Analysis of Microwave-Induced Damage in Granite Aggregates Influenced by Mineral Texture
Abstract
1. Introduction
2. Specimens and Experimental Methods
2.1. Specimen Preparation
2.2. Testing Procedure
3. Mathematical Modeling of Microwave Heating of Granite
3.1. Model Assumptions
- (1)
- The metallic microwave-heating cavity was made of copper and full of air.
- (2)
- The initial temperature of the rock sample was considered to be homogeneous and isotropic.
- (3)
- Phase change, mass transfer, and chemical reactions were assumed to be absent in the microwave-heated rock.
3.2. Geometry and Meshing
3.3. Governing Equations and Boundary Conditions of Multiphysics
4. Results
4.1. Microwave-Heating Response in Granite
4.2. Load–Displacement Relationship of Microwave-Heated Granite
4.3. Fracture Toughness of Microwave-Heated Granite
4.4. Quantitative Characterization of Fracture Surface
5. Discussion
5.1. Microwave-Heating Mechanism of Granite
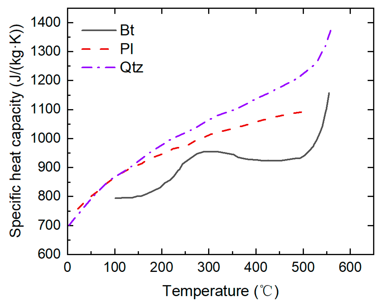
5.2. Coupled Electromagnetic–Thermal–Mechanical Model Involving Mineral Texture
5.3. Evolution of the Temperature Gradient in Granite
5.4. Evolution of the Thermal Stress Field in Granite
5.5. Fracture Toughness and Degradation Mechanism of Granite
6. Conclusions
Author Contributions
Funding
Data Availability Statement
Acknowledgments
Conflicts of Interest
Nomenclature
| length of the initial notch of the granite specimen | second Piola–Kirchhoff stress tensor | ||
| irradiation time | |||
| width of the granite specimen | temperature | ||
| elasticity tensor | displacement | ||
| specific heat capacity at constant pressure | velocity vector of translational motion | ||
| penetration depth of microwave energy | volume of the mineral | ||
| electric field intensity | Young’s modulus | ||
| root mean square of the electric field | coefficient of thermal expansion | ||
| source electric field | density | ||
| microwave frequency | Poisson’s ratio | ||
| first principal stress | permeability of free space | ||
| volume force vector | relative permeability | ||
| deformation gradient | magnetic permeability | ||
| height of the granite specimen | permittivity of free space | ||
| magnetic field intensity | relative permittivity | ||
| thermal conductivity | dielectric constant | ||
| wave number of free space | dielectric loss | ||
| stress intensity factor of cracks in Mode I | elastic strain tensor | ||
| Mode I fracture toughness | thermal strain tensor | ||
| average length of the initial microcracks in granite | angular frequency | ||
| electrical conductivity | |||
| span of the specimen under testing | loss tangent | ||
| length of the granite specimen | RCAs | recycled coarse aggregates | |
| mass of the mineral | TPB | three-point-bending | |
| normal vector toward the exterior boundary | ASTM | American Society for Testing and Materials | |
| absorbed microwave power density | TPBN | three-point bending notched | |
| peak load | Pl | plagioclase | |
| heat flux term of thermal conduction | Qtz | quartz | |
| electromagnetic heat sources | Bt | biotite |
References
- Wang, W.; Zhao, C.; Sun, J.; Wang, X.; Zhao, X.; Mao, Y.; Li, X.; Song, Z. Quantitative measurement of energy utilization efficiency and study of influence factors in typical microwave heating process. Energy 2015, 87, 678–685. [Google Scholar] [CrossRef]
- Ouyang, K.; Liu, J.; Liu, S.; Song, B.; Guo, H.; Li, G.; Shi, C. Influence of pre-treatment methods for recycled concrete aggregate on the performance of recycled concrete: A review. Resour. Conserv. Recycl. 2023, 188, 106717. [Google Scholar] [CrossRef]
- Tam, V.W.; Wattage, H.; Le, K.N.; Buteraa, A.; Soomro, M. Methods to improve microstructural properties of recycled concrete aggregate: A critical review. Constr. Build. Mater. 2021, 270, 121490. [Google Scholar] [CrossRef]
- Buttress, A.; Jones, A.; Kingman, S. Microwave processing of cement and concrete materials—Towards an industrial reality? Cem. Concr. Res. 2015, 68, 112–123. [Google Scholar] [CrossRef]
- Kang, H.; Cho, J.-W.; Park, J.-Y.; Jang, J.-S.; Kim, J.-H.; Kim, K.-W.; Rostami, J.; Lee, J.-W. A new linear cutting machine for assessing the rock-cutting performance of a pick cutter. Int. J. Rock Mech. Min. Sci. 2016, 88, 129–136. [Google Scholar] [CrossRef]
- Gao, M.-Z.; Yang, B.-G.; Xie, J.; Ye, S.-Q.; Liu, J.-J.; Liu, Y.-T.; Tang, R.-F.; Hao, H.-C.; Wang, X.; Wen, X.-Y.; et al. The mechanism of microwave rock breaking and its potential application to rock-breaking technology in drilling. Pet. Sci. 2022, 19, 1110–1124. [Google Scholar] [CrossRef]
- Liang, C.-G.; Guo, Z.-S.; Yue, X.; Li, H.; Ma, P.-C. Microwave-assisted breakage of basalt: A viewpoint on analyzing the thermal and mechanical behavior of rock. Energy 2023, 273, 127225. [Google Scholar] [CrossRef]
- Liu, H.; Sun, H.; Liu, X.; Ye, Z.; Wang, H. Damage properties of basaltic rocks under multilevel stress loading and microwave irradiation. Eng. Fract. Mech. 2023, 289, 109391. [Google Scholar] [CrossRef]
- Fan, L.F.; Wu, Z.J.; Wan, Z.; Gao, J.W. Experimental investigation of thermal effects on dynamic behavior of granite. Appl. Therm. Eng. 2017, 125, 94–103. [Google Scholar] [CrossRef]
- Fan, L.; Gao, J.; Wu, Z.; Yang, S.; Ma, G. An investigation of thermal effects on micro-properties of granite by X-ray CT technique. Appl. Therm. Eng. 2018, 140, 505–519. [Google Scholar] [CrossRef]
- Kahraman, S.; Canpolat, A.N.; Fener, M. The influence of microwave treatment on the compressive and tensile strength of igneous rocks. Int. J. Rock Mech. Min. Sci. 2020, 129, 104303. [Google Scholar] [CrossRef]
- Batchelor, A.; Jones, D.; Plint, S.; Kingman, S. Deriving the ideal ore texture for microwave treatment of metalliferous ores. Miner. Eng. 2015, 84, 116–129. [Google Scholar] [CrossRef]
- Yao, J.; Tao, M.; Zhao, R.; Hashemi, S.S.; Wang, Y. Effect of microwave treatment on thermal properties and structural degradation of red sandstone in rock excavation. Miner. Eng. 2021, 162, 106730. [Google Scholar] [CrossRef]
- Yin, T.; Wu, B.; Wang, C.; Wu, Y. Determination of Dynamic Tensile Strength of Microwave-Induced Basalt Using Brazilian Test. Rock Mech. Rock Eng. 2022, 55, 1429–1443. [Google Scholar] [CrossRef]
- Xu, T.; Yuan, Y.; Heap, M.J.; Zhou, G.-L.; Perera, M.; Ranjith, P. Microwave-assisted damage and fracturing of hard rocks and its implications for effective mineral resources recovery. Miner. Eng. 2021, 160, 106663. [Google Scholar] [CrossRef]
- Cui, G.; Chen, T.; Feng, X.; Chen, Z.; Elsworth, D.; Yu, H.; Zheng, X.; Pan, Z. Coupled multiscale-modeling of microwave-heating-induced fracturing in shales. Int. J. Rock Mech. Min. Sci. 2020, 136, 104520. [Google Scholar] [CrossRef]
- Yang, Q.; Wang, M.; Zhao, X.; Fan, L. Experimental study of frequency-temperature coupling effects on wave propagation through granite. Int. J. Rock Mech. Min. Sci. 2023, 162, 105326. [Google Scholar] [CrossRef]
- Fan, L.F.; Qiu, B.; Gao, J.W.; Du, X.L. A Real-Time Visual Investigation on Microscopic Progressive Fatigue Deterioration of Granite Under Cyclic Loading. Rock Mech. Rock Eng. 2023, 56, 5133–5147. [Google Scholar] [CrossRef]
- Fan, L.; Yang, K.; Wang, M.; Wang, L.; Wu, Z. Experimental study on wave propagation through granite after high-temperature treatment. Int. J. Rock Mech. Min. Sci. 2021, 148, 104946. [Google Scholar] [CrossRef]
- Fan, L.; Gao, J.; Du, X.; Wu, Z. Spatial gradient distributions of thermal shock-induced damage to granite. J. Rock Mech. Geotech. Eng. 2020, 12, 917–926. [Google Scholar] [CrossRef]
- Jones, D.A.; Kingman, S.W.; Whittles, D.N.; Lowndes, I.S. Understanding microwave assisted breakage. Miner. Eng. 2005, 18, 659–669. [Google Scholar] [CrossRef]
- Wang, Y.; Djordjevic, N. Thermal stress FEM analysis of rock with microwave energy. Int. J. Miner. Process. 2014, 130, 74–81. [Google Scholar] [CrossRef]
- Toifl, M.; Hartlieb, P.; Meisels, R.; Antretter, T.; Kuchar, F. Numerical study of the influence of irradiation parameters on the microwave-induced stresses in granite. Miner. Eng. 2017, 103, 78–92. [Google Scholar] [CrossRef]
- Zhou, X.-P.; Li, G.-Q.; Ma, H.-C. Real-time experiment investigations on the coupled thermomechanical and cracking behaviors in granite containing three pre-existing fissures. Eng. Fract. Mech. 2020, 224, 106797. [Google Scholar] [CrossRef]
- Feng, G.; Kang, Y.; Meng, T.; Hu, Y.-Q.; Li, X.-H. The Influence of Temperature on Mode I Fracture Toughness and Fracture Characteristics of Sandstone. Rock Mech. Rock Eng. 2017, 50, 2007–2019. [Google Scholar] [CrossRef]
- Li, X.; Wang, S.; Xu, Y.; Yao, W.; Xia, K.; Lu, G. Effect of microwave irradiation on dynamic mode-I fracture parameters of Barre granite. Eng. Fract. Mech. 2020, 224, 106748. [Google Scholar] [CrossRef]
- Bai, G.; Sun, Q.; Jia, H.; Ge, Z.; Li, P. Variations in fracture toughness of SCB granite influenced by microwave heating. Eng. Fract. Mech. 2021, 258, 108048. [Google Scholar] [CrossRef]
- Li, Q.; Li, X.; Yin, T. Effect of microwave heating on fracture behavior of granite: An experimental investigation. Eng. Fract. Mech. 2021, 250, 107758. [Google Scholar] [CrossRef]
- Deyab, S.M.; Ahmadihosseini, A.; Rafezi, H.; Hassani, F.; Sasmito, A.P. Investigating Microwave Treatment of Rocks Based on Fracture Mechanics Analysis in Mode I Fracture Toughness Test. Rock Mech. Rock Eng. 2023, 56, 5275–5291. [Google Scholar] [CrossRef]
- Whittaker, B.N.; Singh, R.N.; Sun, G. Rock Fracture Mechanics. Principles, Design and Applications; Developments in Geotechnical Engineering; Elsevier: London, UK, 1992. [Google Scholar]
- Yuan, Y.; Shao, Z.; Qiao, R.; Fei, X.; Cheng, J. Thermal response and crack propagation of mineral components in olivine basalt under microwave irradiation. Arab. J. Geosci. 2020, 13, 589. [Google Scholar] [CrossRef]
- E 399–90; Standard Test Method for Plane-Strain Fracture Toughness of Metallic Materials. ASTM: West Conshohocken, PA, USA, 1997.
- Schmidt, R.A. Fracture-toughness testing of limestone. Exp. Mech. 1976, 16, 161–167. [Google Scholar] [CrossRef]
- Lan, W.; Wang, H.; Zhang, X.; Fan, H.; Feng, K.; Liu, Y.; Sun, B. Investigation on the mechanism of micro-cracks generated by microwave heating in coal and rock. Energy 2020, 206, 118211. [Google Scholar] [CrossRef]
- Hartlieb, P.; Toifl, M.; Kuchar, F.; Meisels, R.; Antretter, T. Thermo-physical properties of selected hard rocks and their relation to microwave-assisted comminution. Miner. Eng. 2016, 91, 34–41. [Google Scholar] [CrossRef]
- Teimoori, K.; Cooper, R. Multiphysics study of microwave irradiation effects on rock breakage system. Int. J. Rock Mech. Min. Sci. 2021, 140, 104586. [Google Scholar] [CrossRef]
- Huang, J.; Xu, G.; Hu, G.; Kizil, M.; Chen, Z. A coupled electromagnetic irradiation, heat and mass transfer model for microwave heating and its numerical simulation on coal. Fuel Process. Technol. 2018, 177, 237–245. [Google Scholar] [CrossRef]
- Li, J.; Kaunda, R.B.; Arora, S.; Hartlieb, P.; Nelson, P.P. Fully-coupled simulations of thermally-induced cracking in pegmatite due to microwave irradiation. J. Rock Mech. Geotech. Eng. 2019, 11, 242–250. [Google Scholar] [CrossRef]
- Yuan, Y.; Shao, Z.; Qiao, R.; Fei, X.; Cheng, J.; Wei, W. Fracture behavior of concrete coarse aggregates under microwave irradiation influenced by mineral components. Constr. Build. Mater. 2021, 286, 122944. [Google Scholar] [CrossRef]
- Zuo, J.-P.; Xie, H.-P.; Dai, F.; Ju, Y. Three-point bending test investigation of the fracture behavior of siltstone after thermal treatment. Int. J. Rock Mech. Min. Sci. 2014, 70, 133–143. [Google Scholar] [CrossRef]
- Jiang, Y.; Zhu, Z.; Yu, L.; Zhou, L.; Zhang, R.; Ma, L. Investigation of the fracture characteristics of granite and green sandstone under different thermal treatments. Theor. Appl. Fract. Mech. 2022, 118, 103217. [Google Scholar] [CrossRef]
- Aliha, M.R.M.; Mahdavi, E.; Ayatollahi, M.R. Statistical Analysis of Rock Fracture Toughness Data Obtained from Different Chevron Notched and Straight Cracked Mode I Specimens. Rock Mech. Rock Eng. 2018, 51, 2095–2114. [Google Scholar] [CrossRef]
- Mishra, R.R.; Sharma, A.K. Microwave–material interaction phenomena: Heating mechanisms, challenges and opportunities in material processing. Compos. Part A Appl. Sci. Manuf. 2016, 81, 78–97. [Google Scholar] [CrossRef]
- Chandrasekaran, S.; Ramanathan, S.; Basak, T. Microwave material processing—A review. AIChE J. 2012, 58, 330–363. [Google Scholar] [CrossRef]
- Singh, S.; Gupta, D.; Jain, V.; Sharma, A.K. Microwave processing of materials and applications in manufacturing industries: A review. Mater. Manuf. Process. 2015, 30, 1–29. [Google Scholar] [CrossRef]
- Zheng, Y.L.; Zhao, X.B.; Zhao, Q.H.; Li, J.C.; Zhang, Q.B. Dielectric properties of hard rock minerals and implications for microwave-assisted rock fracturing. Geomech. Geophys. Geo-Energy Geo-Resour. 2020, 6, 22. [Google Scholar] [CrossRef]
- Wei, M.D.; Dai, F.; Xu, N.; Zhao, T.; Xia, K. Experimental and numerical study on the fracture process zone and fracture toughness determination for ISRM-suggested semi-circular bend rock specimen. Eng. Fract. Mech. 2016, 154, 43–56. [Google Scholar] [CrossRef]
- Physical Properties of Rocks and Minerals; Touloukian, Y.S., Judd, W.R., Roy, R.F., Eds.; Hemisphere Pub. Corp.: New York, NY, USA, 1989. [Google Scholar]
- Alneasan, M.; Alzo’Ubi, A.K.; Behnia, M.; Mughieda, O. Experimental observations on the effect of thermal treatment on the crack speed and mode I and II fracture toughness in brittle and ductile rocks. Theor. Appl. Fract. Mech. 2022, 121, 103525. [Google Scholar] [CrossRef]
- Yuan, Y.; Shao, Z.; Qiao, R.; Guo, X.; Wang, W. Crack damage evolution in concrete coarse aggregates under microwave-induced thermal stress. Arch. Civ. Mech. Eng. 2022, 22, 108. [Google Scholar] [CrossRef]
























| Properties | Value | ||
|---|---|---|---|
| Granite Specimen | Copper | Air | |
| Initial temperature (, °C) | 35 | 35 | 35 |
| Density (, kg/m3) | 2638 | 8960 | - |
| Thermal conductivity (, W/(m·K)) | 400 | - | |
| Specific heat capacity (, J/(kg·K)) | 385 | - | |
| Conductivity (, S/m) | 0 | 5.998 × 107 | 0 |
| Relative permeability (, H/m) | 1 | 1 | 1 |
| Relative permittivity (, F/m) | 1 | 1 | |
| Temperature (T, °C) | 35 | 100 | 200 | 300 | 400 | 500 | 600 | 700 | 800 | 900 | 1000 |
|---|---|---|---|---|---|---|---|---|---|---|---|
| Dielectric constant (, F/m) | 5.45 | 5.44 | 5.45 | 5.45 | 5.45 | 5.47 | 5.45 | 5.48 | 5.37 | 5.08 | 5.22 |
| Dielectric loss (, F/m) | 0.038 | 0.033 | 0.037 | 0.043 | 0.052 | 0.076 | 0.118 | 0.210 | 0.175 | 0.135 | 0.319 |
| Mineral | Pl | Qtz | Bt |
|---|---|---|---|
| Dielectric constant (, F/m) | 5.62 | 4.00 | 7.48 |
| Dielectric loss (, F/m) | 0.039 | 7.52 × 10−4 | 0.456 |
| Material | Density , kg/m3) | Young’s Modulus , GPa) | Poisson’s Ratio , 1) | Coefficient of Thermal Expansion , 1/K) | Thermal Conductivity , W/(m·K)) |
|---|---|---|---|---|---|
| Granite | 2638 | 60 | 0.25 | 7 × 10−6 | 2.5 |
| Pl | 2630 | 56.4 | 0.32 | 3.7 × 10−6 | 2 |
| Qtz | 2650 | 83.1 | 0.07 | 12.1 × 10−6 | 6.5 |
| Bt | 2800 | 17.2 | 0.36 | 8.3 × 10−6 | 3 |
Disclaimer/Publisher’s Note: The statements, opinions and data contained in all publications are solely those of the individual author(s) and contributor(s) and not of MDPI and/or the editor(s). MDPI and/or the editor(s) disclaim responsibility for any injury to people or property resulting from any ideas, methods, instructions or products referred to in the content. |
© 2024 by the authors. Licensee MDPI, Basel, Switzerland. This article is an open access article distributed under the terms and conditions of the Creative Commons Attribution (CC BY) license (https://creativecommons.org/licenses/by/4.0/).
Share and Cite
Yuan, Y.; Zhao, S. Analysis of Microwave-Induced Damage in Granite Aggregates Influenced by Mineral Texture. Buildings 2024, 14, 1348. https://doi.org/10.3390/buildings14051348
Yuan Y, Zhao S. Analysis of Microwave-Induced Damage in Granite Aggregates Influenced by Mineral Texture. Buildings. 2024; 14(5):1348. https://doi.org/10.3390/buildings14051348
Chicago/Turabian StyleYuan, Yuan, and Shuang Zhao. 2024. "Analysis of Microwave-Induced Damage in Granite Aggregates Influenced by Mineral Texture" Buildings 14, no. 5: 1348. https://doi.org/10.3390/buildings14051348
APA StyleYuan, Y., & Zhao, S. (2024). Analysis of Microwave-Induced Damage in Granite Aggregates Influenced by Mineral Texture. Buildings, 14(5), 1348. https://doi.org/10.3390/buildings14051348
