplification factor and an effective displacement coefficient. Then, based on the geometric amplification factor and effective displacement coefficient, the correlation between the TNVD’s displacement amplification ability and inter-story deformation is studied, and an improved TNVD is proposed. By the comparison of the finite element calculation results, it is found that the improved TNVD can utilize the assumption of small structural deformation. After that, the impacts of plentiful aspects, such as the length of the lower connecting rod, the horizontal inclination angle of the lower connecting rod, the inter-story deformation limit, the cross-sectional area of the connecting rod, the damping coefficient, and the negative stiffness on the fd and fE of the improved TNVD, are expounded. The research results show that when the length of the TNVD’s lower connecting rod remains unchanged, the fd and fE present a trend of increasing first and then decreasing with the increase in the horizontal inclination angle of the lower connecting rod. When the inter-story deformation is fixed, there exists an optimal lower connecting rod’s length that satisfies a specific relationship to achieve the optimal geometric amplification factor of the TNVD. By adjusting the damping parameters of the TNVD, we can obtain a better effective displacement coefficient greater than 0.95 in the proposed target region. Meanwhile, the fd and fE increase with the decrease in the negative stiffness. An optimization strategy for the improved TNVD has been proposed to ensure that the TNVD has the characteristics of operational safety, ideal displacement amplification capability, and energy dissipation capability. Furthermore, a multi-objective control design method with an additional improved TNVD structure is proposed. The vibration reduction effect of the structure with the improved TNVD and the effectiveness of the optimization strategy are verified through examples.
1. Introduction
One effective way to control structural vibration is to increase energy dissipation capacity by installing dampers. In contrast to active and semi-active vibration control technology [1,2], this passive vibration control technology is widely applied due to its good vibration reduction effect, low overall cost, and simple maintenance in the later stage. In engineering, the commonly used energy dissipation dampers include viscous dampers, viscoelastic dampers, friction dampers, and metal yield dampers [3,4,5,6]. In addition, other scholars studied the application of a new-type high-damping fluid damper with shear thickening fluid [7]. This type of energy dissipation damper is usually connected to the structure using supports or intermediate columns, and the upper limit of its deformation or velocity is the inter-layer deformation or velocity of the structure. Therefore, it is necessary to adopt displacement amplification technology to significantly improve the deformation of dampers, so as to more effectively control the vibration response of the structure.
In order to improve the deformation of dampers, different forms of amplification devices have been proposed successively. Yang proposed the displacement-amplified mild steel bar joint damper using the principle of lever amplification, whose energy dissipation capacity is almost three times that of an ordinary damper [8]. Constantinou et al. [9,10] first proposed a toggle brace damper, and derived a displacement amplification factor (the ratio of the damper’s displacement to the structural horizontal displacement) based on the assumption of small structural deformation. Meanwhile, in order to avoid minor changes in the geometric shape of the toggle having a significant impact on the displacement amplification factor, it was recommended to take a range from 2 to 5 for the displacement amplification factor. Taylor [11] connected the toggle to the beam–column node, and proposed an improved toggle brace amplification device. Sigaher [12] further designed a compact scissor-shaped device, and showed by experiments that this device can provide significant damping and effectively control the seismic response of the structure. Subsequently, numerous researchers studied different forms of toggle-style devices [13,14]. The above-mentioned studies on the toggle-style displacement amplification factor were mostly based on the assumption of small structural deformation. The study of Zhang [15] indicated that the displacement amplification factor of the toggle mechanism was related to the inter-story displacement and its direction. Polat [16] suggested controlling the displacement amplification factor based on the assumption of small deformation within a certain range to avoid significant changes in the displacement amplification factor due to large inter-story displacement. Lan [17] proposed a local toggle-brace damper that saves building space, and further adopted a displacement increment amplification factor based on large deformation to compare the displacement amplification ability of the toggle devices with different geometric shapes. For various amplification devices, the amplification ability should be constant and simple for engineering applications, and have high reliability. Regarding structural reliability analysis, She et al. [18] proposed an active learning Kriging method that can achieve high-precision fault probability. The displacement amplification ability of the above-mentioned toggle-brace damper is affected by inter-story deformation, which further increases the complexity of its engineering application. Taking some measures to make sure that the displacement amplification ability of the toggle-brace damper has nothing to do with the amplitude and direction of the inter-story deformation will be beneficial for engineering designers to understand and apply it more conveniently.
Various forms of toggle dampers have significant displacement amplification abilities, while the prerequisite for achieving this amplification function is that the deformation of the toggle itself is relatively small. A lower toggle stiffness will significantly reduce the displacement of the damper. The studies of Wang et al. [19,20] indicated that when the brace connected to the damper is flexible rather than rigid, the negative stiffness device will amplify the displacement of the damper. Therefore, the combination of negative stiffness devices and toggle-style devices can further increase the displacement of dampers and reduce the stiffness requirements of the toggle. Currently, numerous researchers have proposed different forms of negative stiffness devices and applied them to the vibration response control of structures. Nagarajaiah [21,22] proposed a device that achieves negative stiffness through preloading springs. Pasala et al. [23,24,25] added gap springs on the basis of the negative stiffness device proposed by Nagarajaiah, forming a bilinear elastic negative stiffness system. Meanwhile, Chen et al. [26,27] proposed a negative stiffness device combining pre-compressed springs and inclined planes. Liu [28] proposed a negative stiffness device with self-centering, adopting memory-shaped metals. Zhu et al. [29,30,31] designed a new negative stiffness device utilizing permanent magnets and turbine damping, and applied it to the vibration response control of cable-stayed cables. The experimental test results indicated that the proposed negative stiffness device could effectively reduce the vibration response of the cable and provide high damping. Tan studied the effect of low temperature on the mechanical properties of lead core high-damping rubber bearings for bridge seismic bearings [32]. Attary et al. [33,34] employed vibration table tests and numerical simulations to study the role of negative stiffness devices as foundation isolators in bridge structures. Sun [35] designed a double triangular damper with equivalent negative stiffness characteristics, and applied it to foundation isolation systems. Numerical simulations displayed that for the displacement of the isolator and roof acceleration of the structure, the double triangular damping device possessed a higher isolation effect than a traditional lead–rubber bearing. Applying negative stiffness devices to energy dissipation structures requires a combination of negative stiffness devices and viscous dampers to simultaneously control the acceleration and displacement of the structure, due to the fact that the negative stiffness device weakens the stiffness of the structure and increases its inter-story displacement. Negative stiffness devices and viscous dampers need to be connected to the structure through different forms of support. However, the impact of the stiffness of the support on traditional viscous damping systems and negative stiffness viscous damping systems is different. Chalarca [36] discussed the effect of the total stiffness of viscous dampers (the series stiffness of support stiffness and viscous damper stiffness) on floor acceleration under far-field earthquakes. The results revealed that the seismic response increases with the decrease in total stiffness value. Chen et al. [37,38,39,40] pointed out that lower support stiffness would lead to a reduced energy dissipation in viscous damping systems. However, the studies of Wang et al. [19,20,41] revealed that flexible supports were advantageous in increasing the energy dissipation of the negative stiffness viscous damper systems. Therefore, a negative stiffness damping system and an amplification device can be combined to achieve a dual increase in a damper’s energy consumption. This can not only provide greater damping to the structure, but also reduce the stiffness requirements of the amplification device. Presently, there are relatively scarce studies on the combination of these two parts.
In order to further improve the displacement amplification ability of the toggle-style device, this paper proposes a symmetrical toggle-style negative stiffness viscous damper (TNVD) by combining traditional toggle support damping systems and negative stiffness devices. Specifically, this paper proposes to utilize displacement amplification factor fd to describe the TNVD’s displacement amplification capability, and apply energy dissipation factor fE to describe the TNVD’s energy dissipation capability. fd can be represented by the product of the geometric amplification factor and effective displacement coefficient. The geometric amplification factor is utilized to describe the influence of geometric parameters on the TNVD amplification ability, while the effective displacement coefficient is applied to describe the weakening of the TNVD’s amplification ability by the effective stiffness of the toggle’s connecting rod. In this paper, the correlation between the TNVD’s displacement amplification ability and the inter-story deformation is studied, which is reflected in the influence of the inter-story deformation on both the geometric amplification factor and the effective displacement coefficient. Moreover, an improved TNVD that can apply the small structural deformation assumption is proposed. The impacts of the lower connecting rod’s length, the lower connecting rod’s horizontal inclination angle, the inter-story deformation limit, the damping coefficient, and negative stiffness on the TNVD’s fd and fE are expounded. In addition, an optimization strategy of the improved TNVD is put forward to ensure that the improved TNVD can not only be operated safely and effectively, but also have ideal displacement amplification capability and energy dissipation capability. On this basis, furthermore, a multi-objective control design method is proposed. Consequently, the control effects of three TNVD vibration reduction schemes on the seismic response of a nine-story steel frame are compared.
2. Composition and Displacement Amplification Factor of the TNVD
2.1. Composition and Characteristics of the TNVD
Figure 1 reveals the TNVD’s installation form in the structure, the composition of the negative stiffness device, and the hysteresis curve after the negative stiffness device is connected in parallel with the viscous damper. The symmetrical toggle-style negative stiffness viscous damper (TNVD) consists of a toggle-style damping system and a negative stiffness device (NSD), and is symmetrically installed as shown in Figure 1a. The composition of the NSD is illustrated in Figure 1b. The upper connecting rod of the TNVD is hinged to the beam–column node, and the lower connecting rod is hinged to the middle of the beam. A viscous damper (VD) and a negative stiffness device (NSD) are connected in parallel to form an NVD, which is hinged at the connection between the upper and lower toggles and the beam–column nodes. The inter-story deformation of the structure causes the upper and lower toggles to move, resulting in deformation of the viscous damper (VD) and NSD. When the piston rod in the NSD moves, the negative stiffness force generated by the preloading spring further amplifies the deformation of the VD. Therefore, the amplification property of the TNVD originates from the deformation amplification of the toggle’s connecting rod and the negative stiffness generated by the pre-compressed spring acting on the convex surface.
Figure 1.
Symmetric toggle-style negative stiffness viscous damper (TNVD): (a) TNVD; (b) viscous damper (VD) and negative stiffness device (NSD); (c) NSD’s negative stiffness force; (d) hysteresis curves of NSD and NVD.
In Figure 1c, the spring stiffness is ; the preload displacement is ; the convex shape is ; the number of springs is ; and the negative stiffness force of the NSD is . is calculated from Equation (1). Figure 1d indicates the hysteresis curves of the NVD and the NSD when they undergo sinusoidal deformation with a circular frequency of 1 rad/s and an amplitude of 100 mm. In Figure 1d, the theoretical curve reveals that the number of springs in the NSD is 12, the spring stiffness is 1.3 kN/mm, the convex surface shape is , the preload displacement is 55 mm, and the VD parameter is . In Figure 1d, the negative stiffness of the simplified curve is −2 kN/mm, and the damping coefficient is . As is illustrated in Figure 1d, when the deformation of the NVD is controlled within a certain range, the simplified curve is very close to the analytical curve model. Therefore, by means of constructing preload springs and convex shapes reasonably, the NVD can be represented in parallel by a linear negative stiffness element and a viscous element.
2.2. The TNVD’s Displacement Amplification Factor
The basic geometric information of the TNVD is shown in Figure 1a. is the span of the frame and is the height of the frame. and are the lengths of the lower and upper connecting rods, respectively. is the sum of the NVD and support lengths. , , and are the horizontal inclination angles of the lower connecting rod, upper connecting rod, and NVD, respectively. The elastic modulus of the connecting rod material is , and the cross-sectional area of the lower and upper connecting rods is equal and is . The constitutive relationship of the VD is , where is the damping coefficient of the VD, and and are the deformation and velocity of the VD, respectively. The constitutive relationship of the NSD is , where is the negative stiffness of the NSD. We assume that the maximum inter-story deformation of the structure is , and the maximum displacement of the VD on the right side of Figure 1a is . When remains unchanged, the damping coefficient is , and the negative stiffness is , the maximum deformation of the right VD is . It is defined as follows:
This paper calls the geometric amplification factor, which represents the geometric amplification attribute of the right TNVD. In concept, this amplification attribute is consistent with the damper’s displacement amplification factor, ( is the angle between the slant brace and the horizontal direction) in the classic slant brace connection. is the effective displacement coefficient of the right VD, which represents the impact of the stiffness of the upper and lower connecting rods in the TNVD on the displacement of the VD. In concept, this impact is consistent with the impact of the slant brace stiffness on the displacement of the damper in the classical slant brace connection.
The displacement amplification factors and are defined as the ratios of the displacement of the left and right VDs to the inter-story displacement, respectively. is shown in Equation (3). The total displacement amplification factor, , of the symmetrically installed TNVD is defined as the ratio of the sum of the displacement of the left and right VDs to the inter-story displacement, as shown in Equation (4).
2.2.1. The TNVD’s Geometric Amplification Factor
The geometric amplification factor represents the amplification of the VD’s displacement by the geometric construction of the TNVD. When the damping coefficient is , and the negative stiffness is , the deformation of the right TNVD is revealed, shown in Figure 2.
Figure 2.
The TNVD’s deformation diagram.
When the structural deformation, , is small, the geometric amplification factor derived on the basis of the small structural deformation can be found, described in Reference [14] as follows:
Due to the close correlation between the amplification effect of the toggle-style amplification mechanism and inter-story deformation, it is difficult to reflect this phenomenon by adopting the small deformation analysis results of Equation (5). For this, it is necessary to derive an analytical solution for the geometric amplification factor . We establish an orthogonal coordinate system, as displayed in Figure 2. When the TNVD deforms in the positive direction of x, is defined as positive. It is assumed that during inter-story deformation, the lengths of beam BC, beam AD, column CD, and the upper and lower connecting rods remain unchanged. When the inter-story deformation is , the node moves to the node , the node moves to the node , and the node moves to the node . The horizontal inclination angle of each component after the TNVD’s movement is as follows:
In the combination of Equations (2) and (6), the geometric amplification factor of the right TNVD is as follows:
In Figure 1a, the left TNVD and right TNVD are symmetric about the AB node. Therefore, when the inter-story deformation is , the geometric amplification factor of the left TNVD is equal to that of the right TNVD when the inter-story deformation is . in Equation (6) is replaced by to calculate the horizontal inclination angle of the the left TNVD’s lower connecting rod, and then it is substituted into Equation (7) to calculate the geometric amplification factor when the inter-story deformation is .
We define the average value of and as , the average value of and as , and the average value of and as . The approximate value of is defined as , which is shown in Equation (8). Meanwhile, the calculation approach of is the same as .
In Figure 2, we can see that the distance between node and node increases when the TNVD deforms in the positive direction of x. When the broken line AE′C′ degenerates into a straight line AC′, the upper and lower connecting rods are tightened, and the TNVD has the risk of failure. In order to ensure the normal and effective operation of the TNVD, there is a relationship that must be defined between the length of the lower connecting rod, the length of the upper connecting rod, and the structure’s inter-story deformation limit , as follows:
In order to facilitate the study of the variation law of with , it is necessary to limit within a reasonable range. According to “Technical guideline for maintaining normal functionality of buildings in earthquakes” [42], for steel structures belonging to Class I buildings, the inter-story displacement angle under rare earthquakes must be less than 1/100. Therefore, . In order to intuitively present the variation of , , and with , the TNVD is analyzed when the length parameters are fixed and . The geometric parameters of the TNVD are displayed in Table 1, and the geometric amplification factors are shown in Figure 3.
Table 1.
Geometric parameters of the TNVD.
Figure 3.
Variations of , , , , and with : (a) , , , and ; (b) and .
From Figure 3, it can be seen that the amplitude and direction of the inter-story deformation have a significant impact on and ; the geometric amplification factor based on the small structural deformation assumption is only equal to the analytical solution calculated by Equation (6) when . The sum of and of the TNVD installed symmetrically obtains the minimum value when . The difference between the approximate value (or ) and the analytical solution (or ) is relatively small. Therefore, the TNVD’s (or ) can be approximated as the small deformation solution (or ) corresponding to the average of the TNVD’s initial inclination angle and the inclination angle at the position.
2.2.2. The TNVD’s Effective Displacement Coefficient
The effective displacement coefficient represents the impact of the stiffness of the upper and lower connecting rods in the TNVD on the displacement of the VD. From Figure 4, it can be seen that the force on each member of the TNVD satisfies the following relationship: , . The elastic modulus of the connecting rod steel is , and the cross-sectional area of the lower connecting rod and the upper connecting rod is equal and is . By means of the unit load method, the deformation of the upper and lower connecting rods in the direction is calculated by Equation (10) as follows:
Figure 4.
Force analysis of connecting rods and the directional mechanical model: (a) force analysis of upper and lower connecting rods; (b) mechanics model in the direction and equivalent model.
The equivalent stiffness of the upper and lower connecting rods of the right TNVD can be found in the following Equation (11):
where , .
The mechanical model of the direction is actually a negative stiffness element and a damping element in parallel, which then connect in series with a spring element. This is consistent in form with the mechanical model of viscoelastic damping elements considering support flexibility. According to the definition in Section 2.2, the maximum deformation of the right VD is when remains unchanged, the damping coefficient is , and negative stiffness is . In order to reveal the displacement effectiveness of the VD in the direction mechanical model, it is assumed that this system is subjected to stable sinusoidal excitation. Without involving dynamic analysis, parameter studies can be conducted on the system in the steady state. We assume that the sinusoidal deformation is generated by the directional mechanical model and equivalent model; then, the VD’s , , and are as follows:
Equation (12) is utilized to solve for and in the equivalent model as follows:
According to the fact that the energy consumption in the directional mechanics model and in the equivalent model are equal, we obtain as follows:
According to Equation (14), is closely related to the equivalent stiffness of the upper and lower connecting rods and the negative stiffness of the NSD. Meanwhile, the presence of negative stiffness increases the . According to Equation (11), inter-story deformation will significantly change the horizontal inclination angles , , and of each component after the TNVD motion, thereby causing the equivalent stiffness to change with accordingly. Therefore, just like the geometric amplification factor , the effective displacement coefficient is also related to the inter-story displacement. The equivalent stiffness calculated based on the assumption of small structural deformation is called , and the effective displacement coefficient calculated using is called . The calculation method of the equivalent stiffness and effective displacement coefficient of the left TNVD can refer to Equations (11) and (14).
In order to visually present the variation law of with , the TNVD of the geometric shape shown in Table 1 is analyzed, and the following parameters are added (see Table 2).
Table 2.
Parameters of TNVD components.
According to Figure 3 and Figure 5, it can be seen that the variation law of the equivalent stiffness or with the inter-story deformation is opposite to that of the geometric amplification factor or . When the inter-story deformation increases in the positive direction, increases, and decrease, decreases, and and increase. For the TNVD, the effective displacement coefficient varies with the variation in the inter-story deformation, namely, the effect of the equivalent stiffness of the upper and lower connecting rods of the TNVD on the VD’s displacement is related to the amplitude and direction of the inter-story deformation. As is illustrated in Figure 5b, the sum of the displacement amplification factor of the TNVD on both sides decreases with the increase in inter-story deformation amplitude. This means that when the inter-story deformation is large, the displacement amplification factor calculated through utilizing the small deformation assumption may overestimate the displacement amplification ability of the symmetric TNVD. The risk of such overestimation also exists for traditional toggle amplification mechanisms, which can be verified by setting the negative stiffness to 0. For various amplification devices, the amplification capacity should be constant and simple for engineering applications. The characteristic that the displacement amplification ability of the symmetric TNVD is affected by inter-story deformation further increases the complexity of its engineering applications.
Figure 5.
Variation in , , , and with : (a) and ; (b) , , and .
2.3. The Improved Symmetrical TNVD
2.3.1. Composition of the Improved TNVD
In order to greatly eliminate the impact of inter-story deformation on the displacement amplification ability of the TNVD, an improved TNVD is designed by adding a spring device between the left and right TNVDs illustrated in Figure 1a, which is revealed in Figure 6a.
Figure 6.
The improved TNVD and its deformation diagram: (a) the improved TNVD; (b) the deformation diagram.
The spring’s stiffness is . When , since , the spring EF will be in a deformed state. The initial length of the spring is , the spring after deformation is ; then, the deformation of the spring is as follows:
In this formula, is the horizontal inclination angle of the lower connecting rod after the right TNVD is deformed, and is the horizontal inclination angle of the lower connecting rod after the left TNVD is deformed.
It can be inferred from the calculation of the first-order partial derivative that there exists a unique zero point in its partial derivative function , which is obtained at . By taking the second-order partial derivative of on , we can determine that its partial derivative function is . Therefore, there exists a unique maximum point, . In this way, when inter-story deformation occurs, the spring EF is always in a compressed state. The compressed spring EF exerts a thrust on the left and right TNVDs, respectively. This thrust causes and to approach , and and to approach .
The improved symmetric TNVD’s deformation is illustrated in Figure 6b. The spring EF is in its initial state, and the length of the left and right VDs and their supports is . When the inter-story deformation is and the viscous damping coefficient, negative stiffness, and spring stiffness are all 0, the spring EF moves to E′F′, and the geometric amplification factor of the left and right TNVDs are and , respectively. When the spring stiffness is , the reaction of the compressed spring E′F′ on the TNVD causes the spring E′F′ to move to E″F″, and the left VD further increases the compression deformation, while the right VD reduces the tensile deformation. Meanwhile, due to the reaction force of the spring E″F″, it decreases and increases . When the spring stiffness is high, it can be considered that and .
In short, the spring plays a role in balancing the difference in displacement amplification ability between the left and right TNVDs. The greater the spring stiffness is, the stronger the balance ability is, until the left and right TNVDs’ displacement amplification abilities are equal. The displacement amplification factor of the improved TNVD can be calculated without considering the influence of inter-story deformation as follows:
2.3.2. Theoretical Formula Verification
In order to verify the displacement amplification factor of the improved TNVD, Equation (17), based on the assumption of small deformation, can be applied for calculation. A single-span steel frame model is established by means of finite element software SAP2000 (version 23.3.0), as shown in Figure 6a. The geometric parameters of this improved TNVD model are displayed in Table 1, and the remaining parameters are shown in Table 3. The section of the steel frame beam is hot-rolled H-section HN800 × 300 × 14 × 26 (unit: mm), and the frame column is a box section of 500 × 500 × 18 × 18 (unit: mm). The beams, columns, and the TNVD’s connecting rods are all made of Q345 steel. Firstly, we verify the geometric amplification factor, and adopt displacement control loading to induce frame deformation of different amplitudes. Secondly, we verify the effective displacement coefficient and displacement amplification factor. The ground acceleration excitation adopts the sine excitation , and the main vibration frequency of the frame is . The sine wave amplitude is adjusted to cause the frame to deform in a different amplitude. The limit value of frame deformation is .
Table 3.
Parameters of the improved TNVD components.
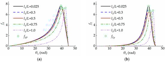
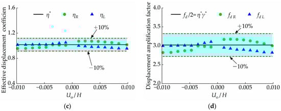
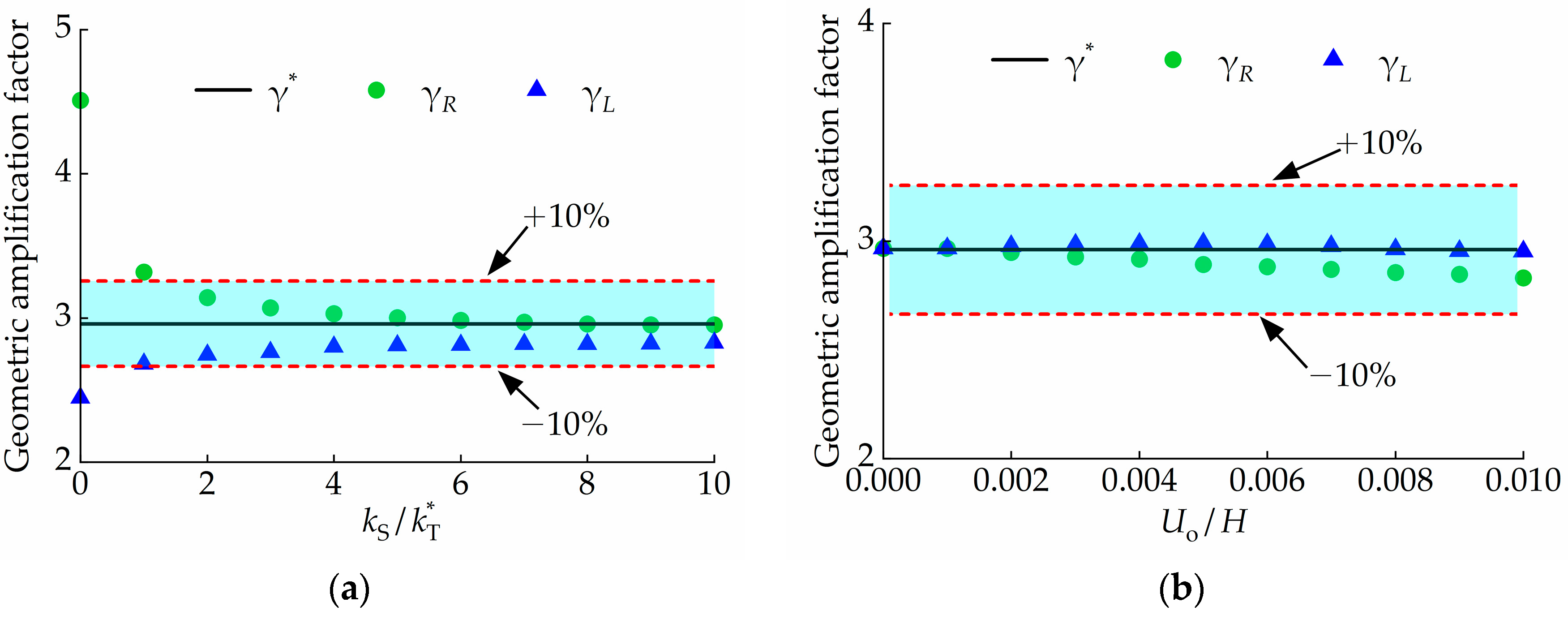
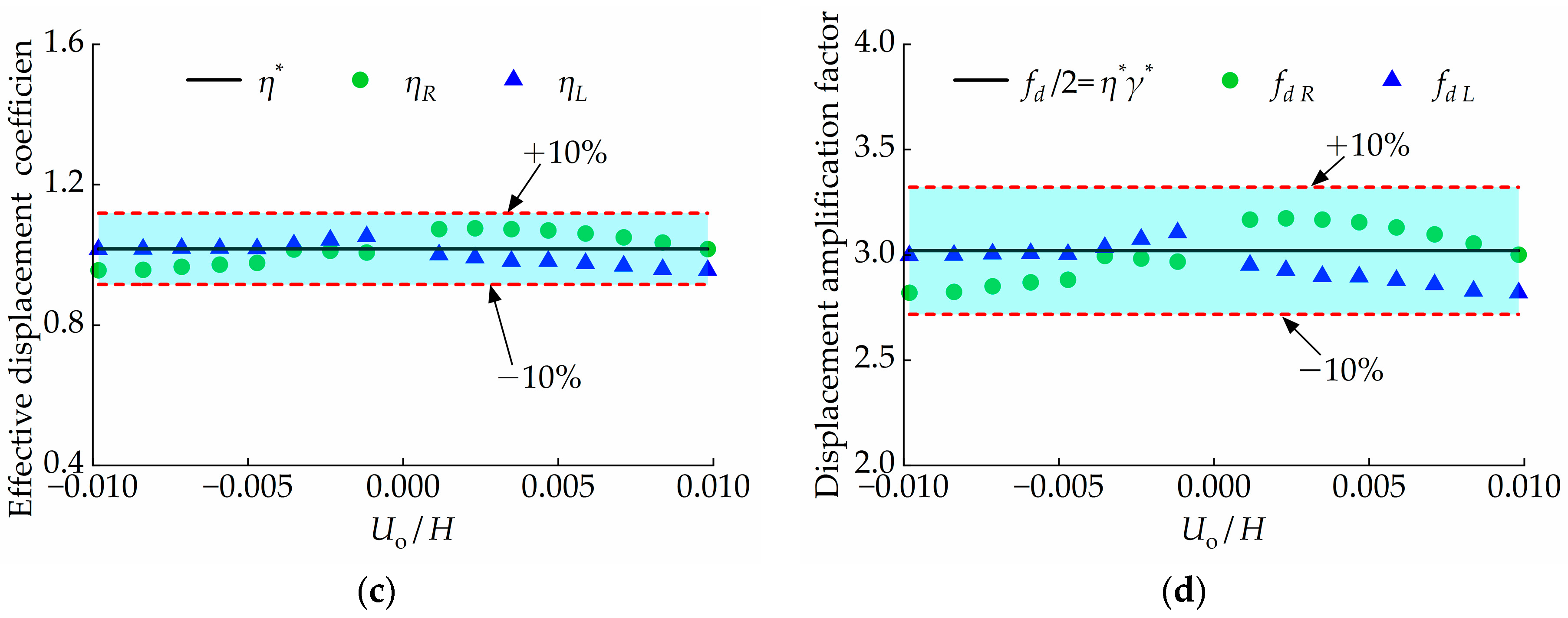
Figure 7 displays the effect of spring stiffness on the TNVD displacement amplification factor. From Figure 7a to Figure 7b, it can be seen that as the spring stiffness increases, and tend to approach . When , the finite element calculation results of and are in good agreement with (the error is within 10%). From Figure 7b to Figure 7d, it can be seen that when , the finite element calculation results of the geometric amplification factor, effective displacement coefficient, and displacement amplification factor of the TNVD fluctuate less with inter-story deformation, and the consistency with the calculation results based on the assumption of small deformation is high, with a difference of less than 10%. Therefore, when , the displacement amplification factor of the improved TNVD can ignore the influence of inter-story deformation, and can be calculated by Equation (17).

Figure 7.
Verification of geometric amplification factor, effective displacement coefficient, and displacement amplification factor: (a) , , and ; (b) , , and ; (c) , , and ; (d) , , and .
3. Parameter Analysis and Optimization Design
The displacement amplification effect of the improved TNVD is jointly affected by the geometric properties of the TNVD, the equivalent stiffness of the upper and lower connecting rods, the damping coefficient of the VD, the negative stiffness of the NSD, etc. The total displacement amplification factor can be obtained by combining Equations (5), (14), and (17) as follows:
In Equation (18), the equivalent stiffness based on small deformation is calculated from Equation (11), and is the main vibration frequency of the structure.
describes the displacement amplification ability of the improved TNVD, where an energy dissipation factor, , is introduced to describe the energy dissipation ability of the improved TNVD. The energy consumption factor is the ratio of the sum of the maximum energy consumption of the left and right TNVDs in a single cycle to the maximum energy consumption of the structural stiffness proportional damping in a single cycle (see Equation (19)).
In Equation (19), represents the structural stiffness proportional damping; and represent the maximum inter-story displacement and maximum velocity; and represent the maximum displacement and maximum velocity of the VD.
and are relatively complex and influenced by multiple parameters. In order to facilitate direct discussion of the variation patterns with different parameters (such as , , , , , etc.), the structure shown in Figure 8 is analyzed. This structure has a total of eight spans, with TNVDs arranged on the side spans. The section of the steel frame beam is hot-rolled H-section HN800 × 300 × 14 × 26 (unit: mm), and the section of the column is hot-rolled H-section HW400 × 400 × 13 × 21 (unit: mm). The geometric parameters of the TNVD are displayed in Table 1, and the parameters of each component are shown in Table 3. ; the main vibration frequency of the frame is that ; the lateral stiffness is that , and the stiffness ratio damping is that . In this section, based on Equations (18) and (19), the impacts of the length of the lower connecting rod, the horizontal inclination angle of the lower connecting rod, the inter-story deformation limit, the damping coefficient, and the negative stiffness on and are studied.
Figure 8.
Schematic diagram of structure with TNVDs.
3.1. Parameter Analysis
3.1.1. Impacts of the Length l1 and the Horizontal Inclination Angle θ1 of the Lower Connecting Rod
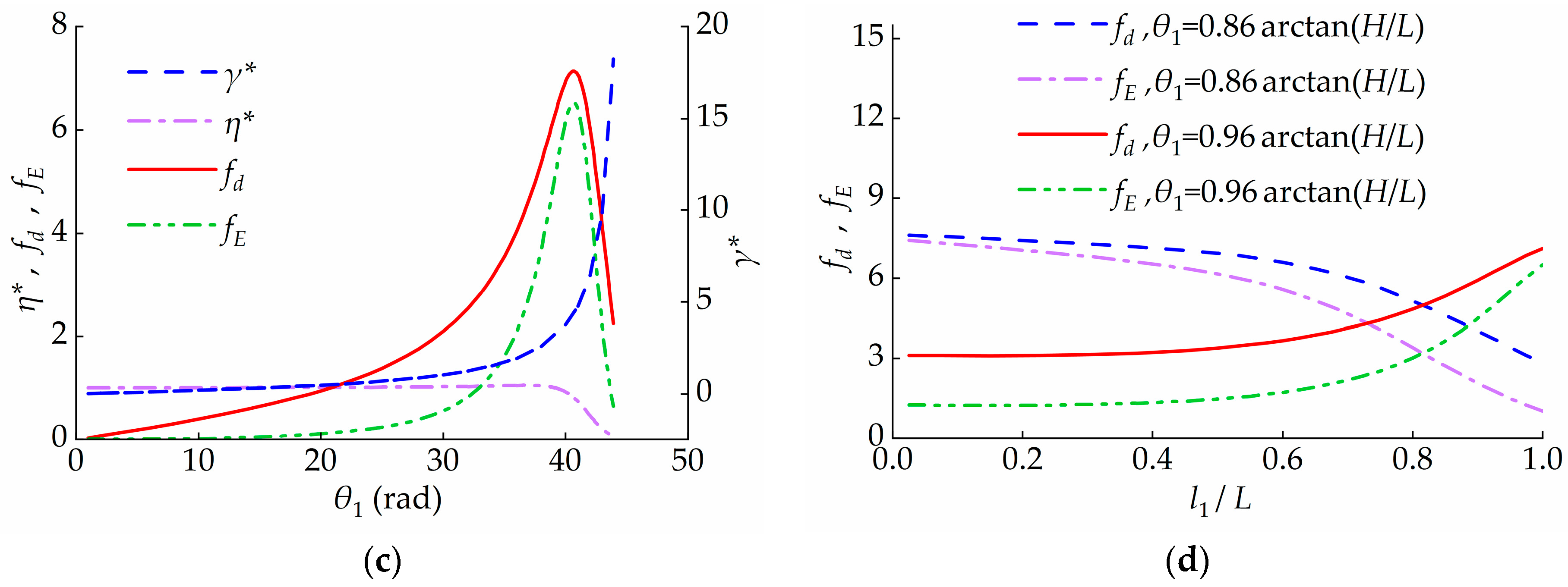
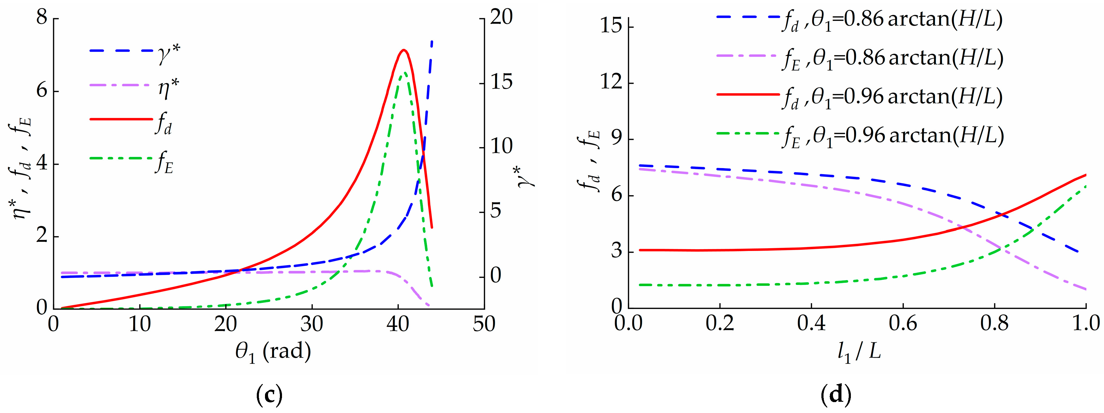
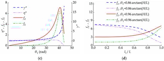
The geometric shape of the TNVD can be fixed by the length and horizontal inclination angle of the lower connecting rod. and are taken as the basic parameters to study the impact on the TNVD’s and . The value range of is , and the value range of is . Figure 9 illustrates the variation in and within a larger value range of and . From Figure 9a,b, it can be seen that for different lengths , and first increase and then decrease as the horizontal inclination angle increases. The reasons for this trend are shown in Figure 9c. From Figure 9c, it can be seen that when is fixed, as increases, increases but decreases, which causes and to increase first and then decrease. Meanwhile, as increases, there is a trend that ’s and ’s peak and decrease first and then increase. When is fixed, and present different change laws as increases. As is revealed in Figure 9d, when is small, and decrease as increases. When approaches the limit value , and increase with the increase in .

Figure 9.
The impact of and on and : (a) impact of on ; (b) impact of on ; (c) impact of on and when ; (d) impact of on and .
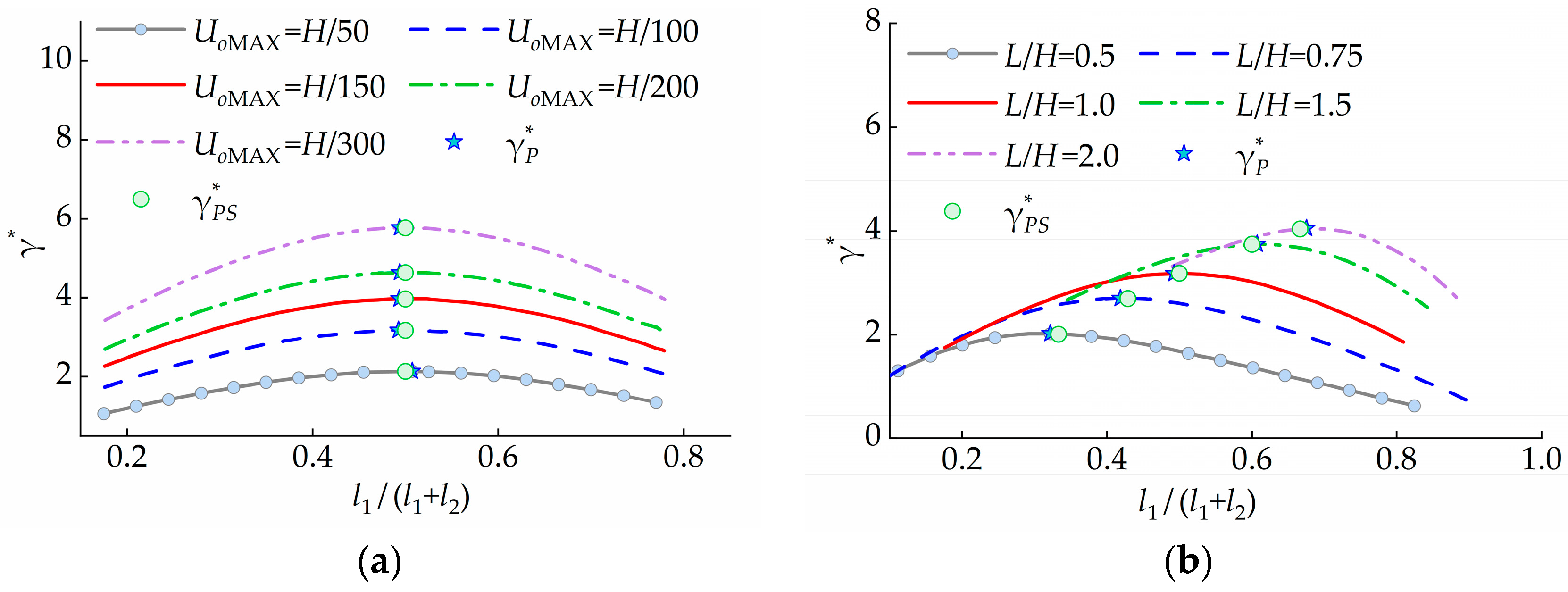
3.1.2. Impact of l1 When the Inter-Story Deformation Limit Is Fixed
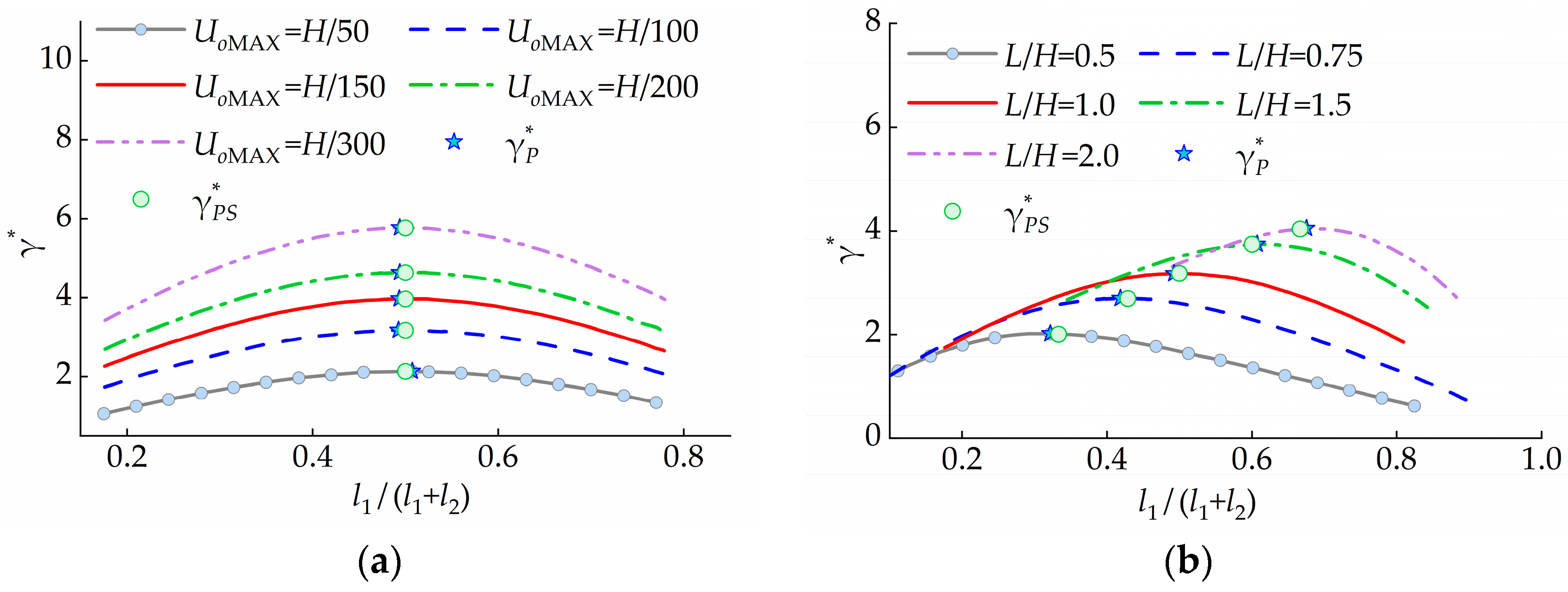
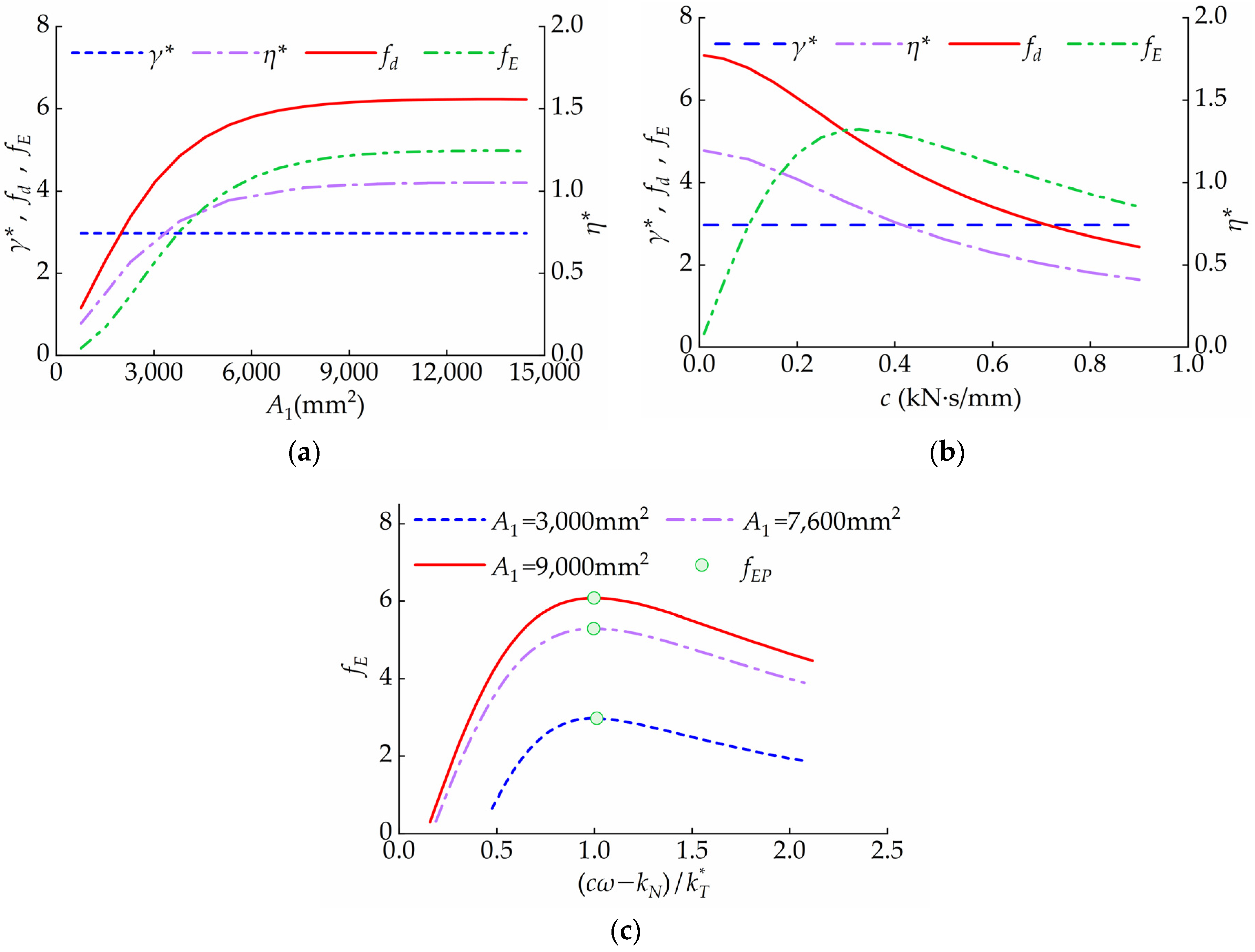
Under normal working conditions of the TNVD, the inter-story deformation limit will change the lower limit of the sum of the lengths of the upper and lower connecting rods, which is likely to affect the geometric shape of the TNVD. Equation (9) takes the equal sign to determine the sum of the lengths of the upper and lower connecting rods. Figure 10 reveals the variation in with under different inter-story displacement limits. As is revealed in Figure 10a, the larger is, the smaller becomes. When is unchanged, there exists a lower connecting rod’s length to enable to reach optimal results. In Figure 10, represents the peak points of each curve, and represents the of each curve when . According to Figure 10a,b, it can be seen that under different inter-story displacement limits and different ratios of span to height, the approximate maximum value of is obtained when . consists of and , and is affected by . In order to enable to reach a better value, the optimal value of can be obtained first, and then the internal damper parameters of the TNVD can be adjusted to ensure that is within a better value range.
Figure 10.
Impact of on when is fixed: (a) , ; (b) , .
Meanwhile, Reference [17] studied the effect of the length of the connecting rod on the geometric amplification factor when the inter-story deformation is fixed. The results reveal that when the ratio of the length of the connecting rod to the floor height is 0.7, the geometric amplification factor reaches its maximum value. When the ratio of span to floor height is large, the geometric amplification factor obtained using the research results of this paper is similar to that obtained in Reference [17]. However, when the ratio of span to floor height is small, the length of the lower connecting rod that meets the requirements proposed in this paper will result in a larger geometric amplification factor for the TNVD.
3.1.3. Impact of the Connecting Rod’s Cross-Sectional Area A1 and Damping Coefficient
The cross-sectional area and damping coefficient affect and by changing the . As is shown in Figure 11a, with the increase in , and first rapidly increase and then stabilize. Increasing is beneficial to improve . As is revealed in Figure 11b, with the increase in the damping coefficient , and decrease, while displays a trend of first increasing and then decreasing. Hence, there exists an optimal to achieve to reach the maximum value. Figure 11c illustrates the variation law of with under different cross-sectional areas of connecting rods. represents the peak points of each curve. From Figure 11c, it can be seen that obtains the optimal result when .
Figure 11.
Impact of and on and : (a) impact of on and ; (b) impact of on and ; (c) impact of on .
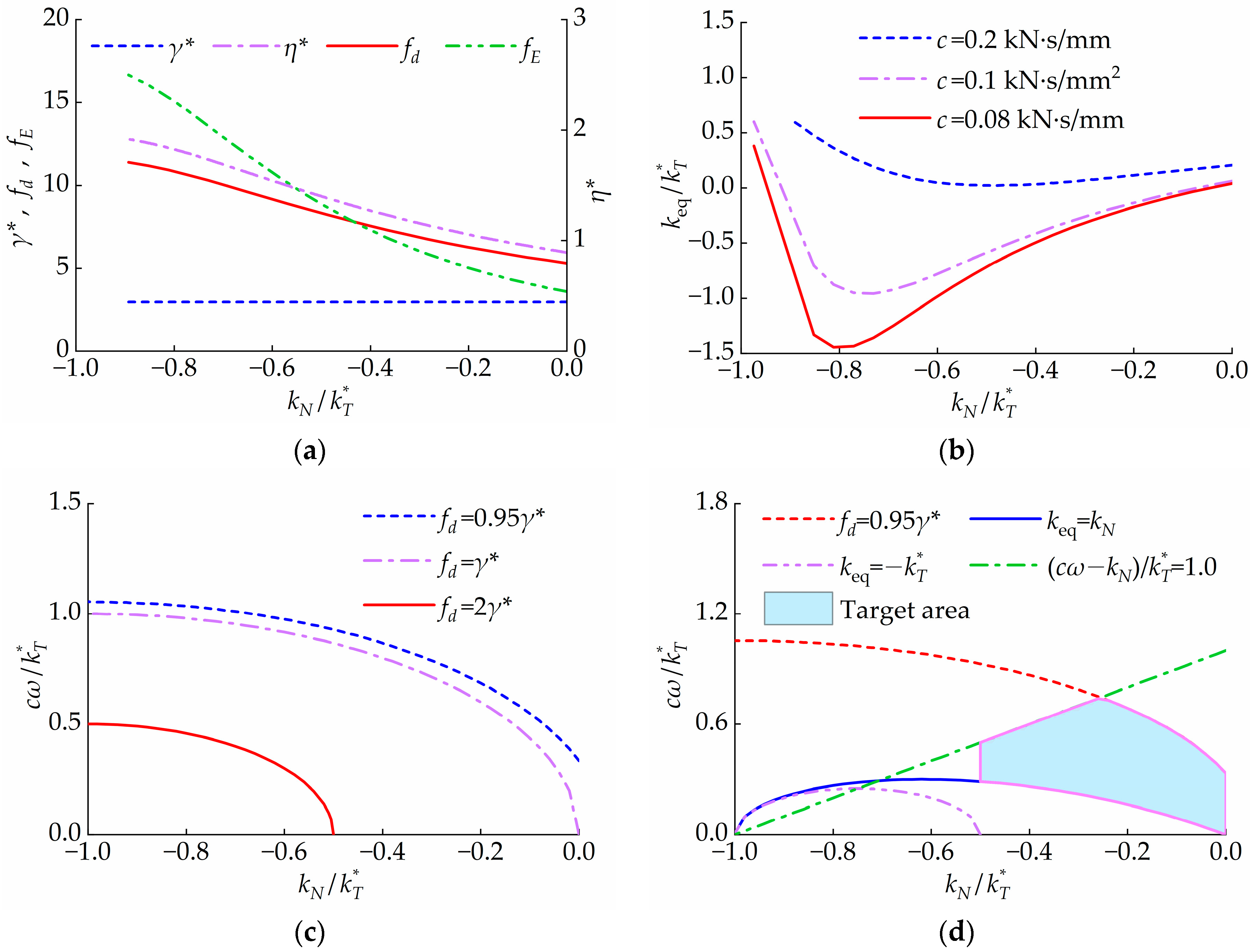
3.1.4. Impact of NSD’s Negative Stiffness kN
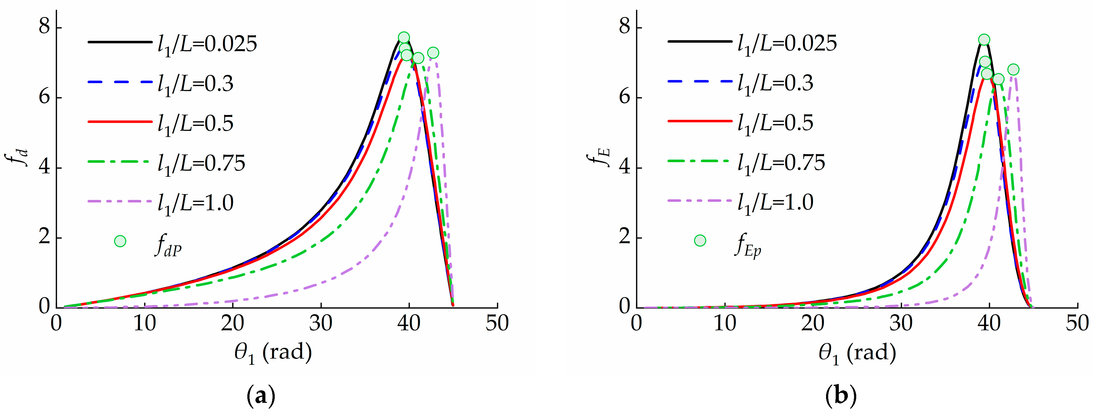
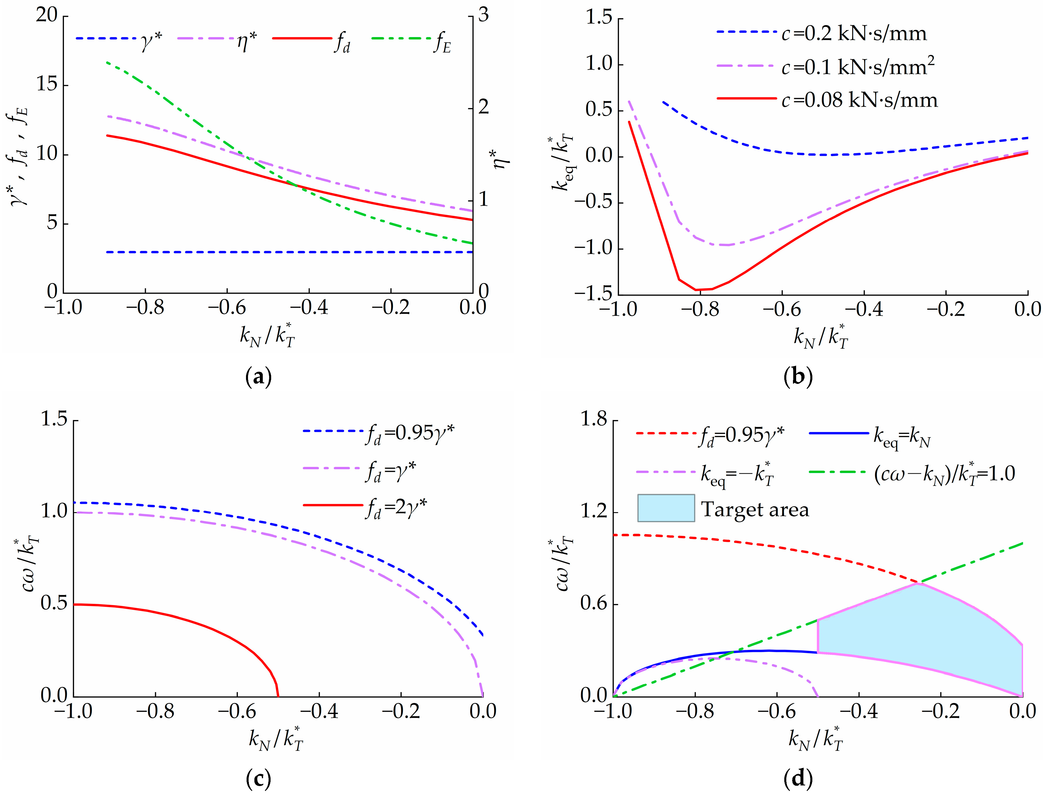
This section explores the impact of changing the negative stiffness of NSD on and . From Figure 12a,b, it can be seen that as the negative stiffness decreases, , , and gradually increase, while presents a trend of first decreasing and then increasing. Meanwhile, when the damping coefficient is small, the TNVD will provide negative stiffness to the structure. Thus, the value of should ensure that the TNVD achieves a high value of while avoiding providing too much negative stiffness , which significantly reduces the total stiffness of the structure. “Technical specification for seismic energy dissipation of buildings” [43] requires that the support stiffness should be greater than three times the loss stiffness of the viscous damper. This regulation is still applied here. When , , or , the relationship between and is as illustrated in Equation (20).
when or , the relationship between and is as shown in Equation (21).
Figure 12.
Impact of on and and the target value region of and : (a) impact of on and ; (b) impact of on ; (c) corresponding and of different ; (d) target value region of and .
According to Equation (20) and Figure 12c, it can be seen that when , . According to Equation (21) and Figure 12d, it can be seen that when , . By Equation (13), it can be concluded that when , it can be avoided that in any situation. According to Figure 11c, it can be seen that when , increasing the damping coefficient results in an increase in . In order to achieve high displacement amplification capability of the TNVD while avoiding providing too much negative stiffness to the structure, it is recommended to select the target area shown in Figure 12d as the value range for and . This target area possesses three properties, namely, , , and the fact that increasing the damping coefficient leads to an increase in .
3.2. TNVD’s Optimization Design
3.2.1. TNVD’s Optimization Strategies
To ensure the safe and effective operation of the improved TNVD with the ideal displacement amplification coefficient and energy dissipation coefficient , in combination with the discussion in Section 3.1, the following steps are taken to optimize the TNVD.
(1) The maximum inter-story deformation is determined based on the limit value of the inter-story displacement angle. is substituted into Equation (9) to obtain the minimum value of the .
(2) The length of the lower connecting rod is selected and the length of the upper connecting rod is calculated. The horizontal inclination angle of the upper and lower connecting rods and damping components is calculated in a non-deformable state according to Equation (6). Subsequently, the optimal geometric amplification factor is calculated based on Equation (5). It is judged if is greater than the pre-set target of the displacement amplification factor . If it is not satisfied, the following methods can be adopted: to keep unchanged and to reduce the length , or to keep the length unchanged and increase . At this moment, changes, and it is necessary to substitute the inter-story displacement of the structural time history analysis into Equation (9) to verify whether the lengths of the upper and lower connecting rods of the TNVD are reasonable.
(3) The cross-sectional area of the connecting rod, damping coefficient , and negative stiffness are selected to make sure the values of and are within the target area shown in Figure 12d, and we employ Equation (14) to calculate the effective displacement coefficient .
(4) and are substituted into Equations (18) and (19) to calculate the displacement amplification factor and the energy dissipation factor .
(5) It is judged whether satisfies the predetermined goals. If the goal is not met, the following methods should be adopted for further optimization: to increase damping coefficient or decrease the negative stiffness of the NSD. After that, it is verified again whether the values of and are within the target area shown in Figure 12d. Step (4) and Step (5) are repeated. If the value of is on the upper boundary of the target area shown in Figure 12d, and still cannot meet the set target, then increase the cross section of the upper and lower connecting rods of the TNVD, and return to Step (4) and Step (5).
3.2.2. Vibration Reduction Design Method for Structures with the Improved TNVD
For energy dissipation and seismic reduction structures with additional viscous dampers, the current design methods mostly focus on the additional damping ratio and inter-story displacement angle limits as control objectives. For a structure with an improved TNVD, this paper proposes a multi-objective control vibration reduction scheme design, including displacement amplification factor , energy dissipation factor , additional damping ratio, and inter-story displacement angle limit. evaluates the displacement amplification ability of the improved TNVD; intuitively evaluates the energy dissipation ability of the TNVD; the additional damping ratio evaluates the damping contribution of the TNVD to the overall structure, and the inter-story displacement angle limit controls the overall deformation of the structure. The design flowchart of this method is shown in Figure 13. The design process is as follows:
Figure 13.
Damping design flowchart of structures with the improved TNVD.
(1) The target values of , , additional damping ratio, and inter-story displacement angle limit are set.
(2) The stiffness proportional damping of the structure is calculated. The number of TNVDs is set up, and TNVD parameters are selected according to Section 3.2.1.
(3) The elastic–plastic time history analysis for frequent earthquakes or fortification earthquakes is conducted. It is judged whether , , and the additional damping ratio and inter-story displacement angle meet the set goals. If the goal is not achieved, increase the number of TNVDs or return to Step (3) through Step (5) in Section 3.2.1.
(4) The elastic–plastic time history analysis for rare earthquakes is conducted, and it is concluded whether the inter-story displacement angle meets the set target. If the goal is not achieved, increase the number of TNVDs and return to Step (3). According to the final rare earthquake inter-story deformation, Equation (9) is employed to recheck whether the length of the upper and lower connecting rods of the TNVD is reasonable. If it is not reasonable, return to Step (2) to optimize the TNVD again.
4. Finite Element Analysis of Engineering Example
4.1. Project Overview
In order to verify the vibration reduction effect of structures with the improved TNVD and the effectiveness of the optimization method, this section takes a nine-story steel frame as an example. The height of the steel frame is 36 m; the seismic fortification intensity is 8 degrees (0.2 g); the site characteristic period is 0.45 s, and the self-weight is 7712 tons. The mass distribution on each floor is relatively uniform and 856 tons. The fundamental periods are 1.66 s (E–W), 1.60 s (N–S), and 1.36 s (rotation), respectively. The inherent damping ratio of the structure is 0.04, using the Rayleigh damping model with a mass-proportional coefficient of 0.314 and a stiffness-proportional coefficient of 1.83 × 10−3. The steel frame adopts Q345 steel. The main beam is hot-rolled H-section HN630 × 200 × 15 × 20 (unit: mm), and the secondary beam is hot-rolled H-section HN500 × 200 × 10 × 16 (unit: mm). The beam connected to the TNVD is hot-rolled H-section HN800 × 300 × 14 × 26 (unit: mm). The frame columns have a box-shaped cross section, with the first floor measuring 700 × 700 × 20 × 20 (unit: mm); the second to the third floor measures 600 × 600 × 20 × 20 (unit: mm); the fourth floor to the sixth floor measures 550 × 550 × 18 × 18 (unit: mm), and the seventh to the ninth floor measures 500 × 500 × 18 × 18 (unit: mm). The elastic–plastic deformation of beams and columns is simulated using plastic hinges. The expected goals of the vibration reduction design are as follows: the damping ratio added to the structure by the TNVD under fortification earthquakes (peak acceleration PGA is 0.2 g) is 15%, and the limit value of the inter-story displacement angle of the structure is 1/300; the limit value of the inter-story displacement angle of the structure under rare earthquakes (peak acceleration PGA is 0.4 g) is 1/150; the TNVD displacement amplification factor is and energy dissipation factor is .
4.2. Scheme Design
This section shows a total of three design schemes. According to the optimization strategy in Section 3.2.1 and the vibration reduction design method in Section 3.2.2, Scheme 1 was obtained. Scheme 2 was not optimized according to the TNVD optimization strategy. Scheme 3 has removed the NSD on the basis of Scheme 1. The installation positions of these three schemes in floors are shown in Figure 14, and the geometric parameters and internal component parameters of the TNVD are revealed in Table 4. According to the Chinese Code [44], five natural waves and two artificial waves are selected, and the normalized spectra of the selected seismic waves and the normalized standard response spectra are shown in Figure 15. SAP2000 software (version 23.3.0) was adopted to model, and elastic–plastic time history analysis for fortification earthquakes and rare earthquakes was conducted. All analysis results in this section are taken as the average of seven seismic wave calculation results. This section only elaborates on the application of the improved TNVD in the north–south direction of structures.
Figure 14.
3D Structural schematic diagram and layout of the improved TNVD: (a) structural 3D schematic diagram; (b) plane layout of the improved TNVD; (c) F-axis facade layout of the improved TNVD.
Table 4.
Geometric parameters and various component parameters of the improved TNVD.
Figure 15.
Normalized time history response spectra and standard response spectra.
4.3. Vibration Reduction Effect
In order to verify again that the displacement amplification ability of the improved TNVD can ignore the influence of inter-story deformation, the displacement and energy dissipation of the viscous dampers on the left side and right side of the same span in Scheme 1 under rare earthquakes and Big Bear seismic waves are compared. The viscous dampers are located on the F-axis of the fifth floor. According to Figure 16a, it can be seen that due to the spring effect in the improved TNVD, the right damper’s displacement and left damper’s displacement have a high degree of agreement throughout the entire duration of the earthquake. The peak values of and are 61.1 mm and 63.8 mm, respectively, with a difference of within 5%. As shown in Figure 16b, the energy dissipation of the left dampers and right dampers almost coincides throughout the entire time history. Therefore, the displacement amplification factor and energy dissipation factor of the improved TNVD can be calculated by applying Equations (18) and (19) based on the assumption of small structural deformation.
Figure 16.
Displacement and energy dissipation of viscous dampers under rare earthquakes and Big Bear wave: (a) displacement comparison; (b) energy dissipation comparison.
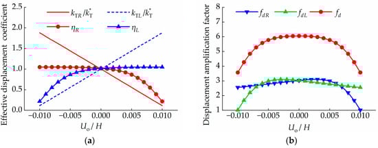
The comparison of NVD hysteresis curves among the three schemes in this paper is revealed in Figure 17a. The NVD is located on the right side of the F-axis on the fifth floor. As is displayed in Figure 17a, due to the presence of negative stiffness, the hysteresis curves of the NVD for Scheme 1 and Scheme 2 exhibit a tilted state. In contrast to other schemes, the damper in Scheme 1 consumes more energy. Scheme 1 has been optimized and designed to achieve the optimal geometric amplification factor, while and are also within the target area shown in Figure 12d, as shown in Figure 17b.
Figure 17.
NVD’s hysteresis curves of various schemes and combinations of and in Scheme 1: (a) NVD’s hysteresis curves; (b) values of and in Scheme 1.
The comparison of the TNVD’s and under three schemes is shown in Figure 18. Under fortification earthquakes (0.2 g) and rare earthquakes (0.4 g), Scheme 1 is optimal, followed by Scheme 3, and Scheme 2 is the worst. Scheme 1 meets the expected goals, namely, the TNVD’s and . In Scheme 1, the energy consumption factor is higher on the middle floor, and lower on the top and bottom floors. Although the lower floor has a large inter-story deformation and a large damping coefficient is adopted, the proportional stiffness damping of the structure is large, so that the energy dissipation factor of the lower floor is smaller than that of the middle floor. By comparing Scheme 1 and Scheme 2, we can find that the optimization method proposed in Section 3.2 can significantly improve the TNVD’s displacement and energy consumption. Meanwhile, by comparing Scheme 1 and Scheme 3, it can be seen that the negative stiffness of the NSD is equally effective in increasing the displacement and energy dissipation of the TNVD.
Figure 18.
The TNVD’s and under fortification earthquakes and rare earthquakes: (a) ; (b) .
Table 5 summarizes the additional damping ratios of the TNVD under different schemes. The calculation of the additional damping ratio is based on the traditional specification method in Reference [38]. According to Table 5, under fortification earthquakes, the additional damping ratios of Scheme 1, Scheme 2, and Scheme 3 are 19.3%, 7.5%, and 10.0%, respectively. Only Scheme 1 achieves the expected target of an additional damping ratio of 15%.
Table 5.
Average additional damping ratios of three schemes under fortification earthquakes.
The control effects of the TNVD on inter-story displacement and floor shear under different schemes are revealed in Figure 19 and Figure 20. Whereas Scheme 2 cannot, both Scheme 1 and Scheme 3 can satisfy the target limit requirements for the inter-story displacement angle under fortification earthquakes and rare earthquakes, while Scheme 1 exhibits a smaller floor shear force. Under rare earthquakes, the maximum inter-story displacement angle of Scheme 1 is 1/200, which is much smaller than the limit of 1/150. Therefore, although the geometric parameters of the TNVD in Scheme 1 are designed according to 1/150, they still possess a sufficient safety margin.
Figure 19.
Inter-story displacement angle under fortification earthquakes and rare earthquakes: (a) fortification earthquakes; (b) rare earthquakes.
Figure 20.
Story shear forces under fortification earthquakes and rare earthquakes: (a) fortification earthquakes; (b) rare earthquakes.
In summary, the optimization design method proposed in this paper can effectively control the seismic response of structures with the improved TNVD. Designers can apply this optimization design program to easily design the improved TNVD vibration reduction schemes with high displacement amplification ability and strong energy consumption ability. Simultaneously, the displacement amplification factor and the energy dissipation factor of the improved TNVD can both use the small deformation assumption, which further brings convenience to the design of vibration reduction schemes.
The TNVD can not only be applied to frame structures, but also to other structures with high stiffness. The inter-story deformation of buildings adopting shear walls or frame core tubes is relatively small, and the application of the TNVD can achieve larger damper deformation, providing greater energy dissipation for the structure. Transmission towers can also be equipped with the TNVD to control deformation under earthquake or wind loads. The application of the TNVD on offshore drilling platforms can also increase their ability to withstand wave loads, wind loads, or earthquakes.
It should be noted that the length of the TNVD connecting rod cannot be arbitrarily set. To enable the TNVD to have greater displacement amplification capability, the length of the connecting rod usually varies within a certain range. The inter-story displacement limit results in a lower limit for the sum of the lengths of the upper and lower connecting rods. Meanwhile, there are multiple factors that affect the performance of the TNVD, and the impact of these factors on the amplification ability of the TNVD is not consistent. Therefore, designers need to accurately understand these rules in order to effectively apply them to engineering.
In order to ensure the normal operation of the TNVD, in addition to meeting the specifications of Equation (9), the bearing capacity of the beams and columns around the TNVD should also be checked to ensure that they can still maintain elasticity under rare earthquakes. Due to the significant displacement amplification effect of the TNVD, it is necessary to ensure that the damper has a large deformation capacity to prevent the damper from failing when the structure encounters seismic intensity exceeding expectations. The improved TNVD has multiple connection nodes. The specific implementation form of the node will affect the length and horizontal inclination angle of the TNVD’s connecting rod, thereby affecting the displacement amplification ability. Meanwhile, the improved TNVD’s greater displacement amplification ability is more sensitive to the length of the TNVD’s connecting rod. A slight change in the length of the connecting rod is likely to cause significant changes in the displacement amplification factor and energy dissipation factor. The above situations require further research.
5. Conclusions
The TNVD is a combination of a symmetrical toggle-style amplification device and a negative stiffness device, which further enhances the displacement amplification effect of the toggle-style device. This paper proposes to comprehensively evaluate the performance of the TNVD based on its displacement amplification factor and the energy dissipation factor . Aiming at the influence of inter-story deformation on the displacement amplification ability of the TNVD, this paper proposes an improved TNVD, which can use the assumption of small structural deformation. Furthermore, the impacts of the lower connecting rod’s length, the lower connecting rod’s horizontal inclination angle, the limit value of inter-story deformation, the damping coefficient, and the negative stiffness on the TNVD’s and are expounded. On this basis, an optimization strategy for and is proposed, and a multi-objective control design method for a structure with the improved TNVD is proposed. The main conclusions are as follows:
(1) The displacement amplification factor describes the displacement amplification ability of the TNVD, and energy dissipation factor describes the energy dissipation ability. and can be used to evaluate the comprehensive performance of the TNVD.
(2) In comparison with the traditional toggle support damping systems, the TNVD adds a negative stiffness device to further increase the displacement of the damper. The correlation between the TNVD’s displacement amplification ability and inter-story deformation is reflected in the influence of inter-story deformation on both the geometric amplification factor and the effective displacement coefficient. The improved TNVD adds a more rigid spring between the left-side TNVD and the right-side TNVD. This spring balances the difference of the displacement amplification ability between the left and right TNVDs. Therefore, the improved TNVD’s displacement amplification factor and energy dissipation coefficient can both use the small deformation assumption.
(3) When the lower connecting rod’s length of the TNVD remains unchanged, with the increase in the lower connecting rod’s horizontal inclination angle , the geometric amplification factor increases while the effective displacement coefficient decreases, making and present a trend of first increasing and then decreasing.
(4) When the inter-story deformation limit is fixed, the lower limit of the length sum of the upper and lower connecting rods is subsequently fixed. At this moment, there is an optimal length of the lower connecting rod to enable to obtain the maximum value. The optimal length of the lower connecting rod needs to satisfy the following relationship: .
(5) , , and gradually increase with the decrease in negative stiffness . In order to ensure that is within a better value range, it is recommended to use the target area in Section 3.1.4 as the value range for and . This target area possesses three properties, namely, , , and increasing the damping coefficient leads to increase.
(6) When the TNVD is actually installed in the structure, it is necessary to ensure that the length and horizontal inclination angle of the toggle’s connecting rods have a high degree of conformity with the theoretical design value, avoiding fd and fE’s having significant changes. Meanwhile, it is necessary to ensure the ratio , avoiding the TNVD’s providing a large negative stiffness, which would significantly reduce the overall stiffness of the structure.
(7) The improved TNVD can have good control effects on the inter-layer displacement and story shear force of the structure through the optimization design in Section 3.2. This design method utilizes the optimization strategy of the improved TNVD, which can easily design an improved TNVD damping scheme with larger displacement amplification ability and stronger energy consumption ability. Meanwhile, it can also provide a reference for the seismic reduction design of the other types of amplified negative stiffness damping systems.
Author Contributions
Conceptualization, Q.Z. and W.P.; software, Q.Z. and X.L.; validation, Q.Z. and X.L.; formal analysis, Q.Z.; data curation, Q.Z.; writing—original draft preparation, Q.Z.; writing—review and editing, Q.Z. and W.P.; visualization, X.L.; project administration, W.P.; funding acquisition, W.P. All authors have read and agreed to the published version of the manuscript.
Funding
This research was funded by the National Key Research and Development Program of China (Grant No. 2020YFD1100703-04),and Yunnan Provincial Basic Research Special Project (Grant No. 202101AU070059).
Data Availability Statement
The original contributions presented in the study are included in the article, further inquiries can be directed to the corresponding authors.
Conflicts of Interest
The authors declare no conflicts of interest.
References
- Ou, J.P.; Li, H. Design approaches for active, semi-active and passive control systems based on analysis of characteristics of active control force. Earthq. Eng. Eng. Vib. 2009, 8, 493–506. [Google Scholar] [CrossRef]
- Bhowmik, K.; Debnath, N. Semi-active Vibration Control of Soft-Storey Building with Magnetorheological Damper Under Seismic Excitation. J. Vib. Eng. Technol. 2024, 12, 6943–6961. [Google Scholar] [CrossRef]
- Dong, B.; Sause, R.; Ricles, J.M. Seismic Response and Damage of Reduced-Strength Steel MRF Structures with Nonlinear Viscous Dampers. J. Struct. Eng. 2018, 144, 04018221. [Google Scholar] [CrossRef]
- Zhang, C.; Li, H.N.; Gao, W.H.; Li, C. Experimental and analytical investigations on new viscoelastic damped joints for seismic mitigation of structures with precast shear walls. Struct. Control Health Monit. 2020, 27, e2485. [Google Scholar] [CrossRef]
- Jaisee, S.; Yue, F.; Ooi, Y.H. A state-of-the-art review on passive friction dampers and their applications. Eng. Struct. 2021, 235, 112022. [Google Scholar] [CrossRef]
- Jamkhaneh, M.E.; Ebrahimi, A.H.; Amiri, M.S. Experimental and numerical investigation of steel moment resisting frame with U-shaped metallic yielding damper. Int. J. Steel Struct. 2019, 19, 806–818. [Google Scholar] [CrossRef]
- Sun, L.; Wang, G.; Zhang, C.W. Experimental investigation of a novel high performance multi-walled carbon nano-polyvinylpyrrolidone/silicon-based shear thickening fluid damper. J. Intell. Mater. Syst. Struct. 2024, 35, 661–672. [Google Scholar] [CrossRef]
- Yang, L.Y.; Ye, M.; Huang, Y.H.; Dong, J.K. Study on Mechanical Properties of Displacement-Amplified Mild Steel Bar Joint Damper. Iran. J. Sci. Technol. Trans. Civ. Eng. 2023, 7, 01268. [Google Scholar] [CrossRef]
- Constantinou, M.C.; Tsopelas, P.; Hammel, W.; Sigaher, A.N. New configurations of fluid viscous dampers for improved performance. In Proceedings of the Passive Structural Control Symposium; Tokyo Institute of Technology: Yokohama, Japan, 2000. [Google Scholar]
- Constantinou, M.C.; Tsopelas, P.; Hammel, W.; Sigaher, A.N. Toggle-brace-damper seismic energy dissipation systems. J. Struct. Eng. 2001, 127, 105–112. [Google Scholar] [CrossRef]
- Taylor, D.P. Toggle brace dampers: A new concept for structural control. In Proceedings of the Structures Congress, Philadelphia, PA, USA, 8–10 May 2000; The American Society of Civil Engineers: Reston, VA, USA, 2000. [Google Scholar]
- Sigaher, A.N.; Constantinou, M.C. Scissor-jack-damper energy dissipation system. Earthq. Spectra. 2003, 19, 133–158. [Google Scholar] [CrossRef]
- Hwang, J.S.; Huang, Y.N.; Hung, Y.H. Analytical and experimental study of toggle-brace-damper systems. J. Struct. Eng. 2005, 131, 1035–1043. [Google Scholar] [CrossRef]
- Huang, H.C. Efficiency of the motion amplification device with viscous dampers and its application in high-rise buildings. Earthq. Eng. Eng. Vib. 2009, 8, 521–536. [Google Scholar] [CrossRef]
- Zhang, R.; He, H.; Weng, D. Theoretical analysis and experimental research on toggle-brace-damper system considering different installation modes. Sci. Iran. 2012, 19, 1379–1390. [Google Scholar] [CrossRef]
- Polat, E.; Constantinou, M.C. Open-space damping system description, theory, and verification. J. Struct. Eng. 2017, 143, 04016201. [Google Scholar] [CrossRef]
- Lan, B.J.; He, H.X.; Wu, S.; Cheng, S.T.; Chen, Y.F. Multi-performance objectives optimum design method and vibration control application of generalized toggle–brace–damper system. Earthq. Eng. Struct. Dyn. 2022, 51, 1410–1435. [Google Scholar] [CrossRef]
- She, A.Q.; Wang, L.J.; Peng, Y.L.; Li, J.H. Structural reliability analysis based on improved wolf pack algorithm AK-SS. Structures 2023, 57, 105289. [Google Scholar] [CrossRef]
- Wang, M.; Sun, F.; Yang, J.Q.; Nagarajaiah, S. Seismic protection of SDOF systems with a negative stiffness amplifying damper. Eng. Struct. 2019, 190, 128–141. [Google Scholar] [CrossRef]
- Javanbakht, M.; Cheng, S.; Ghrib, F. Impact of support stiffness on the performance of negative stiffness dampers for vibration control of stay cables. Struct. Control Health Monit. 2020, 27, e2610. [Google Scholar] [CrossRef]
- Nagarajaiah, S.; Reinhorn, A.M. Applicability of Pseudo-Force Method to Highly Nonlinear Dynamic Problems. In Proceedings of the Structures Congress 94 ASCE, Atlanta, GA, USA, 24–28 April 1994; pp. 165–172. [Google Scholar]
- Nagarajaiah, S.; Reinhorn, A.M.; Constantinou, M.C. True Adaptive Negative Stiffness: A New Structural Modification Approach for Seismic Protection. In Proceedings of the 5th World Conference on Structural Control and Monitoring, Tokyo, Japan, 12–14 July 2010. [Google Scholar]
- Pasala, D.T.R.; Sarlis, A.A.; Nagarajaiah, S.; Reinhorn, A.M.; Constantinou, M.C. Adaptive negative stiffness: New structural modification approach for seismic protection. J. Struct. Eng. 2013, 139, 1112–1123. [Google Scholar] [CrossRef]
- Sarlis, A.A.; Pasala, D.T.R.; Constantinou, M.C.; Reinhorn, A.M.; Nagarajaiah, S. Negative stiffness device for seismic protection of structures. J. Struct. Eng. 2013, 139, 1124–1133. [Google Scholar] [CrossRef]
- Pasala, D.T.R.; Sarlis, A.A.; Reinhorn, A.M.; Nagarajaiah, S.; Constantinou, M.C. Simulated bilinear-elastic behavior in a SDOF elastic structure using negative stiffness device: Experimental and analytical study. J. Struct. Eng. 2014, 140, 04013049. [Google Scholar] [CrossRef]
- Chen, L.; Sun, L.M.; Nagarajaiah, S. Cable with discrete negative stiffness device and viscous damper: Passive realization and general characteristics. Smart Struct. Syst. 2015, 15, 627–643. [Google Scholar] [CrossRef]
- Kwon, I.Y.; Yang, H.T.; Hansma, P.K.; Randall, C.J. Implementable Bio-Inspired Passive Negative Spring Actuator for Full-Scale Structural Control under Seismic Excitation. J. Struct. Eng. 2016, 142, 04015079. [Google Scholar] [CrossRef]
- Liu, M.; Zhou, P.; Li, H. Novel self-centering negative stiffness damper based on combination of shape memory alloy and pre-pressed springs. J. Aerosp. Eng. 2018, 31, 04018100. [Google Scholar] [CrossRef]
- Shi, X.; Zhu, S.Y. Magnetic negative stiffness dampers. Smart Mater Struct. 2015, 24, 072002. [Google Scholar] [CrossRef]
- Shi, X.; Zhu, S.Y.; Spencer, B.F. Experimental study on passive negative stiffness damper for cable vibration mitigation. J. Eng. Mech. 2017, 143, 04017070. [Google Scholar] [CrossRef]
- Shi, X.; Zhu, S.Y.; Nagarajaiah, S. Performance comparison between passive negative stiffness damper and active control in cable vibration mitigation. J. Bridge Eng. 2017, 22, 04017054. [Google Scholar] [CrossRef]
- Tan, Y.Q.; Dang, J.; Igarashi, A.; Himeno, T.; Hamada, Y. Hybrid simulation tests evaluating the seismic performance of lead high-damping rubber bearings at low temperatures. Struct. Infrastruct. Eng. 2023, 2292757. [Google Scholar] [CrossRef]
- Attary, N.; Symans, M.; Nagarajaiah, S.; Reinhorn, A.M.; Constantinou, M.C. Performance evaluation of negative stiffness devices for seismic response control of bridge structures via experimental shake table tests. J. Earthq. Eng. 2015, 19, 249–276. [Google Scholar] [CrossRef]
- Attary, N.; Symans, M.; Nagarajaiah, S. Numerical simulations of a highway bridge structure employing passive negative stiffness device for seismic protection. Earthq. Eng. Struct. Dyn. 2015, 44, 973–995. [Google Scholar] [CrossRef]
- Sun, T.W.; Peng, L.Y.; Li, X.; Guan, Y.X. Developing and Applying a Double Triangular Damping Device with Equivalent Negative Stiffness for Base-Isolated Buildings. Buildings 2023, 13, 3008. [Google Scholar] [CrossRef]
- Chalarca, B.; Filiatrault, A.; Perrone, D. Influence of Fluid Viscous Damper Stiffness on the Floor Acceleration Response of Steel MomentResisting Frames Under Far-Field Ground Motions. J. Eng. Struct. 2024, 28, 2158–2187. [Google Scholar]
- Chen, Y.; Chai, Y.H. Effects of brace stiffness on performance of structures with supplemental Maxwell model-based brace-damper systems. Earthq. Eng. Struct. Dyn. 2011, 40, 75–92. [Google Scholar] [CrossRef]
- Fournier, J.A.; Cheng, S.H. Impact of damper stiffness and damper support stiffness on the efficiency of a linear viscous damper in controlling stay cable vibrations. J. Bridge Eng. 2014, 19, 04013022. [Google Scholar] [CrossRef]
- Losanno, D.; Londono, J.M.; Zinno, S. Effective damping and frequencies of viscous damper braced structures considering the supports flexibility. Comput. Struct. 2017, 207, 121–131. [Google Scholar] [CrossRef]
- Li, S.Y.; Chen, Y.T.; Chai, Y.H. Effects of Brace Stiffness and Nonlinearity of Viscous Dampers on Seismic Performance of Structures. Int. J. Struct. Stab. Dyn. 2021, 21, 2150188. [Google Scholar] [CrossRef]
- Zhou, P.; Liu, M.; Li, H. Optimized negative stiffness damper with flexible support for stay cables. Struct. Control Health Monit. 2021, 28, e2717. [Google Scholar] [CrossRef]
- RISN-TG046-2023; Chinese Standard, Technical Guideline for Maintaining Normal Functionality of Buildings in Earthquakes. Chinese Architecture and Building Press: Beijing, China, 2023.
- JGJ 297-2013; Chinese Standard, Technical Specification for Seismic Energy Dissipation of Buildings. Chinese Architecture and Building Press: Beijing, China, 2013.
- GB 50011-2016; Chinese Standard, Code for Seismic Design of Buildings. Chinese Architecture and Building Press: Beijing, China, 2016.
Disclaimer/Publisher’s Note: The statements, opinions and data contained in all publications are solely those of the individual author(s) and contributor(s) and not of MDPI and/or the editor(s). MDPI and/or the editor(s) disclaim responsibility for any injury to people or property resulting from any ideas, methods, instructions or products referred to in the content. |
© 2024 by the authors. Licensee MDPI, Basel, Switzerland. This article is an open access article distributed under the terms and conditions of the Creative Commons Attribution (CC BY) license (https://creativecommons.org/licenses/by/4.0/).